Genome-Wide Identification of Brassica napus PEN1-LIKE Genes and Their Expression Profiling in Insect-Susceptible and Resistant Cultivars
Abstract
1. Introduction
2. Results
2.1. Identification, Characterization and Subcellular Localization of PEN1 Homologous Genes in Brassica napus
2.2. Multiple Sequence Alignment and Phylogenetic Analysis
2.3. Conserved Motifs and Physical Locations
2.4. Gene Structure and Cis-Acting Element Analysis
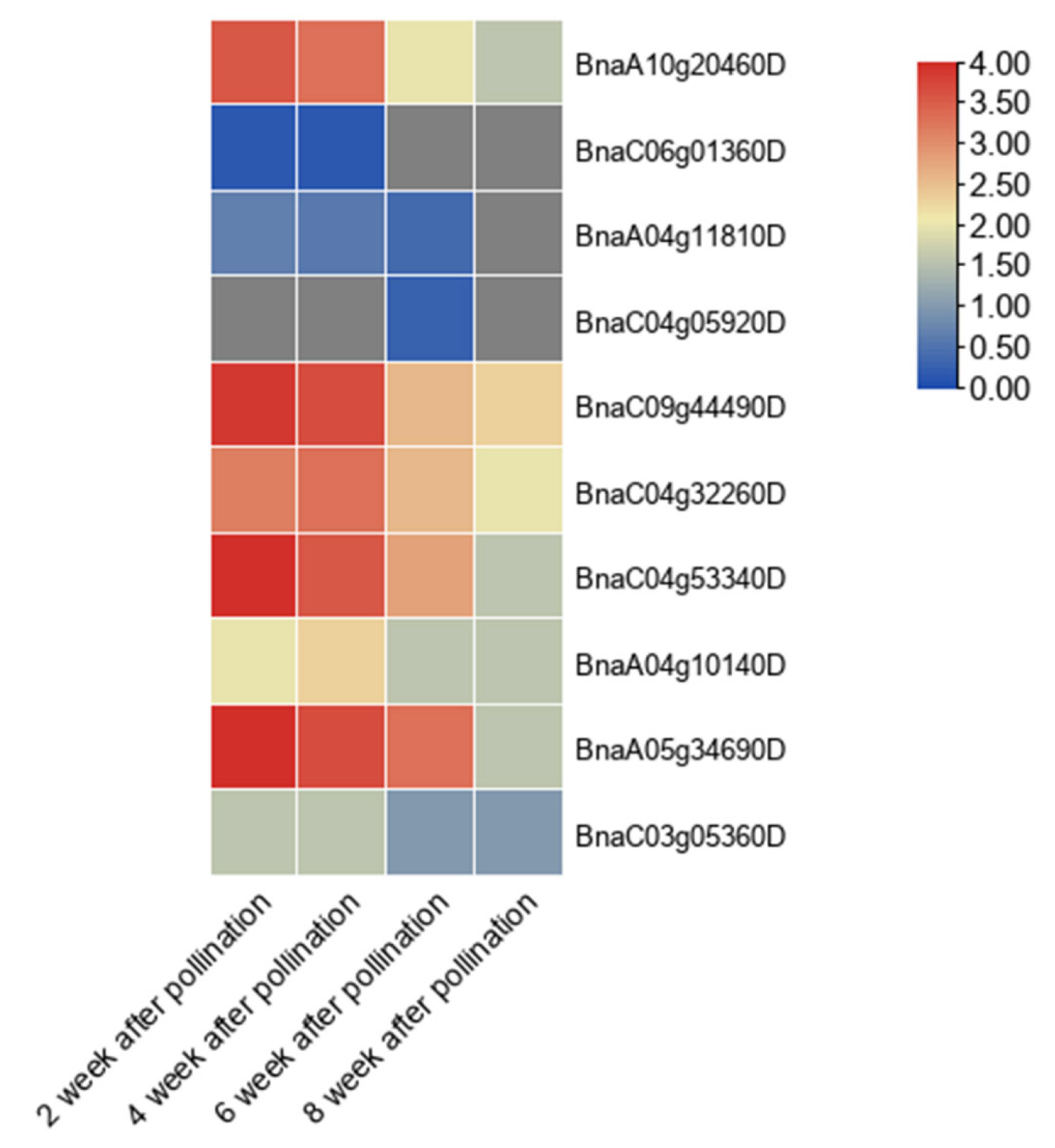
2.5. Tissue Expression Analysis
3. Discussion
4. Materials and Methods
4.1. Data Sources
4.2. Identification and Physiochemical Characterization of PEN1 Homologous Genes in Brassica napus
4.3. Multiple Sequence Alignment and Phylogenetic Analysis of PEN1 Homologous Genes in Arabidopsis thaliana and Brassica napus
4.4. Conserved Motifs and Chromosomal Locations of PEN1 Homologous Genes in Brassica napus
4.5. Gene Structure and Promoter Element Analysis of PEN1 Homologous Genes in Brassica napus
4.6. QRT-PCR Analysis
Supplementary Materials
Author Contributions
Funding
Institutional Review Board Statement
Informed Consent Statement
Data Availability Statement
Acknowledgments
Conflicts of Interest
References
- Liu, D.; Yu, L.; Wei, L.; Yu, P.; Wang, J.; Zhao, H.; Zhang, Y.; Zhang, S.; Yang, Z.; Chen, G.; et al. BnTIR: An online transcriptome platform for exploring RNA-seq libraries for oil crop Brassica napus. Plant Biotechnol. J. 2021, 19, 1895–1897. [Google Scholar] [CrossRef] [PubMed]
- So, K.K.Y.; Duncan, R.W. Breeding Canola (Brassica napus L.) for Protein in Feed and Food. Plants 2021, 10, 2220. [Google Scholar] [CrossRef] [PubMed]
- Fu, D.-H.; Jiang, L.-Y.; Mason, A.S.; Xiao, M.-L.; Zhu, L.-R.; Li, L.; Zhou, Q.-H.; Shen, C.-J.; Huang, C.-H. Research progress and strategies for multifunctional rapeseed: A case study of China. J. Integr. Agric. 2016, 15, 1673–1684. [Google Scholar] [CrossRef]
- Jörg, R.; Naranjo, S.E.; Meissle, M.; Shelton, A.M. Genetically engineered crops help support conservation biological control. Biol. Control 2019, 130, 136–154. [Google Scholar]
- Obermeier, C.; Mason, A.S.; Meiners, T.; Petschenka, G.; Rostas, M.; Will, T.; Wittkop, B.; Austel, N. Perspectives for integrated insect pest protection in oilseed rape breeding. Appl. Genet. 2022, 135, 3917–3946. [Google Scholar] [CrossRef]
- Zheng, X.; Koopmann, B.; Ulber, B.; von Tiedemann, A. A global survey on diseases and pests in oilseed rape—Current challenges and innovative strategies of control. Front. Agron. 2020, 2, 590908. [Google Scholar] [CrossRef]
- Sun, W.C. Cultivation Techniques of Winter Oilseed Rape in Northern Arid and Cold Areas; Chinese Agricultural Press: Beijing, China, 2013. [Google Scholar]
- Hardwick, N.V.; Davies, J.M.L.; Wright, D.M. The incidence of three virus diseases of winter oilseed rape in England and Wales in the 1991/92 and 1992/93 growing seasons. Plant Pathol. 1994, 43, 1045–1049. [Google Scholar] [CrossRef]
- Shah, F.; Saud, S.; Akhter, A.; Bajwa, A.A.; Hassan, S.; Battaglia, M.; Adnan, M.; Wahid, F.; Datta, R.; Babur, E.; et al. Bio-based integrated pest management in rice: An agro-ecosystems friendly approach for agricultural sustainability. J. Saudi Soc. Agric. Sci. 2021, 20, 94–102. [Google Scholar]
- Rask, L.; Andreasson, E.; Ekbom, B.; Eriksson, S.; Pontoppidan, B.; Meijer, J. Myrosinase: Gene family evolution and herbivore defense in Brassicaceae. Plant Mol. Biol. 2000, 42, 93–113. [Google Scholar] [CrossRef]
- Harvey, J.A.; Gols, R.; Wagenaar, R.; Bezemer, T.M. Development of an insect herbivore and its pupal parasitoid reflect differences in direct plant defense. J. Chem. Ecol. 2007, 33, 1556–1569. [Google Scholar] [CrossRef]
- Mithofer, A.; Boland, W. Plant defense against herbivores: Chemical aspects. Annu. Rev. Plant Biol. 2012, 63, 431–450. [Google Scholar] [CrossRef]
- Mahmoud, S.; Fathipour, Y.; Zalucki, M.P.; Hui, C. Importance of primary metabolites in canola in mediating interactions between a specialist leaf-feeding insect and its specialist solitary endoparasitoid. Arthropod-Plant Interact. 2012, 6, 241–250. [Google Scholar]
- Andre, K.; Baldwin, I.T. Defensive Function of Herbivore-Induced Plant Volatile Emissions in Nature. Science 2001, 291, 2141. [Google Scholar]
- Franceschi, V.R.; Krokene, P.; Christiansen, E.; Krekling, T. Anatomical and chemical defenses of conifer bark against bark beetles and other pests. New Phytol. 2005, 167, 353–375. [Google Scholar] [CrossRef]
- Richard, K. The ecology and evolution of induced resistance against herbivores. Funct. Ecol. 2011, 25, 339–347. [Google Scholar]
- Rashid, W.A.; Paulraj, M.G.; War, M.Y.; Ignacimuthu, S. Jasmonic Acid-Mediated-Induced Resistance in Groundnut (Arachis hypogaea L.) Against Helicoverpa armigera (Hubner) (Lepidoptera: Noctuidae). J. Plant Growth Regul. 2011, 30, 512–523. [Google Scholar]
- Lu, J.; Li, J.; Ju, H.; Liu, X.; Erb, M.; Wang, X.; Lou, Y. Contrasting effects of ethylene biosynthesis on induced plant resistance against a chewing and a piercing-sucking herbivore in rice. Mol. Plant 2014, 7, 1670–1682. [Google Scholar] [CrossRef]
- Martin, N.; Müller, C. Induction of plant responses by a sequestering insect: Relationship of glucosinolate concentration and myrosinase activity. Basic Appl. Ecol. 2007, 8, 13–25. [Google Scholar] [CrossRef]
- Ruud, V.; Schreiner, M.; Krumbein, A.; Ciska, E.; Holst, B.; Rowland, I.; de Schrijver, R.; Hansen, M.; Gerhäuser, C.; Mithen, R.; et al. Glucosinolates in Brassica vegetables: The influence of the food supply chain on intake, bioavailability and human health. Mol. Nutr. Food Res. 2009, 53, S219. [Google Scholar]
- Angelino, D.; Dosz, E.B.; Sun, J.; Hoeflinger, J.L.; van Tassell, M.L.; Chen, P.; Harnly, J.M.; Miller, M.J.; Jeffery, E.H. Myrosinase-dependent and -independent formation and control of isothiocyanate products of glucosinolate hydrolysis. Front. Plant Sci. 2015, 6, 831. [Google Scholar] [CrossRef]
- De Vos, M.; van Oosten, V.R.; van Poecke, R.M.; van Pelt, J.A.; Pozo, M.J.; Mueller, M.J.; Buchala, A.J.; Metraux, J.P.; van Loon, L.C.; Dicke, M.; et al. Signal signature and transcriptome changes of Arabidopsis during pathogen and insect attack. Mol. Plant Microbe Interact 2005, 18, 923–937. [Google Scholar] [CrossRef] [PubMed]
- Zarate, S.I.; Kempema, L.A.; Walling, L.L. Silverleaf Whitefly Induces Salicylic Acid Defenses and Suppresses Effectual Jasmonic Acid Defenses. Plant Physiol. 2006, 143, 866–875. [Google Scholar] [CrossRef] [PubMed]
- Sateesh, K.; Marimuthu, T.; Thayumanavan, B.; Nandakumar, R.; Samiyappan, R. Antimicrobial activity and induction of systemic resistance in rice by leaf extract of Datura metel against Rhizoctonia solani and Xanthomonas oryzae pv. oryzae. Physiol. Mol. Plant Pathol. 2004, 65, 91–100. [Google Scholar]
- Howe, G.A.; Schaller, A. Direct Defenses in Plants and Their Induction by Wounding and Insect Herbivores. In Induced Plant Resistance to Herbivory; Schaller, A., Ed.; Springer: Dordrecht, The Netherlands, 2008. [Google Scholar]
- Sharma, H.C.; Sujana, G.; Rao, D.M. Morphological and chemical components of resistance to pod borer, Helicoverpa armigera in wild relatives of pigeonpea. Arthropod-Plant Interact. 2009, 3, 151–161. [Google Scholar] [CrossRef]
- Mouttet, R.; Bearez, P.; Thomas, C.; Desneux, N. Phytophagous arthropods and a pathogen sharing a host plant: Evidence for indirect plant-mediated interactions. PLoS ONE 2011, 6, e18840. [Google Scholar] [CrossRef] [PubMed]
- Chen, C.; Chen, H.; Huang, S.; Jiang, T.; Wang, C.; Tao, Z.; He, C.; Tang, Q.; Li, P. Volatile DMNT directly protects plants against Plutella xylostella by disrupting the peritrophic matrix barrier in insect midgut. Elife 2021, 10, e63938. [Google Scholar] [CrossRef]
- Hervé, M.R. Breeding for insect resistance in oilseed rape: Challenges, current knowledge and perspectives. Plant Breed. 2018, 137, 27–34. [Google Scholar] [CrossRef]
- Matthias, E.; Kliebenstein, D.J. Plant secondary metabolites as defenses, regulators, and primary metabolites: The blurred functional trichotomy. Plant Physiol. 2020, 184, 39–52. [Google Scholar]
- Hegedus, D.D.; Erlandson, M. Genetics and genomics of insect resistance in Brassicaceae crops. In Genetics, Genomics and Breeding of Oilseed Brassicas; CRC Press: Boca Raton, FL, USA, 2012; pp. 319–372. [Google Scholar]
- Kliebenstein, D.J. Quantitative genetics and genomics of plant resistance to insects. Annu. Plant Rev. Insect-Plant Interact. 2014, 47, 235–262. [Google Scholar]
- Sarwan, K. Plant secondary metabolites (PSMs) of Brassicaceae and their role in plant defense against insect herbivores—A review. J. Appl. Nat. Sci. 2017, 9, 508–519. [Google Scholar]
- Ahuja, I.; Rohloff, J.; Bones, A.M. Defence mechanisms of Brassicaceae: Implications for plant-insect interactions and potential for integrated pest management. A review. Agron. Sustain. Dev. 2010, 30, 311–348. [Google Scholar] [CrossRef]
- Sohrabi, R.; Huh, J.; Badieyan, S.; Rakotondraibe, L.H.; Kliebenstein, D.J.; Sobrado, P.; Tholl, D. In planta variation of volatile biosynthesis: An alternative biosynthetic route to the formation of the pathogen-induced volatile homoterpene DMNT via triterpene degradation in Arabidopsis roots. Plant Cell 2015, 27, 874–890. [Google Scholar] [CrossRef]
- Aljbory, Z.; Chen, M.S. Indirect plant defense against insect herbivores: A review. Insect. Sci. 2018, 25, 2–23. [Google Scholar] [CrossRef]
- Bonnet, C.; Lassueur, S.; Ponzio, C.; Gols, R.; Dicke, M.; Reymond, P. Combined biotic stresses trigger similar transcriptomic responses but contrasting resistance against a chewing herbivore in Brassica nigra. BMC Plant Biol. 2017, 17, 127. [Google Scholar] [CrossRef]
- Nouri-Ganbalani, G.; Borzoui, E.; Shahnavazi, M.; Nouri, A. Induction of Resistance Against Plutella xylostella (L.) (Lep.: Plutellidae) by Jasmonic Acid and Mealy Cabbage Aphid Feeding in Brassica napus L. Front. Physiol. 2018, 9, 859. [Google Scholar] [CrossRef]
- Sanahuja, G.; Banakar, R.; Twyman, R.M.; Capell, T.; Christou, P. Bacillus thuringiensis: A century of research, development and commercial applications. Plant Biotechnol. J. 2011, 9, 283–300. [Google Scholar] [CrossRef]
- Jin, J.; Tian, F.; Yang, D.C.; Meng, Y.Q.; Kong, L.; Luo, J.; Gao, G. PlantTFDB 4.0: Toward a central hub for transcription factors and regulatory interactions in plants. Nucleic Acids Res. 2017, 45, D1040–D1045. [Google Scholar] [CrossRef]
- Finn, R.D.; Bateman, A.; Clements, J.; Coggill, P.; Eberhardt, R.Y.; Eddy, S.R.; Heger, A.; Hetherington, K.; Holm, L.; Mistry, J.; et al. Pfam: The protein families database. Nucleic Acids Res. 2014, 42, D222–D230. [Google Scholar] [CrossRef]
- Mistry, J.; Finn, R.D.; Eddy, S.R.; Bateman, A.; Punta, M. Challenges in homology search: HMMER3 and convergent evolution of coiled-coil regions. Nucleic Acids Res. 2013, 41, e121. [Google Scholar] [CrossRef]
- Letunic, I.; Doerks, T.; Bork, P. SMART: Recent updates, new developments and status in 2015. Nucleic Acids Res. 2015, 43, D257–D260. [Google Scholar] [CrossRef]
- Ison, J.; Kalas, M.; Jonassen, I.; Bolser, D.; Uludag, M.; McWilliam, H.; Malone, J.; Lopez, R.; Pettifer, S.; Rice, P. EDAM: An ontology of bioinformatics operations, types of data and identifiers, topics and formats. Bioinformatics 2013, 29, 1325–1332. [Google Scholar] [CrossRef] [PubMed]
- Kumar, S.; Stecher, G.; Tamura, K. MEGA7: Molecular Evolutionary Genetics Analysis Version 7.0 for Bigger Datasets. Mol. Biol. Evol. 2016, 33, 1870–1874. [Google Scholar] [CrossRef] [PubMed]
- Bailey, T.L.; Johnson, J.; Grant, C.E.; Noble, W.S. The MEME Suite. Nucleic Acids Res. 2015, 43, W39–W49. [Google Scholar] [CrossRef] [PubMed]
- Chen, C.; Chen, H.; Zhang, Y.; Thomas, H.R.; Frank, M.H.; He, Y.; Xia, R. TBtools: An Integrative Toolkit Developed for Interactive Analyses of Big Biological Data. Mol. Plant 2020, 13, 1194–1202. [Google Scholar] [CrossRef]
- Lescot, M.; Dehais, P.; Thijs, G.; Marchal, K.; Moreau, Y.; van de Peer, Y.; Rouze, P.; Rombauts, S. PlantCARE, a database of plant cis-acting regulatory elements and a portal to tools for in silico analysis of promoter sequences. Nucleic Acids Res. 2002, 30, 325–327. [Google Scholar] [CrossRef]
- Die, J.V.; Roman, B. RNA quality assessment: A view from plant qPCR studies. J. Exp. Bot. 2012, 63, 6069–6077. [Google Scholar] [CrossRef]
- Pfaffl, M.W. A new mathematical model for relative quantification in real-time RT-PCR. Nucleic Acids Res. 2001, 29, e45. [Google Scholar] [CrossRef]
- Livak, K.J.; Schmittgen, T.D. Analysis of Relative Gene Expression Data Using Real-Time Quantitative PCR and the 2−ΔΔCT Method. Methods 2001, 25, 402–408. [Google Scholar] [CrossRef]







| Gene ID | pI | Mw (KDa) | Amino Acids (aa) | Instability Index | GRAVY | Aliphatic Index | Subcellular Localization |
|---|---|---|---|---|---|---|---|
| BnaA03g03820D | 5.12 | 8.79 | 77 | 27.59 | 0.083 | 125.32 | nucleus |
| BnaA10g20460D | 5.06 | 34.52 | 314 | 17.73 | 0.156 | 104.55 | cytoplasm |
| BnaC06g01360D | 5.85 | 29.40 | 253 | 53.78 | −0.176 | 87.08 | cytoplasm |
| BnaA04g11810D | 4.65 | 49.76 | 444 | 37.33 | −0.289 | 87.18 | nucleus |
| BnaC04g05920D | 9.01 | 11.91 | 108 | 27.37 | 0.150 | 103.98 | nucleus |
| BnaC09g44490D | 5.06 | 35.38 | 322 | 22.36 | 0.136 | 100.75 | cytoplasm |
| BnaC04g32260D | 4.66 | 49.76 | 444 | 39.90 | −0.407 | 78.20 | nucleus |
| BnaC04g53340D | 4.64 | 42.17 | 382 | 50.22 | −0.256 | 80.24 | nucleus |
| BnaA04g10140D | 4.61 | 49.87 | 445 | 41.97 | −0.431 | 74.72 | nucleus |
| BnaA05g34690D | 4.65 | 41.94 | 380 | 51.60 | −0.230 | 81.95 | nucleus |
| BnaC03g05360D | 5.80 | 36.19 | 322 | 23.43 | −0.024 | 92.02 | cytoplasm |
| BnaC04g33950D | 9.23 | 11.21 | 97 | 27.47 | −0.248 | 82.37 | cytoplasm |
| Number | Sequence | Length |
|---|---|---|
| 1 | LCSQVENGGFSDKPGDPRDIYHTYYGLSGLSLLE | 34 |
| 2 | TEKAGDYILSCQTYDGGFGGEPGSESHGGQTYCGVATLAJI | 41 |
| 3 | NWIVHRQGVEGGFQGRTNKLVDGCYTFWQAAPLVLJQRVYSIDKLALHGF | 50 |
| 4 | DTPPLTRDILGGYANHLEPVHLLHNVVMDRYNEAIEFFHRA | 41 |
| 5 | QDEDGGFSGHTMGEVDVRFSYIAISIASI | 29 |
| 6 | IATQPFSVEIQRDKQLDYLMNGLRQLGPSFSSLDANRPWVCYWIIHSIAL | 50 |
| 7 | EKKKESFESVVMDHLRMNGAYWGLTTLDLLDKLGSVSVDEVVSWLMTCQH | 50 |
| 8 | NNAIDFLGRCQGSDGGYGGGPGQLPHLATSYAAVNTLVTLGGEKAFSSIN | 50 |
| 9 | YPGVKAIDPAYALPVDVINRI | 21 |
| 10 | MEELPSITVSQREQFLVENDVFGMYSYFD | 29 |
| 11 | TGHDPHLASTYIALRILPVF | 20 |
| 12 | HMSQGEDEDHEEHAHDEDDPEDSDE | 25 |
| 13 | ATDRVDKDVVAKWVLSFQAFPSNRALLKEGEFYGFYGSRSSQFPIDEN | 48 |
| 14 | MGQLVADKHVRYILM | 15 |
| 15 | EPGLSPLCPELGLP | 14 |
Disclaimer/Publisher’s Note: The statements, opinions and data contained in all publications are solely those of the individual author(s) and contributor(s) and not of MDPI and/or the editor(s). MDPI and/or the editor(s) disclaim responsibility for any injury to people or property resulting from any ideas, methods, instructions or products referred to in the content. |
© 2022 by the authors. Licensee MDPI, Basel, Switzerland. This article is an open access article distributed under the terms and conditions of the Creative Commons Attribution (CC BY) license (https://creativecommons.org/licenses/by/4.0/).
Share and Cite
Sheng, L.; Feng, Z.; Hao, Z.; Hou, S. Genome-Wide Identification of Brassica napus PEN1-LIKE Genes and Their Expression Profiling in Insect-Susceptible and Resistant Cultivars. Curr. Issues Mol. Biol. 2022, 44, 6385-6396. https://doi.org/10.3390/cimb44120435
Sheng L, Feng Z, Hao Z, Hou S. Genome-Wide Identification of Brassica napus PEN1-LIKE Genes and Their Expression Profiling in Insect-Susceptible and Resistant Cultivars. Current Issues in Molecular Biology. 2022; 44(12):6385-6396. https://doi.org/10.3390/cimb44120435
Chicago/Turabian StyleSheng, Lei, Zengbei Feng, Zhongping Hao, and Shumin Hou. 2022. "Genome-Wide Identification of Brassica napus PEN1-LIKE Genes and Their Expression Profiling in Insect-Susceptible and Resistant Cultivars" Current Issues in Molecular Biology 44, no. 12: 6385-6396. https://doi.org/10.3390/cimb44120435
APA StyleSheng, L., Feng, Z., Hao, Z., & Hou, S. (2022). Genome-Wide Identification of Brassica napus PEN1-LIKE Genes and Their Expression Profiling in Insect-Susceptible and Resistant Cultivars. Current Issues in Molecular Biology, 44(12), 6385-6396. https://doi.org/10.3390/cimb44120435

