Meta-QTL Analysis and Identification of Candidate Genes Associated with Stalk Lodging in Maize (Zea mays L.)
Abstract
1. Introduction
2. Materials and Methods
2.1. Collection of Mapping and Quantitative Trait Locus (QTL) Data
2.2. QTL Projection and Meta-QTL Analysis
2.3. Verification of MQTL with GWAS
2.4. Identifying and Functional Annotation of Candidate Genes
2.5. Analysis of Expression Patterns of Candidate Genes
3. Results
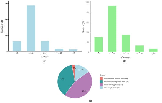
3.1. Genomic Distribution of QTLs Associated with Stalk Lodging-Related Traits in Maize Genome
3.2. Meta-Analysis of QTL for Stalk Lodging-Related Traits in Maize
3.3. Validation of MQTL via GWAS Co-Localization
3.4. Functional Characterization of Candidate Genes for Stalk Lodging Within MQTL Regions
3.5. Functional Annotation of Candidate Genes
3.6. Expression Analysis of Identified Candidate Genes for Stalk Lodging in Maize
4. Discussion
Supplementary Materials
Author Contributions
Funding
Data Availability Statement
Conflicts of Interest
References
- Zuber, M.S.; Kang, M.S. Corn lodging slowed by sturdier stalk. Crops Soils 1978, 3, 18–19. [Google Scholar]
- Ibitoye, D.O.; Akin-Idowu, P.E. Marker-assisted-selection (MAS): A fast track to increase genetic gain in horticultural crop breeding. Afr. J. Biotechnol. 2010, 9, 8889–8895. [Google Scholar]
- Stendal, C.; Casler, M.D.; Jung, G. Marker-assisted selection for neutral detergent fiber in smooth bromegrass. Crop Sci. 2006, 46, 303–311. [Google Scholar] [CrossRef]
- Xue, J.; Zhao, Y.; Gou, L.; Shi, Z.; Yao, M.; Zhang, W. How high plant density of maize affects basal internode development and strength formation. Crop Sci. 2016, 56, 3295–3306. [Google Scholar] [CrossRef]
- Xie, L.; Wen, D.; Wu, C.; Zhang, C. Transcriptome analysis reveals the mechanism of internode development affecting maize stalk strength. BMC Plant Biol. 2022, 22, 49. [Google Scholar] [CrossRef]
- Xue, J.; Ming, B.; Xie, R.; Wang, K.; Hou, P.; Li, S. Evaluation of maize lodging resistance based on the critical wind speed of stalk breaking during the late growth stage. Plant Methods 2020, 16, 148. [Google Scholar] [CrossRef] [PubMed]
- Li, S.; Ma, W.; Peng, J.; Chen, Z. Study on yield loss of summer maize due to lodging at the big fare stage and grain filling stage. Sci. Agric. Sin. 2015, 48, 3952–3964. [Google Scholar]
- Zhu, L.; Chen, J.; Li, D.; Zhang, J.; Huang, Y.; Zhao, Y.; Song, Z.; Liu, Z. QTL mapping for stalk related traits in maize (Zea mays L.) under different densities. J. Integr. Agric. 2013, 12, 218–228. [Google Scholar] [CrossRef]
- Barrière, Y.; Méchin, V.; Lefevre, B.; Maltese, S. QTLs for agronomic and cell wall traits in a maize RIL progeny derived from a cross between an old minnesota13 line and a modern Iodent line. Theor. Appl. Genet. 2012, 125, 531–549. [Google Scholar] [CrossRef] [PubMed]
- Meents, M.J.; Watanabe, Y.; Samuels, A.L. The cell biology of secondary cell wall biosynthesis. Ann. Bot. 2018, 121, 1107–1125. [Google Scholar] [CrossRef]
- Zhang, Y.; Liang, T.; Chen, M.; Zhang, Y.; Wang, T.; Lin, H.; Rong, T.; Zou, C.; Liu, P.; Lee, M.; et al. Genetic dissection of stalk lodging related traits using an IBM Syn10 DH population in maize across three environments (Zea mays L.). Mol. Genet. Genomics 2019, 294, 1277–1288. [Google Scholar] [CrossRef]
- Huang, C.; Chen, Q.; Xu, G.; Xu, D.; Tian, J.; Tian, F. Identification and fine mapping of quantitative trait loci for the number of vascular bundle in maize stem. J. Integr. Plant Biol. 2015, 58, 81–90. [Google Scholar] [CrossRef]
- Goffinet, B.; Gerber, S. Quantitative trait loci: A meta-analysis. Genetics 2000, 155, 463–473. [Google Scholar] [CrossRef]
- Khahani, B.; Tavakol, E.; Shariati, V.; Fornara, F. Genome wide screening and comparative genome analysis for Meta-QTLs, ortho-MQTLs and candidate genes controlling yield and yield-related traits in rice. BMC Genom. 2020, 21, 294. [Google Scholar] [CrossRef] [PubMed]
- Karnatam, K.S.; Chhabra, G.; Saini, D.K.; Singh, R.; Kaur, G.; Praba, U.P.; Kumar, P.; Goyal, S.; Sharma, P.; Ranjan, R.; et al. Genome-wide meta-analysis of QTLs associated with root traits and implications for maize breeding. Int. J. Mol. Sci. 2023, 24, 6135. [Google Scholar] [CrossRef] [PubMed]
- Guo, S.; Zhang, J.; Qi, J.; Yue, R.; Han, X.; Yan, S.; Lu, C.; Fu, X.; Chen, N.; Ku, L.; et al. Analysis of meta-quantitative trait loci and their candidate genes related to leaf shape in maize. Chin. Bull. Bot. 2018, 53, 487–501. [Google Scholar]
- Chen, H.; Pan, X.; Wang, F.; Liu, C.; Wang, X.; Li, Y.; Zhang, Q. Novel QTL and meta-QTL mapping for major quality traits in soybean. Front. Plant Sci. 2021, 12, 774270. [Google Scholar] [CrossRef]
- Li, J.Z.; Zhang, Z.W.; Li, Y.L.; Wang, Q.L.; Zhou, Y.G. QTL consistency and meta-analysis for grain yield components in three generations in maize. Theor. Appl. Genet. 2010, 122, 771–782. [Google Scholar] [CrossRef]
- Sheoran, S.; Gupta, M.; Kumari, S.; Kumar, S.; Rakshit, S. Meta-QTL analysis and candidate genes identification for various abiotic stresses in maize (Zea mays L.) and their implications in breeding programs. Mol. Breed. 2022, 42, 26. [Google Scholar] [CrossRef]
- Zhao, L.; Liu, H.J.; Zhang, C.X.; Wang, Q.Y.; Li, X.H. Meta-analysis of constitutive QTLs for disease resistance in maize and its synteny conservation in the rice genome. Genet. Mol. Res. 2015, 14, 961–970. [Google Scholar] [CrossRef]
- Badji, A.; Otim, M.; Machida, L.; Odong, T.; Kwemoi, D.B.; Okii, D.; Agbahoungba, S.; Mwila, N.; Kumi, F.; Ibanda, A.; et al. Maize combined insect resistance genomic regions and their co-localization with cell wall constituents revealed by tissue-specific QTL meta-analyses. Front. Plant Sci. 2018, 9, 895. [Google Scholar] [CrossRef]
- Flint-Garcia, S.A.; McMullen, M.D.; Darrah, L.L. Genetic relationship of stalk strength and ear height in maize. Crop Sci. 2003, 43, 23–31. [Google Scholar] [CrossRef][Green Version]
- Zheng, Z.P.; Liu, X.H. Genetic analysis of agronomic traits associated with plant architecture by QTL mapping in maize. Genet. Mol. Res. 2013, 12, 1243–1253. [Google Scholar] [CrossRef] [PubMed]
- Ordás, B.; Malvar, R.; Santiago, R.; Butrón, A. QTL mapping for mediterranean corn borer resistance in European flint germplasm using recombinant inbred lines. BMC Genom. 2010, 11, 174. [Google Scholar] [CrossRef]
- Yang, C.; Liu, J.; Rong, T.Z. Detection of quantitative trait loci for ear row number in F2 populations of maize. Genet. Mol. Res. 2015, 14, 14229–14238. [Google Scholar] [CrossRef] [PubMed]
- Qiu, F.; Zheng, Y.; Zhang, Z.; Xu, S. Mapping of QTL associated with waterlogging tolerance during the seedling stage in maize. Ann. Bot. 2007, 99, 1067–1081. [Google Scholar] [CrossRef]
- Fei, J.; Lu, J.; Jiang, Q.; Liu, Z.; Yao, D.; Qu, J.; Liu, S.; Guan, S.; Ma, Y. Maize plant architecture trait QTL mapping and candidate gene identification based on multiple environments and double populations. BMC Plant Biol. 2022, 22, 110. [Google Scholar] [CrossRef] [PubMed]
- Guo, J.; Su, G.; Zhang, J.; Wang, G. Genetic analysis and QTL mapping of maize yield and associate agronomic traits under semi-arid land condition. Afr. J. Biotechnol. 2008, 7, 1829–1838. [Google Scholar] [CrossRef]
- Jiménez-Galindo, J.C.; Ordás, B.; Butrón, A.; Samayoa, L.F.; Malvar, R.A. QTL mapping for yield and resistance against mediterranean corn borer in maize. Front. Plant Sci. 2017, 8, 698. [Google Scholar] [CrossRef]
- Osman, K.A.; Tang, B.; Wang, Y.; Chen, J.; Yu, F.; Li, L.; Han, X.; Zhang, Z.; Yan, J.; Zheng, Y.; et al. Dynamic QTL analysis and candidate gene mapping for waterlogging tolerance at maize seedling stage. PLoS ONE 2013, 8, e79305. [Google Scholar] [CrossRef]
- Li, K.; Yan, J.; Li, J.; Yang, X. Genetic architecture of rind penetrometer resistance in two maize recombinant inbred line populations. BMC Plant Biol. 2014, 14, 152. [Google Scholar] [CrossRef] [PubMed]
- Du, L.; Zhang, H.; Xin, W.; Ma, K.; Du, D.; Yu, C.; Liu, Y. Dissecting the genetic basis of flowering time and height related-traits using two doubled haploid populations in maize. Plants 2021, 10, 1585. [Google Scholar] [CrossRef]
- Ku, L.; Cao, L.; Wei, X.; Su, H.; Tian, Z.; Guo, S.; Zhang, L.; Ren, Z.; Wang, X.; Zhu, Y.; et al. Genetic dissection of internode length above the uppermost ear in four RIL populations of maize (Zea mays L.). G3 Genes Genomes Genet. 2015, 5, 281–289. [Google Scholar] [CrossRef]
- Luo, M.; Zhao, Y.; Zhang, R.; Xing, J.; Duan, M.; Li, J.; Wang, N.; Wang, W.; Zhang, S.; Chen, Z.; et al. Mapping of a major QTL for salt tolerance of mature field-grown maize plants based on SNP markers. BMC Plant Biol. 2017, 17, 140. [Google Scholar] [CrossRef]
- Lima, M.D.L.A.; de Souza, C.L., Jr.; Bento, D.A.V.; De Souza, A.P.; Carlini-Garcia, L.A. Mapping QTL for grain yield and plant traits in a tropical maize population. Mol. Breed. 2006, 17, 227–239. [Google Scholar] [CrossRef]
- Tang, J.; Ma, X.; Teng, W.; Yan, J.; Wu, W.; Dai, J.; Li, J. Detection of quantitative trait loci and heterotic loci for plant height using an immortalized F2 population in maize. Chin. Sci. Bull. 2007, 52, 477–483. [Google Scholar] [CrossRef]
- Wang, H.; He, Y.; Wang, S. QTL mapping of general combining abilities of four traits in maize using a high-density genetic map. J. Integr. Agric. 2017, 16, 1700–1707. [Google Scholar] [CrossRef]
- Zhang, W.; Li, Z.; Fang, H.; Zhang, M.; Duan, L. Analysis of the genetic basis of plant height-related traits in response to ethylene by QTL mapping in maize (Zea mays L.). PLoS ONE 2018, 13, e0193072. [Google Scholar] [CrossRef]
- Li, X.; Zhou, Z.; Ding, J.; Wu, Y.; Zhou, B.; Wang, R.; Ma, J.; Wang, S.; Zhang, X.; Xia, Z.; et al. Combined linkage and association mapping reveals QTL and candidate genes for plant and ear height in maize. Front. Plant Sci. 2016, 7, 833. [Google Scholar] [CrossRef] [PubMed]
- Hou, X.; Cheng, S.; Wang, S.; Yu, T.; Wang, Y.; Xu, P.; Xu, X.; Zhou, Q.; Hou, X.; Zhang, G.; et al. Characterization and fine mapping of qRPR1-3 and qRPR3-1, two major QTLs for rind penetrometer resistance in maize. Front. Plant Sci. 2022, 13, 944539. [Google Scholar] [CrossRef]
- Yan, J.; Tang, H.; Huang, Y.; Shi, Y.; Li, J.; Zheng, Y. Dynamic analysis of QTL for plant height at different developmental stages in maize (Zea mays L.). Chin. Sci. Bull. 2003, 48, 2601–2607. [Google Scholar] [CrossRef]
- Meng, Y.; Li, J.; Liu, J.; Hu, H.; Li, W.; Liu, W.; Chen, S. Ploidy effect and genetic architecture exploration of stalk traits using DH and its corresponding haploid populations in maize. BMC Plant Biol. 2016, 16, 50. [Google Scholar] [CrossRef] [PubMed][Green Version]
- Lemmon, Z.H.; Doebley, J.F. Genetic dissection of a genomic region with pleiotropic effects on domestication traits in maize reveals multiple linked QTL. Genetics 2014, 198, 345–353. [Google Scholar] [CrossRef] [PubMed]
- Zhang, N.; Zhang, Q.; Zhang, Y.; Li, X.; Huang, X. Dissection of the genetic architecture of plant height and ear height in maize (Zea mays L.). J. Fudan Univ. 2016, 55, 605–613. [Google Scholar]
- Cardinal, A.; Lee, M.; Moore, K. Genetic mapping and analysis of quantitative trait loci affecting fiber and lignin content in maize. Theor. Appl. Genet. 2003, 106, 866–874. [Google Scholar] [CrossRef]
- Barrière, Y.; Thomas, J.; Denoue, D. QTL mapping for lignin content, lignin monomeric composition, p-hydroxycinnamate content, and cell wall digestibility in the maize recombinant inbred line progeny F838 × F286. Plant Sci. 2008, 175, 585–595. [Google Scholar] [CrossRef]
- Penning, B.W.; Sykes, R.W.; Babcock, N.C.; Dugard, C.K.; Held, M.A.; Klimek, J.F.; Shreve, J.T.; Fowler, M.; Ziebell, A.; Davis, M.F.; et al. Genetic determinants for enzymatic digestion of lignocellulosic biomass are independent of those for lignin abundance in a maize recombinant inbred population. Plant Physiol. 2014, 165, 1475–1487. [Google Scholar] [CrossRef]
- Courtial, A.; Thomas, J.; Reymond, M.; Méchin, V.; Grima-Pettenati, J.; Barrière, Y. Targeted linkage map densification to improve cell wall related QTL detection and interpretation in maize. Theor. Appl. Genet. 2013, 126, 1151–1165. [Google Scholar] [CrossRef]
- Wang, H.W.; Han, J.; Sun, W.T.; Chen, S.J. Genetic analysis and QTL mapping of stalk digestibility and kernel composition in a high-oil maize mutant (Zea mays L.). Plant Breed. 2010, 129, 318–326. [Google Scholar] [CrossRef]
- Hu, H.; Liu, W.; Fu, Z.; Homann, L.; Technow, F.; Wang, H.; Song, C.; Li, S.; Melchinger, A.E.; Chen, S. QTL mapping of stalk bending strength in a recombinant inbred line maize population. Theor. Appl. Genet. 2013, 126, 2257–2266. [Google Scholar] [CrossRef] [PubMed]
- Krakowsky, M.D.; Lee, M.; Coors, J.G. Quantitative trait loci for cell-wall components in recombinant inbred lines of maize (Zea mays L.) I: Stalk tissue. Theor. Appl. Genet. 2005, 111, 337–346. [Google Scholar] [CrossRef]
- Virlouvet, L.; Hage, F.E.; Griveau, Y.; Jacquemot, M.-P.; Gineau, E.; Baldy, A.; Legay, S.; Horlow, C.; Combes, V.; Bauland, C.; et al. Water deficit-responsive QTLs for cell wall degradability and composition in maize at silage stage. Front. Plant Sci. 2019, 10, 488. [Google Scholar] [CrossRef]
- Lorenzana, R.E.; Lewis, M.F.; Jung, H.J.G.; Bernardo, R. Quantitative trait loci and trait correlations for maize stover cell wall composition and glucose release for cellulosic ethanol. Crop Sci. 2010, 50, 541–555. [Google Scholar] [CrossRef]
- Wei, M.; Li, X.; Li, J.; Fu, J.; Wang, Y.; Li, Y. QTL detection for stover yield and quality traits using two connected populations in high-oil maize. Plant Physiol. Biochem. 2009, 47, 886–894. [Google Scholar] [CrossRef] [PubMed]
- Li, K.; Wang, H.; Hu, X.; Ma, F.; Wu, Y.; Wang, Q.; Liu, Z.; Huang, C. Genetic and quantitative trait locus analysis of cell wall components and forage digestibility in the Zheng58×HD568 maize RIL population at anthesis stage. Front. Plant Sci. 2017, 8, 1472. [Google Scholar] [CrossRef]
- He, K.; Chang, L.; Cui, T.; Qu, J.; Guo, D.; Xu, S.; Zhang, X.; Zhang, R.; Xue, J.; Liu, J. Mapping QTL plant height and ear height in maize under multi-environments. Sci. Agric. Sin. 2016, 49, 1443–1452. [Google Scholar]
- Yu, R.; Tian, X.; Liu, B.; Duan, Y.; Li, T.; Zhang, X.; Zhang, X.; Hao, Y.; Li, Q.; Xue, J.; et al. Dissecting the genetic architecture of lodging related traits by genome-wide association study and linkage analysis in maize. Acta Agron. Sin. 2022, 48, 138–150. [Google Scholar] [CrossRef]
- Zhao, B.; Li, K.; Wang, M.; Liu, Z.; Yin, P.; Wang, W.; Li, Z.; Li, X.; Zhang, L.; Han, Y.; et al. Genetic basis of maize stalk strength decoded via linkage and association mapping. Plant J. 2024, 117, 1558–1573. [Google Scholar] [CrossRef] [PubMed]
- Ye, S.; Shao, C.; Liu, H.; He, Y.; Yin, Z. QTL mapping of maize’s stalk diameter and rind penetrometer resistance. Mol. Plant Breed. 2024, 1–11. [Google Scholar]
- Zhang, M.; Zhang, S.; Song, X.; Zhang, Z.; Lu, H.; Chen, G.; Hao, D.; Mao, Y.; Shi, M.; Xue, L.; et al. QTL analysis and genomic selection of rind penetrometer resistance in waxy maize. J. Jiangsu Agric. Sci. 2024, 40, 1191–1198. [Google Scholar]
- Du, Y.X. QTL Mapping of Vascular Bundle Related Traits in Maize Stem; Hebei Agriculture University: Baoding, China, 2018. [Google Scholar]
- Lu, X.; Li, X.; Xie, C.; Hao, Z.; Ji, H.; Shi, L.; Zhang, S. Comparative QTL mapping of resistance to sugarcane mosaic viruses maize based on bioinformatics. Hereditas 2008, 30, 101–108. [Google Scholar]
- Darvasi, A.; Soller, M. A simple method to calculate resolving power and confidence interval of QTL map location. Behav. Genet. 1997, 27, 125–132. [Google Scholar] [CrossRef] [PubMed]
- Weller, J.; Soller, M. An analytical formula to estimate confidence interval of QTL location with a saturated genetic map as a function of experimental design. Theor. Appl. Genet. 2004, 109, 1224–1229. [Google Scholar] [CrossRef]
- Nagelkerke, N.J.D. A note on a general definition of the coefficient of determination. Biometrika 1991, 78, 691–692. [Google Scholar] [CrossRef]
- Arcade, A.; Labourdette, A.; Falque, M.; Mangin, B.; Chardon, F.; Charcosset, A.; Joets, J. BioMercator: Integrating genetic maps and QTL towards discovery of candidate genes. Bioinformatics 2004, 20, 2324–2326. [Google Scholar] [CrossRef]
- Veyrieras, J.B.; Goffinet, B.; Charcosset, A. MetaQTL: A package of new computational methods for the meta-analysis of QTL mapping experiments. BMC Bioinform. 2007, 8, 49. [Google Scholar] [CrossRef]
- Courtois, B.; Ahmadi, N.; Khowaja, F.; Price, A.H.; Rami, J.F.; Frouin, J.; Hamelin, C.; Ruiz, M. Rice root genetic architecture: Meta-analysis from a drought QTL database. Rice 2009, 2, 115–128. [Google Scholar] [CrossRef]
- Wang, H.; Li, K.; Hu, X.; Liu, Z.; Wu, Y.; Huang, C. Genome-wide association analysis of forage quality in maize mature stalk. BMC Plant Biol. 2016, 16, 227. [Google Scholar] [CrossRef]
- Peiffer, J.A.; Flint-Garcia, S.A.; Leon, N.D.; McMullen, M.D.; Kaeppler, S.M.; Buckler, E.S. The genetic architecture of maize stalk strength. PLoS ONE 2013, 8, e67066. [Google Scholar] [CrossRef]
- Li, K.; Wang, H.; Hu, X.; Liu, Z.; Wu, Y.; Huang, C. Genome-wide association study reveals the genetic basis of stalk cell wall components in maize. PLoS ONE 2016, 11, e0158906. [Google Scholar] [CrossRef] [PubMed]
- Maldonado, C.; Mora, F.; Scapim, C.A.; Coan, M. Genome-wide haplotype-based association analysis of key traits of plant lodging and architecture of maize identifies major determinants for leaf angle: hapLA4. PLoS ONE 2019, 14, e0212925. [Google Scholar] [CrossRef]
- Mazaheri, M.; Heckwolf, M.; Vaillancourt, B.; Gage, J.L.; Burdo, B.; Heckwolf, S.; Barry, K.; Lipzen, A.; Ribeiro, C.B.; Kono, T.J.Y.; et al. Genome-wide association analysis of stalk biomass and anatomical traits in maize. BMC Plant Biol. 2019, 19, 45. [Google Scholar] [CrossRef]
- Zhang, Y.; Liu, P.; Zhang, X.; Zheng, Q.; Chen, M.; Ge, F.; Li, Z.; Sun, W.; Guan, Z.; Liang, T.; et al. Multi-locus genome-wide association study reveals the genetic architecture of stalk lodging resistance-related traits in maize. Front. Plant Sci. 2018, 9, 611. [Google Scholar] [CrossRef]
- Guan, H.H. Quantitative Trait Loci (QTL) Mapping for Correlation Characters of Stem Lodging-Resistance and Their Combining Ability in Maize; Hebei Agriculture University: Baoding, China, 2018. [Google Scholar]
- Xie, L.Y. Genome-Wide Association Studies and Important Gene Mining of Maize Stalk Strength Related Traits; Hebei Agriculture University: Baoding, China, 2021. [Google Scholar]
- Li, R.; Wang, Y.; Li, D.; Guo, Y.; Zhou, Z.; Zhang, M.; Zhang, Y.; Würschum, T.; Liu, W. Meta-quantitative trait loci analysis and candidate gene mining for drought tolerance-associated traits in maize (Zea mays L.). Mol. sci. 2024, 25, 4295. [Google Scholar] [CrossRef]
- Li, N.; Miao, Y.; Ma, J.; Zhang, P.; Chen, T.; Liu, Y.; Che, Z.; Shahinnia, F.; Yang, D. Consensus genomic regions for grain quality traits in wheat revealed by Meta-QTL analysis and in silico transcriptome integration. Plant Genome 2023, 16, e20336. [Google Scholar] [CrossRef]
- Saini, D.K.; Srivast, P.; Pal, N.; Gupta, P.K. Meta-QTLs, ortho-meta-QTLs and candidate genes for grain yield and associated traits in wheat (Triticum aestivum L.). Theor. Appl. Genet. 2022, 135, 1049–1081. [Google Scholar] [CrossRef] [PubMed]
- Woodhouse, M.R.; Sen, S.; Schott, D.; Portwood, J.L.; Freeling, M.; Walley, J.W.; Andorf, C.M.; Schnable, J.C.; Kelso, J. qTeller: A tool for comparative multi-genomic gene expression analysis. Bioinformatics 2021, 38, 236–242. [Google Scholar] [CrossRef]
- Stelpflug, S.C.; Sekhon, R.S.; Vaillancourt, B.; Hirsch, C.N.; Buell, C.R.; de Leon, N.; Kaeppler, S.M. An Expanded Maize Gene Expression Atlas based on RNA Sequencing and its Use to Explore Root Development. Plant Genome 2016, 9, 25. [Google Scholar] [CrossRef]
- Trapnell, C.; Williams, B.A.; Pertea, G.; Mortazavi, A.; Kwan, G.; van Baren, M.J.; Salzberg, S.L.; Wold, B.J.; Pachter, L. Transcript assembly and abundance estimation from RNA-Seq reveals thousands of new transcripts and switching among isoforms. Nat. Biotechnol. 2010, 28, 511–515. [Google Scholar] [CrossRef] [PubMed]
- Li, W.; Ge, F.; Qiang, Z.; Zhu, L.; Zhang, S.; Chen, L.; Wang, X.; Li, J.; Fu, Y. Maize ZmRPH1 encodes a microtubule-associated protein that controls plant and ear height. Plant Biotechnol. J. 2020, 18, 1345–1347. [Google Scholar] [CrossRef] [PubMed]
- Zhang, J.; Ku, L.; Han, Z.; Guo, S.; Liu, H.; Zhang, Z.; Cao, L.; Cui, X.; Chen, Y. The ZmCLA4 gene in the qLA4-1 QTL controls leaf angle in maize (Zea mays L.). J. Exp. Bot. 2014, 65, 5063–5076. [Google Scholar] [CrossRef]
- Avila, L.M.; Cerrudo, D.; Swanton, C.; Lukens, L. Brevis plant1, a putative inositol polyphosphate 5-phosphatase, is required for internode elongation in maize. J. Exp. Bot. 2016, 67, 1577–1588. [Google Scholar] [CrossRef]
- Ren, Z.; Zhang, D.; Cao, L.; Zhang, W.; Zheng, H.; Liu, Z.; Han, S.; Dong, Y.; Zhu, F.; Liu, H.; et al. Functions and regulatory framework of ZmNST3 in maize under lodging and drought stress. Plant Cell Environ. 2020, 43, 2272–2286. [Google Scholar] [CrossRef] [PubMed]
- Jiang, F.; Guo, M.; Yang, F.; Duncan, K.; Jackson, D.; Rafalski, A.; Wang, S.; Li, B. Mutations in an AP2 transcription factor-like gene affect internode length and leaf shape in maize. PLoS ONE 2012, 7, e37040. [Google Scholar] [CrossRef]
- Xiao, W.; Yang, Y.; Yu, J. ZmNST3 and ZmNST4 are master switches for secondary wall deposition in maize (Zea mays L.). Plant Sci. 2018, 266, 83–94. [Google Scholar] [CrossRef]
- Winkler, R.G.; Helentjaris, T. The maize Dwarf3 gene encodes a cytochrome P450- mediated early step in Gibberellin biosynthesis. Plant Cell 1995, 7, 1307–1317. [Google Scholar]
- Sheehan, M.J.; Kennedy, L.M.; Costich, D.E.; Brutnel, T.P. Subfunctionalization of PhyB1 and PhyB2 in the control of seedling and mature plant traits in maize. Plant J. 2007, 49, 338–353. [Google Scholar] [CrossRef] [PubMed]
- Wu, G.; Zhao, Y.; Shen, R.; Wang, B.; Xie, Y.; Ma, X.; Zheng, Z.; Wang, H. Characterization of maize phytochrome-interacting factors in light signaling and photomorphogenesis. Plant Physiol. 2019, 181, 789–803. [Google Scholar] [CrossRef]
- Zheng, Z.; Wang, B.; Zhuo, C.; Xie, Y.; Zhang, X.; Liu, Y.; Zhang, G.; Ding, H.; Zhao, B.; Tian, M.; et al. Local auxin biosynthesis regulates brace root angle and lodging resistance in maize. New Phytol. 2023, 238, 142–154. [Google Scholar] [CrossRef] [PubMed]
- Castorina, G.; Persico, M.; Zilio, M.; Sangiorgio, S.; Carabelli, L.; Consonni, G. The maize lilliputian1 (lil1) gene, encoding a brassinosteroid cytochrome P450 C-6 oxidase, is involved in plant growth and drought response. Ann. Bot. 2018, 122, 227–238. [Google Scholar] [CrossRef]
- Li, Q.; Wu, G.; Zhao, Y.; Wang, B.; Zhao, B.; Kong, D.; Wei, H.; Chen, C.; Wang, H. CRISPR/Cas9-mediated knockout and overexpression studies reveal a role of maize phytochrome C in regulating flowering time and plant height. Plant Biotechnol. J. 2020, 18, 2520–2532. [Google Scholar] [CrossRef]
- Paciorek, T.; Chiapelli, B.J.; Wang, J.Y.; Paciorek, M.; Yang, H.; Sant, A.; Val, D.L.; Boddu, J.; Liu, K.; Gu, C.Y.; et al. Targeted suppression of gibberellin biosynthetic genes ZmGA20ox3 and ZmGA20ox5 produces a short stature maize ideotype. Plant Biotechnol. J. 2022, 20, 1140–1153. [Google Scholar] [CrossRef] [PubMed]
- Li, H.; Wang, L.; Liu, M.; Dong, Z.; Li, Q.; Fei, S.; Xiang, H.; Liu, B.; Jin, W. Maize plant architecture Is regulated by the ethylene biosynthetic gene ZmACS7. Plant Physiol. 2020, 183, 1184–1199. [Google Scholar] [CrossRef] [PubMed]
- Held, B.M.; Wang, H.; John, I.; Wurtele, E.S.; Colbert, J.T. An mRNA putatively coding for an O-Methyltransferase accumulates preferentially in maize roots and is located predominantly in the region of the endodermis. Plant Physiol. 1993, 102, 1001–1008. [Google Scholar] [CrossRef] [PubMed]
- Zhou, Y.; Sommer, M.L.; Meyer, A.; Wang, D.; Klaus, A.; Stöcker, T.; Marcon, C.; Schoof, H.; Haberer, G.; Schön, C.-C.; et al. Cold mediates maize root hair developmental plasticity via epidermis-specific transcriptomic responses. Plant Physiol. 2024, 196, 2105–2120. [Google Scholar] [CrossRef]
- Guo, K.; Chen, T.; Zhang, P.; Liu, Y.; Che, Z.; Shahinnia, F.; Yang, D. Meta-QTL analysis and in-silico transcriptome assessment for controlling chlorophyll traits in common wheat. Plant Genome 2023, 16, e20294. [Google Scholar] [CrossRef]
- Wang, S.; Li, H.; Dong, Z.; Wang, C.; Wei, X.; Long, Y.; Wan, X. Genetic structure and molecular mechanism underlying the stalk lodging traits in maize (Zea may L.). Comput. Struct. Biotechnol. J. 2023, 21, 485–494. [Google Scholar]
- Daryani, P.; Darzi Ramandi, H.; Dezhsetan, S.; Mirdar Mansuri, R.; Hosseini Salekdeh, G.; Shobbar, Z.-S. Pinpointing genomic regions associated with root system architecture in rice through an integrative meta-analysis approach. Theor. Appl. Genet. 2022, 135, 81–106. [Google Scholar] [CrossRef]
- Bai, Y.; Zhao, X.; Yao, X.; Li, X.; Wu, K. Research progress on crop lodging resistance related traits and mechanism of signal transduction. Plant Sci. J. 2021, 39, 102–109. [Google Scholar]
- Yu, B.; Wu, Q.; Li, X.; Zeng, R.; Min, Q.; Huang, J. GLUTAMATERECEPTOR-like gene OsGLR3.4 is required for plant growth and systemic wound signaling in rice (Oryza sativa). New Phytol. 2022, 233, 1238–1256. [Google Scholar] [CrossRef]
- Zhao, Y.; Gao, J.; Wang, X.; Rashid, M.A.R.; Wu, Z.; Ma, Z.; Wu, H.; Xu, B.; Wu, Z.; Gu, Y.; et al. Elite haplotype of STRONG1 enhances rice yield by improving lodging resistance, panicle and plant architecture. Nat. Commun. 2025, 16, 5894. [Google Scholar] [CrossRef]
- Agustia, J.; Herolda, S.; Schwarza, M.; Sancheza, P.; Ljungb, K.; Dunc, E.A.; Brewerc, P.B.; Beveridgec, C.A.; Siebererd, T.; Sehra, E.M.; et al. Strigolactone signaling is required for auxin-dependent stimulation of secondary growth in plants. Proc. Natl. Acad. Sci. USA 2011, 108, 20242–20247. [Google Scholar] [CrossRef]
- Loewus, F.; Kelly, S.; Neufeld, E. Metabolism of myo inositol in plants: Conversion to pectin, hemicellulose, D-xylose, and sugar acids. Proc. Natl. Acad. Sci. USA 1962, 48, 421–425. [Google Scholar] [CrossRef]
- Barros-Rios, J.; Malvar, R.A.; Jung, H.J.G.; Bunzel, M.; Santiago, R. Divergent selection for ester-linked diferulates in maize pith stalk tissues. Effects on cell wall composition and degradability. Phytochemistry 2012, 83, 43–50. [Google Scholar] [CrossRef]
- López-Malvar, A.; Butrón, A.; Samayoa, L.F.; Figueroa-Garrido, D.J.; Malvar, R.A.; Santiago, R. Genome-wide association analysis for maize stem Cell Wall-bound Hydroxycinnamates. BMC Plant Biol. 2019, 19, 519. [Google Scholar] [CrossRef] [PubMed]
- Zhang, R.; Hu, H.; Wang, Y.; Hu, Z.; Ren, S.; Li, J.; He, B.; Wang, Y.; Xia, T.; Chen, P.; et al. A novel rice fragile culm 24 mutant encodes a UDP-glucose epimerase that affects cell wall properties and photosynthesis. J. Exp. Bot. 2020, 71, 2956–2969. [Google Scholar] [CrossRef] [PubMed]
- Yao, Q.; Feng, Y.; Wang, J.; Zhang, Y.; Yi, F.; Li, Z.; Zhang, M. Integrated metabolome and transcriptome analysis of gibberellins mediated the circadian rhythm of leaf elongation by regulating lignin synthesis in maize. Int. J. Mol. Sci. 2024, 25, 2705. [Google Scholar] [CrossRef] [PubMed]
- Li, Y.; Cheah, B.H.; Fang, Y.F.; Kuang, Y.-H.; Lin, S.-C.; Liao, C.-T.; Huang, S.-H.; Lin, Y.-F.; Chuang, W.-P. Transcriptomics identifies key defense mechanisms in rice resistant to both leaf feeding and phloem feeding herbivores. BMC Plant Biol. 2021, 21, 306. [Google Scholar] [CrossRef]
- Kim, S.H.; Lee, C.M.; Kafle, K. Characterization of crystalline cellulose in biomass: Basic principles, applications, and limitations of XRD, NMR, IR, Raman, and SFG. Korean J. Chem. Eng. 2013, 30, 2127–2141. [Google Scholar] [CrossRef]
- Brulé, V.; Rafsanjani, A.; Pasini, D.; Western, T.L. Hierarchies of plant stiffness. Plant Sci. 2016, 250, 79–96. [Google Scholar] [CrossRef]
- Yang, X.; Ren, J.; Lin, X.; Yang, Z.; Deng, X.; Ke, Q. Melatonin alleviates chromium toxicity in maize by modulation of cell wall polysaccharides biosynthesis, glutathione metabolism, and antioxidant capacity. Int. J. Mol. Sci. 2023, 24, 3816. [Google Scholar] [CrossRef] [PubMed]
- Ding, Z.; Lin, Z.; Li, Q.; Wu, H.; Xiang, C.; Wang, J. DNL1, encodes cellulose synthase-like D4, is a major QTL for plant height and leaf width in rice (Oryza sativa L.). Biochem. Biophy Res. Commun. 2015, 457, 133–140. [Google Scholar] [CrossRef] [PubMed]
- Han, L.; Jiang, C.; Zhang, W.; Wang, H.; Li, K.; Liu, X.; Liu, Z.; Wu, Y.; Huang, C.; Hu, X. Morphological characterization and transcriptome analysis of new dwarf and narrow-Leaf (dnl2) mutant in maize. Int. J. Mol. Sci. 2022, 23, 795. [Google Scholar] [CrossRef]
- Tanaka, K.; Murata, K.; Yamazaki, M.; Onosato, K.; Miyao, A.; Hirochika, H. Three distinct rice cellulose synthase catalytic subunit genes required for cellulose synthesis in the secondary wall. Plant Physiol. 2003, 133, 73–83. [Google Scholar] [CrossRef]
- Chai, M.; Bellizzi, M.; Wan, C.; Cui, Z.; Li, Y.; Wang, G. The NAC transcription factor OsSWN1 regulates secondary cell wall development in Oryza sativa. J. Plant Biol. 2015, 58, 44–51. [Google Scholar] [CrossRef]
- Huang, X.; Wang, Z.; Huang, J.; Peng, S.; Xiong, D. Mesophyll conductance variability of rice aquaporin knockout lines at different growth stages and growing environments. Plant J. 2021, 107, 1503–1512. [Google Scholar] [CrossRef]
- Chen, J.; Cao, J.; Bian, Y.; Zhang, H.; Li, X.; Wu, Z.; Guo, G.; Lv, G. Identification of genetic variations and candidate genes responsible for stalk sugar content and agronomic traits in fresh corn via GWAS across multiple environments. Int. J. Mol. Sci. 2022, 23, 13490. [Google Scholar] [CrossRef] [PubMed]






| No. | References | Parents | QTL Number | Cross Type | Population Size | Trait | Marker Type | Method | Map Length (cM) | Map Density (cM) |
|---|---|---|---|---|---|---|---|---|---|---|
| 1 | Flint-Garcia et al. [22] | MoSQB-Low × MoSCSSS-Hight1 | 14 | F2:3 | 282 | RPR, EH | SSR | CIM | 1468.5 | 17.27 |
| MoSCSSS-Hight2 × H25-LRP | 16 | F2:3 | 291 | RPR, EH | SSR | CIM | 1301.6 | 17.12 | ||
| Mo47 × MoSCSSS-Hight3 | 15 | F2:3 | 291 | RPR, EH | SSR | CIM | 1353.3 | 16.7 | ||
| 2 | Zheng and Liu [23] | Mo17 × Huangzao4 | 6 | RIL | 239 | PH, EH | SSR | CIM | 1421.5 | 14.2 |
| 3 | Zhu et al. [8] | NX531 × NX110 | 17 | DH | 162 | PH, EH, IL, SD | SSR | ICIM | 1721.19 | 10.5 |
| 4 | Ordás et al. [24] | EP42 × EP39 | 1 | RIL | 178 | PH | SSR | CIM | 1791 | 20 |
| 5 | Yang et al. [25] | SICAU1212 × B73 | 6 | F2 | 233 | SD, PH, EH | SSR | ICIM | 1290.4 | 11.53 |
| 6 | Qiu et al. [26] | HZ32 × K12 | 4 | F2 | 288 | PH | SSR | CIM | 1710.5 | 11.5 |
| 7 | Fei et al. [27] | H132 × S122 | 11 | F2:3 | 217 | PH, EH, IL | SSR | ICIM | 4734.51 | 27.69 |
| 8 | Guo et al. [28] | 5003 × p138 | 5 | RIL | 450 | PH, EH | SSR | CIM | 1395.2 | 13.81 |
| 9 | Jiménez-Galindo et al. [29] | A637 × A509 | 3 | RIL | 171 | PH | SNP | CIM | 2372.1 | 8.6 |
| 10 | Osman et al. [30] | HZ32 × K12 | 3 | F2 | 247 | PH | SSR | ICIM | 1826.4 | 8.15 |
| 11 | Li et al. [31] | B73 × By804 | 3 | RIL | 200 | RPR | SNP | CIM | 1600.40 | 2.1 |
| H127R × Chang7-2 | 4 | RIL | 215 | RPR | SNP | CIM | 1397.10 | 1.7 | ||
| 12 | Du et al. [32] | (Ye478 × Zheng58) × Ye478 | 8 | DH | 123 | PH, EH | SNP | CIM | 1479.4 | 1.36 |
| (Ye478 × Zheng58) × Zheng58 | 10 | DH | 163 | PH, EH | SNP | CIM | 1872.1 | 1.44 | ||
| 13 | Ku et al. [33] | Yu82 × Yu87-1 | 16 | RIL | 208 | IL | SNP | CIM | 1873.02 | 1.59 |
| Yu82 × Shen137 | 13 | RIL | 197 | IL | SNP | CIM | 1839.75 | 1.65 | ||
| Zong3 × Yu87-1 | 25 | RIL | 223 | IL | SNP | CIM | 1863 | 1.5 | ||
| Yu537A × Shen137 | 15 | RIL | 212 | IL | SNP | CIM | 1629.48 | 1.48 | ||
| 14 | Luo et al. [34] | PH6WC × PH4CV | 8 | DH | 240 | PH | SNP | CIM | 1462.05 | 1.11 |
| 15 | Lima et al. [35] | L-20-01F × L-02-03D | 8 | F2:3 | 256 | PH, EH | SSR | CIM | 1858.61 | 13.47 |
| 16 | Tang et al. [36] | Z3 × 87-1 | 21 | RIL | 294 | PH | SSR | CIM | 2361 | 9 |
| Z3 × 87-1 | 25 | IF2 | 441 | PH | SSR | CIM | 2361 | 9 | ||
| 17 | Wang et al. [37] | Zheng58 × W499 | 4 | DH | 118 | EH | SNP | ICIM | 2152.45 | 2 |
| 18 | Zhang et al. [38] | KUI3 × B77 | 29 | RIL | 177 | PH, EH | SNP | CIM | 1640.4 | 0.74 |
| 19 | Li et a. [39] | Zheng58 × Chang7-2 | 9 | F2:3 | 225 | PH, EH | SSR | CIM | 1987.7 | 11 |
| BT-1 × N6 | 12 | RIL | 250 | PH, EH | SSR | CIM | 1820.8 | 11.7 | ||
| 20 | Hou et al. [40] | 37,051 × LH277 | 1 | F2 | 214 | RPR | SSR | ICIM | 1312.00 | 5.11 |
| 10 | F2:3 | 214 | RPR | SSR | ICIM | 1312.00 | 5.11 | |||
| 21 | Yan et al. [41] | Zong 3 × 87-1 | 52 | F2:3 | 266 | PH | SSR, RFLP | CIM | 2531.6 | 14.5 |
| 22 | Meng et al. [42] | Zheng58 × Chang7-2 | 5 | DH | 190 | RPR | SNP | CIM | 1426.83 | 1.26 |
| 23 | Lemmon and Doebley [43] | teosinte × W22 | 3 | BC6S6 | 259 | PH, SD | RFLP | — | 86.64 | 3.46 |
| 24 | Zhang et al. [44] | Zheng58 × B73 | 11 | F3:4 | 165 | PH, EH | SSR | IM | 2058.8 | 10.89 |
| 25 | Cardinal et al. [45] | B52 × B73 | 34 | RIL | 200 | DF, Lig | RFLP, SSR | CIM | 1621 | 10.8 |
| 26 | Barrière et al. [46] | F286 × F838 | 15 | RIL | 242 | Lig | SSR | CIM | 1911.2 | 17.2 |
| 27 | Penning et al. [47] | B73 × Mo17 | 18 | RIL | 263 | Lig, SSC | SNP | CIM | 3262.5 | 1.5 |
| 28 | Courtial et al. [48] | F288 × F271 | 21 | RIL | 131 | Lig | SSR | CIM | 2153.2 | 11.7 |
| 29 | Wang et al. [49] | Ce03005 × B73 | 14 | F3, F4 | 211 | DF | SSR | CIM | 2277.8 | 17.9 |
| 30 | Hu et al. [50] | B73 × Ce03005 | 5 | RIL | 216 | Cel, Lig, SBS | SSR | CIM | 2016.52 | 15.6 |
| 31 | Krakowsky et al. [51] | B73 × De811 | 44 | RIL | 191 | DF, Lig | RFLP, SSR | — | 1551 | 11.2 |
| 32 | Virlouvet et al. [52] | F271 × Cm484 | 28 | RIL | 267 | Lig, SSC, Cel, Hem | SNP | — | 2355 | 2.4 |
| 33 | Lorenzana et al. [53] | B73 × Mo17 | 86 | RIL | 223 | Lig, SSC | RFLP, SSR | CIM | 6240 | 4.7 |
| 34 | Wei et al. [54] | GY220 × 8984 | 19 | F2:3 | 284 | DF, Hem | SSR | CIM | 2111.7 | 11.41 |
| GY220 × 8622 | 12 | F2:3 | 265 | DF, Hem | SSR | CIM | 2298.5 | 13.29 | ||
| 35 | Li et al. [55] | Zheng58 × HD568 | 11 | RIL | 220 | DF, Cel, Lig | SNP | CIM | 1985.6 | 1.5 |
| 36 | Barrière et al. [9] | RIo × WM13 | 28 | RIL | 163 | Cel, Hem, Lig | SSR | CIM | 1469 | 15 |
| 37 | Zhang et al. [11] | B73 × Mo17 | 56 | DH | 221 | RPR, PD, SBS | SNP | CIM | 1767.45 | 0.29 |
| 38 | He et al. [56] | Xu178 × K12 | 18 | RIL | 150 | PH, EH | SSR | ICIM | 2069.1 | 10.8 |
| 39 | Yu et al. [57] | KA105 × KB020 | 21 | F5 | 201 | RPR, PH, EH | SNP | ICIM | — | — |
| 40 | Zhao et al. [58] | ROAM | 25 | RIL | 1948 | RPR | SNP | CIM | — | — |
| 41 | Huang et al. [12] | W22 × 8759 | 1 | RIL | 866 | Vb | SNP | — | — | — |
| 42 | Ye et al. [59] | Y915 × Zheng58 | 13 | RIL | 171 | SD, RPR | SNP | CIM | — | — |
| 43 | Zhang et al. [60] | hengbai522 × tongxi5 | 4 | RIL | 198 | RPR | SNP | — | — | — |
| 44 | Du Yuxi [61] | X178 × NX531 | 23 | RIL | 248 | Vb | SNP | CIM | 2569 | 0.35 |
Disclaimer/Publisher’s Note: The statements, opinions and data contained in all publications are solely those of the individual author(s) and contributor(s) and not of MDPI and/or the editor(s). MDPI and/or the editor(s) disclaim responsibility for any injury to people or property resulting from any ideas, methods, instructions or products referred to in the content. |
© 2025 by the authors. Licensee MDPI, Basel, Switzerland. This article is an open access article distributed under the terms and conditions of the Creative Commons Attribution (CC BY) license (https://creativecommons.org/licenses/by/4.0/).
Share and Cite
Fang, H.; Zhang, C.; Qu, W.; Zhou, X.; Dong, J.; Liu, X.; Li, X.; Jin, F. Meta-QTL Analysis and Identification of Candidate Genes Associated with Stalk Lodging in Maize (Zea mays L.). Curr. Issues Mol. Biol. 2025, 47, 792. https://doi.org/10.3390/cimb47100792
Fang H, Zhang C, Qu W, Zhou X, Dong J, Liu X, Li X, Jin F. Meta-QTL Analysis and Identification of Candidate Genes Associated with Stalk Lodging in Maize (Zea mays L.). Current Issues in Molecular Biology. 2025; 47(10):792. https://doi.org/10.3390/cimb47100792
Chicago/Turabian StyleFang, Haiyue, Chunxiao Zhang, Wenli Qu, Xiaohui Zhou, Jing Dong, Xueyan Liu, Xiaohui Li, and Fengxue Jin. 2025. "Meta-QTL Analysis and Identification of Candidate Genes Associated with Stalk Lodging in Maize (Zea mays L.)" Current Issues in Molecular Biology 47, no. 10: 792. https://doi.org/10.3390/cimb47100792
APA StyleFang, H., Zhang, C., Qu, W., Zhou, X., Dong, J., Liu, X., Li, X., & Jin, F. (2025). Meta-QTL Analysis and Identification of Candidate Genes Associated with Stalk Lodging in Maize (Zea mays L.). Current Issues in Molecular Biology, 47(10), 792. https://doi.org/10.3390/cimb47100792
