Recent Advances in Biosynthesis and Bioactivity of Plant Caffeoylquinic Acids
Abstract
1. Introduction
2. Types of CQAs
3. Biosynthesis of CQAs
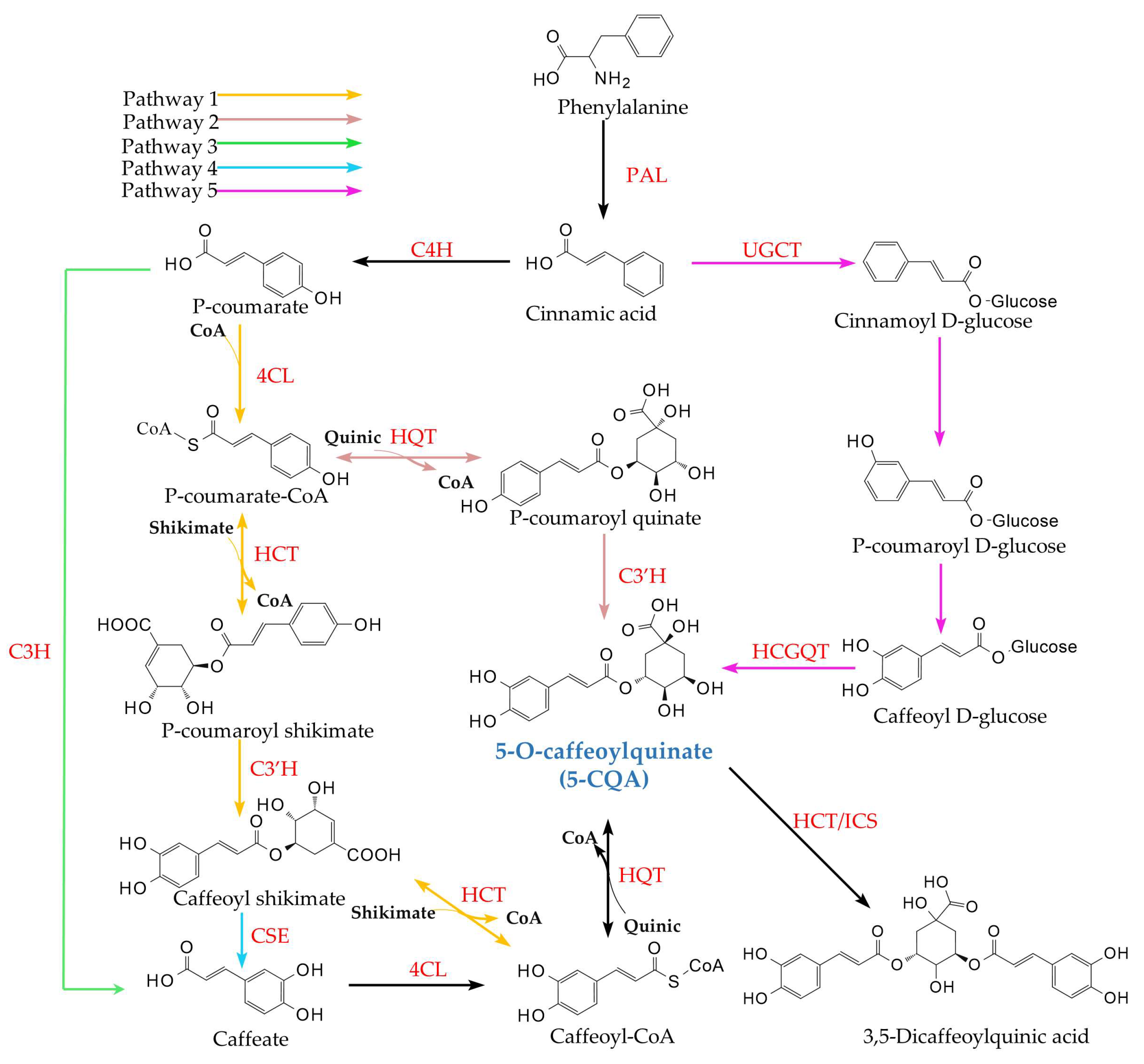
3.1. Five Biosynthetic Routes
3.2. Structural Genes Involved
3.3. Transcriptional Regulation
3.4. Hormonal Regulation
3.5. Environmental Regulation
3.6. Metabolic Engineering via Synthetic Biology Strategies
4. Bioactivity of CQAs
4.1. In Pharmacological
4.2. In Light Industry
4.3. In Plant Stress Resistance
4.4. Bioavailability, Metabolism, and Structure-Activity Relationships (SAR) of CQAs
5. Summary and Perspectives
Author Contributions
Funding
Institutional Review Board Statement
Informed Consent Statement
Data Availability Statement
Acknowledgments
Conflicts of Interest
References
- Chinese Pharmacopoeia Commission. Pharmacopoeia of the People’s Republic of China, 2020 ed.; China Medical Science Press: Beijing, China, 2020; Volume 1, pp. 221–1677. [Google Scholar]
- Li, R.; Zhan, Y.; Ding, X.; Cui, J.; Han, Y.; Zhang, J.; Zhang, J.; Li, W.; Wang, L.; Jiang, J. Cancer Differentiation Inducer Chlorogenic Acid Suppresses PD-L1 Expression and Boosts Antitumor Immunity of PD-1 Antibody. Int. J. Biol. Sci. 2024, 20, 61–77. [Google Scholar] [CrossRef] [PubMed]
- Wang, F.; Tang, Y.S.; Cao, F.; Shou, J.W.; Wong, C.K.; Shaw, P.C. 3,4,5-Tri-O-caffeoylquinic acid attenuates influenza A virus induced inflammation through Toll-like receptor 3/7 activated signaling pathway. Phytomedicine 2024, 132, 155896. [Google Scholar] [CrossRef]
- Fu, S.; Yi, X.; Li, Y.; Li, Y.; Qu, X.; Miao, P.; Xu, Y. Berberine and chlorogenic acid-assembled nanoparticles for highly efficient inhibition of multidrug-resistant Staphylococcus aureus. J. Hazard. Mater. 2024, 473, 134680. [Google Scholar] [CrossRef]
- Li, G.; Li, H.; Wang, P.; Zhang, X.; Kuang, W.; Huang, L.; Zhang, Y.; Xiao, W.; Du, Q.; Tang, H.; et al. Chemo-proteomics reveals dihydrocaffeic acid exhibits anti-inflammation effects via Transaldolase 1 mediated PERK-NF-κB pathway. Cell Commun. Signal. 2025, 23, 65. [Google Scholar] [CrossRef]
- Cejas, J.P.; Disalvo, E.A.; Frias, M.A. Effect of cholesterol on the antioxidant action of chlorogenic acid in lipid membranes. Arch. Biochem. Biophys. 2025, 767, 110346. [Google Scholar] [CrossRef]
- Kang, J.B.; Son, H.K.; Park, D.J.; Jin, Y.B.; Koh, P.O. Chlorogenic acid regulates the expression of protein phosphatase 2A subunit B in the cerebral cortex of a rat stroke model and glutamate-exposed neurons. Lab. Anim. Res. 2024, 40, 8. [Google Scholar] [CrossRef]
- Li, Y.M.; Jiang, L.N.; Sun, X.Y.; Li, C.B.; Zhou, M.; Sun, Y.X.; Suo, L.N. Physiological regulation of exogenous chlorogenic acid on chilling tolerance of tomato seedlings. J. Plant Nutr. Fertil. 2024, 30, 315–330. [Google Scholar] [CrossRef]
- Alcázar Magaña, A.; Kamimura, N.; Soumyanath, A.; Stevens, J.F.; Maier, C.S. Caffeoylquinic acids: Chemistry, biosynthesis, occurrence, analytical challenges, and bioactivity. Plant J. 2021, 107, 1299–1319. [Google Scholar] [CrossRef] [PubMed]
- Liu, Y.; Lou, J.; Liu, G.; Li, Q.; Cao, Z.; Wu, P.; Mashu, H.; Liu, Z.; Deng, J.; Yang, Z.; et al. A R2R3-MYB transcription factor LmMYB111 positively regulates chlorogenic acid and luteoloside biosynthesis in Lonicera macranthoides. Plant Sci. 2025, 358, 112556. [Google Scholar] [CrossRef] [PubMed]
- Luo, Q.; Chen, P.; Zong, J.; Gao, J.; Qin, R.; Wu, C.; Lv, Q.; Xu, Y.; Zhao, T.; Fu, Y. Integrated transcriptomic and CQAs analysis revealed IbGLK1 is a key transcription factor for chlorogenic acid accumulation in sweetpotato (Ipomoea batatas [L.] Lam.) blades. Int. J. Biol. Macromol. 2024, 266, 131045. [Google Scholar] [CrossRef] [PubMed]
- Lu, H.; Tian, Z.; Cui, Y.; Liu, Z.; Ma, X. Chlorogenic acid: A comprehensive review of the dietary sources, processing effects, bioavailability, beneficial properties, mechanisms of action, and future directions. Compr. Rev. Food Sci. Food Saf. 2020, 19, 3130–3158. [Google Scholar] [CrossRef]
- Liu, Y.; Zhang, Y.; Bai, D.; Li, Y.; He, X.; Ito, K.; Liu, K.; Tan, H.; Zhen, W.; Zhang, B.; et al. Dietary Supplementation with Chlorogenic Acid Enhances Antioxidant Capacity, Which Promotes Growth, Jejunum Barrier Function, and Cecum Microbiota in Broilers under High Stocking Density Stress. Animals 2023, 13, 303. [Google Scholar] [CrossRef]
- Ruscinc, N.; Serafim, R.A.M.; Almeida, C.; Rosado, C.; Baby, A.R. Challenging the safety and efficacy of topically applied chlorogenic acid, apigenin, kaempferol, and naringenin by HET-CAM, HPLC-TBARS-EVSC, and laser Doppler flowmetry. Front. Chem. 2024, 12, 1400881. [Google Scholar] [CrossRef] [PubMed]
- Xiao, P.; Qu, J.; Wang, Y.; Fang, T.; Xiao, W.; Wang, Y.; Zhang, Y.; Khan, M.; Chen, Q.; Xu, X.; et al. Transcriptome and metabolome atlas reveals contributions of sphingosine and chlorogenic acid to cold tolerance in Citrus. Plant Physiol. 2024, 196, 634–650. [Google Scholar] [CrossRef]
- Liu, Z.; Bruins, M.E.; de Bruijn, W.J.C.; Vincken, J.-P. A comparison of the phenolic composition of old and young tea leaves reveals a decrease in flavanols and phenolic acids and an increase in flavonols upon tea leaf maturation. J. Food Compos. Anal. 2020, 86, 103385. [Google Scholar] [CrossRef]
- Liu, W.; Li, J.; Zhang, X.; Zu, Y.; Yang, Y.; Liu, W.; Xu, Z.; Gao, H.; Sun, X.; Jiang, X.; et al. Current Advances in Naturally Occurring Caffeoylquinic Acids: Structure, Bioactivity, and Synthesis. J. Agric. Food Chem. 2020, 68, 10489–10516. [Google Scholar] [CrossRef] [PubMed]
- Yao, T.; Feng, K.; Xie, M.; Barros, J.; Tschaplinski, T.J.; Tuskan, G.A.; Muchero, W.; Chen, J.G. Phylogenetic Occurrence of the Phenylpropanoid Pathway and Lignin Biosynthesis in Plants. Front. Plant Sci. 2021, 12, 704697. [Google Scholar] [CrossRef]
- Xu, J.; Zhu, J.; Lin, Y.; Zhu, H.; Tang, L.; Wang, X.; Wang, X. Comparative transcriptome and weighted correlation network analyses reveal candidate genes involved in chlorogenic acid biosynthesis in sweet potato. Sci. Rep. 2022, 12, 2770. [Google Scholar] [CrossRef]
- Wang, H.; Zheng, X.B.; Wu, Y.; Zhan, W.D.; Guo, Y.F.; Chen, M.; Bai, T.H.; Jiao, J.; Song, C.H.; Song, S.W.; et al. Transcriptome Analysis Identifies Genes Associated with Chlorogenic Acid Biosynthesis during Apple Fruit Development. Horticulturae 2023, 9, 217. [Google Scholar] [CrossRef]
- Cheevarungnapakul, K.; Khaksar, G.; Panpetch, P.; Boonjing, P.; Sirikantaramas, S. Identification and Functional Characterization of Genes Involved in the Biosynthesis of Caffeoylquinic Acids in Sunflower (Helianthus annuus L.). Front. Plant Sci. 2019, 10, 968. [Google Scholar] [CrossRef]
- Kojima, M.; Uritani, I. Studies on chlorogenic acid biosynthesis in sweet potato root tissue using trans-cinnamic acid-2-14C and quinic acid-G-3H1. Plant Cell Physiol. 1972, 13, 311–319. [Google Scholar] [CrossRef]
- Kojima, M.; Uritani, I. Elucidation of the structure of a possible intermediate in chlorogenic acid biosynthesis in sweet potato root tissue1. Plant Cell Physiol. 1972, 13, 1075–1084. [Google Scholar] [CrossRef]
- Li, Y.; Kong, D.; Bai, M.; He, H.; Wang, H.; Wu, H. Correlation of the temporal and spatial expression patterns of HQT with the biosynthesis and accumulation of chlorogenic acid in Lonicera japonica flowers. Hortic. Res. 2019, 6, 73. [Google Scholar] [CrossRef]
- Li, R.L.; Xu, J.; Qi, Z.X.; Zhao, S.W.; Zhao, R.; Ge, Y.R.; Li, R.F.; Kong, X.Y.; Wu, Z.Y.; Zhang, X.; et al. High-resolution genome mapping and functional dissection of chlorogenic acid production in Lonicera maackii. Plant Physiol. 2023, 192, 2902–2922. [Google Scholar] [CrossRef]
- Barros, J.; Escamilla-Trevino, L.; Song, L.; Rao, X.; Serrani-Yarce, J.C.; Palacios, M.D.; Engle, N.; Choudhury, F.K.; Tschaplinski, T.J.; Venables, B.J.; et al. 4-Coumarate 3-hydroxylase in the lignin biosynthesis pathway is a cytosolic ascorbate peroxidase. Nat. Commun. 2019, 10, 1994. [Google Scholar] [CrossRef]
- Vanholme, R.; Cesarino, I.; Rataj, K.; Xiao, Y.; Sundin, L.; Goeminne, G.; Kim, H.; Cross, J.; Morreel, K.; Araujo, P.; et al. Caffeoyl Shikimate Esterase (CSE) Is an Enzyme in the Lignin Biosynthetic Pathway in Arabidopsis. Science 2013, 341, 1103–1106. [Google Scholar] [CrossRef]
- Ha, C.M.; Escamilla-Trevino, L.; Yarce, J.C.S.; Kim, H.; Ralph, J.; Chen, F.; Dixon, R.A. An essential role of caffeoyl shikimate esterase in monolignol biosynthesis in Medicago truncatula. Plant J. 2016, 86, 363–375. [Google Scholar] [CrossRef]
- Escamilla-Treviño, L.L.; Shen, H.; Hernandez, T.; Yin, Y.; Xu, Y.; Dixon, R.A. Early lignin pathway enzymes and routes to chlorogenic acid in switchgrass (Panicum virgatum L.). Plant Mol. Biol. 2014, 84, 565–576. [Google Scholar] [CrossRef] [PubMed]
- Wang, X.; Chao, N.; Zhang, M.; Jiang, X.; Gai, Y. Functional Characteristics of Caffeoyl Shikimate Esterase in Larix Kaempferi and Monolignol Biosynthesis in Gymnosperms. Int. J. Mol. Sci. 2019, 20, 6071. [Google Scholar] [CrossRef]
- Villegas, R.J.; Kojima, M. Purification and characterization of hydroxycinnamoyl D-glucose. Quinate hydroxycinnamoyl transferase in the root of sweet potato, Ipomoea batatas Lam. J. Biol. Chem. 1986, 261, 8729–8733. [Google Scholar] [CrossRef] [PubMed]
- de Vries, L.; Brouckaert, M.; Chanoca, A.; Kim, H.; Regner, M.R.; Timokhin, V.I.; Sun, Y.; De Meester, B.; Van Doorsselaere, J.; Goeminne, G.; et al. CRISPR-Cas9 editing of CAFFEOYL SHIKIMATE ESTERASE 1 and 2 shows their importance and partial redundancy in lignification in Populus tremula x P. alba. Plant Biotechnol. J. 2021, 19, 2221–2234. [Google Scholar] [CrossRef]
- Saleme, M.D.S.; Cesarino, I.; Vargas, L.; Kim, H.; Vanholme, R.; Goeminne, G.; Van Acker, R.; Fonseca, F.; Pallidis, A.; Voorend, W.; et al. Silencing CAFFEOYL SHIKIMATE ESTERASE Affects Lignification and Improves Saccharification in Poplar. Plant Physiol. 2017, 175, 1040–1057. [Google Scholar] [CrossRef] [PubMed]
- Qiao, H.X.; Wang, Y.H.; Shi, L.; Wang, R.P.; Yang, Y.R.; Wei, D.S.; Li, Y.J.; Chao, K.R.; Jia, L.; Liu, G.M.; et al. Insights into Molecular Mechanism of Secondary Xylem Rapid Growth in Salix psammophila. Plants 2025, 14, 459. [Google Scholar] [CrossRef] [PubMed]
- Wang, D.; Wang, J.; Sun, J.; Qiu, S.; Chu, B.; Fang, R.; Li, L.; Gong, J.; Zheng, F. Degradation kinetics and isomerization of 5-O-caffeoylquinic acid under ultrasound: Influence of epigallocatechin gallate and vitamin C. Food Chem. X 2021, 12, 100147. [Google Scholar] [CrossRef]
- Chen, Y.F.; Yi, N.; Yao, S.B.; Zhuang, J.H.; Fu, Z.P.; Ma, J.; Yin, S.X.; Jiang, X.L.; Liu, Y.J.; Gao, L.P.; et al. CsHCT-Mediated Lignin Synthesis Pathway Involved in the Response of Tea Plants to Biotic and Abiotic Stresses. J. Agric. Food Chem. 2021, 69, 10069–10081. [Google Scholar] [CrossRef]
- Moglia, A.; Lanteri, S.; Comino, C.; Hill, L.; Knevitt, D.; Cagliero, C.; Rubiolo, P.; Bornemann, S.; Martin, C. Dual catalytic activity of hydroxycinnamoyl-coenzyme A quinate transferase from tomato allows it to moonlight in the synthesis of both mono- and dicaffeoylquinic acids. Plant Physiol. 2014, 166, 1777–1787. [Google Scholar] [CrossRef] [PubMed]
- Miguel, S.; Legrand, G.; Duriot, L.; Delporte, M.; Menin, B.; Michel, C.; Olry, A.; Chataigné, G.; Salwinski, A.; Bygdell, J.; et al. A GDSL lipase-like from Ipomoea batatas catalyzes efficient production of 3,5-diCQA when expressed in Pichia pastoris. Commun. Biol. 2020, 3, 673, Erratum in Commun. Biol. 2020, 3, 746. https://doi.org/10.1038/s42003-020-01488-x. [Google Scholar] [CrossRef]
- Soviguidi, D.R.J.; Pan, R.; Liu, Y.; Rao, L.P.; Zhang, W.Y.; Yang, X.S. Chlorogenic Acid Metabolism: The Evolution and Roles in Plant Response to Abiotic Stress. Phyton-Int. J. Exp. Bot. 2022, 91, 239–255. [Google Scholar] [CrossRef]
- Barros, J.; Dixon, R.A. Plant Phenylalanine/Tyrosine Ammonia-lyases. Trends Plant Sci. 2020, 25, 66–79. [Google Scholar] [CrossRef]
- He, J.; Liu, Y.; Yuan, D.; Duan, M.; Liu, Y.; Shen, Z.; Yang, C.; Qiu, Z.; Liu, D.; Wen, P.; et al. An R2R3 MYB transcription factor confers brown planthopper resistance by regulating the phenylalanine ammonia-lyase pathway in rice. Proc. Natl. Acad. Sci. USA 2020, 117, 271–277. [Google Scholar] [CrossRef]
- Xu, L.; Xu, Y.; Xiang, H.Y.; Huang, H.T.; Mi, Q.L.; Chen, Y.D.; Jiang, J.R.; Li, X.M.; Gao, X. Cloning and functional analysis of the phenylalanine ammonia-lyase gene NtPAL in tobacco. Acta Tabacaria Sin. 2025, 31, 93–103. [Google Scholar] [CrossRef]
- Fan, L.; Shi, G.; Yang, J.; Liu, G.; Niu, Z.; Ye, W.; Wu, S.; Wang, L.; Guan, Q. A Protective Role of Phenylalanine Ammonia-Lyase from Astragalus membranaceus against Saline-Alkali Stress. Int. J. Mol. Sci. 2022, 23, 15686. [Google Scholar] [CrossRef] [PubMed]
- Zhang, L.; Yang, J.; Wang, R. Genome-wide Identification and Expression Analysis of 4CL Gene Family in Camellia sinensis. Acta Tea Sin. 2024, 65, 34–46. [Google Scholar] [CrossRef]
- Khatri, P.; Chen, L.; Rajcan, I.; Dhaubhadel, S. Functional characterization of Cinnamate 4-hydroxylase gene family in soybean (Glycine max). PLoS ONE 2023, 18, e0285698. [Google Scholar] [CrossRef] [PubMed]
- Lavhale, S.G.; Kalunke, R.M.; Giri, A.P. Structural, functional and evolutionary diversity of 4-coumarate-CoA ligase in plants. Planta 2018, 248, 1063–1078. [Google Scholar] [CrossRef] [PubMed]
- Li, J.K.; Peng, C.; Zhang, Z.Y.; Liang, X.; Wei, M.K.; Yang, Q.; Li, B.Q.; Ali, M.M.; Kayima, V.; Chen, F.X.; et al. Dynamics of Fruit Hollowness and Browning and Associated Lignin Accumulation and Its Genome-Wide Identification of Ps4CL Gene Family in Huangguan Plum. Sci. Agric. Sin. 2025, 58, 759–778. [Google Scholar] [CrossRef]
- Hu, J.Q.; Qi, Q.; Jiang, X.N.; Gai, Y. Effect of Fusion Gene *4CL1-CCR* of Populus tomentosa on Lignin Deposition in Tobacco. Sci. Silvae Sin. 2020, 56, 63–69. [Google Scholar] [CrossRef]
- Shrestha, H.K.; Fichman, Y.; Engle, N.L.; Tschaplinski, T.J.; Mittler, R.; Dixon, R.A.; Hettich, R.L.; Barros, J.; Abraham, P.E. Multi-omic characterization of bifunctional peroxidase 4-coumarate 3-hydroxylase knockdown in Brachypodium distachyon provides insights into lignin modification-associated pleiotropic effects. Front. Plant Sci. 2022, 13, 908649. [Google Scholar] [CrossRef]
- Gao, M. A Preliminary Study on the Gene Function of 4 Coumaruylshikimate/Quinoline 3′-Hydroxylase. Master’s Thesis, Guizhou University, Guiyang, China, 2020. [Google Scholar] [CrossRef]
- Kim, J.Y.; Cho, K.H.; Keene, S.A.; Colquhoun, T.A. Altered profile of floral volatiles and lignin content by down-regulation of Caffeoyl Shikimate Esterase in Petunia. BMC Plant Biol. 2023, 23, 210. [Google Scholar] [CrossRef]
- Qin, X.; Qiao, J.; Li, Y. Structure, function, and applications of hydroxycinnamoyl transferases. Chin. J. Biochem. Mol. Biol. 2019, 35, 1058–1066. [Google Scholar] [CrossRef]
- Liu, Q.; Yao, L.; Xu, Y.; Cheng, H.; Wang, W.; Liu, Z.; Liu, J.; Cui, X.; Zhou, Y.; Ning, W. In vitro evaluation of hydroxycinnamoyl CoA:quinate hydroxycinnamoyl transferase expression and regulation in Taraxacum antungense in relation to 5-caffeoylquinic acid production. Phytochemistry 2019, 162, 148–156. [Google Scholar] [CrossRef] [PubMed]
- Imran, M.; Wu, Q.F.; Chen, G.M.; Zhou, L.X. Multifaceted roles and regulatory mechanisms of MYB transcription factors in plant development, secondary metabolism, and stress adaptation: Current insights and future prospects. Gm Crops Food-Biotechnol. Agric. Food Chain. 2025, 16, 626–655. [Google Scholar] [CrossRef] [PubMed]
- Dubos, C.; Stracke, R.; Grotewold, E.; Weisshaar, B.; Martin, C.; Lepiniec, L. MYB transcription factors in Arabidopsis. Trends Plant Sci. 2010, 15, 573–581. [Google Scholar] [CrossRef]
- Lu, C.; Yan, X.; Zhang, H.; Zhong, T.; Gui, A.; Liu, Y.; Pan, L.; Shao, Q. Integrated metabolomic and transcriptomic analysis reveals biosynthesis mechanism of flavone and caffeoylquinic acid in chrysanthemum. BMC Genom. 2024, 25, 759. [Google Scholar] [CrossRef]
- Tang, N.; Cao, Z.; Yang, C.; Ran, D.; Wu, P.; Gao, H.; He, N.; Liu, G.; Chen, Z. A R2R3-MYB transcriptional activator LmMYB15 regulates chlorogenic acid biosynthesis and phenylpropanoid metabolism in Lonicera macranthoides. Plant Sci. 2021, 308, 110924. [Google Scholar] [CrossRef]
- Luo, Q.; Liu, R.; Zeng, L.; Wu, Y.; Jiang, Y.; Yang, Q.; Nie, Q. Isolation and molecular characterization of NtMYB4a, a putative transcription activation factor involved in anthocyanin synthesis in tobacco. Gene 2020, 760, 144990. [Google Scholar] [CrossRef]
- Kim, D.; Jeon, S.J.; Yanders, S.; Park, S.C.; Kim, H.S.; Kim, S. MYB3 plays an important role in lignin and anthocyanin biosynthesis under salt stress condition in Arabidopsis. Plant Cell Rep. 2022, 41, 1549–1560. [Google Scholar] [CrossRef]
- Guan, R.; Guo, F.; Guo, R.; Wang, S.; Sun, X.; Zhao, Q.; Zhang, C.; Li, S.; Lin, H.; Lin, J. Integrated metabolic profiling and transcriptome analysis of Lonicera japonica flowers for chlorogenic acid, luteolin and endogenous hormone syntheses. Gene 2023, 888, 147739. [Google Scholar] [CrossRef]
- Rushton, P.J.; Somssich, I.E.; Ringler, P.; Shen, Q.J. WRKY transcription factors. Trends Plant Sci. 2010, 15, 247–258. [Google Scholar] [CrossRef] [PubMed]
- Javed, T.; Gao, S.J. WRKY transcription factors in plant defense. Trends Genet. 2023, 39, 787–801. [Google Scholar] [CrossRef]
- Zhang, J.; Yang, Y.; Zheng, K.; Xie, M.; Feng, K.; Jawdy, S.S.; Gunter, L.E.; Ranjan, P.; Singan, V.R.; Engle, N.; et al. Genome-wide association studies and expression-based quantitative trait loci analyses reveal roles of HCT2 in caffeoylquinic acid biosynthesis and its regulation by defense-responsive transcription factors in Populus. New Phytol. 2018, 220, 502–516. [Google Scholar] [CrossRef]
- Wang, Z.; Wang, S.; Liu, P.; Yang, X.; He, X.; Xie, X.; Luo, Z.; Wu, M.; Wang, C.; Yang, J. Molecular cloning and functional characterization of NtWRKY41a in the biosynthesis of phenylpropanoids in Nicotiana tabacum. Plant Sci. 2022, 315, 111154. [Google Scholar] [CrossRef] [PubMed]
- Ji, N.; Wang, J.; Li, Y.; Li, M.; Jin, P.; Zheng, Y. Involvement of PpWRKY70 in the methyl jasmonate primed disease resistance against Rhizopus stolonifer of peaches via activating phenylpropanoid pathway. Postharvest Biol. Technol. 2021, 174, 111466. [Google Scholar] [CrossRef]
- Gao, F.; Dubos, C. The arabidopsis bHLH transcription factor family. Trends Plant Sci. 2024, 29, 668–680. [Google Scholar] [CrossRef]
- Liu, Q.; Li, L.; Cheng, H.; Yao, L.; Wu, J.; Huang, H.; Ning, W.; Kai, G. The basic helix-loop-helix transcription factor TabHLH1 increases chlorogenic acid and luteolin biosynthesis in Taraxacum antungense Kitag. Hortic. Res. 2021, 8, 195. [Google Scholar] [CrossRef]
- Zhao, L.; Cao, Y.; Shan, G.; Zhou, J.; Li, X.; Liu, P.; Wang, Y.; An, S.; Gao, R. Transcriptome and metabolome profiling unveil the accumulation of chlorogenic acid in autooctoploid Gongju. Front. Plant Sci. 2024, 15, 1461357. [Google Scholar] [CrossRef]
- Zhang, A.; Liu, J.; Li, W.; Yang, L.; Duan, W.; Zhao, P.; Pu, Z.; Ding, Y. Revealing the dynamic changes of metabolites and molecular mechanisms of chlorogenic acid accumulation during the leaf development of Vaccinium dunalianum based on multi-omic analyses. Front. Plant Sci. 2024, 15, 1440589. [Google Scholar] [CrossRef]
- Ohama, N.; Yanagisawa, S. Role of GARP family transcription factors in the regulatory network for nitrogen and phosphorus acquisition. J. Plant Res. 2024, 137, 331–341. [Google Scholar] [CrossRef] [PubMed]
- Wang, Z.; Yang, J.; Gao, Q.; He, S.; Xu, Y.; Luo, Z.; Liu, P.; Wu, M.; Xu, X.; Ma, L.; et al. The transcription factor NtERF13a enhances abiotic stress tolerance and phenylpropanoid compounds biosynthesis in tobacco. Plant Sci. 2023, 334, 111772. [Google Scholar] [CrossRef]
- He, S.; Xu, X.; Gao, Q.; Huang, C.J.; Luo, Z.P.; Liu, P.P.; Wu, M.Z.; Huang, H.T.; Yang, J.; Zeng, J.M.; et al. NtERF4 promotes the biosynthesis of chlorogenic acid and flavonoids by targeting PAL genes in Nicotiana tabacum. Planta 2024, 259, 31. [Google Scholar] [CrossRef]
- Chen, Y.; Wang, Y.; Liang, X.; Zhang, Y.; Fernie, A.R. Mass spectrometric exploration of phytohormone profiles and signaling networks. Trends Plant Sci. 2023, 28, 399–414. [Google Scholar] [CrossRef]
- Setotaw, Y.B.; Li, J.; Qi, J.; Ma, C.; Zhang, M.; Huang, C.; Wang, L.; Wu, J. Salicylic acid positively regulates maize defenses against lepidopteran insects. Plant Divers. 2024, 46, 519–529. [Google Scholar] [CrossRef] [PubMed]
- Liao, Y.; Zeng, L.; Rao, S.; Gu, D.; Liu, X.; Wang, Y.; Zhu, H.; Hou, X.; Yang, Z. Induced biosynthesis of chlorogenic acid in sweetpotato leaves confers the resistance against sweetpotato weevil attack. J. Adv. Res. 2020, 24, 513–522. [Google Scholar] [CrossRef] [PubMed]
- Yu, Y.; Zhang, Q.; Liu, S.; Ma, P.; Jia, Z.; Xie, Y.; Bian, X. Effects of exogenous phytohormones on chlorogenic acid accumulation and pathway-associated gene expressions in sweetpotato stem tips. Plant Physiol. Biochem. 2021, 164, 21–26. [Google Scholar] [CrossRef]
- Abbasi, B.H.; Stiles, A.R.; Saxena, P.K.; Liu, C.Z. Gibberellic acid increases secondary metabolite production in Echinacea purpurea hairy roots. Appl. Biochem. Biotechnol. 2012, 168, 2057–2066. [Google Scholar] [CrossRef] [PubMed]
- Park, C.H.; Yeo, H.J.; Park, Y.J.; Morgan, A.M.; Arasu, M.V.; Al-Dhabi, N.A.; Park, S.U. Influence of Indole-3-Acetic Acid and Gibberellic Acid on Phenylpropanoid Accumulation in Common Buckwheat (Fagopyrum esculentum Moench) Sprouts. Molecules 2017, 22, 374. [Google Scholar] [CrossRef]
- Sharaf-Eldin, M.A.; Schnitzler, W.H.; Nitz, G.; Razin, A.M.; El-Oksh, I.I. The effect of gibberellic acid (GA3) on some phenolic substances in globe artichoke (Cynara cardunculus var. scolymus (L.) Fiori). Sci. Hortic. 2007, 111, 326–329. [Google Scholar] [CrossRef]
- Casanova-Sáez, R.; Mateo-Bonmatí, E.; Ljung, K. Auxin Metabolism in Plants. Cold Spring Harb. Perspect. Biol. 2021, 13, a039867. [Google Scholar] [CrossRef]
- Ghimire, B.K.; Kim, S.H.; Yu, C.Y.; Chung, I.M. Biochemical and Physiological Changes during Early Adventitious Root Formation in Chrysanthemum indicum Linné Cuttings. Plants 2022, 11, 1440. [Google Scholar] [CrossRef] [PubMed]
- Wang, Q.; Huang, D.; Tu, W.; Ma, F.; Liu, C. Overexpression of auxin/indole-3-acetic acid gene MdIAA24 enhances Glomerella leaf spot resistance in apple (Malus domestica). Hortic. Plant J. 2024, 10, 15–24. [Google Scholar] [CrossRef]
- Sun, Y.M.; Fernie, A.R. Plant secondary metabolism in a fluctuating world: Climate change perspectives. Trends Plant Sci. 2024, 29, 560–571. [Google Scholar] [CrossRef]
- Wu, W.Y.; Chen, L.; Liang, R.T.; Huang, S.P.; Li, X.; Huang, B.L.; Luo, H.M.; Zhang, M.; Wang, X.X.; Zhu, H. The role of light in regulating plant growth, development and sugar metabolism: A review. Front. Plant Sci. 2025, 15, 1507628. [Google Scholar] [CrossRef]
- Lu, C.F.; Liu, Y.C.; Yan, X.Y.; Gui, A.J.; Jiang, Y.L.; Wang, P.; Qiao, Q.; Shao, Q.S. Multiplex Approach of Metabolomic and Transcriptomic Reveals the Biosynthetic Mechanism of Light-induced Flavonoids and CGA in Chrysanthemum. Ind. Crops Prod. 2024, 221, 119420. [Google Scholar] [CrossRef]
- Meng, H.; Li, Y.; Lu, B.; Zhang, W.; Shi, X.; Fu, H.; Long, G. The Effect of Light Intensity on the Chlorogenic Acid Biosynthesis Pathway in Marsdenia tenacissima. Agronomy 2024, 14, 1063. [Google Scholar] [CrossRef]
- Chen, Y.; Xu, N.; Du, L.; Zhang, J.; Chen, R.; Zhu, Q.; Li, W.; Wu, C.; Peng, G.; Rao, L.; et al. Light plays a critical role in the accumulation of chlorogenic acid in Lonicera macranthoides Hand.-Mazz. Plant Physiol. Biochem. 2023, 196, 793–806. [Google Scholar] [CrossRef]
- Chen, X.; Cai, W.; Xia, J.; Yu, H.; Wang, Q.; Pang, F.; Zhao, M. Metabolomic and Transcriptomic Analyses Reveal that Blue Light Promotes Chlorogenic Acid Synthesis in Strawberry. J. Agric. Food Chem. 2020, 68, 12485–12492. [Google Scholar] [CrossRef]
- Fukuda, N.; Yoshida, H.; Kusano, M. Effects of light quality, photoperiod, CO2 concentration, and air temperature on chlorogenic acid and rutin accumulation in young lettuce plants. Plant Physiol. Biochem. 2022, 186, 290–298. [Google Scholar] [CrossRef] [PubMed]
- Senekovič, J.; Ciringer, T.; Ambrožič-Dolinšek, J.; Islamčević Razboršek, M. The Effect of Combined Elicitation with Light and Temperature on the Chlorogenic Acid Content, Total Phenolic Content and Antioxidant Activity of Berula erecta in Tissue Culture. Plants 2024, 13, 1463. [Google Scholar] [CrossRef]
- Percival, G.C.; Baird, L. Influence of storage upon light-induced chlorogenic acid accumulation in potato tubers (Solanum tuberosum L.). J. Agric. Food Chem. 2000, 48, 2476–2482. [Google Scholar] [CrossRef]
- Kidokoro, S.; Shinozaki, K.; Yamaguchi-Shinozaki, K. Transcriptional regulatory network of plant cold-stress responses. Trends Plant Sci. 2022, 27, 922–935. [Google Scholar] [CrossRef]
- Xie, R. Molecular Mechanism of Low Temperature-Induced NtMYB4a Transcription Factor Regulating Chlorogenic Acid Biosynthesis in Tobacco. Master’s Thesis, Guizhou University, Guiyang, China, 2022. [Google Scholar] [CrossRef]
- Sim, H.S.; Kwon, H.J.; Jang, S.N.; Lee, G.O.; Kang, I.J.; Yang, G.S.; Nam, G.H.; Park, J.E.; Byun, H.Y.; You, Y.H.; et al. Aster × chusanensis Growth and Phenolic Acid Composition under Different Cultivation Temperatures. Plants 2024, 13, 1855. [Google Scholar] [CrossRef]
- Goławska, S.; Łukasik, I.; Chojnacki, A.A.; Chrzanowski, G. Flavonoids and Phenolic Acids Content in Cultivation and Wild Collection of European Cranberry Bush Viburnum opulus L. Molecules 2023, 28, 2285. Molecules 2023, 28, 2285. [Google Scholar] [CrossRef]
- Farooq, M.; Wahid, A.; Zahra, N.; Hafeez, M.B.; Siddique, K.H.M. Recent Advances in Plant Drought Tolerance. J. Plant Growth Regul. 2024, 43, 3337–3369. [Google Scholar] [CrossRef]
- Azizyan, R.; Mandoulakani, B.A. Partial coding sequence identification, gene expression analysis, and content of anticancer phenolic compounds in Sonchus arvensis L. under drought stress conditions. Ind. Crops Prod. 2024, 209, 118030. [Google Scholar] [CrossRef]
- Khan, F.; Upreti, P.; Singh, R.; Shukla, P.K.; Shirke, P.A. Physiological performance of two contrasting rice varieties under water stress. Physiol. Mol. Biol. Plants 2017, 23, 85–97. [Google Scholar] [CrossRef] [PubMed]
- Sarker, U.; Oba, S. Drought stress enhances nutritional and bioactive compounds, phenolic acids and antioxidant capacity of Amaranthus leafy vegetable. BMC Plant Biol. 2018, 18, 258. [Google Scholar] [CrossRef] [PubMed]
- Park, Y.J.; Kwon, D.Y.; Koo, S.Y.; Truong, T.Q.; Hong, S.C.; Choi, J.; Moon, J.; Kim, S.M. Identification of drought-responsive phenolic compounds and their biosynthetic regulation under drought stress in Ligularia fischeri. Front. Plant Sci. 2023, 14, 1140509. [Google Scholar] [CrossRef]
- Ghafari, H.; Hassanpour, H.; Jafari, M.; Besharat, S. Physiological, biochemical and gene-expressional responses to water deficit in apple subjected to partial root-zone drying (PRD). Plant Physiol. Biochem. 2020, 148, 333–346. [Google Scholar] [CrossRef] [PubMed]
- Xie, W.; Tao, W.; Zhang, H.; Luo, J.; Deng, X.; Li, D.; Li, Q.; Wang, H.; Yue, Y.; Jiang, S.; et al. Transcriptome and metabolome profiling reveal the chlorogenic acid as a resistance substance for rice against the white-backed planthopper Sogatella furcifera (Horváth). Front. Plant Sci. 2025, 16, 1571893. [Google Scholar] [CrossRef]
- Liu, X.; Wang, Y.; Zhu, H.; Mei, G.; Liao, Y.; Rao, S.; Li, S.; Chen, A.; Liu, H.; Zeng, L.; et al. Natural allelic variation confers high resistance to sweet potato weevils in sweet potato. Nat. Plants 2022, 8, 1233–1244. [Google Scholar] [CrossRef]
- Wang, L.; Wang, H.J.; Chen, J.B.; Hu, M.L.; Shan, X.Y.; Zhou, J.W. Efficient Production of Chlorogenic Acid in Escherichia coli via Modular Pathway and Cofactor Engineering. J. Agric. Food Chem. 2023, 71, 15204–15212. [Google Scholar] [CrossRef]
- Zhang, Z.Y.; Liu, P.F.; Zhang, B.; Shen, J.; Wu, J.Q.; Huang, S.S.; Chu, X.H. De novo Biosynthesis of Caffeic Acid and Chlorogenic Acid in Escherichia coli via Enzyme Engineering and Pathway Engineering. Acs Synth. Biol. 2025, 14, 1581–1593. [Google Scholar] [CrossRef]
- Hu, M.L.; Chen, J.B.; Wang, H.J.; Wang, L.; Gao, S.; Zhou, Z.M.; Zhou, J.W. Efficient Biosynthesis of Chlorogenic Acid in Escherichia coli by Optimization of Precursors Metabolic Flow and Reduction of an Unknown Byproduct. Acs Sustain. Chem. Eng. 2025, 13, 3479–3490. [Google Scholar] [CrossRef]
- Xiao, F.; Lian, J.Z.; Tu, S.; Xie, L.L.; Li, J.; Zhang, F.M.; Linhardt, R.J.; Huang, H.C.; Zhong, W.H. Metabolic Engineering of Saccharomyces cerevisiae for High-Level Production of Chlorogenic Acid from Glucose. Acs Synth. Biol. 2022, 11, 800–811. [Google Scholar] [CrossRef] [PubMed]
- Tu, S.; Wang, J.J.; Yang, P.M.; He, Y.; Gong, Z.X.; Zhong, W.H. Enhanced chlorogenic acid production from glucose via systematic metabolic engineering of Saccharomyces cerevisiae. Synth. Syst. Biotechnol. 2025, 10, 707–718. [Google Scholar] [CrossRef]
- Lee, Y.; Bae, C.S.; Ahn, T. Chlorogenic acid attenuates pro-inflammatory response in the blood of streptozotocin-induced diabetic rats. Lab. Anim. Res. 2022, 38, 37. [Google Scholar] [CrossRef] [PubMed]
- Tan, H.; Zhen, W.; Bai, D.; Liu, K.; He, X.; Ito, K.; Liu, Y.; Li, Y.; Zhang, Y.; Zhang, B.; et al. Effects of dietary chlorogenic acid on intestinal barrier function and the inflammatory response in broilers during lipopolysaccharide-induced immune stress. Poult. Sci. 2023, 102, 102623. [Google Scholar] [CrossRef]
- Han, X.; Wu, X.; Liu, F.; Chen, H.; Hou, H. Inhibition of LPS-induced inflammatory response in RAW264.7 cells by natural Chlorogenic acid isomers involved with AKR1B1 inhibition. Bioorg. Med. Chem. 2024, 114, 117942. [Google Scholar] [CrossRef]
- Jiao, H.; Zhang, M.; Xu, W.; Pan, T.; Luan, J.; Zhao, Y.; Zhang, Z. Chlorogenic acid alleviate kidney fibrosis through regulating TLR4/NF-қB mediated oxidative stress and inflammation. J. Ethnopharmacol. 2024, 335, 118693. [Google Scholar] [CrossRef] [PubMed]
- Xu, X.; Wang, L.; Wu, G.; Li, X. Therapeutic effects of chlorogenic acid on allergic rhinitis through TLR4/MAPK/NF-κB pathway modulation. Biomol. Biomed. 2025, 25, 1571–1580. [Google Scholar] [CrossRef] [PubMed]
- Wang, H.; Zhao, Y.; Zhang, Y.; Yang, T.; Zhao, S.; Sun, N.; Tan, H.; Zhang, H.; Wang, C.; Fan, H. Effect of Chlorogenic Acid via Upregulating Resolvin D1 Inhibiting the NF-κB Pathway on Chronic Restraint Stress-Induced Liver Inflammation. J. Agric. Food Chem. 2022, 70, 10532–10542. [Google Scholar] [CrossRef]
- Xu, Y.; Zhang, J.; Pan, T.; Ren, F.; Luo, H.; Zhang, H. Synthesis, characterization and effect of alkyl chain unsaturation on the antioxidant activities of chlorogenic acid derivatives. LWT 2022, 162, 113325. [Google Scholar] [CrossRef]
- Caruso, F.; Sakib, R.; Belli, S.; Caruso, A.; Rossi, M. Antioxidant Scavenging of the Superoxide Radical by Yerba Mate (Ilex paraguariensis) and Black Tea (Camellia sinensis) Plus Caffeic and Chlorogenic Acids, as Shown via DFT and Hydrodynamic Voltammetry. Int. J. Mol. Sci. 2024, 25, 9342. [Google Scholar] [CrossRef]
- Izu, G.O.; Mfotie Njoya, E.; Tabakam, G.T.; Nambooze, J.; Otukile, K.P.; Tsoeu, S.E.; Fasiku, V.O.; Adegoke, A.M.; Erukainure, O.L.; Mashele, S.S.; et al. Unravelling the Influence of Chlorogenic Acid on the Antioxidant Phytochemistry of Avocado (Persea americana Mill.) Fruit Peel. Antioxidants 2024, 13, 456. [Google Scholar] [CrossRef]
- Kang, J.B.; Son, H.K.; Park, D.J.; Jin, Y.B.; Shah, F.A.; Koh, P.O. Modulation of thioredoxin by chlorogenic acid in an ischemic stroke model and glutamate-exposed neurons. Neurosci. Lett. 2024, 825, 137701. [Google Scholar] [CrossRef]
- Heitman, E.; Ingram, D.K. Cognitive and neuroprotective effects of chlorogenic acid. Nutr. Neurosci. 2017, 20, 32–39. [Google Scholar] [CrossRef]
- Mirzaei, F.; Agbaria, L.; Bhatnagar, K.; Sirimanne, N.; Omar A’amar, N.; Jindal, V.; Gerald Thilagendra, A.; Tawfiq Raba, F. Coffee and Alzheimer’s disease. Prog. Brain Res. 2024, 289, 21–55. [Google Scholar] [CrossRef]
- Singh, A.K.; Singh, I.; Pai, V. Protective Effects of Chlorogenic Acid Against Amyloid-Beta-Induced Oxidative Stress and Ion Transport Dysfunction in SH-SY5Y Cells. J. Biochem. Mol. Toxicol. 2024, 38, e70046. [Google Scholar] [CrossRef]
- Huang, S.; Wang, L.L.; Xue, N.N.; Li, C.; Guo, H.H.; Ren, T.K.; Zhan, Y.; Li, W.B.; Zhang, J.; Chen, X.G.; et al. Chlorogenic acid effectively treats cancers through induction of cancer cell differentiation. Theranostics 2019, 9, 6745–6763. [Google Scholar] [CrossRef] [PubMed]
- Zada, S.; Bahar, M.E.; Kim, W.; Kim, D.R. Chlorogenic Acid Enhances Beta-Lapachone-Induced Cell Death by Suppressing Autophagy in NQO1-Positive Cancer Cells. Cell Biol. Int. 2025, 49, 555–569. [Google Scholar] [CrossRef] [PubMed]
- Srisomsap, C.; Chaisuriya, P.; Liana, D.; Aiyarakanchanakun, P.; Audsasan, T.; Weeraphan, C.; Svasti, J.; Phanumartwiwath, A. Pharmacological Properties of White Mulberry (Morus alba L.) Leaves: Suppressing Migratory and Invasive Activities Against A549 Lung Cancer Cells. Plant Foods Hum. Nutr. 2024, 79, 387–393. [Google Scholar] [CrossRef]
- Wang, Q.; Du, T.; Zhang, Z.; Zhang, Q.; Zhang, J.; Li, W.; Jiang, J.D.; Chen, X.; Hu, H.Y. Target fishing and mechanistic insights of the natural anticancer drug candidate chlorogenic acid. Acta Pharm. Sin. B 2024, 14, 4431–4442. [Google Scholar] [CrossRef]
- Yang, X.; Feng, Y.; Liu, Y.; Ye, X.; Ji, X.; Sun, L.; Gao, F.; Zhang, Q.; Li, Y.; Zhu, B.; et al. Fuzheng Jiedu Xiaoji formulation inhibits hepatocellular carcinoma progression in patients by targeting the AKT/CyclinD1/p21/p27 pathway. Phytomedicine 2021, 87, 153575. [Google Scholar] [CrossRef] [PubMed]
- Park, H.Y.; Lee, S.; Kim, S.H.; Park, J.E.; Hwang, Y.S.; Kang, M.H.; Chae, S.Y.; Kim, J.W. Anticancer effects of purple carrot extract via induction of apoptotic genes on human breast cancer cells. Food Sci. Biotechnol. 2025, 34, 1737–1749. [Google Scholar] [CrossRef]
- Kang, M.J.; Kim, D.K. Synergistic antimicrobial action of chlorogenic acid and ultraviolet-A (365 nm) irradiation; mechanisms and effects on DNA integrity. Food Res. Int. 2024, 196, 115132, Corrigendum in Food Res. Int. 2024, 197, 115182. https://doi.org/10.1016/j.foodres.2024.115182. [Google Scholar] [CrossRef]
- Han, X.; Chen, J.; Wang, Q.; Zhang, J.; Mi, J.; Feng, J.; Du, T.; Wang, J.; Zhang, W. Photodynamically activated chlorogenic acid-based antimicrobial packaging films for cherry preservation. Food Chem. 2025, 479, 143857. [Google Scholar] [CrossRef]
- Yang, X.; Lan, W.; Xie, J. Antimicrobial and anti-biofilm activities of chlorogenic acid grafted chitosan against Staphylococcus aureus. Microb. Pathog. 2022, 173, 105748. [Google Scholar] [CrossRef] [PubMed]
- Liu, Y.; Guan, L.; Yang, D.; Luo, H.; Zhang, H. Investigating the synergistic antibacterial effects of chlorogenic and p-coumaric acids on Shigella dysenteriae. Food Chem. 2025, 462, 141011. [Google Scholar] [CrossRef] [PubMed]
- Naveed, M.; Saleem, A.; Aziz, T.; Ali, N.; Rajpoot, Z.; Niaz, M.; Khan, A.A.; El Hadi Mohamed, R.A.; Al-Asmari, F.; Al-Joufi, F.A.; et al. Exploring the therapeutic potential of Thymus vulgaris ethanol extract: A computational screening for antimicrobial compounds against COVID-19 induced mucormycosis. Sci. Rep. 2025, 15, 15906. [Google Scholar] [CrossRef]
- Jiang, S.; Chen, F.Q.; Hu, Q.Q.; Yang, F.; Hu, N.; Luo, X.N.; Zhang, Y.; Wu, N.; Li, N. Study on the effect of chlorogenic acid on the anti-microbial effect, physical properties and model accuracy of alginate impression materials. PeerJ 2024, 12, e18228. [Google Scholar] [CrossRef]
- Wang, F.; Kong, B.L.; Tang, Y.S.; Lee, H.K.; Shaw, P.C. Bioassay guided isolation of caffeoylquinic acids from the leaves of Ilex pubescens Hook. et Arn. and investigation of their anti-influenza mechanism. J. Ethnopharmacol. 2023, 309, 116322. [Google Scholar] [CrossRef]
- Yang, Y.; Zhang, Q.; Cai, H.; Feng, Y.; Wen, A.; Yang, Y.; Wen, M. RNA-seq analysis of chlorogenic acid intervention in duck embryo fibroblasts infected with duck plague virus. Virol. J. 2024, 21, 60. [Google Scholar] [CrossRef]
- Shi, C.; Liang, W.; Guo, M.; Yuan, J.; Zu, S.; Hu, H. Chlorogenic acid inhibits porcine deltacoronavirus release by targeting apoptosis. Int. Immunopharmacol. 2024, 127, 111359. [Google Scholar] [CrossRef] [PubMed]
- Singh, A.K.; Rana, H.K.; Singh, V.; Yadav, T.C.; Varadwaj, P.; Pandey, A.K. Evaluation of antidiabetic activity of dietary phenolic compound chlorogenic acid in streptozotocin induced diabetic rats: Molecular docking, molecular dynamics, in silico toxicity, in vitro and in vivo studies. Comput. Biol. Med. 2021, 134, 104462. [Google Scholar] [CrossRef]
- Jiang, H.; Wang, Y.; Li, J.; Guo, H.; Wang, L.; Li, J.; Wang, X.; Zhang, Y. Inhibitory mechanism of chlorogenic acid on α-glucosidase and evaluation of its glucose consumption in HepG2 cells. J. Mol. Struct. 2025, 1331, 141607. [Google Scholar] [CrossRef]
- Studzińska-Sroka, E.; Paczkowska-Walendowska, M.; Kledzik, J.; Galanty, A.; Gościniak, A.; Szulc, P.; Korybalska, K.; Cielecka-Piontek, J. Antidiabetic Potential of Black Elderberry Cultivars Flower Extracts: Phytochemical Profile and Enzyme Inhibition. Molecules 2024, 29, 5775. [Google Scholar] [CrossRef]
- Zhou, W.; Chen, H.; Tian, Y.; Lei, J.; Yu, J. Study on antioxidant and antidiabetic components of Cirsium setosum based on molecular networking. Food Biosci. 2024, 61, 104774. [Google Scholar] [CrossRef]
- Stevens, M.R.; van Niekerk, S.E.; Netshimbupfe, M.H.; Hamman, J.H.; Van der Kooy, F. Seasonal Chemical Variation and Antidiabetic Activity of Major Compounds in Artemisia afra Infusions. Rev. Bras. Farmacogn. 2024, 34, 1166–1171. [Google Scholar] [CrossRef]
- Wei, Z.; Yu, B.; Huang, Z.; Luo, Y.; Zheng, P.; Mao, X.; Yu, J.; Luo, J.; Yan, H.; He, J. Effect of 3-caffeoylquinic acid on growth performance, nutrient digestibility, and intestinal functions in weaned pigs. J. Anim. Sci. 2023, 101, skad234. [Google Scholar] [CrossRef]
- Zhang, B.; Tian, M.; Wu, J.; Qiu, Y.; Xu, X.; Tian, C.; Hou, J.; Wang, L.; Gao, K.; Yang, X.; et al. Chlorogenic Acid Enhances the Intestinal Health of Weaned Piglets by Inhibiting the TLR4/NF-κB Pathway and Activating the Nrf2 Pathway. Int. J. Mol. Sci. 2024, 25, 9954. [Google Scholar] [CrossRef] [PubMed]
- Wang, L.; Zhang, C.; Memon, M.A.; Shi, Q.; Lu, L.; Tong, X.; Ma, Y.; Zou, H.; Gu, J.; Liu, X.; et al. Chlorogenic acid alleviates cadmium-induced neuronal injury in chicken cerebral cortex by inhibiting incomplete autophagy mediated by AMPK-ULK1 pathway. Poult. Sci. 2025, 104, 104597. [Google Scholar] [CrossRef] [PubMed]
- Bi, R.; Yang, M.; Liu, X.; Guo, F.; Hu, Z.; Huang, J.; Abbas, W.; Xu, T.; Liu, W.; Wang, Z. Effects of chlorogenic acid on productive and reproductive performances, egg quality, antioxidant functions, and intestinal microenvironment in aged breeder laying hens. Poult. Sci. 2024, 103, 104060. [Google Scholar] [CrossRef] [PubMed]
- Sun, Z.; Zhang, X.; Wu, H.; Wang, H.; Bian, H.; Zhu, Y.; Xu, W.; Liu, F.; Wang, D.; Fu, L. Antibacterial activity and action mode of chlorogenic acid against Salmonella Enteritidis, a foodborne pathogen in chilled fresh chicken. World J. Microbiol. Biotechnol. 2020, 36, 24. [Google Scholar] [CrossRef]
- Dai, J.; Dong, F.; Dong, Z.; Bai, Z.; Mao, L. Enhanced antibacterial and antioxidant activities of chlorogenic acid loaded sweet whey/starch active films for edible food packaging. LWT 2024, 199, 116118. [Google Scholar] [CrossRef]
- Estevez-Areco, S.; Goyanes, S.; Garrigós, M.C.; Jiménez, A. Antioxidant water-resistant fish gelatin nanofibers: A comparative analysis of fructose and citric acid crosslinking and investigation of chlorogenic acid release kinetics. Food Hydrocoll. 2024, 150, 109696. [Google Scholar] [CrossRef]
- Hao, X.; Di, J.; Han, Z. Effects of Different Concentrations of Exogenous Chlorogenic Acid Treatments on the Storage Quality of ‘Lvbao Melon’. Storage Process 2025, 25, 59–64. [Google Scholar]
- Dai, B. Inhibitory Mechanism of Chlorogenic Acid on Gray Mold of Postharvest Peach Fruit and the Construction and Application of Its Nanosystems. Master’s Thesis, Zhejiang Gongshang University, Hangzhou, China, 2024. [Google Scholar] [CrossRef]
- Song, S.; Zhang, Y.; Liu, T.; Goh, K.-L.; Zhang, Y.; Zheng, M. Enzymatic synthesis and antioxidation characterization of various acylated chlorogenic acids via regioselective and recyclable immobilized lipases. Food Biosci. 2025, 63, 105678. [Google Scholar] [CrossRef]
- Zhang, C.; Wang, Y.; Yu, Z.; Xu, Y.; Guo, Y.; Liu, R.; Chang, M.; Wang, X. Enhancing the oxidation stability and bioaccessibility of algal oil emulsion by using tocopherol and chlorogenic acid. Food Biosci. 2024, 61, 104495. [Google Scholar] [CrossRef]
- Preedalikit, W.; Chittasupho, C.; Leelapornpisid, P.; Qi, S.; Kiattisin, K. Development and Evaluation of Anti-Pollution Film-Forming Facial Spray Containing Coffee Cherry Pulp Extract. Pharmaceutics 2025, 17, 360. [Google Scholar] [CrossRef]
- Sato, H.; Mizoi, J.; Shinozaki, K.; Yamaguchi-Shinozaki, K. Complex plant responses to drought and heat stress under climate change. Plant J. 2024, 117, 1873–1892. [Google Scholar] [CrossRef] [PubMed]
- She, M.; Zheng, D.; Zhang, S.; Ke, Z.; Wu, Z.; Zou, H.; Zhang, Z. Functional analysis of maize GRAS transcription factor gene ZmGRAS72 in response to drought and salt stresses. Agric. Commun. 2024, 2, 100054. [Google Scholar] [CrossRef]
- Kumari, S.; Basu, S.; Kumar, G. A systematic review on the implications of concurrent heat and drought stress in modulating floral development in plants. Plant Sci. 2024, 349, 112248. [Google Scholar] [CrossRef]
- Ilea, M.I.M.; Zapata, P.J.; Fernández-Picazo, C.; Díaz-Mula, H.M.; Castillo, S.; Guillén, F. Chlorogenic Acid as a Promising Tool for Mitigating Chilling Injury: Cold Tolerance and the Ripening Effect on Tomato Fruit (Solanum lycopersicum L.). Plants 2024, 13, 2055. [Google Scholar] [CrossRef]
- Sui, X.; Meng, Z.; Dong, T.T.; Fan, X.T.; Wang, Q.G. Enzymatic browning and polyphenol oxidase control strategies. Curr. Opin. Biotechnol. 2023, 81, 102921. [Google Scholar] [CrossRef]
- Wang, T.T.; Yan, T.; Shi, J.K.; Sun, Y.M.; Wang, Q.G.; Li, Q.Q. The stability of cell structure and antioxidant enzymes are essential for fresh-cut potato browning. Food Res. Int. 2023, 164, 112449. [Google Scholar] [CrossRef]
- Tilley, A.; McHenry, M.P.; McHenry, J.A.; Solah, V.; Bayliss, K. Enzymatic browning: The role of substrates in polyphenol oxidase mediated browning. Curr. Res. Food Sci. 2023, 7, 100623. [Google Scholar] [CrossRef] [PubMed]
- McLarin, M.A.; Leung, I.K.H. Substrate specificity of polyphenol oxidase. Crit. Rev. Biochem. Mol. Biol. 2020, 55, 274–308. [Google Scholar] [CrossRef] [PubMed]
- Li, X.; Luo, S.; Shen, J.; Li, C.; Kadeer, W.; Chen, L.; Li, X.; Jiang, Y.; Tang, Y. Synergistic anti-browning effects of short-term high oxygen pre-stimulation and supercooled storage on fresh-cut potatoes by regulating polyphenol biosynthesis and membrane lipid oxidation. Postharvest Biol. Technol. 2025, 219, 113257. [Google Scholar] [CrossRef]
- You, W.L.; Wang, C.F.; Zhang, J.L.; Ru, X.Y.; Xu, F.; Wu, Z.G.; Jin, P.; Zheng, Y.H.; Cao, S.F. Exogenous chlorogenic acid inhibits quality deterioration in fresh-cut potato slices. Food Chem. 2024, 446, 138866. [Google Scholar] [CrossRef]
- Perveen, N.; Dinesh, M.R.; Sankaran, M.; Lakkireddy, V.; Shivashankara, K.S.; Venugopal, R. Phenolics Signatures in Response to Salinity Stress Provide Novel Insights into Physiological Basis of Salt Tolerance in Mango (Mangifera indica L.). J. Plant Growth Regul. 2024, 43, 4866–4885. [Google Scholar] [CrossRef]
- Feng, Y.; Tian, W.; Guo, J.; Fu, J.; Wang, J.; Wang, Y.; Zhao, Z. Regulation of MdANR in Anti-Burning Process of Apple Peel. Int. J. Mol. Sci. 2025, 26, 4656. [Google Scholar] [CrossRef]
- Elbasan, F.; Arikan, B.; Ozfidan-Konakci, C.; Tofan, A.; Yildiztugay, E. Hesperidin and chlorogenic acid mitigate arsenic-induced oxidative stress via redox regulation, photosystems-related gene expression, and antioxidant efficiency in the chloroplasts of Zea mays. Plant Physiol. Biochem. 2024, 208, 108445. [Google Scholar] [CrossRef]
- Kumar, M.; Umesh, K.P.; Pandey, P.P.; Firake, D.M.; Pandit, S.S. Eggplant’s chlorogenic acid provides resistance against the tropical armyworm. bioRxiv 2023. [Google Scholar] [CrossRef]
- Lin, D.J.; Fang, Y.; Li, L.Y.; Zhang, L.Z.; Gao, S.J.; Wang, R.; Wang, J.D. The insecticidal effect of the botanical insecticide chlorogenic acid on Mythimna separata (Walker) is related to changes in MsCYP450 gene expression. Front. Plant Sci. 2022, 13, 1015095. [Google Scholar] [CrossRef] [PubMed]
- Olthof, M.R.; Katan, M.B.; Hollman, P.C.H. Chlorogenic Acid and Caffeic Acid Are Absorbed in Humans. J. Nutr. 2001, 131, 66–71. [Google Scholar] [CrossRef]
- Farah, A.; de Paula Lima, J. Coffee: Consumption and Health Implications; Farah, A., Farah, A., Eds.; The Royal Society of Chemistry: London, UK, 2019; pp. 364–415. [Google Scholar] [CrossRef]
- Monteiro, M.; Farah, A.; Perrone, D.; Trugo, L.C.; Donangelo, C. Chlorogenic Acid Compounds from Coffee Are Differentially Absorbed and Metabolized in Humans1,2. J. Nutr. 2007, 137, 2196–2201. [Google Scholar] [CrossRef]
- Stalmach, A.; Mullen, W.; Barron, D.; Uchida, K.; Yokota, T.; Cavin, C.; Steiling, H.; Williamson, G.; Crozier, A. Metabolite Profiling of Hydroxycinnamate Derivatives in Plasma and Urine after the Ingestion of Coffee by Humans: Identification of Biomarkers of Coffee Consumption. Drug Metab. Dispos. 2009, 37, 1749–1758. [Google Scholar] [CrossRef]
- Stalmach, A.; Steiling, H.; Williamson, G.; Crozier, A. Bioavailability of chlorogenic acids following acute ingestion of coffee by humans with an ileostomy. Arch. Biochem. Biophys. 2010, 501, 98–105. [Google Scholar] [CrossRef]
- Renouf, M.; Marmet, C.; Giuffrida, F.; Lepage, M.; Barron, D.; Beaumont, M.; Williamson, G.; Dionisi, F. Dose-response plasma appearance of coffee chlorogenic and phenolic acids in adults. Mol. Nutr. Food Res. 2014, 58, 301–309. [Google Scholar] [CrossRef]
- Williamson, G.; Stalmach, A. Absorption and metabolism of dietary chlorogenic acids and procyanidins. In Recent Advances in Polyphenol Research; Cheynier, V., Sarni-Manchado, P., Quideau, S., Eds.; John Wiley & Sons, Ltd.: Chichester, UK, 2012; Volume 3, pp. 209–222. [Google Scholar] [CrossRef]
- Cao, X.X.; Wu, C.M.; Tian, Y.; Guo, P. The caffeic acid moiety plays an essential role in attenuating lipid accumulation by chlorogenic acid and its analogues. Rsc Adv. 2019, 9, 12247–12254. [Google Scholar] [CrossRef] [PubMed]





| Number | Systematic Name (with Common Aliases) | CAS Number |
|---|---|---|
| Mono-caffeoylquinic acids | ||
| 1 | 1-O-Caffeoylquinic acid (1-CQA) | 1241-87-8 |
| 2 | 5-O-Caffeoylquinic acid (Chlorogenic acid, 5-CQA) | 327-97-9 |
| 3 | 4-O-Caffeoylquinic acid (Cryptochlorogenic acid, 4-CQA) | 905-99-7 |
| 4 | 3-O-Caffeoylquinic acid (Neochlorogenic acid, 3-CQA) | 906-33-2 |
| Di-caffeoylquinic acids | ||
| 5 | 1,3-Dicaffeoylquinic acid (1,3-diCQA) | 30964-13-7 |
| 6 | 1,4-Dicaffeoylquinic acid (1,4-diCQA) | 1182-34-9 |
| 7 | 1,5-Dicaffeoylquinic acid (1,5-diCQA) | 212891-05-9 |
| 8 | 3,4-Dicaffeoylquinic acid (isochlorogenic acid B (3,4-diCQA) | 14534-61-3 |
| 9 | 3,5-Dicaffeoylquinic acid (isochlorogenic acid A (1,3-diCQA) | 2450-53-5 |
| 10 | 4,5-Dicaffeoylquinic acid (isochlorogenic acid C (4,5-diCQA) | 57378-72-0 |
| Tri-caffeoylquinic acids | ||
| 11 | 1,3,4-Tricaffeoylquinic acid (1,3,4-triCQA) | 1073897-77-4 |
| 12 | 1,3,5-Tricaffeoylquinic acid (1,3,5-triCQA) | 150035-89-5 |
| 13 | 1,4,5-Tricaffeoylquinic acid (1,4,5-triCQA) | 1073897-83-2 |
| 14 | 3,4,5-Tricaffeoylquinic acid (3,4,5-triCQA) | 86632-03-3 |
| Tetra- caffeoylquinic acids | ||
| 15 | 1,3,4,5tetracaffeoylquinic acid (1,3,4,5-tetraCQA) | 158364-86-4 |
Disclaimer/Publisher’s Note: The statements, opinions and data contained in all publications are solely those of the individual author(s) and contributor(s) and not of MDPI and/or the editor(s). MDPI and/or the editor(s) disclaim responsibility for any injury to people or property resulting from any ideas, methods, instructions or products referred to in the content. |
© 2025 by the authors. Licensee MDPI, Basel, Switzerland. This article is an open access article distributed under the terms and conditions of the Creative Commons Attribution (CC BY) license (https://creativecommons.org/licenses/by/4.0/).
Share and Cite
Chen, H.; Pan, B.; Zhang, S.; Li, X.; Zhang, Y.; Gao, K.; Chen, D.; Wang, L.; Jiang, T.; Luo, C.; et al. Recent Advances in Biosynthesis and Bioactivity of Plant Caffeoylquinic Acids. Curr. Issues Mol. Biol. 2025, 47, 942. https://doi.org/10.3390/cimb47110942
Chen H, Pan B, Zhang S, Li X, Zhang Y, Gao K, Chen D, Wang L, Jiang T, Luo C, et al. Recent Advances in Biosynthesis and Bioactivity of Plant Caffeoylquinic Acids. Current Issues in Molecular Biology. 2025; 47(11):942. https://doi.org/10.3390/cimb47110942
Chicago/Turabian StyleChen, Hanqin, Bo Pan, Shilong Zhang, Xin Li, Yuyao Zhang, Kang Gao, Dongliang Chen, Lili Wang, Tianhua Jiang, Chang Luo, and et al. 2025. "Recent Advances in Biosynthesis and Bioactivity of Plant Caffeoylquinic Acids" Current Issues in Molecular Biology 47, no. 11: 942. https://doi.org/10.3390/cimb47110942
APA StyleChen, H., Pan, B., Zhang, S., Li, X., Zhang, Y., Gao, K., Chen, D., Wang, L., Jiang, T., Luo, C., & Huang, C. (2025). Recent Advances in Biosynthesis and Bioactivity of Plant Caffeoylquinic Acids. Current Issues in Molecular Biology, 47(11), 942. https://doi.org/10.3390/cimb47110942

