Transcriptome Analysis Reveals Differences in Molecular Mechanisms Between Salt-Tolerant and Salt-Sensitive Rice (Oryza sativa L.) Varieties Under Salt Stress
Abstract
1. Introduction
2. Materials and Methods
2.1. Source of Test Materials
2.2. Experimental Methods
2.2.1. Transcriptome Sequencing
2.2.2. Differential Expression Analysis and Functional Enrichment
2.3. Real-Time Quantitative PCR
2.4. Data Visualization Software
3. Results
3.1. Differences in Plant Phenotypes of Different Salt Stress-Tolerant Varieties
3.2. Transcriptome Sequencing of Salt-Tolerant and Salt-Sensitive Varieties
3.3. Analysis of Differentially Expressed Genes Among Different Varieties Under Salt Stress Conditions
3.4. Analysis of Differentially Expressed Genes in Salt-Tolerant and Salt-Sensitive Varieties in Response to Salt Stress
3.5. Analysis of Genes Specifically Upregulated in Salt-Tolerant Varieties
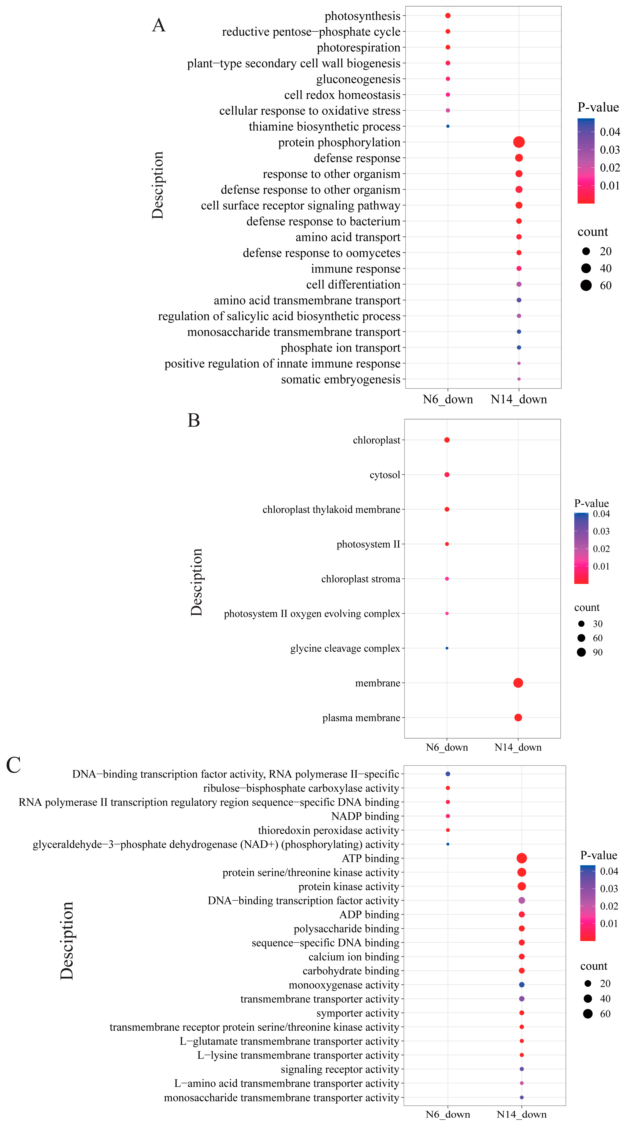
3.6. Analysis of Genes Specifically Downregulated in Salt-Tolerant Varieties
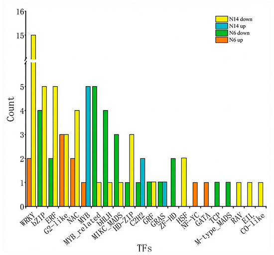
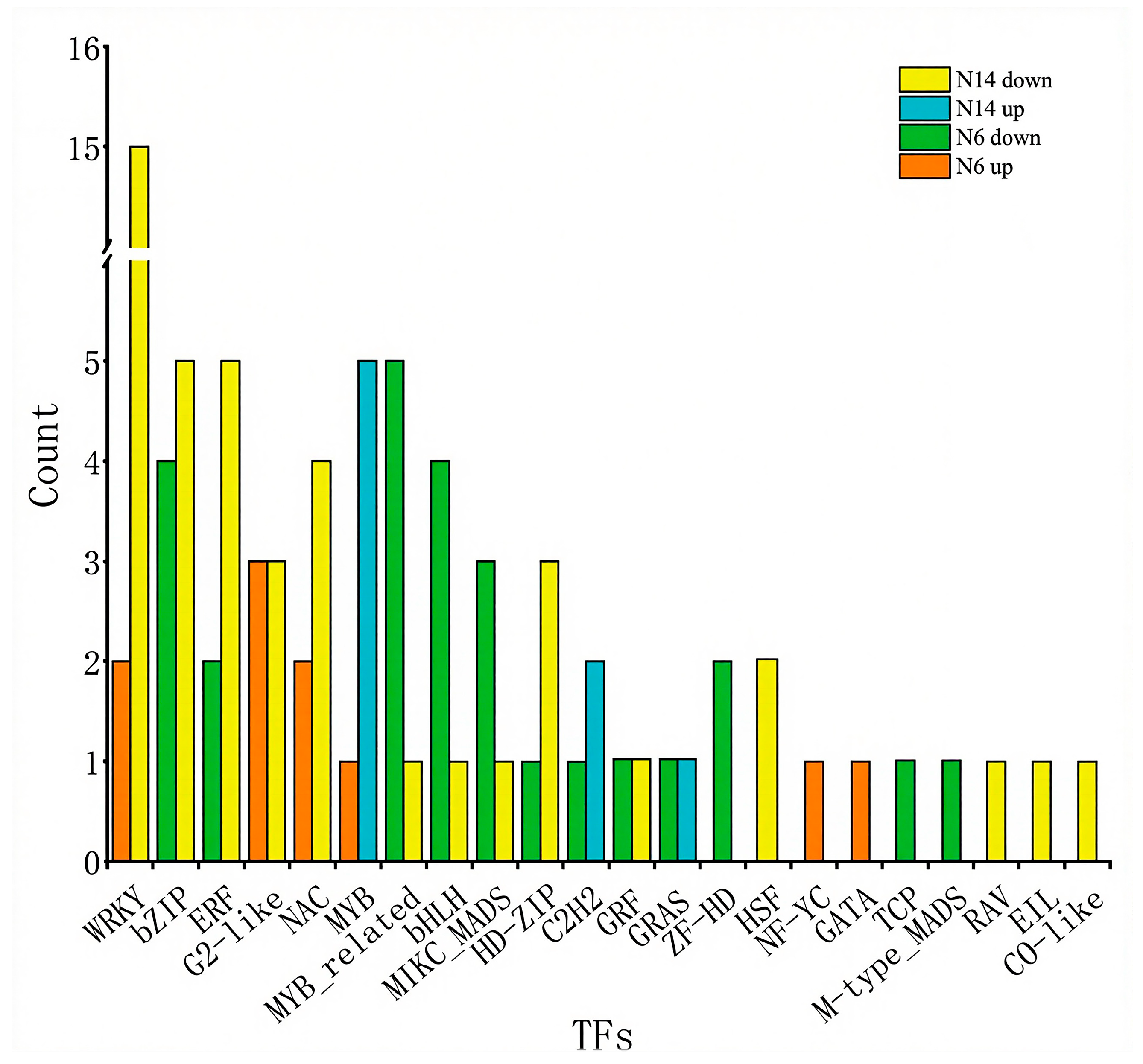
3.7. Analysis of the Role of Transcription Factors in the Regulation of Salt Tolerance in Rice
3.8. Quantitative RT-PCR
4. Discussion
5. Conclusions
Supplementary Materials
Author Contributions
Funding
Institutional Review Board Statement
Informed Consent Statement
Data Availability Statement
Acknowledgments
Conflicts of Interest
References
- Liu, Y.; Yu, Y.; Fang, J. Saline-alkali stress and molecular mechanism of saline-alkali tolerance in plants. Soils Crops 2018, 7, 201–211. [Google Scholar] [CrossRef]
- Hasan, M.M.; Rahman, M.A.; Corpas, F.J.; Rahman, M.M.; Jahan, M.S.; Liu, X.D.; Ghimire, S.; Alabdallah, N.M.; Wassem, M.; Alharbi, B.M.; et al. Salt stress tolerance in rice (Oryza sativa L.): A proteomic overview of recent advances and future prospects. Plant Stress 2024, 11, 100307. [Google Scholar] [CrossRef]
- Li, Q.; Yang, A.; Zhang, W.-H. Comparative studies on tolerance of rice genotypes differing in their tolerance to moderate salt stress. BMC Plant Biol. 2017, 17, 141. [Google Scholar] [CrossRef]
- Guan, X.; Shen, J. Research progress on physiological and molecular mechanisms of plant in response to salt alkali stress. Jiangsu Agric. Sci. 2024, 52, 10–16. [Google Scholar] [CrossRef]
- Wang, S.; Yao, Y.; Wang, J.; Ruan, B.; Yu, Y. Advancing Stress-Resilient Rice: Mechanisms, Genes, and Breeding Strategies. Agriculture 2025, 15, 721. [Google Scholar] [CrossRef]
- Studies on Salt Tolerance of Rice Varieties and Its Related Physiological Traits. Master’s Thesis, Yangzhou University, Yangzhou, China, 2018.
- Cheng, G.; Heu, M.; Huang, Y. Study on the Saline-Alkaline Tolerance in Plants (1)—Correlation Analysis bet ween Saline-tolerance and Alkaline-tolerance of Rice. J. Jilin For. Univ. 1996, 12, 214–217. [Google Scholar]
- Zhou, Z. Mechanism and Regulation in Responses of the Rice Varieties Differing in Salt Tolerance to Salt Stress. Ph.D. Thesis, Yangzhou University, Yangzhou, China, 2023. [Google Scholar]
- Ren, Z.-H.; Gao, J.-P.; Li, L.-G.; Cai, X.-L.; Huang, W.; Chao, D.-Y.; Zhu, M.-Z.; Wang, Z.-Y.; Luan, S.; Lin, H.-X. A rice quantitative trait locus for salt tolerance encodes a sodium transporter. Nat. Genet. 2005, 37, 1141–1146. [Google Scholar] [CrossRef]
- Gregorio, G.B. Tagging Salinity Tolerant Genes in Rice Using Amplified Fragment Length Polymorphism (AFLP). Ph.D. Dissertation, University of the Philippines Los Baños, Laguna, Philippines, 1997. [Google Scholar]
- Thomson, M.J.; de Ocampo, M.; Egdane, J.; Rahman, M.A.; Sajise, A.G.; Adorada, D.L.; Tumimbang-Raiz, E.; Blumwald, E.; Seraj, Z.I.; Singh, R.K.; et al. Characterizing the Saltol Quantitative Trait Locus for Salinity Tolerance in Rice. Rice 2010, 3, 148–160. [Google Scholar] [CrossRef]
- Wu, F.; Yang, J.; Yu, D.; Xu, P. Identification and Validation a Major QTL from “Sea Rice 86” Seedlings Conferred Salt Tolerance. Agronomy 2020, 10, 410. [Google Scholar] [CrossRef]
- Wang, H.L.; Yang, S.H.; Lv, M.; Ding, S.W.; Li, J.Y.; Xu, C.L.; Xie, H. RNA-Seq revealed that infection with white tip nematodes could downregulate rice photosynthetic genes. Funct Integr Genom. 2020, 20, 367–381. [Google Scholar] [CrossRef] [PubMed]
- Fang, X.; Mo, J.; Zhou, H.; Shen, X.; Xie, Y.; Xu, J.; Yang, S. Comparative transcriptome analysis of gene responses of salt-tolerant and salt-sensitive rice cultivars to salt stress. Sci. Rep. 2023, 13, 19065. [Google Scholar] [CrossRef]
- Geng, L.; Zhang, W.; Zou, T.; Du, Q.; Ma, X.; Cui, D.; Han, B.; Zhang, Q.; Han, L. Integrating linkage mapping and comparative transcriptome analysis for discovering candidate genes associated with salt tolerance in rice. Front. Plant Sci. 2023, 14, 1065334. [Google Scholar] [CrossRef]
- Kong, W.; Sun, T.; Zhang, C.; Deng, X.; Li, Y. Comparative Transcriptome Analysis Reveals the Mechanisms Underlying Differences in Salt Tolerance Between indica and japonica Rice at Seedling Stage. Front. Plant Sci. 2021, 12, 725436. [Google Scholar] [CrossRef]
- Bhuyan, M.I.; Supit, I.; Mia, S.; Mulder, M.; Ludwig, F. Effect of soil and water salinity on dry season boro rice production in the south-central coastal area of Bangladesh. Heliyon 2023, 9, e19180. [Google Scholar] [CrossRef]
- Somaddar, U.; Dey, H.C.; Mim, S.K.; Sarker, U.K.; Uddin, M.R.; Ahmed, N.U.; Mostofa, M.G.; Saha, G. Assessing Silicon-Mediated Growth Performances in Contrasting Rice Cultivars under Salt Stress. Plants 2022, 11, 1831. [Google Scholar] [CrossRef]
- Nounjan, N.; Mahakham, W.; Siangliw, J.L.; Toojinda, T.; Theerakulpisut, P. Chlorophyll Retention and High Photosynthetic Performance Contribute to Salinity Tolerance in Rice Carrying Drought Tolerance Quantitative Trait Loci (QTLs). Agriculture 2020, 10, 620. [Google Scholar] [CrossRef]
- Frukh, A.; Siddiqi, T.O.; Khan, M.I.R.; Ahmad, A. Modulation in growth, biochemical attributes and proteome profile of rice cultivars under salt stress. Plant Physiol Biochem 2020, 146, 55–70. [Google Scholar] [CrossRef]
- Zahra, N.; Uzair, M.; Zaid, I.U.; Attia, K.A.; Inam, S.; Fiaz, S.; Abdallah, R.M.; Naeem, M.K.; Farooq, U.; Rehman, N.; et al. The comparative transcriptome analysis of two green super rice genotypes with varying tolerance to salt stress. Mol. Biol. Rep. 2023, 51, 22. [Google Scholar] [CrossRef]
- Wang, L.; Yao, W.; Sun, Y.; Wang, J.; Jiang, T. Association of transcription factor WRKY56 gene from Populus simonii × P. nigra with salt tolerance in Arabidopsis thaliana. PeerJ 2019, 7, e7291. [Google Scholar] [CrossRef]
- Wang, J.; An, C.; Guo, H.; Yang, X.; Chen, J.; Zong, J.; Li, J.; Liu, J. Physiological and transcriptomic analyses reveal the mechanisms underlying the salt tolerance of Zoysia japonica Steud. BMC Plant Biol. 2020, 20, 114. [Google Scholar] [CrossRef]
- Liang, Y.-K.; Dubos, C.; Dodd, I.C.; Holroyd, G.H.; Hetherington, A.M.; Campbell, M.M. AtMYB61, an R2R3-MYB Transcription Factor Controlling Stomatal Aperture in Arabidopsis thaliana. Curr. Biol. 2005, 15, 1201–1206. [Google Scholar] [CrossRef]
- Penfield, S.; Meissner, R.C.; Shoue, D.A.; Carpita, N.C.; Bevan, M.W. MYB61 Is Required for Mucilage Deposition and Extrusion in the Arabidopsis Seed Coat. Plant Cell 2001, 13, 2777–2791. [Google Scholar] [CrossRef]
- Gupta, B.K.; Sahoo, K.K.; Anwar, K.; Nongpiur, R.C.; Deshmukh, R.; Pareek, A.; Singla-Pareek, S.L. Silicon nutrition stimulates Salt-Overly Sensitive (SOS) pathway to enhance salinity stress tolerance and yield in rice. Plant Physiol Biochem 2021, 166, 593–604. [Google Scholar] [CrossRef]
- Sakamoto, K.; Tada, Y.; Yokozeki, Y.; Akagi, H.; Hayashi, N.; Fujimura, T.; Ichikawa, N. Chemical induction of disease resistance in rice is correlated with the expression of a gene encoding a nucleotide binding site and leucine-rich repeats. Plant Mol. Biol. 1999, 40, 847–855. [Google Scholar] [CrossRef]
- Wang, A.; Shu, X.; Jing, X.; Jiao, C.; Chen, L.; Zhang, J.; Ma, L.; Jiang, Y.; Yamamoto, N.; Li, S.; et al. Identification of rice (Oryza sativa L.) genes involved in sheath blight resistance via a genome-wide association study. Plant Biotechnol. J. 2021, 19, 1553–1566. [Google Scholar] [CrossRef]
- Li, C.; Lu, K.; Liang, W.H.; Chen, T.; Yao, S.; He, L.; Wei, X.D.; Zhao, L.; Zhou, L.H.; Zhao, C.F.; et al. Transcriptome Analysis Between Parents and Offspring Revealed the Early Salt Tolerance Mechanism of Rice NGY1. Rice 2025, 18, 48. [Google Scholar] [CrossRef]
- Kumar, S.; Pallavi; Chugh, C.; Seem, K.; Kumar, S.; Vinod, K.K.; Mohapatra, T. Characterization of contrasting rice (Oryza sativa L.) genotypes reveals the Pi-efficient schema for phosphate starvation tolerance. BMC Plant Biol. 2021, 21, 282. [Google Scholar] [CrossRef]
- Liu, C.; Wu, Y.; Wang, X. bZIP transcription factor OsbZIP52/RISBZ5: A potential negative regulator of cold and drought stress response in rice. Planta 2012, 235, 1157–1169. [Google Scholar] [CrossRef]
- Han, M.; Zhou, L.; Wang, J.; Zhou, H.; Zhao, J.; Zhou, L.; Ma, Y. Research Progress on the Function of Transcription Factors in Response to Drought Stress in Rice. Guangdong Agric. Sci. 2024, 51, 128–144. [Google Scholar] [CrossRef]
- Ye, C.; Chen, K.; Zhou, X.; Chen, D.; Guo, J.; Liu, J.; Cao, Z.; Liu, C.; Chen, Y.; Chen, G. Evaluation of heat stress resistance and its molecular machanism of four indica rice cultivars at seedling stage. J. South China Agric. Univ. 2023, 44, 906–914. [Google Scholar] [CrossRef]










| Reaction Component | Volume (μL) |
|---|---|
| 2× PerfectStart Green qPCR SuperMix | 10 |
| Primer F (10 μM) | 0.4 |
| Primer R (10 μM) | 0.4 |
| Universal Passive Reference Dye (50×) | 0.4 |
| Template (cDNA) | 3 |
| Nuclease-free Water | 5.8 |
| Total volume | 20 |
| Thermal Cycler | Times and Temperatures | ||
|---|---|---|---|
| Initial Steps | Each of 40 Cycles | ||
| Melt | Anneal and Extend | ||
| ABI 7500 Fluorescence Quantitative PCR Instrument | HOLD | CYCLE | |
| 30 s, 94 °C | 5 s, 94 °C | 30 s, 60 °C | |
| Sample | Raw Reads | Raw Bases | Clean Reads | Clean Bases | Q20 (%) | Q30 (%) | Uniquely Mapped |
|---|---|---|---|---|---|---|---|
| N601 | 39,464,308 | 5,959,110,508 | 38,990,916 | 5,882,023,917 | 98.21 | 94.71 | 98.8 |
| N602 | 51,013,046 | 7,702,969,946 | 50,372,526 | 7,599,293,771 | 98.2 | 94.76 | 98.74 |
| N603 | 40,409,308 | 6,101,805,508 | 39,937,812 | 6,023,959,679 | 98.28 | 94.91 | 98.83 |
| N631 | 45,783,182 | 6,913,260,482 | 45,176,752 | 6,812,770,329 | 98.11 | 94.51 | 98.68 |
| N632 | 43,296,732 | 6,537,806,532 | 42,745,204 | 6,449,522,466 | 98.21 | 94.72 | 98.73 |
| N633 | 47,153,418 | 7,120,166,118 | 46,517,786 | 7,018,162,788 | 98.07 | 94.41 | 98.65 |
| N661 | 52,436,384 | 7,917,893,984 | 51,786,504 | 7,812,145,804 | 98.16 | 94.58 | 98.76 |
| N662 | 53,781,444 | 8,120,998,044 | 53,054,258 | 8,004,198,957 | 98.03 | 94.28 | 98.65 |
| N663 | 53,979,786 | 8,150,947,686 | 52,672,372 | 7,922,741,502 | 96.81 | 94.39 | 97.58 |
| N1401 | 52,296,726 | 7,896,805,626 | 51,640,960 | 7,787,514,102 | 98.22 | 94.76 | 98.75 |
| N1402 | 52,260,026 | 7,891,263,926 | 51,638,610 | 7,789,508,812 | 98.16 | 94.56 | 98.81 |
| N1403 | 63,166,482 | 9,538,138,782 | 62,371,706 | 9,407,697,491 | 98.18 | 94.69 | 98.74 |
| N1431 | 54,486,464 | 8,227,456,064 | 53,806,856 | 8,113,932,261 | 98.19 | 94.68 | 98.75 |
| N1432 | 51,756,590 | 7,815,245,090 | 51,110,208 | 7,708,457,113 | 98.2 | 94.72 | 98.75 |
| N1433 | 56,413,064 | 8,518,372,664 | 55,703,962 | 8,400,334,667 | 98.22 | 94.8 | 98.74 |
| N1461 | 44,061,956 | 6,653,355,356 | 43,471,502 | 6,556,346,176 | 98.13 | 94.57 | 98.66 |
| N1462 | 50,432,982 | 7,615,380,282 | 49,797,504 | 7,510,443,677 | 98.23 | 94.81 | 98.74 |
| N1463 | 46,193,074 | 6,975,154,174 | 45,552,594 | 6,871,893,728 | 98.03 | 94.35 | 98.61 |
| Combination | Up-Regulated | Down-Regulated | ALL DEGs |
|---|---|---|---|
| N60-N63-vs-N60-N66 | 252 | 190 | 442 |
| N140-N143-vs-N140-N146 | 167 | 354 | 521 |
Disclaimer/Publisher’s Note: The statements, opinions and data contained in all publications are solely those of the individual author(s) and contributor(s) and not of MDPI and/or the editor(s). MDPI and/or the editor(s) disclaim responsibility for any injury to people or property resulting from any ideas, methods, instructions or products referred to in the content. |
© 2025 by the authors. Licensee MDPI, Basel, Switzerland. This article is an open access article distributed under the terms and conditions of the Creative Commons Attribution (CC BY) license (https://creativecommons.org/licenses/by/4.0/).
Share and Cite
Han, Y.; Wu, C.; Ji, X.; Yang, M.; Zhu, H.; Pei, Z.; Qu, M.; Qu, L.; Li, Z.; Yan, S. Transcriptome Analysis Reveals Differences in Molecular Mechanisms Between Salt-Tolerant and Salt-Sensitive Rice (Oryza sativa L.) Varieties Under Salt Stress. Curr. Issues Mol. Biol. 2025, 47, 832. https://doi.org/10.3390/cimb47100832
Han Y, Wu C, Ji X, Yang M, Zhu H, Pei Z, Qu M, Qu L, Li Z, Yan S. Transcriptome Analysis Reveals Differences in Molecular Mechanisms Between Salt-Tolerant and Salt-Sensitive Rice (Oryza sativa L.) Varieties Under Salt Stress. Current Issues in Molecular Biology. 2025; 47(10):832. https://doi.org/10.3390/cimb47100832
Chicago/Turabian StyleHan, Yu, Chenyang Wu, Xue Ji, Mengran Yang, Hongyu Zhu, Zhongyou Pei, Mingnan Qu, Lijun Qu, Zhibin Li, and Shuangyong Yan. 2025. "Transcriptome Analysis Reveals Differences in Molecular Mechanisms Between Salt-Tolerant and Salt-Sensitive Rice (Oryza sativa L.) Varieties Under Salt Stress" Current Issues in Molecular Biology 47, no. 10: 832. https://doi.org/10.3390/cimb47100832
APA StyleHan, Y., Wu, C., Ji, X., Yang, M., Zhu, H., Pei, Z., Qu, M., Qu, L., Li, Z., & Yan, S. (2025). Transcriptome Analysis Reveals Differences in Molecular Mechanisms Between Salt-Tolerant and Salt-Sensitive Rice (Oryza sativa L.) Varieties Under Salt Stress. Current Issues in Molecular Biology, 47(10), 832. https://doi.org/10.3390/cimb47100832
