An Innovative, Unobtrusive Approach to Investigate Smartphone Interaction in Nonaddicted Subjects Based on Wearable Sensors: A Pilot Study
Abstract
:1. Introduction
2. Materials and Methods
2.1. Study Population
2.2. Signal Acquisition
- baseline (3 min): basal measurement. The subject, seated in a comfortable chair, was asked to relax during this phase;
- task (3 min): The subject was asked to freely interact (chatting, sending messages, using apps) with their own smartphone during this phase. All the subjects visited social networks (Facebook, Instagram and Twitter) during the acquisition, without directly messaging with other users;
- recovery (3 min): post-task basal measurement. The subject was asked to relax during this phase, similarly to the baseline.
2.3. Psychological Questionnaires
- the 10-item Self-Scoring Self-Control Scale (SCS): self-assessment scale for self-control evaluation [23];
- 10-item version of the Fear of Missing Out scale (FoMO): self-assessment scale related to the social exclusion phobia [24];
- Internet Addiction Test (IAT), Italian Version: self-assessment scale for the evaluation of internet-related addiction [25];
- Phubbing Questionnaire (PQ): self-assessment scale for evaluating “phubbing” behaviors. PQ produces three different subscores, including “Phubbing” (PB), “Being Phubbed” (BP), and the overall “Total Phubbing” (TP), sum of the two previous ones [26];
- Smartphone Addiction Scale (SAS): self-assessment scale for evaluating the smartphone-related addiction [6].
2.4. Signal Analysis
2.4.1. ECG
- in the time domain:
- ○
- heart rate (HR): number of contractions of the heart occurring per time unit, expressed in bpm. The HR is normally related to sympathetic activation of the autonomic nervous system;
- ○
- standard deviation of normal-to-normal R–R intervals (SDNN): measure of heart rate variability (HRV), expressed in ms. SDNN is normally affected by both sympathetic and parasympathetic components [31];
- ○
- changes in successive normal sinus (NN) intervals exceeding 50 ms (pNN50), expressed as a percentage. Like other HRV measures, pNN50 also indicates the overall activity of the autonomic nervous system; however, pNN50 is often considered as a reliable indicator of the parasympathetic activity.
- in the frequency domain:
- ○
- normalized component of the power spectral density of the ECG signal at low frequency (0.04–0.15 Hz) (nLF). nLF is related to both sympathetic and parasympathetic activity;
- ○
- normalized component of the power spectral density of the ECG spectrum at high frequency (0.15–0.4 Hz) (nHF). nHF is related to parasympathetic activity [28];
- ○
- low- vs high-frequency component of the power spectral density of the ECG spectrum (Low-to-High Frequency (LF/HF) ratio). LF/HF ratio is considered as a sort of balance between sympathetic and parasympathetic activity.
2.4.2. GSR
2.5. Statistical Analysis
3. Results
3.1. ECG Parameters
3.2. GSR Parameters
3.3. Questionnaires
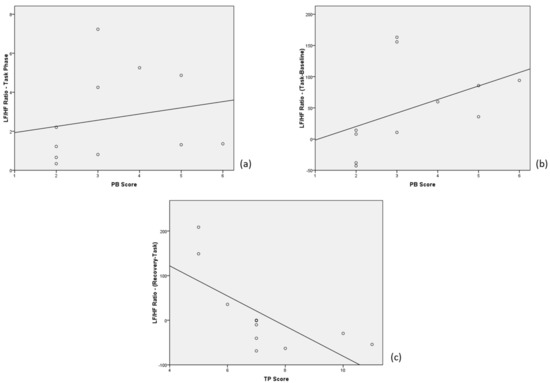
3.4. Correlations between Physiological Signals and Questionnaires
4. Discussion
Limitations
5. Conclusions
Author Contributions
Funding
Conflicts of Interest
References
- Statista. Number of Smartphone Users Worldwide from 2014 to 2020. Available online: https://www.statista.com/statistics/330695/number-of-smartphone-users-worldwide/ (accessed on 8 May 2018).
- Statista. Share of Adults in the United States Who Owned a Smartphone from 2015 to 2018, by Age Group. Available online: https://www.statista.com/statistics/489255/percentage-of-us-smartphone-owners-by-age-group/ (accessed on 8 May 2018).
- Statista. Number of Smartphone Users in Italy from 2015 to 2021. Available online: https://www.statista.com/statistics/467179/forecast-of-smartphone-users-in-italy/ (accessed on 8 May 2018).
- Hawi, N.S.; Samaha, M. To excel or not to excel: Strong evidence on the adverse effect of smartphone addiction on academic performance. Comput. Educ. 2016, 98, 81–89. [Google Scholar] [CrossRef]
- Demirci, K.; Akgonul, M.; Akpinar, A. Relationship of smartphone use severity with sleep quality, depression, and anxiety in university students. J. Behav. Addict. 2015, 4, 85–92. [Google Scholar] [CrossRef]
- Kwon, M.; Lee, J.Y.; Won, W.Y.; Park, J.W.; Min, J.A.; Hahn, C.; Gu, X.; Choi, J.H.; Kim, D.J. Development and Validation of a Smartphone Addiction Scale (SAS). PLoS ONE 2013, 8, e56936. [Google Scholar] [CrossRef]
- Afroz, N. Internet addiction and subjective well-being of university students. Indian J. Health Wellbeing 2016, 7, 787–794. [Google Scholar]
- Takao, M.; Takahashi, S.; Kitamura, M. Addictive personality and problematic mobile phone use. Cyberpsychol. Behav. 2009, 12, 501–507. [Google Scholar] [CrossRef] [PubMed]
- Jeong, H.S.; Lee, Y.S. Factors influencing smartphone addiction in nursing students: Focused on empathy. Information 2015, 18, 2885–2890. [Google Scholar]
- Çakır, O.; Oğuz, E. The correlation between high school students’ loneliness levels and smart phone addiction. Mersin Üniversitesi Eğitim Fakültesi Dergisi 2017, 13, 418–429. [Google Scholar] [CrossRef]
- Samaha, M.; Hawi, N.S. Relationships among smartphone addiction, stress, academic performance, and satisfaction with life. Comput. Hum. Behav. 2016, 57, 321–325. [Google Scholar] [CrossRef]
- Darcin, A.E.; Kose, S.; Noyan, C.O.; Nurmedov, S.; Yılmaz, O.; Dilbaz, N. Smartphone addiction and its relationship with social anxiety and loneliness. Behav. Inf. Technol. 2017, 35, 520–525. [Google Scholar] [CrossRef]
- Cerit, B.; Çıtak Bilgin, N.; Ak, B. Relationship between smartphone addiction of nursing department students and their communication skills. Contemp. Nurse 2018, 54, 532–542. [Google Scholar] [CrossRef] [PubMed]
- Tangmunkongvorakul, A.; Musumari, P.M.; Thongpibul, K.; Srithanaviboonchai, K.; Techasrivichien, T.; Suguimoto, S.P.; Ono-Kihara, M.; Kihara, M. Association of excessive smartphone use with psychological well-being among university students in Chiang Mai, Thailand. PLoS ONE 2019, 14, e0210294. [Google Scholar] [CrossRef]
- Prasad, S.; Harshe, D.; Kaur, N.; Jangannavar, S.; Srivastava, A.; Achanta, U.; Khan, S.; Harshe, G. A Study of Magnitude and Psychological Correlates of Smartphone Use in Medical Students: A Pilot Study with A Novel Telemetric Approach. Indian J. Psychol. Med. 2018, 40, 468–475. [Google Scholar]
- Elhai, J.D.; Rozgonjuk, D.; Yildirim, C.; Alghraibeh, A.M.; Alafnan, A.A. Worry and anger are associated with latent classes of problematic smartphone use severity among college students. J. Affect. Disord. 2018, 246, 209–216. [Google Scholar] [CrossRef]
- Roberts, J.A.; David, M.E. My life has become a major distraction from my cell phone: Partner phubbing and relationship satisfaction among romantic partners. Comput. Hum. Behav. 2016, 54, 134–141. [Google Scholar] [CrossRef]
- Elhai, J.D.; Dvorak, R.D.; Levine, J.C.; Hall, B.J. Problematic smartphone use: A conceptual overview and systematic review of relations with anxiety and depression psychopathology. J. Affect. Disord. 2017, 207, 251–259. [Google Scholar] [CrossRef]
- Wu, A.M.; Cheung, V.I.; Ku, L.; Hung, E.P. Psychological risk factors of addiction to social networking sites among Chinese smartphone users. J. Behav. Addict. 2013, 2, 160–166. [Google Scholar] [CrossRef]
- Yayan, E.H.; Arikan, D.; Saban, F.; Gürarslan Baş, N.; Özel Özcan, Ö. Examination of the correlation between ınternet addiction and social phobia in adolescents. West. J. Nurs. Res. 2017, 39, 1240–1254. [Google Scholar] [CrossRef]
- Crifaci, G.; Tartarisco, G.; Billeci, L.; Pioggia, G.; Gaggioli, A. Innovative technologies and methodologies based on integration of virtual reality and wearable systems for psychological stress treatment. Int. J. Psychophysiol. 2012, 85, 402. [Google Scholar] [CrossRef]
- Crifaci, G.; Billeci, L.; Tartarisco, G.; Balocchi, R.; Pioggia, G.; Brunori, E.; Maestro, S.; Morales, M.A. ECG and GSR measure and analysis using wearable systems: Application in anorexia nervosa adolescents. In Proceedings of the 8th International Symposium on Image and Signal Processing and Analysis, Trieste, Italy, 4–6 September 2013; pp. 499–504. [Google Scholar]
- Tangney, J.P.; Baumeister, R.F.; Boone, A.L. High Self-Control Predicts Good Adjustment, Less Pathology, Better Grades, and Interpersonal Success. J. Pers. 2004, 72, 271–324. [Google Scholar] [CrossRef]
- Przybylski, A.K.; Murayama, K.; DeHaan, C.R.; Gladwell, V. Motivational, emotional, and behavioral correlates of fear of missing out. Comput. Hum. Behav. 2013, 29, 1841–1848. [Google Scholar] [CrossRef]
- Young, K. Caught in the Net; Wiley: Hoboken, NJ, USA, 1998. [Google Scholar]
- Chotpitayasunondh, V.; Douglas, K.M. How “phubbing” becomes the norm: The antecedents and consequences of snubbing via smartphone. Comput. Hum. Behav. 2016, 63, 9–18. [Google Scholar] [CrossRef]
- Pan, J.; Tompkins, W.J. A real-time QRS detection algorithm. IEEE Trans. Biomed. Eng. 1985, 32, 230–236. [Google Scholar] [CrossRef]
- Billeci, L.; Tartarisco, G.; Brunori, E.; Crifaci, G.; Scardigli, S.; Balocchi, R.; Pioggia, G.; Maestro, S.; Morales, M.A. The role of wearable sensors and wireless technologies for the assessment of heart rate variability in anorexia nervosa. Eat Weight Disord. 2015, 20, 23–31. [Google Scholar] [CrossRef]
- Di Palma, S.; Tonacci, A.; Narzisi, A.; Domenici, C.; Pioggia, G.; Muratori, F.; Billeci, L.; MICHELANGELO Study Group. Monitoring of autonomic response to sociocognitive tasks during treatment in children with Autism Spectrum Disorders by wearable technologies: A feasibility study. Comput. Biol. Med. 2016, 85, 143–152. [Google Scholar] [CrossRef]
- Billeci, L.; Tonacci, A.; Narzisi, A.; Manigrasso, Z.; Varanini, M.; Fulceri, F.; Lattarulo, C.; Calderoni, S.; Muratori, F. Heart Rate Variability During a Joint Attention Task in Toddlers with Autism Spectrum Disorders. Front. Physiol. 2018, 9, 467. [Google Scholar] [CrossRef]
- Shaffer, F.; Ginsberg, J.P. An Overview of Heart Rate Variability Metrics and Norms. Front. Public Health 2017, 5, 258. [Google Scholar] [CrossRef]
- Welch, P.D. The use of Fast Fourier Transform for the estimation of power spectra: A method based on time averaging over short, modified periodograms. IEEE Trans. Audio Electroacoust. 1967, 15, 70–73. [Google Scholar] [CrossRef]
- Benedek, M.; Kaernbach, C. A continuous measure of phasic electrodermal activity. J. Neurosci. Methods 2010, 190, 80–91. [Google Scholar] [CrossRef]
- Shapiro, S.S.; Wilk, M.B. An analysis of variance test for normality (complete samples). Biometrika 1965, 52, 591–611. [Google Scholar] [CrossRef]
- Mietus, J.E.; Peng, C.K.; Henry, I.; Goldsmith, R.L.; Goldberger, A.L. The pNNx files: Re-examining a widely used heart rate variability measure. Heart 2002, 88, 378–380. [Google Scholar] [CrossRef]
- Karadağ, E.; Tosuntaş, Ş.B.; Erzen, E.; Duru, P.; Bostan, N.; Şahin, B.M.; Çulha, İ.; Babadağ, B. Determinants of phubbing, which is the sum of many virtual addictions: A structural equation model. J. Behav. Addict. 2015, 4, 60–74. [Google Scholar] [CrossRef]
- Davey, S.; Davey, A.; Raghav, S.K.; Singh, J.V.; Singh, N.; Blachnio, A.; Przepiórkaa, A. Predictors and consequences of “Phubbing” among adolescents and youth in India: An impact evaluation study. J. Fam. Community Med. 2018, 25, 35–42. [Google Scholar] [CrossRef]
- Matar Boumosleh, J.; Jaalouk, D. Depression, anxiety, and smartphone addiction in university students—A cross sectional study. PLoS ONE 2017, 12, e0182239. [Google Scholar] [CrossRef]
- Lee, Y.; Chang, C.; Lin, Y.; Cheng, Z. The dark side of smartphone usage: Psychological traits, compulsive behavior and technostress. Comput. Hum. Behav. 2014, 31, 373–383. [Google Scholar] [CrossRef]
- Harwood, J.; Dooley, J.; Scott, A.; Joiner, R. Constantly connected—The effects of smart-devices on mental health. Comput. Hum. Behav. 2014, 34, 267–272. [Google Scholar] [CrossRef]
- Wolniewicz, C.A.; Tiamiyu, M.F.; Weeks, J.W.; Elhai, J.D. Problematic smartphone use and relations with negative affect, fear of missing out, and fear of negative and positive evaluation. Psychiatry Res. 2018, 262, 618–623. [Google Scholar] [CrossRef]
- Loredo E Silva, M.P.; de Souza Matos, B.D.; da Silva Ezequiel, O.; Lucchetti, A.L.G.; Lucchetti, G. The Use of Smartphones in Different Phases of Medical School and its Relationship to Internet Addiction and Learning Approaches. J. Med. Syst. 2018, 42, 106. [Google Scholar] [CrossRef]
- Zhang, K.; Chen, C.; Lee, M. Understanding the role of motives in smartphone addiction. In Proceedings of the 18th Pacific Asia Conference on Information Systems, Chengdu, China, 24–28 June 2014. [Google Scholar]




© 2019 by the authors. Licensee MDPI, Basel, Switzerland. This article is an open access article distributed under the terms and conditions of the Creative Commons Attribution (CC BY) license (http://creativecommons.org/licenses/by/4.0/).
Share and Cite
Tonacci, A.; Billeci, L.; Sansone, F.; Masci, A.; Pala, A.P.; Domenici, C.; Conte, R. An Innovative, Unobtrusive Approach to Investigate Smartphone Interaction in Nonaddicted Subjects Based on Wearable Sensors: A Pilot Study. Medicina 2019, 55, 37. https://doi.org/10.3390/medicina55020037
Tonacci A, Billeci L, Sansone F, Masci A, Pala AP, Domenici C, Conte R. An Innovative, Unobtrusive Approach to Investigate Smartphone Interaction in Nonaddicted Subjects Based on Wearable Sensors: A Pilot Study. Medicina. 2019; 55(2):37. https://doi.org/10.3390/medicina55020037
Chicago/Turabian StyleTonacci, Alessandro, Lucia Billeci, Francesco Sansone, Antonella Masci, Anna Paola Pala, Claudio Domenici, and Raffaele Conte. 2019. "An Innovative, Unobtrusive Approach to Investigate Smartphone Interaction in Nonaddicted Subjects Based on Wearable Sensors: A Pilot Study" Medicina 55, no. 2: 37. https://doi.org/10.3390/medicina55020037
APA StyleTonacci, A., Billeci, L., Sansone, F., Masci, A., Pala, A. P., Domenici, C., & Conte, R. (2019). An Innovative, Unobtrusive Approach to Investigate Smartphone Interaction in Nonaddicted Subjects Based on Wearable Sensors: A Pilot Study. Medicina, 55(2), 37. https://doi.org/10.3390/medicina55020037

