CBD Disrupts Malme-3M Cell Metabolism via Glycolytic Shift and Redox Imbalance
Abstract
1. Introduction
2. Materials and Methods
2.1. Cell Culture
2.2. Dosing with CBD
2.3. Metabolite Measurements
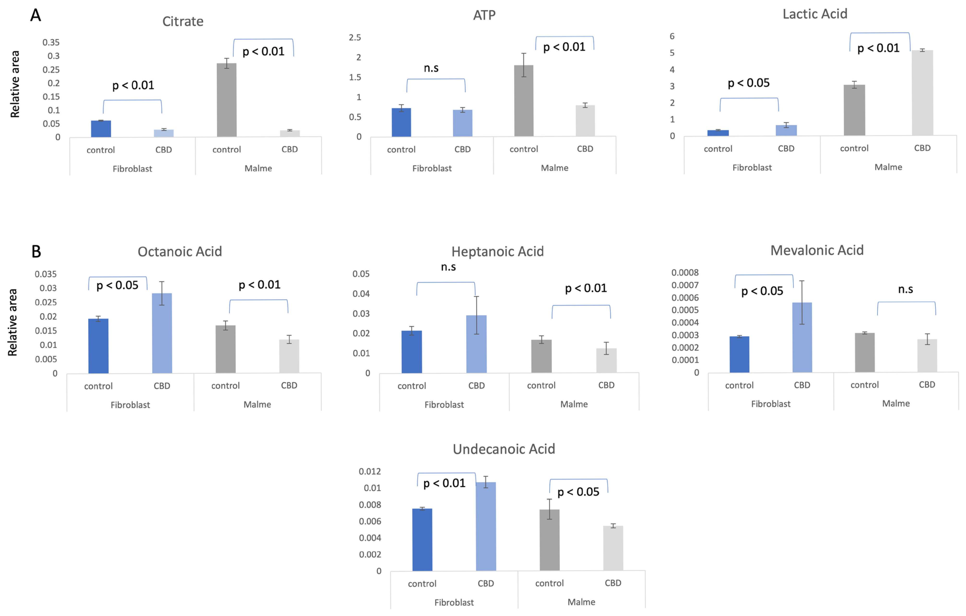
3. Results
4. Discussion
5. Conclusions
Supplementary Materials
Author Contributions
Funding
Institutional Review Board Statement
Informed Consent Statement
Data Availability Statement
Conflicts of Interest
References
- Nguyen, T.Q.; Park, H.S.; Choi, S.H.; Hong, D.Y.; Cheon, J.Y.; Lee, Y.M.; Kim, C.M.; Hong, J.K.; Oh, S.J.; Cho, M.S.; et al. New Cannabinoids and Chlorin-Type Metabolites from the Flowers of Cannabis sativa L.: A Study on Their Neuroblastoma Activity. Pharmaceuticals 2025, 18, 521. [Google Scholar] [CrossRef] [PubMed]
- Deng, Y.M.; Zhao, C.; Wu, L.; Qu, Z.; Wang, X.Y. Cannabinoid Receptor-1 suppresses M2 macrophage polarization in colorectal cancer by downregulating EGFR. Cell Death Discov. 2022, 8, 273. [Google Scholar] [CrossRef] [PubMed]
- Ivanov, V.N.; Wu, J.; Wang, T.J.C.; Hei, T.K. Inhibition of ATM kinase upregulates levels of cell death induced by cannabidiol and gamma-irradiation in human glioblastoma cells. Oncotarget 2019, 10, 825–846. [Google Scholar] [CrossRef] [PubMed]
- Esmaeli, M.; Dehghanpour Dehabadi, M. Cannabidiol (CBD) as a potential therapeutic agent for liver cancer: A comprehensive review of current evidence. Cancer Cell Int. 2025, 25, 215. [Google Scholar] [CrossRef]
- Nahler, G. Cannabidiol and Other Phytocannabinoids as Cancer Therapeutics. Pharmaceut. Med. 2022, 36, 99–129. [Google Scholar] [CrossRef]
- Wang, K.; Schober, L.; Fischer, A.; Bechmann, N.; Maurer, J.; Peischer, L.; Reul, A.; Hantel, C.; Reincke, M.; Beuschlein, F.; et al. Opposing Effects of Cannabidiol in Patient-derived Neuroendocrine Tumor, Pheochromocytoma/Paraganglioma Primary Cultures. J. Clin. Endocrinol. Metab. 2024, 109, 2892–2904. [Google Scholar] [CrossRef]
- Alghamdi, S.S.; Albahlal, H.N.; Aloumi, D.E.; Bin Saqyah, S.; Alsubait, A.; Alamre, J.; Alrashed, M.; Alsuhabeny, N.; Mohammed, A.E. Revealing the therapeutic potential of synthetic cannabinoids: A systematic review of cannabinoid receptor binding dynamics and their implications for cancer therapy. J. Cannabis Res. 2025, 7, 33. [Google Scholar] [CrossRef]
- Massi, P.; Solinas, M.; Cinquina, V.; Parolaro, D. Cannabidiol as potential anticancer drug. Br. J. Clin. Pharmacol. 2013, 75, 303–312. [Google Scholar] [CrossRef]
- Almeida, C.F.; Teixeira, N.; Correia-da-Silva, G.; Amaral, C. Cannabinoids in Breast Cancer: Differential Susceptibility According to Subtype. Molecules 2021, 27, 156. [Google Scholar] [CrossRef]
- Guzman, M.; Duarte, M.J.; Blazquez, C.; Ravina, J.; Rosa, M.C.; Galve-Roperh, I.; Sanchez, C.; Velasco, G.; Gonzalez-Feria, L. A pilot clinical study of Delta9-tetrahydrocannabinol in patients with recurrent glioblastoma multiforme. Br. J. Cancer 2006, 95, 197–203. [Google Scholar] [CrossRef]
- Bukowska, B. Current and Potential Use of Biologically Active Compounds Derived from Cannabis sativa L. in the Treatment of Selected Diseases. Int. J. Mol. Sci. 2024, 25, 12738. [Google Scholar] [CrossRef]
- Pagano, C.; Navarra, G.; Coppola, L.; Avilia, G.; Bifulco, M.; Laezza, C. Cannabinoids: Therapeutic Use in Clinical Practice. Int. J. Mol. Sci. 2022, 23, 3344. [Google Scholar] [CrossRef] [PubMed]
- Pongking, T.; Thongpon, P.; Intuyod, K.; Klungsaeng, S.; Thanan, R.; Chaidee, A.; Charoenram, N.; Kongsintaweesuk, S.; Sakonsinsiri, C.; Vaeteewoottacharn, K.; et al. Cannabidiol exhibits potent anti-cancer activity against gemcitabine-resistant cholangiocarcinoma via ER-stress induction in vitro and in vivo. BMC Complement. Med. Ther. 2024, 24, 325. [Google Scholar] [CrossRef] [PubMed]
- Warburg, O. On the origin of cancer cells. Science 1956, 123, 309–314. [Google Scholar] [CrossRef] [PubMed]
- DeBerardinis, R.J.; Mancuso, A.; Daikhin, E.; Nissim, I.; Yudkoff, M.; Wehrli, S.; Thompson, C.B. Beyond aerobic glycolysis: Transformed cells can engage in glutamine metabolism that exceeds the requirement for protein and nucleotide synthesis. Proc. Natl. Acad. Sci. USA 2007, 104, 19345–19350. [Google Scholar] [CrossRef]
- Seyfried, T.N.; Shelton, L.M. Cancer as a metabolic disease. Nutr. Metab. 2010, 7, 7. [Google Scholar] [CrossRef]
- Shelton, L.M.; Huysentruyt, L.C.; Seyfried, T.N. Glutamine targeting inhibits systemic metastasis in the VM-M3 murine tumor model. Int. J. Cancer 2010, 127, 2478–2485. [Google Scholar] [CrossRef]
- Sooda, K.; Allison, S.J.; Javid, F.A. Investigation of the cytotoxicity induced by cannabinoids on human ovarian carcinoma cells. Pharmacol. Res. Perspect. 2023, 11, e01152. [Google Scholar] [CrossRef]
- Jastrzab, A.; Gegotek, A.; Skrzydlewska, E. Cannabidiol Regulates the Expression of Keratinocyte Proteins Involved in the Inflammation Process through Transcriptional Regulation. Cells 2019, 8, 827. [Google Scholar] [CrossRef]
- Huang, W.J.; Chen, W.W.; Zhang, X. Endocannabinoid system: Role in depression, reward and pain control (Review). Mol. Med. Rep. 2016, 14, 2899–2903. [Google Scholar] [CrossRef]
- Pisanti, S.; Malfitano, A.M.; Ciaglia, E.; Lamberti, A.; Ranieri, R.; Cuomo, G.; Abate, M.; Faggiana, G.; Proto, M.C.; Fiore, D.; et al. Cannabidiol: State of the art and new challenges for therapeutic applications. Pharmacol. Ther. 2017, 175, 133–150. [Google Scholar] [CrossRef]
- Russo, E.B. The Case for the Entourage Effect and Conventional Breeding of Clinical Cannabis: No “Strain,” No Gain. Front. Plant Sci. 2018, 9, 1969. [Google Scholar] [CrossRef]
- Elsaid, S.; Kloiber, S.; Le Foll, B. Effects of cannabidiol (CBD) in neuropsychiatric disorders: A review of pre-clinical and clinical findings. Prog. Mol. Biol. Transl. Sci. 2019, 167, 25–75. [Google Scholar] [CrossRef]
- Soga, T.; Kakazu, Y.; Robert, M.; Tomita, M.; Nishioka, T. Qualitative and quantitative analysis of amino acids by capillary electrophoresis-electrospray ionization-tandem mass spectrometry. Electrophoresis 2004, 25, 1964–1972. [Google Scholar] [CrossRef] [PubMed]
- Rimmerman, N.; Ben-Hail, D.; Porat, Z.; Juknat, A.; Kozela, E.; Daniels, M.P.; Connelly, P.S.; Leishman, E.; Bradshaw, H.B.; Shoshan-Barmatz, V.; et al. Direct modulation of the outer mitochondrial membrane channel, voltage-dependent anion channel 1 (VDAC1) by cannabidiol: A novel mechanism for cannabinoid-induced cell death. Cell Death Dis. 2013, 4, e949. [Google Scholar] [CrossRef] [PubMed]
- Chan, J.Z.; Duncan, R.E. Regulatory Effects of Cannabidiol on Mitochondrial Functions: A Review. Cells 2021, 10, 1251. [Google Scholar] [CrossRef] [PubMed]
- de la Harpe, A.; Beukes, N.; Frost, C.L. CBD activation of TRPV1 induces oxidative signaling and subsequent ER stress in breast cancer cell lines. Biotechnol. Appl. Biochem. 2022, 69, 420–430. [Google Scholar] [CrossRef]
- Musella, A.; De Chiara, V.; Rossi, S.; Prosperetti, C.; Bernardi, G.; Maccarrone, M.; Centonze, D. TRPV1 channels facilitate glutamate transmission in the striatum. Mol. Cell Neurosci. 2009, 40, 89–97. [Google Scholar] [CrossRef]
- Kiebish, M.A.; Han, X.; Cheng, H.; Chuang, J.H.; Seyfried, T.N. Brain mitochondrial lipid abnormalities in mice susceptible to spontaneous gliomas. Lipids 2008, 43, 951–959. [Google Scholar] [CrossRef]



| Annotation | FC Fibro CBD/Control | FC Malme CBD/Control | Pathway |
|---|---|---|---|
| Malonyl CoA | 1.39 | 0.00 | Fatty acid synthesis |
| HMG CoA | 0.22 | 0.38 | CHOL synthesis |
| Glucose 6-phosphate | 0.54 | 0.46 | Glycolysis |
| Fructose 6-phosphate | 0.47 | 0.36 | Glycolysis |
| Fructose 1,6-diphosphate | 1.89 | 0.48 | Glycolysis |
| Dihydroxyacetone phosphate (DHAP) | 1.52 | 0.43 | Glycolysis |
| 2-Phosphoglyceric acid | 0.75 | 0.59 | Glycolysis |
| 3-Phosphoglyceric acid | 0.84 | 0.59 | Glycolysis |
| Phosphoenolpyruvic acid (PEP) | 0.70 | 0.38 | Glycolysis |
| Pyruvic acid | 0.86 | Glycolysis | |
| Lactic acid | 1.80 | 1.67 | Glycolysis |
| Lac/Pyr ratio | 1.97 | Glycolysis | |
| O-Acetylcarnitine (ALCAR) | 1.35 | 0.42 | Glycolysis |
| Acetyl CoA | 2.95 | 1.18 | Glycolysis |
| ALCAR/Acetyl CoA | 0.40 | 0.34 | Glycolysis |
| 3-Hydroxybutyric acid (3-HB) | 1.21 | 0.61 | Glycolysis |
| Met | 1.02 | 1.00 | Transulfuration |
| Cys | 1.71 | 0.83 | Transulfuration |
| Homocysteine | 0.34 | 0.42 | Transulfuration |
| S-Adenosylhomocysteine | 1.24 | 0.91 | Transulfuration |
| S-Adenosylmethionine | 1.00 | 2.19 | Transulfuration |
| Glutathione (GSSG) | 0.99 | 0.43 | Oxidative stress |
| Glutathione (GSH) | 0.59 | 0.41 | Oxidative stress |
| GSH/GSSG ratio | 0.61 | 0.96 | Oxidative stress |
| Cystathionine | 1.60 | 0.99 | Oxidative stress |
| Carnosine | 1.07 | 0.60 | Oxidative stress |
| NADH | 1.72 | 0.29 | NAD metabolism |
| NADPH | 1.39 | 0.18 | NAD metabolism |
| NADH/NADPH ratio | 1.42 | 1.63 | NAD metabolism |
| Phosphocreatine | 0.35 | 0.02 | Urea cycle |
| Ornithine | 0.90 | 1.31 | Urea cycle |
| Arg | 1.49 | 1.26 | Urea cycle |
| Citrulline | 1.18 | 1.07 | Urea cycle |
| Arg/Cit ratio | 1.27 | 1.17 | Urea cycle |
| Creatinine | 1.11 | 0.92 | Urea cycle |
| Creatine | 0.52 | 0.31 | Urea cycle |
| Spermine | 0.72 | 0.28 | polyamine |
| Spermidine | 1.08 | 0.11 | polyamine |
| N1,N12-Diacetylspermine | 100.63 | Polyamine | |
| N1-Acetylspermine | 5.28 | Polyamine | |
| N-Acetylputrescine | 0.81 | 1.46 | Polyamine |
| N1,N8-Diacetylspermidine | 4.33 | Polyamine | |
| N1-Acetylspermidine | 1.92 | 3.28 | Polyamine |
| Putrescine | 1.05 | 2.07 | polyamine |
| N-Methylputrescine | 1.47 | polyamine | |
| Inosine | 3.65 | 0.34 | purine |
| Adenosine | 1.96 | 0.20 | Purine synthesis |
| Guanosine | 8.44 | 0.20 | Purine synthesis |
| 6-Phosphogluconic acid | 0.89 | 0.68 | Purine synthesis |
| Hypoxanthine | 3.22 | 53.49 | Purine synthesis |
| IMP | 1.61 | 23.47 | Purine synthesis |
| Citric acid | 0.46 | 0.09 | TCA cycle |
| cis-Aconitic acid | 0.33 | 0.08 | TCA cycle |
| Isocitric acid | 0.00 | 0.00 | TCA cycle |
| 2-Oxoglutaric acid | 0.56 | 0.03 | TCA cycle |
| Succinic acid | 1.15 | 7.39 | TCA cycle, pyrimidine synthesis, urea cycle |
| Glutamic acid | 0.93 | 0.17 | TCA, Glutaminolysis, GSH synthesis |
| Glutamine | 2.02 | 1.03 | TCA, Glutaminolysis |
| Glu/Gln ratio | 0.70 | 0.17 | TCA cycle |
| Fumaric acid | 0.72 | 0.51 | TCA cycle |
| Malic acid | 0.72 | 0.55 | TCA cycle |
| FMN | 0.00 | 0.14 | TCA cycle |
| ATP | 0.87 | 0.44 | TCA cycle |
Disclaimer/Publisher’s Note: The statements, opinions and data contained in all publications are solely those of the individual author(s) and contributor(s) and not of MDPI and/or the editor(s). MDPI and/or the editor(s) disclaim responsibility for any injury to people or property resulting from any ideas, methods, instructions or products referred to in the content. |
© 2025 by the authors. Licensee MDPI, Basel, Switzerland. This article is an open access article distributed under the terms and conditions of the Creative Commons Attribution (CC BY) license (https://creativecommons.org/licenses/by/4.0/).
Share and Cite
Shelton, L.M.; Xu, Y.; Ghayee, H.; Buko, A.M. CBD Disrupts Malme-3M Cell Metabolism via Glycolytic Shift and Redox Imbalance. Curr. Issues Mol. Biol. 2025, 47, 928. https://doi.org/10.3390/cimb47110928
Shelton LM, Xu Y, Ghayee H, Buko AM. CBD Disrupts Malme-3M Cell Metabolism via Glycolytic Shift and Redox Imbalance. Current Issues in Molecular Biology. 2025; 47(11):928. https://doi.org/10.3390/cimb47110928
Chicago/Turabian StyleShelton, Laura M., Yiling Xu, Hans Ghayee, and Alexander M. Buko. 2025. "CBD Disrupts Malme-3M Cell Metabolism via Glycolytic Shift and Redox Imbalance" Current Issues in Molecular Biology 47, no. 11: 928. https://doi.org/10.3390/cimb47110928
APA StyleShelton, L. M., Xu, Y., Ghayee, H., & Buko, A. M. (2025). CBD Disrupts Malme-3M Cell Metabolism via Glycolytic Shift and Redox Imbalance. Current Issues in Molecular Biology, 47(11), 928. https://doi.org/10.3390/cimb47110928
