Pleiotropic Bioactivity of Caterpillar Fungus, Orange Cordyceps, and Cordycepin: Insight from Integrated Network Pharmacology and Food and Drug Regulatory Framework
Abstract
1. Introduction
2. Results
2.1. Bioactive Compounds of O. sinensis and C. militaris Fungi and Their Pharmacological Activity
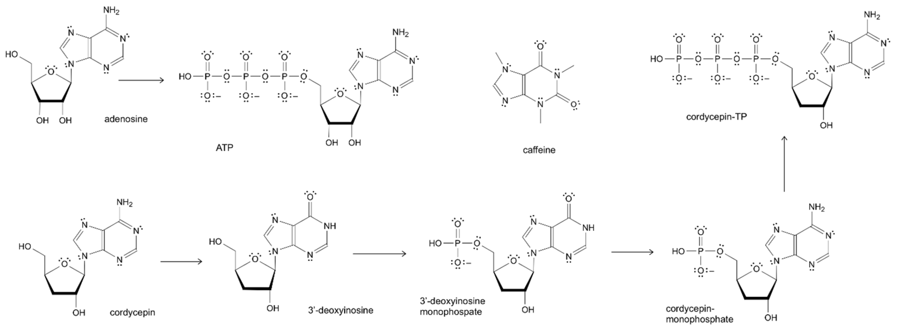
2.2. Nucleosides Adenosine and Cordycepin as Mediators of Adaptive Stress Response Andanti-Fatigue Activity of O. sinensis, and C. militaris
2.3. Efficacy and Safety of Ophiocordyceps sinensis and Cordyceps militaris in Human Subjects
2.3.1. Traditional Use
2.3.2. Clinical Studies
2.3.2.1. Systematic Reviews and Meta-Analyses of Randomized Clinical Trials
- Trials were almost exclusively conducted in China;
- Most studies were small and short-term;
- Blinding and placebo control were largely absent;
- Outcomes were frequently surrogate or supportive rather than definitive clinical endpoints.
- Insufficient methodological robustness;
- Absence of EU-based medicinal use documentation;
- Lack of a single, standardized herbal substance or preparation;
- Predominant reliance on surrogate outcomes.
2.3.2.2. Clinical Evidence for Anti-Fatigue Effects of O. sinensis and C. militaris: Implications for EMA Well-Established Use
2.4. Systems-Level Mechanisms of O. sinensis, C. militaris, and Cordycepin: An Integrative Network Pharmacology and Experimental Evidence Review
- Immune modulation via TLR4/TNF-α [182];
- Cancer apoptosis via PI3K–Akt and caspase regulation [187];
- Cytokine normalization and lung restoration in COPD [174];
- PAH through apoptosis and vascular remodeling repair [191];
- Obesity/metabolic syndrome via AKT1/MAPK14/GSK3B [192];
- HBV vaccine response enhancement [177].
- O. sinensis exhibits broad-spectrum organ support and multi-pathway modulation, especially in chronic diseases and viral infections. The most defensible, network-anchored claims are around kidney support/adjunct in chronic kidney disease, inflammation/oxidative stress, and respiratory immune modulation—with some clinical meta-analytic support but still needing higher-quality trials [136,139].
- C. militaris shows targeted cytotoxicity and immune activation, making it more suitable for oncology and immunotherapy applications. C. militaris preparations, explicitly characterized by high content of cordycepin, have the strongest network-mechanistic case for anticancer mechanisms, immune modulation (TLR4–TNF, macrophage polarization), and metabolic/urate axes. The evidence is growing, but disease-specific clinical endpoints remain limited [182,183,185].
- Tier 1 (Prediction Only): Identified through in silico network modeling and enrichment analysis without biological confirmation.
- Tier 2 (Experimental Validation): Supported by in vitro or in vivo mechanistic studies.
- Tier 3 (Clinical Alignment): Mechanistic pathways supported by human clinical biomarker modulation or RCT endpoints.
2.5. Food and Drug Regulation of O. sinensis and C. militaris in Western and Oriental Worlds
2.6. Resilience Biology, Inflammation, and Adaptogens: An Umbrella Review of Biological Evidence and Regulatory Frameworks Across Europe, the United States, and Asia
3. Discussion
3.1. An Integrative Network Pharmacology and Systems-Level Mechanisms of Ophiocordyceps sinensis, Cordyceps militaris, and Cordycepin
3.1.1. Convergence on a Conserved Stress-Adaptive Signaling Core
3.1.2. Species-Level Pharmacology Reflects Network Breadth, Not Redundancy
3.1.3. Cordycepin Acts as a Dominant Molecular Effector Within Broader Fungal Networks
3.1.4. Validated Versus Predicted Networks Define Evidence Tiers
3.1.5. Implications for Natural-Product Systems Pharmacology
3.1.6. Limitations
3.1.7. Future Perspectives
- Disease-targeted bioinformatic-based network analysis reveals the molecular mechanisms of action, common molecular targets of active compounds, and stimulus-response coupling signaling pathways [57,60,103,140,144,174,175,177,178,179,180,181,182,183,184,185,186,187,188,189,190,191,192,193,194,195,196,197,198,199,200,201,202,203,204,205,206,207,208]. Such study design and methodology do not account for synergistic and antagonistic interactions in networks induced by various constituents of the complex, multi-component extracts, which can lead to unexpected outcomes, e.g., [246,247].
- Non-targeted transcriptome-wide microarray profiling of gene expression-based experiments following integrated metabolomics and network analysis, revealing all molecular targets of active compounds and their response, coupling signaling pathways. The results of these studies can predict unknown physiological functions, health consequences, and therapeutic indications due to synergistic and antagonistic interactions [171,173,246,247].
- Currently, all conducted network pharmacology studies on Caterpillar Fungus, Orange Cordyceps, and cordicepin are limited to disease-targeted investigations of Chinese TCM prescriptions for the treatment of kidney diseases and related disorders. Non-targeted transcriptome-wide microarray profiling of gene expression-based experiments can lead to the discovery of new therapeutic indications and functional claims.
3.2. Nucleosides Adenosine and Cordycepin as Mediators of Adaptive Stress Response and Anti-Fatigue Activity of O. sinensis, and C. militaris
3.3. Western Regulatory vs. Traditional Medical Paradigms
3.4. Resilience Biology as the Missing Regulatory Construct
3.4.1. Why a Hybrid EU–Asia Model Is Scientifically Justified
3.4.1.1. Resilience-Supporting Physiological Modulators as a Regulatory Bridge
3.4.1.2. Regulatory Language as a Determinant of Scientific Visibility
3.4.2. Outlook and Future Directions
3.4.2.1. From Disease Regulation to Health Maintenance
3.4.2.2. Implications for Regulatory Science
- Formal recognition of homeostasis and recovery as legitimate physiological outcomes;
- Acceptance of systems-level functional endpoints alongside classical biomarkers;
- Development of claim guidance specific to resilience-supporting functions.
3.4.2.3. Implications for Research and Industry
3.4.2.4. Concluding Perspective
4. Materials and Methods
4.1. Literature Search
4.2. Inclusion and Exclusion Criteria
4.2.1. Inclusion Criteria
- Studies explicitly performing target prediction and pathway enrichment analyses.
- Studies identifying protein–protein interaction (PPI) networks.
- Studies reporting enriched KEGG/GO pathways.
- Studies involving O. sinensis, C. militaris, or cordycepin as primary exposure.
- In vitro or in vivo confirmation of predicted targets/pathways.
- Clear reporting of biological endpoints.
- Mechanistic linkage to predicted signaling hubs.
- Randomized controlled trials (RCTs).
- Systematic reviews or meta-analyses.
- Clearly defined preparation type.
4.2.2. Exclusion Criteria
- Reviews without primary mechanistic data.
- Studies lacking explicit pathway enrichment methods.
- Case reports without mechanistic evaluation.
4.3. Data Extraction
4.4. Data Integration and Evidence Integration Strategy
- Predicted targets were extracted.
- Enriched pathways were recorded.
- Frequency of pathway recurrence across independent studies was counted.
- In silico prediction only;
- Experimentally validated (cellular or animal models);
- Clinically supported endpoints.
5. Conclusions
- O. sinensis, C. militaris, and cordycepin share a common adaptogenic mechanism of maintenance of cellular and integrated biology system functions homeostasis.
- The systems-level adaptogenic mechanism of these fungi is characterized by their ability to modulate multiple interconnected biological networks rather than acting on a single target.
- This is in line with TCM and Ayurveda holistic concepts and the modern concept of pleiotropic therapeutic activity of adaptogens and particularly of O. sinensis.
- The review reveals controversy regarding the bioavailability of cordycepin in vivo and its concentration in vitro studies, raising the hypothesis that cordycepin may act as a driver, triggering the organism’s adaptive stress response in stress-induced and aging-related diseases.
- Nucleosides, adenosine and cordycepin, along with other adaptogenic botanical metabolites (steroids and phenolics), contribute to the maintenance of cellular and integrated biology system functions homeostasis.
- Network pharmacology studies identify multi-target pathways, including convergent hubs, such as PI3K-Akt, AMPK–mTOR, MAPK, apoptosis, Nrf2 and AMPK–SIRT1–PGC-1α pathways.
- By influencing pathways associated with immune regulation, mitochondrial function, and metabolic adaptation, they orchestrate a holistic response that enhances the organism’s resilience to various stressors.
- This integrative effect is especially significant in the context of complex disorders, where multifactorial interventions are necessary for effective therapeutic outcomes.
- This is the first comparative meta-analysis of validated vs. predicted effects of O. sinensis, C. militaris and species-level versus cordycepin-driven mechanisms.
- Validation studies confirm predictions across chronic obstructive pulmonary disease, pulmonary arterial hypertension, cancer, obesity, influenza, and immunogenicity.
Funding
Institutional Review Board Statement
Informed Consent Statement
Data Availability Statement
Acknowledgments
Conflicts of Interest
Appendix A
Appendix A.1. Taxonomy, Scientific and Vernacular Names of Ophiocordyceps sinensis and Cordyceps militaris
| Accepted Scientific Name | Ophiocordyceps sinensis (Berk.) G.H. Sung, J.M. Sung, Hywel-Jones & Spatafora, 2007 | Cordyceps militaris (L.) Fr., 1818 |
|---|---|---|
| Synonims | Cordyceps sinensis (Berk.) Sacc. (1878), Sphaeria sinensis Berk. (1843) | Clavaria militaris L., 1753 |
| Language | Vernacular names | |
| Sanskrit | Yarsagumba | |
| Tibetan | Yarsa gumba, Yarcha gumba (དབྱར་རྩ་དུད་འབྱུར་) | |
| Nepali | Keera jhar, Jeevan buti, Keeda ghass, Chyou kira, Sanjeevani bhooti (यार्सागुम्बा) | |
| Chinese (Mandarin) | Dong chong xi cao (冬蟲夏草, or 冬虫夏草, meaning “winter worm, summer grass”) | Běi chóng cǎo (北虫草) Northern Cordyceps |
| Japanase | Tocheikasa, Tochyuka-sou | 冬虫夏草 (Tōchūkasō) |
| Korean | 동충하초 (Dong Chung Ha Cho) | 북충초 (Buk chung cho) |
| Vietnamese | Đông trùng hạ thảo | Đông trùng hạ thảo quân đội |
| Thai | ถั่งเช่า (Thungchao) | ถั่งเช่าเหนือ (Thungchao nuea) |
| French | cordyceps, champignon chenille | |
| German | Cordyceps, Chinesischer Raupenpilz, Tibetischer, Raupenpilz, Tibetischer Raupenkeulenpilz | |
| Italian | cordyceps, fungo del bruco | |
| Spanish | cordyceps | |
| English | Caterpillar fungus, Cordyceps mushroom, Winter Worm—Summer Grass | Scarlet Caterpillar Club, Orange Cordyceps |
| Scientific Name | Ophiocordyceps sinensis (Berk.) G.H. Sung, J.M. Sung, Hywel-Jones & Spatafora, 2007 | Cordyceps militaris (L.) Fr., 1818 |
|---|---|---|
| Domain | Eukaryota (eukaryotes) | Eukaryota (eukaryotes) |
| Kingdom | Fungi | Fungi |
| Phylum | Ascomycota (ascomycete fungi) | Ascomycota (ascomycete fungi) |
| Class | Sordariomycetes | Sordariomycetes |
| Order | Hypocreales | Hypocreales |
| Family | Ophiocordycipitaceae | Cordycipitaceae |
| Genus | Ophiocordyceps | Cordyceps |
| Species | Ophiocordyceps sinensis | Cordyceps militaris |
Appendix A.2. Chemical Composition, Bioactive Compounds, and Pharmacological Activity of Ophiocordyceps sinensis and Cordyceps militaris Species
| C. sinensis | C. militaris |
|---|---|
| Cordycepic acid, glutamic acid, amino acids (phenylalnine, praline, histidine, valine, oxyvaline, arginine): polyamines (1,3-diamino propane, cadaverine, spermidine, spermine, homospermidine, and purtescine): cyclic dipeptides (cyclo-(gly-pro), cyclo-(leu-pro), cyclo-(val-pro), cyclo-(ala-leu), cyclo-(alaval), and cyclo-(thr-leu), saccharides and sugar derivatives (d-mannitol, oligosaccharides, and polysaccharides); sterols (ergosterol, delta-3 ergosterol, ergosterol peroxide, 3-sistosterol, daucosterol and campesterol); nucleotides, and nucleosides, including adenine, adenosine, inosine, cytidine, cytosine, guanine, uridine, thymidine, uracil, hypoxanthine, guanosine, uracil, uridine, guanosine, and deoxyuridine and cordycepia; saturated and unsaturated fatty acids, their derivatives and other organic acids (oleic, linoleic, palmitic and stearic acids); vitamins (B1, B2, B12, E, and K); and inorganic elements (K, Na, Ca, Mg, Fe, Ca, Mn, Zn, Pi, Se, Al, Si, Ni, Si, Ti, Cr, Ga, V, and Zr). | cordycepin, cordycepic acid, pentostatin, carotenoids (lutein, zeaxanthin, cordyxanthins), L-ergothioneine, ergosterol, polysaccharides, glycoproteins, 5-Methyltryptamine Lovastatin 5-Hydroxy-L-tryptophan L-Tryptophan Serotonine L-Phenylalanine |
| Classification | Compound, the Pharmacological Activity, and the Reference |
|---|---|
| Nucleoside and bases | Adenosine: Neuroprotection, immunomodulatory [266,267] Cordycepin: Neuroprotection, anti-metastatic, anti-platelet aggregation, anti-inflammatory activity, anticancer [62,129,268] Dimethylguanosine: Antioxidant and HIV-1 protease [269] Guanosine: Immunomodulatory [266,267] Cordysinin B: Anti-inflammatory activity [71] |
| Sterols | Ergosteryl-3-O-β-D-glucopyranoside: Anti-inflammatory, antioxidant [71,81] 5α,8α-epidioxy-22E-ergosta-6,9-(11)-22-trien-33β-ol: Cytotoxic against HL-60 cell line [270] 5α,6α-epoxy-5α-ergosta-7,22-dien-3β-ol: Cytotoxic against HL-60 cell line [270] 5α,8α-epidioxy-24(R)-methylcholesta-6,22-dien-3β-Dglucopyranoside: Antitumor [81] Ergosta-4,6,8(14),22-tetraen-3-one: Antitumor [81] 22-dihydro-ergosteryl-3-O-β-D-glucopyranoside: Antitumor [81] |
| Cyclodipeptides | Cordyceamide A: Cytotoxicity against L929, A375 and Hela cell lines [271] Cordyceamide B: Cytotoxicity against L929, A375 and Hela cell lines [271] Cycloaspeptide A: Cytotoxicity against HeLa and MCF7 cell lines [272] Cycloaspeptide C: Cytotoxicity against HeLa and MCF7 cell lines [272] Cycloaspeptide F: Cytotoxicity against HeLa and MCF7 cell lines [272] Cycloaspeptide G: Cytotoxicity against HeLa and MCF7 cell lines [272] Cyclo(L-Pro-L-Val): Antioxidant, anti-inflammatory [71] Cyclo(L-Phe-L-Pro): Antioxidant, anti-inflammatory [71] Cyclo(L-Pro-L-Tyr): Antioxidant, anti-inflammatory [71] |
| Alkaloids | Cordysinin A: Anti-inflammatory, antioxidant [16,19] Cordysinin C: anticancer [16,70] Cordysinin D: anticancer [16,70] Flazin: Antioxidant, anti-inflammatory [70] Perlolyrine (100) Antioxidant, anti-inflammatory, anticancer [70] α-methoxy-α-trifluoro-methylphenylacetyl chlorides: Anti-inflammatory [71] 1-acetyl-β-carboline: Anticancer [70,71] gliocladicillins A: antitumor cell proliferation inhibitors and apoptosis inducers [16,69] gliocladicillin B: antitumor cell proliferation inhibitors and apoptosis inducers [16,69] 11,11′-dideoxyverticillin: antitumor cell proliferation inhibitors and apoptosis inducers [16,69] |
| Flavonoids | 3′,4′,7-trihydroxyisoflavone: Antioxidant [71] Diadzein: Antioxidant, anti-inflammatory [71] 6,7,2′,4′,5′-pentamethoxyflavone: Antioxidant activity, anti-HIV-1 protease [269] Glycitein-7-O-β-D-glucoside-4′-O-methylate: Anti-inflammatory [273] Iso-sinensetin (120) Antioxidant activity, anti-HIV-1 protease [269] |
| Miscellaneous | Ophicordin: Antifungal [274] 2-Furancarboxylic acid: Anti-inflammatory, antioxidant [71] 3-hydroxy-2-methyl-4-pyrone: Anti-inflammatory, antioxidant [71] Cordycerebroside A: Anti-inflammatory [275] Soyacerebroside I: Anti-inflammatory [275] Glucocerebroside: Anti-inflammatory [275] |
| Nucleosides | |
| Anti-tumor activities; Ca2+ antagonist; depresses the excitability of CNS neurons, inhibits release of various neurotransmitters presynaptically and anticonvulsant activity [72,73,74] stimulate axon growth in vitro and in the adult central nervous system [75] | |
| Polysaccharides | |
| Anti-oxidation, immuno-potentiation, anti-tumor, and hypoglycemic activity [76,77,78,79]; anti-inflammatory activity and suppresses the humoral immunity in mice [80] | |
| Ergosterol and its analogs | |
| Cytotoxic activity, anti-viral activity, and anti-arrhythmia effect [81,82]; suppress the activated human mesangial cells and alleviate immunoglobulin A nephropathy (Berger’s disease) [83] | |
| Mannitol | |
| Diuretic, anti-tussive, and anti-free radical activities [18] | |
| Peptides | |
| Anti-tumor and immuno-potentiation activities [18] | |
| O. sinensis | C. militaris |
|---|---|
| Anti-arteriosclerosis: Rats | Acetylcholinesterase inhibition |
| Anticancer Mice | Anti-allergic Mice |
| Anti-diabetic Rats | Anticancer A 4T1, SMMC-7721, BGC-823,MCF-7 cells |
| Anti-fatigue Rats | Anti-HCV |
| Anti-fibrotic HK-2, HLFS cells | Anti-HCV |
| Anti-hypertensive Rats | Antihyperglycemic Mice |
| Anti-inflammatory HM cells | Antihyperlipidemic Mice |
| Antioxidant | Anti-inflammatory human ADMSC cells |
| Anti-thrombotic Humans | Antimicrobial |
| Antitumor S-180 cells | Anti-obesity C58BL/6 J mice |
| Hepatoprotective HepG2 cells | Antioxidant |
| Immunomodulatory RAW 264.7 cells | Antitumor J6/JFH1-huh 7.5 cells |
| Radio-protective Mice | Hepatoprotective Mice |
| Renoprotective Rats | HIV-1 protease inhibiting |
| HuH-7-derived OR6, AH1R cells | |
| Hypouricemic Mice | |
| Immunomodulatory Sea Cucumbers |
| Dishes | Indications for Use |
|---|---|
| Cooked with an old duck | For patients with cancer, asthenia, or after severe illness |
| Cooked with hen | For hyposexuality (especially emission) |
| Cooked with black-bone hen | For asthenia (especially Qi-Yin asthenia) |
| Cooked with lean pork | For fatigue, male impotence, and “kidney” asthenia |
| Cooked with sparrow | For antiaging/senescence |
| Cooked with quail | For fatigue, poor appetite, “kidney” asthenia, and tuberculosis |
| Cooked with steamed turtle | For male/female hyposexuality |
| Cooked with baked abalone | For chronic bronchitis, COPD, tuberculosis, arteriosclerosis, cataracts, and for healthy individuals in any season |
Appendix A.3. Clinical Studies
| Species | Botanical Material/Product | Comparator | Daily Dose | Duration | Population/Condition | Sample Size | Study Design (GCP) * | Primary Endpoints | Outcome Measures | Key Clinical Results | Effect Size (reported/Calculable) | Risk of Bias (Cochrane) | Citation |
|---|---|---|---|---|---|---|---|---|---|---|---|---|---|
| O. sinensis | Cs-4 mycelium (Paecilomyces hepiali) | Placebo | 999 mg/day (333 mg TID) | 12 weeks | Healthy elderly (50–75 y) | n = 20 | DB-PC RCT | Exercise performance | VO2max, ventilatory threshold, VT, MT | ↑ ventilatory & metabolic thresholds; no VO2max change | VO2max SMD ≈ 0 | Low | Chen et al., 2010 [150] |
| O. sinensis | Mycelium extract | Placebo | 2 g/day | 12 weeks | Amateur marathoners | n = 12 | DB-PC RCT | Aerobic performance | CPET, HR | ↓ HR at submax load; ↑ aerobic performance | SMD small–moderate | Moderate | Savioli et al., 2022 [159] |
| O. sinensis | Cs-4 | Placebo | 3 g/day | 12 weeks | Healthy elderly | n = 37 | Randomized DB-PC | Aerobic capacity | VO2max, FEV1 | Significant ↑ VO2max | SMD ≈ 0.54 | Moderate | Xiao et al., 2004 [158] |
| O. sinensis | Cs-4 (CordyMax) | Placebo | 3 g/day | 5 weeks | Trained cyclists | n = 25 | Randomized DB-PC | Endurance | Time-to-exhaustion | No difference | SMD ≈ 0.00 | Low | Parcell et al., 2004 [156] |
| O. sinensis | Herbal formulation | Standard asthma care | NR | 3 months | Moderate–severe asthma | n = 120 | RCT | QoL | AQLQ, FEV1 | Significant QoL improvement | MD (AQLQ) +0.8 | Moderate | Wang et al., 2016 [165] |
| O. sinensis | Cs-4 mycelium, capsule | Placebo “Wait-list group.” | 1.6 g (4 caps 0.4 g/caps daily) | 12 weeks, follow-up at week 24 | Long COVID | n = 110 (55/55} | Waitlist-controlled RCT | Change in the symptom severity, COVID-19 Yorkshire Rehabilitation Scale (C19-YRSm **) at 12 weeks | Long Covid symptoms severity (C19-YRSm&), Fatigue, sleep, QoL, depression, anxiety, | Significant multi-domain improvement. Improved Long COVID severity symptoms, fatigue & QoL | Moderate, Significant change from baseline between-group difference (adjusted for duration and vaccine doses) | Low Some concerns | Chen et al., 2025 [163] |
| O. sinensis | Mycelium extract | Standard care | NR | ≥8 weeks | Diabetic kidney disease | >13,000 (meta-analysis) | Systematic review of RCTs | Renal surrogates | Proteinuria, Cr | ↓ proteinuria, ↓ Cr | Pooled MD significant | High | Xue et al., 2024 [140] |
| O. sinensis | Mycelium extract | Standard care | NR | NR | Dialysis patients | n = 2914 | Meta-analysis | Inflammation, anemia | CRP, Hb, Alb | Improvements in surrogates | Low certainty | High | Liu et al., 2024 [136] |
| O. sinensis | Mycelium extract | Placebo | NR | Peri-procedure | CA-AKI risk | n = 1271 | Systematic review | AKI incidence | Serum Cr | ↓ CA-AKI incidence | RR <1 | Moderate | Pu et al., 2024 [138] |
| O. sinensis | Mycelium | Placebo | 1 g (3.5 mg of adenosine and 40 mg polysaccharide) | Single dose | Healthy young adults | n = 14 | DB crossover RCT | Muscle recovery | CD34+/Pax7+ cells | Accelerated stem-cell recruitment | Not pooled | Low | Dewi et al., 2024 [276] |
| O. sinensis | Cordyceps capsules | Placebo | 1.5 g (3 × 500 mg) | 15 days | Mild-moderate COVID-19 | 65 (32/33) | Double-blind RCT | Recovery time | Viral load days at hospital; Serum biomarkers | Faster recovery vs placebo | Moderate | Some concerns | ANM Health (2023) [164] |
| O. sinensis | Cordyceps sinensis | Chemo alone | 6 months | NSCLC | 60 | RCT | Survival, QoL | Improved survival, QoL | Moderate | Some concerns | Hao et al. (2008) [277] | ||
| O. sinensis | Cordyceps + NP regimen | NP regimen | 6 months | Advanced NSCLC | 80 | RCT | Tumour response | Improved response rate | Moderate | Some concerns | Hao et al. (2007) [278] | ||
| O. sinensis | CBG-CS-2 mycelium | Placebo | 8 weeks | Healthy adults | 80 | Double-blind RCT | Immune markers | ↑ immune markers | Moderate | Low | Jung et al. (2019) [279] | ||
| O. sinensis | Cordyceps + anthocyanin | Placebo | 8 weeks | Middle-aged adults | 40 | Double-blind RCT | Mental condition | Improved mood | Small | Some concerns | Morikubo et al. (2005) [280] | ||
| O. sinensis | Cordyceps extract | Placebo | 6 weeks | Asthma | 120 | Double-blind RCT | HRQoL | Improved HRQoL | Moderate | Some concerns | Wang et al. (2016) [165] | ||
| O. sinensis | C. sinensis capsules | Placebo | 2400 mg in 6 capsules | 8 weeks | Healthy young adults | 30 | Double-blind RCT | Testosterone, strength | No effect | None | Low | Hsu et al. (2011) [155] | |
| O. sinensis | Extract powder | Placebo | 0.5 g | 2 weeks | Exhaustive running exercise | 36 | Double-blind RCT | Recovery time | Respiratory variables, heart rate, and lactate, | ↓ fatigue ↓ recovery time | Significant difference vs. placebo | Some concerns | Nagata et al., 2006 [152] |
| C. militaris | C. militaris | Placebo | 3 weeks | Healthy adults | 28 | Double-blind RCT | Exercise tolerance | ↑ tolerance | Small | Low | Hirsch et al. (2017) [153] | ||
| C. militaris | Fruiting body extract (standardised) | Placebo | NR | 8 weeks | Healthy adults | n = 40 | DB-PC RCT | Immune response | NK activity | Significant ↑ NK activity | SMD moderate | Low | Ontawong et al., 2024 [162] |
| C. militaris | Mycelium extract | Placebo | 1.5 g/day | 8 weeks | Mild liver dysfunction | n = 57 | Randomized DB-PC | Liver enzymes | ALT, AST | Significant ↓ ALT & AST vs. placebo | MD −12 U/L Moderate | Low | Heo et al., 2015 [166] |
| C. militaris (dominant) | PeakO2 mushroom blend | Placebo | 1.0–2.0 g/day) and 12 g/day | 28 days | Healthy adults | n = 40 + 43 | DB-PC RCT | Endurance | VO2peak, Time-to-fatigue | ↑ VO2peak in subgroups: Improved tolerance vs. baseline | ES not calculable (no control SD), Heterogeneous | Moderate | Dudgeon et al., 2018 [161] |
| C. militaris | Fruiting body extract | Placebo | 1.8 g/day | 16 weeks | Endurance athletes | n = 11 | DB-PC RCT | Hematology | Hb, CK | ↑ Hb, ↓ muscle damage | MD clinically relevant | Low | Nakamura et al., 2024 [154] |
| C. militaris | Mycelium capsules+ duloxetine | Placebo + duloxetine | 4 g/day | 6 weeks | Depression with insomnia | n = 59 | Double-blind RCT | Changes in the Athens Insomnia Scale (AIS) score Sleep quality | Sleep quality PSQI, ISI | C. militaris did not improve sleep symptoms in patients with depression; no superiority over placebo. | 0.6 | Low–Moderate | Zhou et al., 2021 [167] |
| Study, Year | Preparation/Dose | Population | Study Design | Duration | Fatigue-Related Outcomes | Meta-Analysis Results | Main Findings | Key limitations | GRADE-Style Certainty * |
|---|---|---|---|---|---|---|---|---|---|
| Chen et al., 2025 [163] | O. sinensis Cs-4® (fermented mycelium) | Long COVID patients | Randomized, waitlist-controlled clinical trial | 12 weeks | Fatigue severity scales, exercise tolerance, HRQoL | No meta-analysis available (single RCT); aligns with pooled post-viral fatigue effects of adaptogens | Significant reduction in fatigue severity and improvement in functional capacity and QoL compared with usual care | Single-region study; short follow-up; patient-reported outcomes | Moderate (exploratory) ⬤⬤⬤◯ |
| ANM Health, 2023 [164] | O. sinensis Capsules (add-on therapy) | Mild–moderate COVID-19 patients | Randomized, double-blind, placebo-controlled | 14–28 days | Fatigue, recovery time, QoL | Not pooled; excluded from formal meta-analyses due to reporting limitations | Faster symptom resolution and reduced fatigue compared with placebo | Industry-sponsored; non–peer-reviewed; limited methodological transparency | Low ⬤⬤◯◯ |
- ⬤⬤⬤⬤ High: Very unlikely to change confidence
- ⬤⬤⬤◯ Moderate: Likely to have an important impact on confidence
- ⬤⬤◯◯ Low: Further research is very likely to change the estimate
- ⬤◯◯◯ Very low: Evidence uncertainty
Appendix A.4. Network Pharmacology/Systems Pharmacology
| Study (Year) | Dose/Concentration Main Bioactive Compounds | Disease or Physiological Function | Key Targets/Nodes Validated | Signaling Pathways | Type of Validation & Main Mechanistic Outcome |
|---|---|---|---|---|---|
| Jiang et al., 2023 [175] | O. sinensis; arachidonic acid, lysergol, glycitein; stigmasterol, sitosterol, linoleic acetate, karanjin, aurantiamide acetate, and berberine. 1000 mg/kg in rats, | Ischemic stroke | CASP3, PTGS2, and PPARG, AR, NOS2, PTGS2, PTGS1, CYP17A1, ADRB2, CHRM2, ESR1, RXRA, and SCN5A | IL-17, AGE-RAGE, and TNF signaling pathways | The mechanism of action of O. sinensis is related to the regulation of blood lipids, anti-apoptotic effects, and anti-inflammatory effects. The results of the docking analysis suggest that sitosterol, lysergol, and stigmasterol have high affinities to some core proteins (CASP3, PTGS2, PPARG, JUN, and ESR1. |
| Wang et al., 2017 [177] | O. sinensis, Cordycepin. 0.2, 1 or 2 mg/kg In mice | Hepatitis B vaccine adjuvant | Immune-response targets related to B- and T-cell activation and cytokine signaling | Immune & vaccine-response pathways (e.g., T-cell receptor, cytokine signaling) | Systems pharmacology predicted cordycepin as an adjuvant; BALB/c mouse vaccination showed enhanced humoral and cellular HBV responses without apparent toxicity. Effects of cordycepin (C) on serum HBV antibodies, lymphocyte proliferation and cytokine levels in spleen cell supernatants. |
| Zhang X et al., 2023 [178] | O. sinensis extract A total of 54 active ingredients which are not specified for their name and chemical structure. 300, 600, 1200 mg/kg in mice | Lung adenocarcinoma | Breast cancer type 1 susceptibility protein (BRCA1) and G1/S-specific cyclin-E1 (CCNE1) and oxidative-stress regulators | PI3K–Akt, HIF-1 signaling, apoptosis pathways | Bioinformatics + network analysis predicted anti-Lung adenocarcinoma targets; in vivo validation showed O. sinensis inhibits tumor growth and modulates these pathways. |
| Ma and Jin, 2024 [143] | O. sinensis 121 bioactive compounds, including cordycepin | Chronic obstructive pulmonary disease (COPD) | CXCR4, PDGFRB, PARP1, SRC, HIF1A, NFKB1, HDAC 2, and PKACA | Chemokine signaling | The target analysis of the Bailing capsule’s effects revealed interactions with multiple targets. The study suggested that the mechanism might involve interactions with chemokines, tyrosine kinase receptors, and other related molecular signaling pathways. |
| Zhou et al., 2025 [174] | C. sinensis Sphingolipid. 0.405 g/kg/day (L-CS), 0.81 g/kg/day (M-CS), and 1.62 g/kg/day (H-CS); in rats | Chronic obstructive pulmonary disease (COPD) | PLA2G4E and B4GALT4 proteins AKT1, ESR1, TLR4, and MMP9; TNF-α, IL-8, and multiple metabolic proteins | PI3K-AKT signaling pathway Inflammatory and metabolic pathways | O. sinensis alleviated lung injury, cytokine profiles, and inflammation in the COPD model of rats; Proteomics + metabolomics + network analysis connected altered proteins/metabolites to COPD-relevant pathways including PI3K-AKT signaling pathway in COPD rats, potentially affecting glycerophospholipid metabolism and sphingolipid metabolism by targeting PLA2G4E and B4GALT4 proteins, thereby alleviating the inflammatory response and mitigating lung tissue damage caused by COPD. |
| Zhang Y et al., 2023 [179] | O. sinensis; arachidonic acid, linoleyl acetate, cerevisterol, beta-sitosterol, peroxyergosterol, cholesterol, and cholesteryl palmitate. 50 μg/mL fermented O. sinensis (in vitro a proximal tubular HK-2 cell line derived from normal human kidney) | diabetic kidney disease | RELA, JNK1, PTEN, VEGFA, EGF, ERK2, CASP3, AKT1, MMP9. O. synensis downregulated the expressions of Bax, Caspase-3, VEGFA, P-AKT, and P-ERK, and upregulated the expression of PTEN | AKT and ERK signaling pathway | O. synensis has nephroprotective effects, which functions via promoting proliferation and inhibiting apoptosis of renal proximal tubular cells, likely by targeting Caspase-3, Bax, VEGFA and PTEN. |
| Li et al., 2024 [180] | O. sinensis adenosine; 2′deoxyadenosine; cordycepin; adenine; uracil; hypoxanthine; uridine; guanosine hydrate; thymidine. CS extract (150 mg/kg in mice; 2′-deoxyadenosine The dose is Not specified | acute kidney injury (AKI) | STING, Irf3, Perforin, IFN-γ, GAPDH | STING/IRF3 pathway | 2′-deoxyadenosine treatment significantly alleviated FA-induced renal damage in vivo and alleviated the renal injury in NK cells by activating the STING/IRF3 pathway to inhibit perforin release in vitro. 2′-deoxyadenosine could mitigate AKI by downregulating NK cell activity (by decreasing perforin and IFN-γ expression) and inhibiting the stimulator of interferon genes and phosphorylated IFN regulatory factor 3. |
| Tao et al., 2024 [139] | O. sinensis mycelial preparation (Bailing capsules), including arachidonic acid, linoleoyl acetate, cerevisterol, beta-sitosterol, peroxyergosterol, cholesteryl palmitate, and cholesterol 0.8–5 g/day in humans | Chronic kidney disease (CKD), human RCT | Inflammatory & metabolic renal function markers including: PTPN1, HSD11B1, HSD11B2, HMGCR, AR, NR1H3, NR3C1, CNR2, CYP19A1, CYP17A1, and DRD2 | Neuroactive ligand-receptor interaction, Chemical carcinogenesis receptor activation, Diabetic cardio-myopathy, cAMP signaling, Inflammatory mediator regulation of TRP channels, Insulin resistance, Proteoglycans, Serotonergic synapse, AGE-RAGE signaling, EGFR tyrosine kinase inhibitor resistance, Prolactin signaling, Endocrine resistance, C-type lectin receptor, ErbB, VEGF, Arachidonic acid metabolism, and Adipocytokine signaling pathways. | Network pharmacology analysis identified 190 common targets of O. synensis (Bailing Capsule) and chronic kidney disease associated with immune response, inflammatory response, vascular endothelial damage, cell proliferation, and fibrosis. Clinical trials showed improved renal indices and reduced inflammation when the Bailing capsule was added to standard CKD therapy. Mechanistic validation is indirect but consistent. |
| He et al., 2020 [181] | O. sinensis Adenosine exopolysaccharide, amino acid, mannitol human keratinocyte line HaCaT (50, 250, and 500 μg/mL extract | UVB-induced damage in human keratinocytes | Aquaporin 3 (AQP3) | PPAR signaling pathway, cholesterol metabolism, and ovarian steroidogenesis. | Cordyceps significantly decreased intracellular UVB-induced oxidative stress, including ROS production and intracellular H2O2 content. Besides, AQP3, which mediates intracellular signaling and transports H2O2 into cells, was significantly increased in the presence of Cordyceps extract under UVB irradiation. In addition, the DNA repair effect of Cordyceps extract after UV irradiation was proven to be effective by the comet assay. |
| Pei et al., 2023 [182] | C. militaris polysaccharides | Immune modulation (non-specific, innate/adaptive immunity) | TNF, MAPK3, CASP3, VEGFA, STAT3; TLR4 | Toll-like receptor (TLR4), TNF-α signaling; macrophage M1↔M2 polarization and immune activation, apoptosis, cytokine pathways | Network analysis identified immune targets enriched in TLR pathways; in vitro macrophage assays showed altered polarization, and in vivo mouse experiments confirmed TLR4/TNF-α activation by C. militaris polysaccharides consistent with predictions. |
| Kim et al., 2025 [183] | C. militaris extracts (cordycepin, adenosine) Lung cancer cell lines (LLC1, H460, H1299 | Lung cancer | p53, EGFR, apoptosis-related targets | PI3K–Akt, p53, apoptosis | Network pharmacology/docking indicated cordycepin and adenosine as key ligands targeting EGFR/p53-related networks; cell experiments showed enhanced apoptosis and anticancer activity, particularly after optimizing extraction/drying procedures to enrich key actives. |
| Wang et al., 2025 [184] | C. militaris fruiting body; nucleosides (uridine, guanosine, adenosine, cordycepin, N6-(2-hydroxyethyl)adenosine); | Chronic obstructive pulmonary disease (COPD) | IDH1, CYP19A1, lipid-metabolism targets | Linoleic acid metabolism, inflammatory and oxidative pathways | HPLC fingerprinting + metabolomics + network pharmacology; COPD mouse model demonstrated improved lung function and pathology; docking supported strong binding of CM components to IDH1/CYP19A1. |
| Zhou et al., 2024 [185] | C. militaris (cordycepin, ergosterol) 100 and 200 mg/kg/d C. militaris extract; | Gouty nephropathy/hyperuricemia | cyclooxygenase-2 (COX-2); renal transport proteins ABCG2, GLUT9, and URAT1; Xanthine oxidase (XO), | Inflammation (PTGS2, NLRP3, etc.) signaling pathway and uric acid metabolic pathway (XDH, ADA, UMOD). | Network pharmacology suggested cordycepin + ergosterol as core ligands; in vivo data show anti-hyperuricemic effect via XO inhibition and modulation of renal urate transporters. |
| Gandhale et al., 2024 [186] | C. militaris adenosine, cinnamic acid, citric acid, cordycepin, dipicolinic acid, ergosterol, fumaric acid, hypoxanthine, N-acetylgalactosamine, p-hydroxybenzoic acid, β-sitosterol, and δ-tocopherol Vero E6 cells (25, 50, 75, 100 μg/mL) C. militaris aqueous extract in-vitro | SARS-CoV-2 | Multiple targets | Numerous interactions | Cordycepin, Cicadapeptin-I, Cicadapeptin-II, Cordycerebroside-B, and N-Acetyl galactosamine were found to be top scorers To assess the anti-SARS-CoV-2 activity of the C. militaris aqueous extract in-vitro, at 80% confluency, Vero E6 cells were infected in triplicate with SARS-CoV-2 |
| Lee et al., 2019 [187] | Cordycepin and C. militaris extract constituents MCF-7 human breast cancer cell line, treatment with C. militaris (100 µg/mL) and cordycepin (25, 50 µM). | Breast cancer (MCF-7 cells) | Apoptosis-related proteins: CASP3, BAX, BCL2, X-linked inhibitor of apoptosis protein (XIAP) Caspases; p53, Hedgehog signaling components | Apoptosis, p53, Hedgehog, estrogen, PI3K–Akt, pathways | Cordycepin exhibited the ability to induce apoptotic cell death by increasing the cleavage of caspase-7, -8, and -9, increasing the Bax/Bcl-2 protein expression ratio, and decreasing the protein expression of X-linked inhibitor of apoptosis protein (XIAP) in MCF-7 cells. Consequently, the C. militaris concentrate and cordycepin exhibited significant anticancer effects through their ability to induce apoptosis in breast cancer cells. |
| Chen et al., 2024 [57] | Cordycepin (10 μM, 20 μM, 50 μM, 100 μM, or 200 μM) in The human breast cancer cell lines MCF7 and MDA-MB-231, as well as the human monocyte cell line THP-1. | breast cancer | Alumin gene ALB | protein tetramerization, regulation of protein complex disassembly, and somatic diversification of immunoglobulin signaling | Cordycepin regulates tumor immune suppression by upregulating the downregulated ALB, thereby playing an anti-tumor role. |
| Qui et al., 2025 [188] | Cordycepin | Fibrosarcoma | AKT1 | Akt1 (protein kinase B) and disruption of protein phosphorylation pathways | Cordycepin significantly inhibited cell activity at an effective concentration of 100 μmol/L. Key observations included changes in cell morphology, reduced migration, inhibited proliferation, cell cycle arrest at the G0/G1 and G2/M phases, and induction of apoptosis. Western blot analysis further confirmed that cordycepin simultaneously downregulated both the expression and phosphorylation levels of Akt in a dose-dependent manner. |
| Zhong et al., 2025 [189] | Cordycepin 50 mg/kg/d, 100 mg/kg/d, 200 mg/kg/d of cordycepin in mice | Cancer immunosuppression | EGFR, upregulated the protein expression of Nrf2, NQO1 and HO-1 in the spleens | metabolic and immune pathways | Cordycepin ameliorated cyclophosphamide-induced immunosuppression of mice by reversing metabolic dysfunction and activating the Nrf2 pathway through regulating EGFR, indicating its potential as a therapeutic agent for immunosuppression. |
| Chen et al., 2022 [190] | Cordycepin (alone and in combination) 80 mM of cordycepin in Human glioblastoma cells (LN-229, U251, T98G) | Glioblastoma (GBM) | Multiple tumor and apoptosis targets (predicted network) | PI3K-Akt, apoptosis, cell proliferation pathways | Network pharmacology predicted synergy; in vitro assays supported enhanced cytotoxicity when cordycepin combined with doxorubicin; docking suggested binding to targets involved in GBM survival. |
| Wang et al., 2025 [102] | Cordycepin 20 mg/kg and 40 mg/kg In rats | Chronic unpredictable mild stress (CUMS) induced depression | Cordycepin increased protein levels of p-GSK3β, β-catenin, and nuclear β-catenin, and enhanced transcription of downstream genes PKM, LDHA, Cyclin D1 and C-myc in brains of CUMS-induced rats | GSK3β/β-catenin signaling | Cordycepin exerted an antidepressant effect by modulating the GSK3β/β-catenin pathway. Western blot and Real-time PCR were applied to validate the signaling pathway. |
| Lin et al., 2024 [191] | Cordycepin | Pulmonary arterial hypertension (PAH) | TP53, AKT1, CASP3, BAX, BCL2L1 | Apoptosis, PI3K–Akt, vascular remodeling pathways | Network analysis and docking identified PAH-core genes; in MCT-induced PAH rats, cordycepin reduced RVSP and vascular remodeling and modulated PASMC proliferation/apoptosis, |
| Liao et al., 2025 [192] | Cordycepin (±5′-monophosphate) 40 mg/kg in mice. | Western-diet–induced obesity | CPS1, HRAS, MAPK14, AKT1, GSK3B, EGFR, CASP3, APOA1/2/3, APOM, etc. | Metabolic pathways, insulin signaling, HIF-1, FOXO, lipid & atherosclerosis, TNF, IL-17, Toll-like receptor signaling, inflammatory pathways | Integrated network pharmacology, transcriptomics, and docking analysis identified 244 potential targets and core hubs; cordycepin improved obesity and metabolic parameters in animal experiments: core targets and pathways involved in obesity were validated by gene expression and phenotypic changes. The authors uncover a potential mechanism of action of cordycepin against obesity through network pharmacology and quantitative transcriptomics, providing evidence for obesity pathogenesis and suggesting that cordycepin is a potential lead compound for anti-obesity treatment. |
| Study (Year) | Main Bioactive Compounds | Disease or Physiological Function | Key Targets/Nodes Validated | Signaling Pathways | Type of Mechanistic Outcome |
|---|---|---|---|---|---|
| Li J. et al., 2021 [193] | O. sinensis, 6 main active ingredients, including adenosine, ergosterol, | Liver cirrhosis, | MAPK1, CASP8, TNF, VEGFA | Hepatitis B, cancer, apoptosis, and inflammation signaling | Modulation of inflammatory and apoptotic pathways. |
| Mu et al., 2023 [194] | O. sinensis; arachidonic acid, sitosterol, berberine, Higenamine, Cordycepin, Uralene. Crachidonic aci Caffeine | Liver cancer | TNF, CASP3, BCL2, IL6, VEGF-A, NF, Caspase 3 (CASP3), B-Cell Lymphoma 2 (BCL2), Interleukin-6 (IL-6), Vascular Endothelial Growth Factor-A (VEGF-A), and Prostaglandin-endoperoxide Synthase 2 (PTGS2) | hepatitis B, cancer, Advanced Glycation Endproducts-Receptor for Advanced Glycation Endproducts (AGE-RAGE) signaling pathway, non-alcoholic fatty liver disease, hepatitis C, alcoholic liver disease, and IL-17 signaling pathway, Nucleotide-binding Oligomerization Domain (NOD)-like receptor signaling pathway, and TNF signaling pathway | The authors suggest that the antitumor effect of O. sinensis primarily in hepatocellular carcinoma originates from its intricate influence on the target proteins through a complex interplay of its constituents. |
| Gonzalez-Llerena et al., 2025 [195] | 129 compounds, including cordycepsidone A, jiangxienone, and flazin, exhibiting binding affinity comparable or superior to clinically used inhibitors across the Cordyceps genus (including C. militaris, O. sinensis) | Cancer (broad anticancer potential) | Hub proteins such as TYMS, AURKA, and CDK1 were identified as primary targets, Multi-target lists across cancer biology (eg. EGFR, AKT, CASP families) | PI3K-Akt, MAPK, apoptosis, cell cycle, immune pathways; Oncogenic pathways, including cell cycle regulation, DNA replication, and apoptosis. | Systematic identification of putative multitarget anticancer agents in Cordyceps genus; suggests prioritized compounds for further testing. |
| Ma et al., 2022 [60] | O. sinensis, adenosine, ergosterol, nucleosides | Oral lichen planus (OLP) | TNF, IL6, CD4, EGFR, IL1B | PI3K–Akt, MAPK, apoptosis, T-cell activation | Predicted multi-target action; docking supported ligand-target interactions; authors propose anti-inflammatory/immunomodulatory mechanism. |
| Long et al., 2021 [196] | O. sinensis Including daucosterol, vitamin A, inosine, peroxyergosterol, vitamin B1, cerevisterol, linoleic acid, alpha-trehalose, and galactomannan | Hypoxia | O. cordyceps inctrease the expression of MAPK1,MAPK3, VEGFA, and decrease the expression of AKT1, PIK3CA, and RAC1 under hypoxic conditions | VEGF signaling pathway | O. sinensis promotes angiogenesis by regulating the VEGF signaling pathway, which might be one of the mechanisms of hypoxia adaptation, and improves the survival rate of H9C2 cells. |
| Zhang et al., 2022 [197] | O. sinensis, 7 main active ingredients: arachidonic acid, linoleyl acetate, beta-sitosterol, peroxyergosterol, cerevisterol, cholesteryl palmitate, and cholesterol | Depression Antidepressant, serotonergic, Anti-neuroinflammatory | Catalase (CAT), CREB binding protein (CREBBP), epidermal growth factor (EGF), and E1A binding protein P300. | The FOXO, the hypoxia-inducible factor 1 (HIF-1), and Huntington’s disease signaling pathways, oxidative stress response, and neurotrophic signaling | Authors propose antioxidant and epigenetic (CREB/EP300) modulation as potential antidepressant mechanisms; docking supports several compound–target interactions. |
| Zhou et al., 2023 [198] | O. sinensis D-glutamine 2,3-dihydroxypropyl hexadecanoate 4-(2-aminopropyl) − 2-methoxyphenol Caffeine | Influenza infection | SRC, RHOA, HSP90AA1, VEGFA, EGFR | PI3K-Akt, HIF-1, Influenza A, COVID-19 Innate immunity, cytokine signaling, and antiviral response. Butanoate, thiamine, amino-acid metabolism, TCA, arginine biosynthesis | Predicted immunomodulatory and antiviral host-target modulation and maintain respiratory immune balance via NF κB/IL-17 signaling and PI3K–AKT–linked survival pathways.; docking supported interactions with immune signaling proteins. UPLC-MS metabolomics + network pharmacology + molecular pharmacology; differential metabolites mapped to antiviral pathways, and pharmacological assays supported the anti-influenza effects of selected components by network mapping and glutamine docking to SRC and EGFR, targeting viral/airway targets. |
| Li Y. et al., 2021a [199] | O. sinensis, Seven active ingredients including arachidonic acid, linoleyl acetate, cerevisterol, beta-sitosterol, peroxyergosterol, cholesterol, and cholesteryl palmitate | Diabetic nephropathy (DN) | TNF, MAPK1, EGFR, ACE, CASP3 | AGE-RAGE signaling pathway in diabetic complications, TNF signaling pathway, PI3K-Akt signaling pathway, and IL-17 signaling pathway | The mechanism of multicomponent, multitarget, and multichannel action of O. sinensis in treating diabetic nephropathy is due to targeting TNF, MAPK1, EGFR, ACE, and CASP3 signaling pathways, which are involved in the inflammatory response, apoptosis, oxidative stress, and insulin resistance. |
| Xi et al., 2024 [200] | Bailing capsules (O. sinensis preparations), various metabolites | Diabetic nephropathy | TNF, IL6, TGF-β–related nodes, oxidative stress targets | AGE-RAGE, PI3K–Akt, inflammatory and fibrotic signaling | Network-pharmacology synthesis suggests Bailing capsules act via anti-inflammatory, anti-oxidative and anti-fibrotic multi-target effects in DN. |
| Guan et al., 2023 [201] | O. sinensis; 106 compounds including linoleyl acetate, cholesteryl palmitate, arachidonic acid, and | Polycystic ovary syndrome | JAK2, PPARG, PI3K, and AKT1 were upregulated, whereas those of ESR1 and IRS1 were downregulated in PCOS model mice. | JAK-STAT and PI3K-Akt signaling pathways | qPCR findings indicated that BL exerted anti-PCOS effects via PIK3CA, ESR1, AKT, PPARG, and IRS1 targets affecting PI3K-Akt signaling pathways |
| Singh et al., 2024 [202] | 16 steroids including beta-sitosterol, cholest-5-en-3β-ol, 3β, and 7α-Dihydroxycholest-5-ene Cholest-4-en-3-one | SARS-CoV-2 | Glucocorticoid receptor (NR3C1). thrombin (F2), | 17 inflammatory pathways | Cordyceps militaris as an add-on therapy that may reduce the progression of inflammatory co-morbidities among patients infected with SARS-CoV- |
| Chen et al., 2025 [203] | Cordycepin | Colorectal Cancer | 24 drug targets | activates the p53 signaling | Cordycepin inhibits the proliferation of SW480 cells and suppresses tumor growth by modulating the apoptotic pathway. |
| Li et al., 2025 [204] | Cordycepin | Cancer | A3 adenosine receptor (A3AR), | MAPK, AMPK, mTOR, and Wnt/β-catenin | |
| Khan and Tania, 2023 [205] | Cordycepin | Cancer | JNK, MAPK, AMPK, PI3K/Akt, ERK, mTOR, GSK-3b, FAK kinases | the c-Jun N-terminal kinase (JNK), mitogen-activated protein kinase (MAPK), AMP kinase (AMPK), phosphoinositide 3-kinase (PI3K)/Akt, extracellular signal-regulated kinase (ERK), mammalian target of rapamycin (mTOR), glycogen synthase kinase (GSK)-3b, and focal adhesion kinase (FAK) pathways | kinase inhibitors can have crucial roles in cancer treatment, targeting tyrosine kinases might be one of the molecular mechanisms involved in the anticancer potential of cordycepin |
| Ma X. et al., 2022 [206] | Cordycepin | Alzheimer’s disease | AKT1, MAPK8, BCL2L1, FOXO3, and CTNNB1 associated with pathogenic genes APP, MAPT, and PSEN2 and with longevity in Alzheimer’s Disease | PI3K-Akt, MAPK, apoptosis, neuroinflammation pathways. Lipid and atherosclerosis, | Network/docking predicted cordycepin interacts with AD-relevant targets and signaling pathways targeting MAPK8, FOXO3, and CTNNB1, which may have significant clinical and treatment implications. The authors present cordycepin as a multi-target candidate for neurodegeneration (with in silico support). |
| Abbreviations | Full Name, and Description |
|---|---|
| AKT1 | Protein Kinase B—regulates survival and metabolism |
| AMPK | AMP-activated protein kinase (PRKAA1/2/PRKAG1)—cellular energy sensor |
| BECN1 | Beclin-1—core autophagy regulator |
| CASP1 | Caspase 1—cleaves IL-1b/IL-18 and activates pyroptosis |
| FOXO3 | Forkhead Box O3—transcription factor promoting stress resistance |
| GSDMD | Gasdermin D—effector of pyroptosis |
| HIF1A | Hypoxia-Inducible Factor 1 Alpha—transcription factor for hypoxia response |
| HMOX1 | Heme Oxygenase 1—cytoprotective enzyme against oxidative stress |
| KEAP1 | Kelch-Like ECH-Associated Protein 1—NRF2 inhibitor |
| LC3B | Microtubule-Associated Protein 1 Light Chain 3 Beta—autophagosome marker |
| MAPK1/3 | Mitogen-Activated Protein Kinase 1/3—cell proliferation & stress signaling |
| MAPK14/p38 | Mitogen-Activated Protein Kinase 14—controls cytokine response |
| MAPK8/JNK1 | Mitogen-Activated Protein Kinase 8—stress-activated kinase |
| mTOR | Mechanistic Target of Rapamycin—regulator of growth and autophagy |
| MYD88 | Myeloid Differentiation Primary Response 88—adaptor protein for TLR signaling |
| NF-kB | Nuclear Factor kappa-light-chain-enhancer of activated B cells—inflammation regulator |
| NLRP3 | NOD-Like Receptor Family Pyrin Domain Containing 3—inflammasome component |
| NQO1 | NAD(P)H Quinone Dehydrogenase 1—detoxification enzyme |
| NRF2 | Nuclear Factor Erythroid 2–Related Factor 2—antioxidant transcription factor |
| PDK1 | Pyruvate Dehydrogenase Kinase 1—reduces oxygen consumption by blocking PDH |
| PGC-1-α | Peroxisome proliferator-activated receptor gamma coactivator 1-alpha—transcriptional coactivator that regulates the genes involved in energy metabolism. |
| PI3K | Phosphatidylinositol 3-Kinase—upstream activator of AKT |
| SIRT1 | Sirtuin 1—NAD-dependent deacetylase regulating metabolism and aging |
| SLC2A1 | Glucose Transporter 1—mediates glucose uptake under hypoxia |
| TLR4 | Toll-Like Receptor 4—innate immune sensor for LPS |
| ULK1 | Unc-51 Like Autophagy Activating Kinase 1—initiates autophagy |
| VEGFA | Vascular Endothelial Growth Factor A—angiogenesis mediator |
| Abbreviation | Full Name | Primary Function |
|---|---|---|
| PI3K–AKT/FOXO–SIRT Metabolic Survival Axis | ||
| PIK3CA/PIK3CB | Phosphatidylinositol-4,5-Bisphosphate 3-Kinase Catalytic Subunits | Generate PIP3 for AKT activation. |
| AKT1 | Serine/Threonine Kinase 1 | Promotes cell survival and metabolism. |
| FOXO3 | Forkhead Box O3 | Transcription factor inducing stress resistance and repair genes. |
| SIRT1 | NAD-Dependent Deacetylase Sirtuin 1 | Regulates metabolism, stress resistance, and longevity. |
| TP53 (p53) | Tumor Protein p53 | DNA damage response and apoptosis regulator. |
| AMPK–mTOR–Autophagy Axis | ||
| AMPK | AMP-activated protein kinase (subunits PRKAA1, PRKAA2, PRKAG1) | Cellular energy sensor; activates catabolic pathways to restore ATP. |
| mTOR | Mechanistic Target of Rapamycin | Regulates growth, protein synthesis, and autophagy. |
| ULK1 | Unc-51 Like Autophagy Activating Kinase 1 | Initiates autophagy signaling downstream of AMPK. |
| BECN1 | Beclin-1 | Core autophagy regulator; nucleates autophagosome formation. |
| LC3B (MAP1LC3B) | Microtubule-Associated Proteins 1A/1B Light Chain 3B | Marker of autophagosome membrane formation. |
| SQSTM1/p62 | Sequestosome 1 | Cargo receptor linking ubiquitinated proteins to autophagy machinery. |
| ATG5, ATG7 | Autophagy Related 5 and 7 | Essential enzymes for autophagosome membrane elongation. |
| NRF2–KEAP1 Antioxidant Axis | ||
| NRF2 (NFE2L2) | Nuclear Factor Erythroid 2–Related Factor 2 | Transcription factor controlling antioxidant and detoxification genes. |
| KEAP1 | Kelch-Like ECH-Associated Protein 1 | Cytoplasmic inhibitor of NRF2; targets it for degradation. |
| HMOX1 (HO-1) | Heme Oxygenase 1 | Degrades heme; produces cytoprotective metabolites. |
| NQO1 | NAD(P)H Quinone Dehydrogenase 1 | Detoxifies quinones and prevents redox cycling. |
| SOD2 | Superoxide Dismutase 2, mitochondrial | Converts superoxide radicals to hydrogen peroxide. |
| CAT | Catalase | Converts hydrogen peroxide to water and oxygen. |
| GPX1 | Glutathione Peroxidase 1 | Reduces lipid and hydrogen peroxides using glutathione. |
| TLR4–MyD88–NF-κB/MAPK Inflammatory Axis | ||
| TLR4 | Toll-Like Receptor 4 | Pattern-recognition receptor sensing bacterial LPS. |
| MYD88 | Myeloid Differentiation Primary Response 88 | Adaptor protein mediating TLR/IL-1 receptor signaling. |
| IKBKB | Inhibitor of NF-κB Kinase Subunit Beta | Phosphorylates IκB, enabling NF-κB nuclear translocation. |
| NFKB1/RELA (p50/p65) | Nuclear Factor κB Subunits | Master regulators of inflammation, immunity, and apoptosis. |
| MAPK1/3 (ERK1/2) | Mitogen-Activated Protein Kinases 1/3 | Regulate cell proliferation, inflammation, and stress responses. |
| MAPK8 (JNK1) | c-Jun N-terminal Kinase 1 | Mediates apoptosis and stress signaling. |
| MAPK14 (p38 MAPK) | Mitogen-Activated Protein Kinase 14 | Controls cytokine production and inflammatory response. |
| TNF | Tumor Necrosis Factor Alpha | Proinflammatory cytokine. |
| IL6 | Interleukin 6 | Cytokine linking inflammation to metabolism and stress. |
| PTGS2 (COX-2) | Prostaglandin-Endoperoxide Synthase 2 | Catalyzes prostaglandin synthesis in inflammation. |
| NOS2 (iNOS) | Inducible Nitric Oxide Synthase | Produces nitric oxide in immune defense and inflammation. |
| NLRP3 Inflammasome/Pyroptosis | ||
| NLRP3 | NOD-Like Receptor Family Pyrin Domain Containing 3 | Sensor forming inflammasome complexes in response to stress. |
| CASP1 | Caspase 1 | Cleaves pro–IL-1β/IL-18 and activates pyroptosis. |
| GSDMD | Gasdermin D | Executes pyroptotic cell death upon cleavage. |
| IL1B | Interleukin 1 Beta | Proinflammatory cytokine processed by inflammasome. |
| IL18 | Interleukin 18 | Enhances immune and inflammatory responses. |
| HIF-1 Hypoxia Response | ||
| HIF1A | Hypoxia-Inducible Factor 1 Alpha | Master regulator of hypoxia responses and metabolic adaptation. |
| VEGFA | Vascular Endothelial Growth Factor A | Promotes angiogenesis and oxygen delivery. |
| Evidence Tier | Definition | Data Source | Strength | Limitation |
|---|---|---|---|---|
| Tier 1: In Silico Prediction | Targets/pathways identified by network pharmacology, molecular docking, and enrichment analysis | KEGG/GO enrichment, PPI networks | Hypothesis-generating | Risk of target inflation; no biological confirmation |
| Tier 2: Experimental Validation | Predicted pathways confirmed in vitro or in vivo | Cell models, animal studies | Mechanistic support | Often, supra-physiological concentrations, species differences |
| Their 3: Clinical Evidence | Mechanisms aligned with RCT endpoints or biomarker modulation in humans | RCTs, meta-analyses | Highest relevance | Heterogeneity of preparations; surrogate endpoints |
Appendix A.5. Food and Drug Regulation of Cordyceps Mushroom
| Region/Jurisdiction | O. sinensis | C. militaris | Notes/Caveats/References |
|---|---|---|---|
| China (as food/health-food regulation) | O. sinensis is historically used as a medicinal fungus; in China, the wild form is not a regular food, but specific cultivated strains/preparations may have food or “medicine-food homologous” (药食同源) status in some local jurisdictions | C. militaris is approved in China as a “new resource food” (新资源食品) (i.e., allowed for food/health food use) since 2009 | The Chinese “new resource food” system permits certain traditionally medicinal fungi and their derivatives for official consumption under controlled conditions. |
| Japan/Korea/East Asia | Often regulated under traditional medicine/health food frameworks, not as general food | C. militaris is regarded as an edible and medicinal fungus; considered safe and edible in many Asian settings (used in cuisine and supplements) | In Asian countries, the cultural and historical use supports a more permissive edible status for C. militaris. |
| United States | O. sinensis per se is not Generally Recognized As Safe (GRAS)/food-approved; typical marketplace status is as a dietary supplement (mycelium cultures, etc.). | C. militaris is generally sold as a dietary supplement; the FDA has issued warning letters when Cordyceps products are marketed as treatment for diseases (i.e., considered new drugs) [233]. | The U.S. classifies many mushroom extracts as dietary supplements. If a product claims to treat a disease, the FDA may treat it as a drug. |
| European Union (Novel Food Regulation) | Mycelium and fruiting body of O. sinensis “not novel in food supplements” per updated Novel Food Catalogue (i.e., recognized in supplement use) | C. militaris (mycelium and fruiting body) remains classified as unauthorized/novel food in supplements (i.e., not yet accepted) | A February 2025 update clarified that O. sinensis mycelium and fruiting bodies are not novel (for supplements), but C. militaris is still subject to novel food approval. |
| EU Food Use beyond supplements | Use of O. sinensis outside of supplements (e.g., in foods, beverages) may be treated as Novel and require pre-market authorization under Regulation (EU) 2015/2283 | For C. militaris, any use (mycelium, fruiting body) in foods or supplements is under novel food control until approved | The non-novel status currently applies only to “food supplements” of O. sinensis; other forms may still be novel. |
| O. sinensis | C. militaris |
|---|---|
|
|
| Claim Category | O. sinensis | C. militaris |
|---|---|---|
| Energy and stamina | Traditional use for fatigue, high-altitude sickness | Claimed for fatigue and endurance, supported by more experimental data |
| Lung health/Respiratory health | Strong traditional use (asthma, COPD, bronchitis) | Similar claims; modern support based on anti-inflammatory effects |
| Kidney health/Tonic | Major use in Traditional Chinese Medicine (TCM) | Less emphasized traditionally, but included in general tonic claims |
| Libido/Sexual function | Used as an aphrodisiac and reproductive tonic | Also claimed, with more cordycepin-driven studies |
| Improving respiratory health | Broad claims in both systems | Often marketed more actively for immune health due to extract standardization |
| Anti-aging/Longevity | Central to its traditional appeal | Also marketed for longevity, supported by antioxidant research |
| Category | O. sinensis | C. militaris |
|---|---|---|
| Traditional Chinese Medicine (TCM) | Used for chronic kidney disease, lung weakness, impotence, wasting diseases | Used in similar contexts, but less prestigious historically |
| Modern Supplements/Functional Foods | Rare, expensive; used in elite or luxury wellness products | Widely available; found in capsules, powders, drinks, etc. |
| Availability | Wild harvesting leads to scarcity and high prices; may contain contaminants or adulterants | Cultivated industrially; standardized extracts available; more sustainable |
| Research Base | Historically revered, but limited due to cost/availability | Extensive modern pharmacological studies due to ease of cultivation |
| Regulatory approval | Limited due to sourcing and consistency | More amenable to standardization and functional food use worldwide |
| Indication | O. sinensis | C. militaris |
|---|---|---|
| Athletic performance | Traditional use | Supported by modern studies |
| Anti-aging & vitality | Strong cultural use | |
| Respiratory conditions | Common in TCM | Supported by modern studies |
| Cancer adjunct therapy | Limited evidence | Supported by modern studies |
| Immune modulation | Traditional use | Supported by modern studies |
| Chronic kidney disease | Traditional use | Supported by modern studies |
| lung weakness | Traditional use | |
| impotence | Traditional use | |
| Other chronic wasting diseases | Traditional use |
| Feature | O. sinensis | C. militaris |
|---|---|---|
| Cordycepin content | Minimal | High |
| Tradition (TCM) | Considered a superior tonic | Less traditional prestige |
| Cost | Extremely high | Affordable |
| Sustainability | Not sustainable | Fully cultivable |
| Main health focus | Lung, kidney, and general tonic | Immunity, energy, anti-cancer |
| Term | Definitions and Description |
|---|---|
| Stress. | Stress is a systemic neuroendocrine response to perceived or actual challenges that threaten homeostasis. Stress is triggered by physical, psychological, metabolic, or social stressors, and mediated primarily by: (i)—Hypothalamic–pituitary–adrenal (HPA) axis (cortisol) and (ii)—Sympathetic nervous system (adrenaline, noradrenaline). The physiological role of stress is to mobilize energy, enhance alertness, and prioritize survival functions. Resolution: Stress hormones return to baseline after the threat passes and require intact feedback mechanisms. |
| Inflammation. | Inflammation is a localized, innate immune response to tissue injury, infection, or danger signals. Inflammation is triggered by pathogens, tissue damage, or toxins, mediated by immune cells, cytokines, and prostaglandins, and produces classic signs: redness, heat, swelling, pain, and loss of function. The physiological role of inflammation is to eliminate the cause of injury, remove damaged tissue, and initiate tissue repair. Resolution: inflammation is actively terminated by pro-resolving mediators (lipoxins, resolvins), returning tissue to baseline or near-baseline function. |
| The adaptive stress response. | The adaptive stress response is the organism’s capacity to respond to stressors efficiently and recover without damage. Adaptive stress response is characterised by: (i)—flexible activation and deactivation of stress pathways, (ii)—Involves cellular stress responses (heat shock proteins, antioxidant enzymes, autophagy), and (iii)—Maintains allostasis (stability through change). Physiological role: (i)—improves resilience, (ii)—enhances tolerance to future stressors, (iii)—prevents progression to pathology. |
| Pleiotropic activity. | In medicine, pleiotropic activity refers to a drug’s ability to produce multiple effects beyond its primary therapeutic purpose. This phenomenon, known as pleiotropy, can manifest as both additional therapeutic benefits and unwanted side effects. Understanding pleiotropic activity is crucial for drug repurposing, in which an existing drug is used to treat a new, distinct condition. It also influences the development of targeted therapies, as a treatment designed to address the root genetic cause of a condition could potentially alleviate several symptoms simultaneously. This approach offers a holistic method for managing complex genetic disorders, addressing the underlying biological defect rather than just symptoms. |







References
- Taxonomy Browser: Ophiocordyceps sinensis; NCBI, National Library of Medicine: Bethesda, MD, USA. Available online: https://www.ncbi.nlm.nih.gov/Taxonomy/Browser/wwwtax.cgi?mode=Info&id=72228 (accessed on 21 January 2026).
- Taxonomy Browser: Cordyceps militaris; NCBI, National Library of Medicine: Bethesda, MD, USA. Available online: https://www.ncbi.nlm.nih.gov/Taxonomy/Browser/wwwtax.cgi?command=show&mode=node&id=73501&lvl= (accessed on 21 January 2026).
- Botanical Drug Development. Guidance for Industry; FDA: Silver Spring, MD, USA, 2016. Available online: https://www.fda.gov/files/drugs/published/Botanical-Drug-Development--Guidance-for-Industry.pdf (accessed on 21 January 2026).
- Ahmadjian, V.; Alexopoulos, C.J.; Moore, D. Fungus. Encyclopaedia Britannica. 2025. Available online: https://www.britannica.com/science/fungus (accessed on 21 January 2026).
- Moore, D.; Encyclopaedia Britannica. Outline of Classification of Fungi. 2025. Available online: https://www.britannica.com/science/fungus/Outline-of-classification-of-fungi (accessed on 21 January 2026).
- Petruzzello, M.; Encyclopaedia Britannica. Cordyceps. 2025. Available online: https://www.britannica.com/science/cordyceps (accessed on 21 January 2026).
- Winkler, D. Cordyceps sinensis (Berk.) Sacc.: Economy, Ecology, and Ethno-Mycology of Yartsa Gunbu, a Medicinal Fungus Endemic for the Tibetan Plateau. Int. J. Med. Mashrooms 2005, 7, 481–482. [Google Scholar] [CrossRef]
- Winkler, D. Caterpillar Fungus production and sustainability on the Tibetan Plateau and in the Himalayas. Asian Med. 2009, 5, 291–316. [Google Scholar] [CrossRef]
- Dong, C.; Yao, Y.-J. Comparison of some metabolites among cultured mycelia of medicinal fungus, Ophiocordyceps sinensis (Ascomycetes) from different geographical regions. Int. J. Med. Mushrooms 2010, 12, 287–297. [Google Scholar] [CrossRef]
- Kunwar, R.M.; Mahat, L.; Acharya, R.P.; Bussmann, R.W. Medicinal plants, traditional medicine, markets and management in far-west Nepal. J. Ethnobiol. Ethnomed. 2013, 9, 24. [Google Scholar] [CrossRef]
- Liu, D.; Cheng, H.; Bussmann, R.W.; Guo, Z.; Liu, B.; Long, C. An ethnobotanical survey of edible fungi in Chuxiong City, Yunnan, China. J. Ethnobiol. Ethnomed. 2018, 14, 42. [Google Scholar] [CrossRef]
- Wei, Y.; Zhang, L.; Wang, J.; Wang, W.; Niyati, N.; Guo, Y.; Wang, X. Chinese caterpillar fungus (Ophiocordyceps sinensis) in China: Current distribution, trading, and futures under climate change and overexploitation. Sci. Total Environ. 2021, 755, 142548. [Google Scholar] [CrossRef]
- Zhu, J.S.; Halpern, G.M.; Jones, K. The scientific rediscovery of an ancient Chinese herbal medicine: Cordyceps sinensis: Part I. J. Altern. Complement. Med. 1998, 4, 289–303. [Google Scholar] [CrossRef]
- Zhu, J.S.; Halpern, G.M.; Jones, K. The scientific rediscovery of a precious ancient Chinese herbal regimen: Cordyceps sinensis: Part II. J. Altern. Complement. Med. 1998, 4, 429–457. [Google Scholar] [CrossRef]
- Wang, S.Y.; Shiao, M.S. Pharmacological functions of Chinese medicinal fungus Cordyceps sinensis and related species. Food Drug Anal. 2000, 8, 15. [Google Scholar] [CrossRef]
- Chen, P.X.; Wang, S.; Nie, S.; Marcone, M. Properties of Cordyceps sinensis: A review. J. Funct. Foods 2013, 5, 550–569. [Google Scholar] [CrossRef]
- Yue, K.; Ye, M.; Zhou, Z.; Sun, W.; Lin, X. The genus Cordyceps: A chemical and pharmacological review. J. Pharm. Pharmacol. 2013, 65, 474–493. [Google Scholar] [CrossRef] [PubMed]
- Li, S.P.; Yang, F.Q.; Tsim, K.W.K. Quality control of Cordyceps sinensis. J. Pharm. Biomed. Anal. 2006, 41, 1571–1584. [Google Scholar] [CrossRef] [PubMed]
- Olatunji, O.J.; Tang, J.; Tola, A.; Auberon, F.; Oluwaniyi, O.; Ouyang, Z. The genus Cordyceps: An extensive review. Fitoterapia 2018, 129, 293–316. [Google Scholar] [CrossRef] [PubMed]
- Das, S.K.; Masuda, M.; Sakurai, A.; Sakakibara, M. Medicinal uses of Cordyceps militaris. Fitoterapia 2010, 81, 961–968. [Google Scholar] [CrossRef]
- Panda, A.K.; Swain, K.C. Traditional uses and medicinal potential of Cordyceps sinensis. J. Ayurveda Integr. Med. 2011, 2, 9–13. [Google Scholar] [CrossRef]
- Jędrejko, K.J.; Lazur, J.; Muszyńska, B. Cordyceps militaris: Chemical constituents and biological activity. Foods 2021, 10, 2634. [Google Scholar] [CrossRef]
- Phull, A.R.; Ahmed, M.; Park, H.J. Cordyceps militaris as a biofunctional food source. Microorganisms 2022, 10, 405. [Google Scholar] [CrossRef]
- Abdullah, S.; Kumar, A. A brief review on the medicinal uses of Cordyceps militaris. Pharmacol. Res. Mod. Chin. Med. 2023, 7, 100228. [Google Scholar] [CrossRef]
- Hasnain, M.; Jamsheed, R.A.; Hussain, Z.; Latif, R. A Comparative study on Cordyceps militaris and Ophiocordyceps sinensis. Int. J. Nat. Med. Health Sci. 2023, 2, 1–6. [Google Scholar]
- Panossian, A.; Lemerond, T. Two Sides of the Same Coin for Health: Adaptogenic Botanicals as Nutraceuticals for Nutrition and Pharmaceuticals in Medicine. Pharmaceuticals 2025, 18, 1346. [Google Scholar] [CrossRef]
- Brekhman, I.I.; Dardymov, I.V. New Substances of Plant Origin which Increase Nonspecific Resistance. Annu. Rev. Pharmacol. 1969, 9, 419–430. [Google Scholar] [CrossRef] [PubMed]
- Panossian, A.; Lemerond, T.; Efferth, T. Adaptogens in Long-Lasting Brain Fatigue: An Insight from Systems Biology and Network. Pharmaceuticals 2025, 18, 261. [Google Scholar] [CrossRef] [PubMed]
- Shashidhar, M.G.; Giridhar, P.; Sankar, K.U.; Manohar, B. Bioactive principles from Cordyceps sinensis: A potent food supplement—A review. J. Funct. Foods 2013, 5, 1013–1030. [Google Scholar] [CrossRef] [PubMed]
- Sharma, P.; Tulsawani, R. Efficacy of Aqueous Extract of Chinese Caterpillar Mushroom Ophiocordyceps sinensis (Ascomycota) Against Simulated Altitude Stress and Subacute Toxicity Studies. Int. J. Med. Mushrooms 2022, 24, 21–34. [Google Scholar] [CrossRef]
- Rajput, R.; Sharma, P.; Mishra, J.; Bhardwaj, A.; Sharma, R.K.; Singh, K.; Bansal, A.; Misra, K. Bioactive Fractions from the Chinese Caterpillar Mushroom, Ophiocordyceps sinensis (Ascomycetes), Elucidate Adaptogenic Role against Hypoxia Stress. Int. J. Med. Mushrooms 2020, 22, 1121–1133. [Google Scholar] [CrossRef]
- Di Lorenzo, R.; Falanga, D.; Ricci, L.; Colantuono, A.; Greco, G.; Angelillo, M.; Nugnes, F.; Di Serio, T.; Costa, D.; Tito, A.; et al. NAD-Driven Sirtuin Activation by Cordyceps sinensis Extract: Exploring the Adaptogenic Potential to Promote Skin Longevity. Int. J. Mol. Sci. 2024, 25, 4282. [Google Scholar] [CrossRef]
- Wang, Z.; Wang, X.; Qu, K.; Zhu, P.; Guo, N.; Zhang, R.; Abliz, Z.; Yu, H.; Zhu, H. Binding of cordycepin monophosphate to AMP-activated protein kinase and its effect on AMP-activated protein kinase activation. Chem. Biol. Drug Des. 2010, 76, 340–344. [Google Scholar] [CrossRef]
- Wang, M.; Han, Z.; Fan, B.; Qu, K.; Zhang, W.; Li, W.; Li, J.; Li, L.; Li, J.; Li, H.; et al. Discovery of Oral AMP-Activated Protein Kinase Activators for Treating Hyperlipidemia. J. Med. Chem. 2024, 67, 7870–7890. [Google Scholar] [CrossRef]
- Wu, C.; Guo, Y.; Su, Y.; Zhang, X.; Luan, H.; Zhang, X.; Zhu, H.; He, H.; Wang, X.; Sun, G.; et al. Cordycepin activates AMP-activated protein kinase (AMPK) via interaction with the γ1 subunit. J. Cell. Mol. Med. 2014, 18, 293–304. [Google Scholar] [CrossRef]
- Hawley, S.A.; Ross, F.A.; Russell, F.M.; Atrih, A.; Lamont, D.J.; Hardie, D.G. Mechanism of Activation of AMPK by Cordycepin. Cell Chem. Biol. 2020, 27, 214–222. [Google Scholar] [CrossRef]
- Radhi, M.; Ashraf, S.; Lawrence, S.; Tranholm, A.A.; Wellham, P.A.D.; Hafeez, A.; Khamis, A.S.; Thomas, R.; McWilliams, D.; de Moor, C.H. A Systematic Review of the Biological Effects of Cordycepin. Molecules 2021, 26, 5886. [Google Scholar] [CrossRef] [PubMed]
- Chueaphromsri, P.; Kunhorm, P.; Phonchai, R.; Chaicharoenaudomrung, N.; Noisa, P. Cordycepin Enhances SIRT1 Expression and Maintains Stemness of Human Mesenchymal Stem Cells. In Vivo 2023, 37, 596–610. [Google Scholar] [CrossRef] [PubMed]
- Hobbs, C.; Upton, R.; Gafner, S. Cordyceps Botanical Adulterants Prevention Bulletin; ABC-AHP-NCNPR Botanical Adulterants Prevention Program: Austin, TX, USA, 2024; Available online: https://www.herbalgram.org/resources/botanical-adulterants-prevention-program/adulterants-bulletins/new-cordyceps-bulletin-october-2024/ (accessed on 16 March 2026).
- Sung, G.H.; Hywel-Jones, N.L.; Sung, J.M.; Luangsa-Ard, J.J.; Shrestha, B.; Spatafora, J.W. Phylogenetic classification of Cordyceps and the clavicipitaceous fungi. Stud. Mycol. 2007, 57, 5–59. [Google Scholar] [CrossRef] [PubMed]
- Islam, W.; Adnan, M.; Shabbir, A.; Naveed, H.; Abubakar, Y.S.; Qasim, M.; Tayyab, M.; Noman, A.; Nisar, M.S.; Khan, K.A.; et al. Insect-fungal interactions: A detailed review of entomopathogenic fungi’s pathogenicity to combat insect pests. Microb. Pathog. 2021, 159, 105122. [Google Scholar] [CrossRef]
- Ashraf, S.A.; Elkhalifa, A.E.O.; Siddiqui, A.J.; Patel, M.; Awadelkareem, A.M.; Snoussi, M.; Ashraf, M.S.; Adnan, M.; Hadi, S. Cordycepin for Health and Wellbeing: A Potent Bioactive Metabolite of an Entomopathogenic Cordyceps Medicinal Fungus and Its Nutraceutical and Therapeutic Potential. Molecules 2020, 25, 2735. [Google Scholar] [CrossRef]
- Boddy, L. Chapter 9. Interactions with humans and other animals. In The Fungi, 3rd ed.; Elsevier: London, UK, 2016; pp. 293–336. Available online: https://www.sciencedirect.com/science/article/pii/B9780123820341000098 (accessed on 16 March 2026).
- Lin, W.J.; Lee, Y.I.; Liu, S.L.; Lin, C.C.; Chung, T.Y.; Chou, J.Y. Evaluating the tradeoffs of a generalist parasitoid fungus, Ophiocordyceps unilateralis, on different sympatric ant hosts. Sci. Rep. 2020, 10, 6428. [Google Scholar] [CrossRef]
- Qiu, X.; Cao, L.; Han, R. Analysis of Volatile Components in Different Ophiocordyceps sinensis and Insect Host Products. Molecules 2020, 25, 1603. [Google Scholar] [CrossRef]
- Sen, S.; Karati, D.; Priyadarshini, R.; Dua, T.K.; Paul, P.; Sahu, S.; Nandi, G. Cordyceps sinensis (yarsagumba): Pharmacological properties of a mushroom. Pharmacol. Res. Mod. Chin. Med. 2023, 8, 100294. [Google Scholar] [CrossRef]
- Watanabe, T.; Rajbhandari, K.K.; Malla, K.J.; Yahara, S. Cordyceps synensis (Berk.) Sacc. In A Handbook of Medicinal Plants of Nepal; Kobfa Publishing Project: Bangkok, Thailand, 2005; pp. 72–73. Available online: https://www.researchgate.net/publication/259973143_A_Hand_Book_of_Medicinal_Plants_of_Nepal#fullTextFileContent (accessed on 24 April 2025).
- Wei, P.; Wang, K.; Luo, C.; Huang, Y.; Misilimu, D.; Wen, H.; Jin, P.; Li, C.; Gong, Y.; Gao, Y. Cordycepin confers long-term neuroprotection via inhibiting neutrophil infiltration and neuroinflammation after traumatic brain injury. J. Neuroinflamm. 2021, 18, 137. [Google Scholar] [CrossRef]
- Lin, B.; Li, S. Cordyceps as an Herbal Drug. In Herbal Medicine: Biomolecular and Clinical Aspects, 2nd ed.; Benzie, I.F.F., Wachtel-Galor, S., Eds.; CRC Press/Taylor & Francis: Boca Raton, FL, USA, 2011; Chapter 5. Available online: https://www.ncbi.nlm.nih.gov/books/NBK92758/ (accessed on 16 March 2026).
- National Pharmacopoeia Committee. Cordyceps (Dongchongxiacao), Chinese Caterpillar Fungus. In Pharmacopoeia of the People’s Republic of China; English ed. Chemical Industry Press: Beijing, China, 2011; p. 129. Available online: https://books.google.se/books/about/Pharmacopoeia_of_the_People_s_Republic_o.html?id=Z49IXwAACAAJ&redir_esc=y (accessed on 3 September 2025).
- Ma, Z.; Liu, Q.; Hong, Y.; Chen, J.; Tang, J.; Tang, Y.; Wang, L. Comparative analysis of bioactive ingredients of natural and cultivated Ophiocordyceps sinensis. Future Integr. Med. 2024, 3, 251–261. [Google Scholar]
- Wang, M.; Meng, X.Y.; Yang, R.L.; Qin, T.; Wang, X.Y.; Zhang, K.Y.; Fei, C.Z.; Li, Y.; Hu, Y.L.; Xue, F.Q. Cordyceps militaris polysaccharides can enhance the immunity and antioxidation activity in immunosuppressed mice. Carbohydr. Polym. 2012, 89, 461–466. [Google Scholar] [CrossRef] [PubMed]
- Jędrejko, K.; Kała, K.; Sułkowska-Ziaja, K.; Krakowska, A.; Zięba, P.; Marzec, K.; Szewczyk, A.; Sękara, A.; Pytko-Polończyk, J.; Muszyńska, B. Cordyceps militaris-Fruiting Bodies, Mycelium, and Supplements: Valuable Component of Daily Diet. Antioxidants 2022, 11, 1861. [Google Scholar] [CrossRef] [PubMed]
- Jędrejko, K.; Kała, K.; Sułkowska-Ziaja, K.; Krakowska, A.; Szewczyk, A.; Guśpiel, K.; Muszyńska, B. Analysis of bioactive compounds in Cordyceps militaris fruiting bodies and dietary supplements: In vitro bioaccessibility determination in artificial digestive juices. Int. J. Food Sci. Technol. 2024, 59, 4011–4019. [Google Scholar] [CrossRef]
- Sun, H.; Wei, S.; Gong, Y.; Ding, K.; Tang, S.; Sun, W.; Yuan, C.; Huang, L.; Liu, Z.; Chen, C.; et al. Neuroprotective effects of cordycepin inhibit glutamate-induced apoptosis in hippocampal neurons. Cell Stress Chaperones 2024, 29, 10–20. [Google Scholar] [CrossRef]
- Chai, X.; Pan, M.; Wang, J.; Feng, M.; Wang, Y.; Zhang, Q.; Sun, Y. Cordycepin exhibits anti-fatigue effect via activating TIGAR/SIRT1/PGC-1α signaling pathway. Biochem. Biophys. Res. Commun. 2022, 637, 127–135. [Google Scholar] [CrossRef]
- Chen, L.; Wei, W.; Sun, J.; Sun, B.; Deng, R. Cordycepin enhances anti-tumor immunity in breast cancer by enhanceing ALB expression. Heliyon 2024, 10, e29903. [Google Scholar] [CrossRef]
- Cheng, Z.; He, W.; Zhou, X.; Lv, Q.; Xu, X.; Yang, S.; Zhao, C.; Guo, L. Cordycepin protects against cerebral ischemia/reperfusion injury in vivo and in vitro. Eur. J. Pharmacol. 2011, 664, 20–28. [Google Scholar] [CrossRef]
- Govindula, A.; Pai, A.; Baghel, S.; Mudgal, J. Molecular mechanisms of cordycepin emphasizing its potential against neuroinflammation: An update. Eur. J. Pharmacol. 2021, 908, 174364. [Google Scholar] [CrossRef]
- Ma, X.; Zhao, Y.; Yang, T.; Gong, N.; Chen, X.; Liu, G.; Xiao, J. Integration of network pharmacology and molecular docking to explore the molecular mechanism of Cordycepin in the treatment of Alzheimer’s disease. Front. Aging Neurosci. 2022, 14, 1058780. [Google Scholar] [CrossRef]
- Ramesh, T.; Yoo, S.K.; Kim, S.W.; Hwang, S.Y.; Sohn, S.H.; Kim, I.W.; Kim, S.K. Cordycepin (3′-deoxyadenosine) attenuates age-related oxidative stress and ameliorates antioxidant capacity in rats. Exp. Gerontol. 2012, 47, 979–987. [Google Scholar] [CrossRef]
- Tuli, H.S.; Sandhu, S.S.; Sharma, A.K. Pharmacological and therapeutic potential of Cordyceps with special reference to Cordycepin. 3 Biotech 2014, 4, 1–12. [Google Scholar] [CrossRef] [PubMed]
- Cunningham, K.G.; Manson, W.; Spring, F.S.; Hutchinson, S.A. Cordycepin, a metabolic product isolated from cultures of Cordyceps militaris (Linn.) link. Nature 1950, 166, 949–954. [Google Scholar] [CrossRef] [PubMed]
- Radwan, M.A.; Willson, H.R. The Structure of Cordycepin. Acta Crystallogr. B 1980, 36, 2185–2187. [Google Scholar] [CrossRef]
- Maľučká, L.U.; Uhrinová, A.; Lysinová, P. Medicinal mushrooms Ophiocordyceps sinensis and Cordyceps militaris. Liečivé huby Ophiocordyceps sinensis a Cordyceps militaris. Ceska Slov. Farm. 2022, 71, 259–265. [Google Scholar] [CrossRef]
- Lee, C.T.; Huang, K.S.; Shaw, J.F.; Chen, J.R.; Kuo, W.S.; Shen, G.; Grumezescu, A.M.; Holban, A.M.; Wang, Y.T.; Wang, J.S.; et al. Trends in the Immunomodulatory Effects of Cordyceps militaris: Total Extracts, Polysaccharides and Cordycepin. Front. Pharmacol. 2020, 11, 575704. [Google Scholar] [CrossRef]
- Kała, K.; Cicha-Jeleń, M.; Hnatyk, K.; Krakowska, A.; Sułkowska-Ziaja, K.; Szewczyk, A.; Lazur, J.; Muszyńska, B. Coffee with Cordyceps militaris and Hericium erinaceus Fruiting Bodies as a Source of Essential Bioactive Substances. Pharmaceuticals 2024, 17, 955. [Google Scholar] [CrossRef]
- Xiaoying, M.; Peng, Z.; Hong, W.; Na, G.; Jun, X.; Ying, Z.; Xun, C.; Guoli, L. From functional foods to immunotherapeutic agents: Mechanistic insights into medicinal mushroom bioactives in chronic inflammation management. Front. Nutr. 2025, 12, 1725297. [Google Scholar] [CrossRef]
- Chen, Y.; Guo, H.; Du, Z.; Liu, X.Z.; Che, Y.; Ye, X. Ecology-based screen identifies new metabolites from a Cordyceps-colonizing fungus as cancer cell proliferation inhibitors and apoptosis inducers. Cell Prolif. 2009, 42, 838–847. [Google Scholar] [CrossRef]
- Tshikhudo, P.P.; Mabhaudhi, T.; Koorbanally, N.A.; Mudau, F.N.; Avendaño Caceres, E.O.; Popa, D.; Calina, D.; Sharifi-Rad, J. Anticancer Potential of β-Carboline Alkaloids: An Updated Mechanistic Overview. Chem. Biodivers. 2024, 21, e202301263. [Google Scholar] [CrossRef]
- Yang, M.L.; Kuo, P.C.; Hwang, T.L.; Wu, T.S. Anti-inflammatory principles from Cordyceps sinensis. J. Nat. Prod. 2011, 74, 1996–2000. [Google Scholar] [CrossRef]
- Corradetti, R.; Lo Conte, G.; Moroni, F.; Passani, M.B.; Pepeu, G. Adenosine decreases aspartate and glutamate release from rat hippocampal slices. Eur. J. Pharmacol. 1984, 104, 19–26. [Google Scholar] [CrossRef] [PubMed]
- Schmidt, C.; Bellingham, M.C.; Richter, D.W. Adenosinergic modulation of respiratory neurones and hypoxic responses in the anaesthetized cat. J. Physiol. 1995, 483, 769–781. [Google Scholar] [CrossRef] [PubMed]
- Ballarin, M.; Herrera-Marschitz, M.; Casas, M.; Ungerstedt, U. Striatal adenosine levels measured ‘in vivo’ by microdialysis in rats with unilateral dopamine denervation. Neurosci. Lett. 1987, 83, 338–344. [Google Scholar] [CrossRef] [PubMed]
- Benowitz, L.I.; Goldberg, D.E.; Irwin, N. Inosine stimulates axon growth in vitro and in the adult CNS. Prog. Brain Res. 2002, 137, 389–399. [Google Scholar] [CrossRef]
- Li, S.P.; Su, Z.R.; Dong, T.T.; Tsim, K.W. The fruiting body and its caterpillar host of Cordyceps sinensis show close resemblance in main constituents and anti-oxidation activity. Phytomedicine 2002, 9, 319–324. [Google Scholar] [CrossRef]
- Yamaguchi, Y.; Kagota, S.; Nakamura, K.; Shinozuka, K.; Kunitomo, M. Antioxidant activity of the extracts from fruiting bodies of cultured Cordyceps sinensis. Phytother. Res. 2000, 14, 647–649. [Google Scholar] [CrossRef]
- Kiho, T.; Ookubo, K.; Usui, S.; Ukai, S.; Hirano, K. Structural features and hypoglycemic activity of a polysaccharide (CS-F10) from the cultured mycelium of Cordyceps sinensis. Biol. Pharm. Bull. 1999, 22, 966–970. [Google Scholar] [CrossRef]
- Li, S.P.; Zhao, K.J.; Ji, Z.N.; Song, Z.H.; Dong, T.T.; Lo, C.K.; Cheung, J.K.; Zhu, S.Q.; Tsim, K.W. A polysaccharide isolated from Cordyceps sinensis, a traditional Chinese medicine, protects PC12 cells against hydrogen peroxide-induced injury. Life Sci. 2003, 73, 2503–2513. [Google Scholar] [CrossRef]
- Yu, R.; Song, L.; Zhao, Y.; Bin, W.; Wang, L.; Zhang, H.; Wu, Y.; Ye, W.; Yao, X. Isolation and biological properties of polysaccharide CPS-1 from cultured Cordyceps militaris. Fitoterapia 2004, 75, 465–472. [Google Scholar] [CrossRef]
- Bok, J.W.; Lermer, L.; Chilton, J.; Klingeman, H.G.; Towers, G.H. Antitumor sterols from the mycelia of Cordyceps sinensis. Phytochemistry 1999, 51, 891–898. [Google Scholar] [CrossRef]
- Lindequist, U.; Lesnau, A.; Teuscher, E.; Pilgrim, H. Untersuchungen zur antiviralen Wirksamkeit von Ergosterol-peroxid [The antiviral action of ergosterol peroxide]. Pharmazie 1989, 44, 579–580. [Google Scholar] [PubMed]
- Lin, C.Y.; Ku, F.M.; Kuo, Y.C.; Chen, C.F.; Chen, W.P.; Chen, A.; Shiao, M.S. Inhibition of activated human mesangial cell proliferation by the natural product of Cordyceps sinensis (H1-A): An implication for treatment of IgA mesangial nephropathy. J. Lab. Clin. Med. 1999, 133, 55–63. [Google Scholar] [CrossRef] [PubMed]
- Arts, I.C.; Coolen, E.J.; Bours, M.J.; Huyghebaert, N.; Stuart, M.A.; Bast, A.; Dagnelie, P.C. Adenosine 5′-triphosphate (ATP) supplements are not orally bioavailable: A randomized, placebo-controlled cross-over trial in healthy humans. J. Int. Soc. Sports Nutr. 2012, 9, 16. [Google Scholar] [CrossRef] [PubMed]
- Coolen, E.J.; Arts, I.C.; Bekers, O.; Vervaet, C.; Bast, A.; Dagnelie, P.C. Oral bioavailability of ATP after prolonged administration. Br. J. Nutr. 2011, 105, 357–366. [Google Scholar] [CrossRef]
- Chatnarin, S.; Thirabunyanon, M. Potential bioactivities via anticancer, antioxidant, and immunomodulatory properties of cultured mycelial enriched β-D-glucan polysaccharides from a novel fungus Ophiocordyceps sinensis OS8. Front. Immunol. 2023, 14, 1150287. [Google Scholar] [CrossRef]
- Huang, L.; Li, Q.; Chen, Y.; Wang, X.; Zhou, X. Determination and analysis of cordycepin and adenosine in the products of Cordyceps spp. Afr. J. Microbiol. Res. 2009, 3, 953–961. [Google Scholar]
- Zhou, Y.; Wang, M.; Zhang, H.; Huang, Z.; Ma, J. Comparative study of the composition of cultivated, naturally grown Cordyceps sinensis, and stiff worms across different sampling years. PLoS ONE 2019, 14, e0225750. [Google Scholar] [CrossRef]
- Li, Q.; Liao, H.; Zhang, C. Comparative HPLC Determination of Cordycepin in Cordyceps militaris from Different Locations. Food Sci. 2014. [Google Scholar] [CrossRef]
- Su, Y.; Li, P.; Zhang, H.; Lin, M.; Liu, W.; Xu, R.; Hu, H.; Liu, Y.M. Simultaneous Quantification of Adenosine and Deoxyadenosine Isomers in Foods with High Sensitivity. Anal. Methods 2019, 11, 4946–4950. [Google Scholar] [CrossRef]
- Gu, C.; Zhang, D.; Zhai, W.; Zhang, H.; Wang, S.; Lv, S.; Bao, Y.; Zhu, D.; Feng, S.; Guo, S.; et al. Research progress on Cordyceps militaris polysaccharides. Food Biosci. 2022, 45, 101503. [Google Scholar] [CrossRef]
- Chen, L.H.; Wu, Y.; Guan, Y.M.; Jin, C.; Zhu, W.F.; Yang, M. Analysis of the High-Performance Liquid Chromatography Fingerprints and Quantitative Analysis of Multicomponents by Single Marker of Products of Fermented Cordyceps sinensis. J. Anal. Methods Chem. 2018, 2018, 5943914. [Google Scholar] [CrossRef] [PubMed]
- Zhang, J.; Zhang, W.; Wu, X.; Fu, W.; Yang, C.; Long, N. Insights into the Mycosphere Fungal Community and Its Association with Nucleoside Accumulation in Ophiocordyceps sinensis. J. Fungi 2025, 11, 696. [Google Scholar] [CrossRef] [PubMed]
- Yuan, J.P.; Wang, J.H.; Liu, X.; Kuang, H.C.; Zhao, S.Y. Simultaneous determination of free ergosterol and ergosteryl esters in Cordyceps sinensis by HPLC. Food Chem. 2007, 105, 1755–1759. [Google Scholar] [CrossRef]
- Hu, D.; Yang, X.; Hu, C.; Feng, Z.; Chen, W.; Shi, H. Comparison of Ergosterol and Vitamin D2 in Mushrooms Agaricus bisporus and Cordyceps militaris Using Ultraviolet Irradiation Directly on Dry Powder or in Ethanol Suspension. ACS Omega 2021, 6, 29506–29515. [Google Scholar] [CrossRef]
- Zhao, J.; Shi, T.; Zhu, W.; Chen, L.; Guan, Y.; Jin, C. Quality control method of sterols in fermented Cordyceps sinensis based on combined fingerprint and quantitative analysis of multicomponents by single marker. J. Food Sci. 2020, 85, 2994–3002. [Google Scholar] [CrossRef]
- Lo, H.C.; Hsieh, C.; Lin, F.Y.; Hsu, T.H. A Systematic Review of the Mysterious Caterpillar Fungus Ophiocordyceps sinensis in Dong-ChongXiaCao (Dōng Chóng Xià Cǎo) and Related Bioactive Ingredients. J. Tradit. Complement. Med. 2013, 3, 16–32. [Google Scholar] [CrossRef]
- Suhadolnik, R.J. Naturally occurring nucleoside and nucleotide antibiotics. Prog. Nucleic Acid Res. Mol. Biol. 1979, 22, 193–291. [Google Scholar] [CrossRef]
- Hueng, D.Y.; Hsieh, C.H.; Cheng, Y.C.; Tsai, W.C.; Chen, Y. Cordycepin inhibits migration of human glioblastoma cells by affecting lysosomal degradation and protein phosphatase activation. J. Nutr. Biochem. 2017, 41, 109–116. [Google Scholar] [CrossRef]
- Wang, Z.; Wu, X.; Liang, Y.N.; Wang, L.; Song, Z.X.; Liu, J.L.; Tang, Z.S. Cordycepin Induces Apoptosis and Inhibits Proliferation of Human Lung Cancer Cell Line H1975 via Inhibiting the Phosphorylation of EGFR. Molecules 2016, 21, 1267. [Google Scholar] [CrossRef]
- Zhang, J.; Yang, Z.; Zhao, Z.; Zhang, N. Structural and pharmacological insights into cordycepin for neoplasms and metabolic disorders. Front. Pharmacol. 2024, 15, 1367820. [Google Scholar] [CrossRef]
- Wang, Y.; Deng, Y.; Feng, M.; Chen, J.; Zhong, M.; Han, Z.; Zhang, Q.; Sun, Y. Cordycepin extracted from Cordyceps militaris mitigated CUMS-induced depression of rats via targeting GSK3β/β-catenin signaling pathway. J. Ethnopharmacol. 2025, 340, 119249. [Google Scholar] [CrossRef] [PubMed]
- Kopalli, S.R.; Cha, K.M.; Lee, S.H.; Hwang, S.Y.; Lee, Y.J.; Koppula, S.; Kim, S.K. Cordycepin, an Active Constituent of Nutrient Powerhouse and Potential Medicinal Mushroom Cordyceps militaris Linn., Ameliorates Age-Related Testicular Dysfunction in Rats. Nutrients 2019, 11, 906. [Google Scholar] [CrossRef] [PubMed]
- Takahashi, S.; Tamai, M.; Nakajima, S.; Kato, H.; Johno, H.; Nakamura, T.; Kitamura, M. Blockade of adipocyte differentiation by cordycepin. Br. J. Pharmacol. 2012, 167, 561–575. [Google Scholar] [CrossRef] [PubMed]
- National Pharmacopoeia Committee. Bailing Jiaonang, Bailing capsule. In Pharmacopoeia of the People’s Republic of China; English ed. Chemical Industry Press: Beijing, China, 2010; pp. 540–541. Available online: https://books.google.se/books/about/Pharmacopoeia_of_the_People_s_Republic_o.html?id=Z49IXwAACAAJ&redir_esc=y (accessed on 3 September 2025).
- Latini, S.; Pedata, F. Adenosine in the central nervous system: Release mechanisms and extracellular concentrations. J. Neurochem. 2001, 79, 463–484. [Google Scholar] [CrossRef]
- Porkka-Heiskanen, T.; Kalinchuk, A.V. Adenosine, energy metabolism, and sleep homeostasis. Sleep Med. Rev. 2011, 15, 123–135. [Google Scholar] [CrossRef]
- Eltzschig, H.K.; Thompson, L.F.; Karhausen, J.; Cotta, R.J.; Ibla, J.C.; Robson, S.C.; Colgan, S.P. Endogenous adenosine produced during hypoxia attenuates neutrophil accumulation: Coordination by extracellular nucleotide metabolism. Blood 2004, 104, 3986–3992. [Google Scholar] [CrossRef]
- Eltzschig, H.K.; Carmeliet, P. Hypoxia and inflammation. N. Engl. J. Med. 2011, 364, 656–665. [Google Scholar] [CrossRef]
- Rau, A.R.; Ariwodola, O.J.; Weiner, J.L. Presynaptic adenosine A1 receptors modulate excitatory transmission in the rat basolateral amygdala. Neuropharmacology 2014, 77, 465–474. [Google Scholar] [CrossRef]
- Brambilla, D.; Chapman, D.; Greene, R. Adenosine mediation of presynaptic feedback inhibition of glutamate release. Neuron 2005, 46, 275–283. [Google Scholar] [CrossRef]
- Dobson, G.P.; Arsyad, A.; Letson, H.L. The Adenosine Hypothesis Revisited: Modulation of Coupling between Myocardial Perfusion and Arterial Compliance. Front. Physiol. 2017, 8, 824. [Google Scholar] [CrossRef]
- Görlach, A. Control of adenosine transport by hypoxia. Circ. Res. 2005, 97, 1–3. [Google Scholar] [CrossRef] [PubMed]
- Tune, J.D.; Gorman, M.W.; Feigl, E.O. Matching coronary blood flow to myocardial oxygen consumption. J. Appl. Physiol. 2004, 97, 404–415. [Google Scholar] [CrossRef] [PubMed]
- Hori, M.; Kitakaze, M. Adenosine, the heart, and coronary circulation. Hypertension 1991, 18, 565–574. [Google Scholar] [CrossRef] [PubMed]
- Casey, D.P.; Madery, B.D.; Pike, T.L.; Eisenach, J.H.; Dietz, N.M.; Joyner, M.J.; Wilkins, B.W. Adenosine receptor antagonist and augmented vasodilation during hypoxic exercise. J. Appl. Physiol. 2009, 107, 1128–1137. [Google Scholar] [CrossRef]
- Dengler, F. Activation of AMPK under Hypoxia: Many Roads Leading to Rome. Int. J. Mol. Sci. 2020, 21, 2428. [Google Scholar] [CrossRef]
- Bowser, J.L.; Phan, L.H.; Eltzschig, H.K. The Hypoxia-Adenosine Link during Intestinal Inflammation. J. Immunol. 2018, 200, 897–907. [Google Scholar] [CrossRef]
- Decking, U.K.; Schlieper, G.; Kroll, K.; Schrader, J. Hypoxia-induced inhibition of adenosine kinase potentiates cardiac adenosine release. Circ. Res. 1997, 81, 154–164. [Google Scholar] [CrossRef]
- Hardie, D.G. AMP-activated protein kinase: An energy sensor that regulates all aspects of cell function. Genes Dev. 2011, 25, 1895–1908. [Google Scholar] [CrossRef]
- Jeon, S.M. Regulation and function of AMPK in physiology and diseases. Exp. Mol. Med. 2016, 48, e245. [Google Scholar] [CrossRef]
- Melani, A.; Pugliese, A.M.; Pedata, F. Chapter Thirteen—Adenosine Receptors in Cerebral Ischemia. In International Review of Neurobiology; Mori, A., Ed.; Academic Press: London, UK, 2014; Volume 119, pp. 309–348. [Google Scholar] [CrossRef]
- Jacobson, K.A.; Gao, Z.G. Adenosine receptors as therapeutic targets. Nat. Rev. Drug Discov. 2006, 5, 247–264. [Google Scholar] [CrossRef]
- Willson, C. The clinical toxicology of caffeine: A review and case study. Toxicol. Rep. 2018, 5, 1140–1152. [Google Scholar] [CrossRef] [PubMed]
- Fernández-Dueñas, V.; Gómez-Soler, M.; López-Cano, M.; Taura, J.J.; Ledent, C.; Watanabe, M.; Jacobson, K.A.; Vilardaga, J.P.; Ciruela, F. Uncovering caffeine’s adenosine A2A receptor inverse agonism in experimental Parkinsonism. ACS Chem. Biol. 2014, 9, 2496–2501. [Google Scholar] [CrossRef] [PubMed]
- Ishibashi, K.; Miura, Y.; Wagatsuma, K.; Toyohara, J.; Ishiwata, K.; Ishii, K. Adenosine A2A Receptor Occupancy by Caffeine After Coffee Intake in Parkinson’s Disease. Mov. Disord. 2022, 37, 853–857. [Google Scholar] [CrossRef] [PubMed]
- Qi, S.; Guan, H.; Wang, Y.; Fang, Q.; Cheng, X.; Liu, P.; Wei, H.; Liu, W.; Wang, C. Simultaneous determination of cordycepin and its metabolite 3′-deoxyinosine in rat whole blood by ultra-high-performance liquid chromatography coupled with Q Exactive hybrid quadrupole orbitrap high-resolution accurate mass spectrometry and its application to accurate pharmacokinetic studies. J. Sep. Sci. 2023, 46, e2200602. [Google Scholar] [CrossRef]
- Li, M.; Liu, F.; Guo, L.; Fan, W.; Wang, J.; Lu, B.; Hong, G.; Zhang, W.; Tian, S.; Mao, J.; et al. Distribution and Pharmacokinetic Characteristics of Cordycepin in Rat: Investigated by UHPLC-HRMS/MS and Blood-Brain Synchronous Microdialysis. Biomed. Chromatogr. 2025, 39, e70038. [Google Scholar] [CrossRef]
- Nakamura, K.; Shinozuka, K.; Yoshikawa, N. Anticancer and antimetastatic effects of cordycepin, an active component of Cordyceps sinensis. J. Pharmacol. Sci. 2015, 127, 53–56. [Google Scholar] [CrossRef]
- Chang, W.K.; Chen, Y.T.; Lin, C.P.; Wang, C.J.; Shieh, H.R.; Chi, C.W.; Tsai, T.H.; Chen, Y.J. Cordycepin Augments the Efficacy of Anti-PD1 against Colon Cancer. Biomedicines 2024, 12, 1568. [Google Scholar] [CrossRef]
- Lee, J.B.; Radhi, M.; Cipolla, E.; Gandhi, R.D.; Sarmad, S.; Zgair, A.; Kim, T.H.; Feng, W.; Qin, C.; Adrower, C.; et al. A novel nucleoside rescue metabolic pathway may be responsible for therapeutic effect of orally administered cordycepin. Sci. Rep. 2019, 9, 15760. [Google Scholar] [CrossRef]
- Tsai, Y.J.; Lin, L.C.; Tsai, T.H. Pharmacokinetics of adenosine and cordycepin, a bioactive constituent of Cordyceps sinensis in rats. J. Agric. Food Chem. 2010, 58, 4638–4643. [Google Scholar] [CrossRef]
- Kaptchuk, T.J. The Web That Has No Weaver; Congdon and Weed: New York, NY, USA, 1983; pp. 55–65. Available online: https://books.google.se/books/about/The_Web_That_Has_No_Weaver.html?id=6BiGl562OgEC&redir_esc=y (accessed on 16 March 2026).
- Panossian, A.G.; Efferth, T.; Shikov, A.N.; Pozharitskaya, O.N.; Kuchta, K.; Mukherjee, P.K.; Banerjee, S.; Heinrich, M.; Wu, W.; Guo, D.A.; et al. Evolution of the adaptogenic concept from traditional use to medical systems: Pharmacology of stress- and aging-related diseases. Med. Res. Rev. 2021, 41, 630–703. [Google Scholar] [CrossRef]
- Jiang, S.J. A tonic application of Cordyceps sinensis in medicinal diets. J. Chin. Med. Mater. 1994, 17, 47–48. [Google Scholar]
- Liu, M.; Cui, C.; Chang, T.; Zhou, Q.; Cui, Y.; Zhang, S.; Liao, X. Effects and safety of Ophiocordyceps sinensis preparation in the adjuvant treatment for dialysis patients: A systematic review and meta-analysis. Front. Pharmacol. 2024, 15, 1360997. [Google Scholar] [CrossRef] [PubMed]
- Wu, F.; Xu, C.; Si, X.; He, F.; Xu, K.; Zhang, Y.; Lin, S. Efficacy of traditional Chinese medicine Cordyceps sinensis as an adjunctive treatment in patients with renal dysfunction: A systematic-review and meta-analysis. Front. Med. 2025, 11, 1477569. [Google Scholar] [CrossRef] [PubMed]
- Pu, F.; Li, T.; Shen, C.; Wang, Y.; Tang, C.; Zhang, X.; Yan, L.; Xu, Q.; Liu, J. Fermented Ophiocordyceps sinensis mycelium products for preventing contrast-associated acute kidney injury: A systematic review of randomized controlled trials. Ren. Fail. 2024, 46, 2300302. [Google Scholar] [CrossRef]
- Tao, Y.; Luo, R.; Xiang, Y.; Lei, M.; Peng, X.; Hu, Y. Use of bailing capsules (cordyceps sinensis) in the treatment of chronic kidney disease: A meta-analysis and network pharmacology. Front. Pharmacol. 2024, 15, 1342831. [Google Scholar] [CrossRef]
- Xue, X.; Jin, X.Y.; Ye, X.L.; Li, K.Y.; Li, J.X.; Liu, X.H.; Bai, J.; Liu, Q.; Zhang, B.R.; Zou, X.R.; et al. Ophiocordyceps sinensis preparations combined with the renin-angiotensin system inhibitor for diabetic kidney disease treatment: An umbrella review of systematic reviews and network meta-analysis. Front. Pharmacol. 2024, 15, 1360633. [Google Scholar] [CrossRef]
- Wang, C.; Wang, J.; Qi, Y. Adjuvant treatment with Cordyceps sinensis for lung cancer: A systematic review and meta-analysis of randomized controlled trials. J. Ethnopharmacol. 2024, 327, 118044. [Google Scholar] [CrossRef]
- Yu, X.; Mao, Y.; Shergis, J.L.; Coyle, M.E.; Wu, L.; Chen, Y.; Zhang, A.L.; Lin, L.; Xue, C.C.; Xu, Y. Effectiveness and Safety of Oral Cordyceps sinensis on Stable COPD of GOLD Stages 2-3: Systematic Review and Meta-Analysis. Evid. Based Complement. Altern. Med. 2019, 2019, 4903671. [Google Scholar] [CrossRef]
- Ma, G.; Jin, Y. Therapeutic efficacy and pharmacological mechanism of Bailing capsule on chronic obstructive pulmonary disease: A meta-analysis and network pharmacology. Pharm. Biol. 2024, 62, 803–817. [Google Scholar] [CrossRef]
- Welch, J.; Kole, R.; Daniels, S. The effectiveness and efficacy of Ophiocordyceps sinensis supplementation: A systematic review of randomized clinical trials on healthy humans. Int. J. Herb. Med. 2023, 11, 15–22. [Google Scholar] [CrossRef]
- Dewi, L.; Khemtong, C. Ergogenic Aid by Cordyceps: Does It Work?? Curr. Nutr. Rep. 2025, 14, 97. [Google Scholar] [CrossRef] [PubMed]
- European Medicines Agency. Guideline on the Assessment of Clinical Safety and Efficacy in the Preparation of EU Herbal Monographs for Well-Established and Traditional Herbal Medicinal Products EMA/HMPC/104613/2005—Rev. 1; EMA: London, UK, 2017; Available online: https://www.ema.europa.eu/en/documents/scientific-guideline/guideline-assessment-clinical-safety-and-efficacy-preparation-eu-herbal-monographs-well-established-and-traditional-herbal-medicinal-products_en.pdf (accessed on 16 March 2026).
- Brennan, S.E.; Johnston, R.V. Research Note: Interpreting findings of a systematic review using GRADE methods. J. Physiother. 2023, 69, 198–202. [Google Scholar] [CrossRef] [PubMed]
- Cao, Z.; Wen, Y. Therapeutic effect analysis of JinShuiBao capsule in treatment of 33 elderly senescent XuZheng patients. J. Appl. Tradit. Chin. Med. 1993, 1, 32–33. [Google Scholar]
- Zhang, Z.; Huang, W.; Liao, S.; Li, J.; Lei, L.; Lui, J.; Leng, F.; Gong, W.; Zhang, H.; Wan, L.; et al. Clinical and laboratory studies of JinShuiBao in scavenging oxygen free radicals in elderly senescent XuZheng patients. J. Admin. Tradit. Chin. Med. 1995, 5, 14–18. [Google Scholar]
- Chen, S.; Li, Z.; Krochmal, R.; Abrazado, M.; Kim, W.; Cooper, C.B. Effect of Cs-4® (Cordyceps sinensis) on exercise performance in healthy older subjects: A double-blind, placebo-controlled trial. J. Altern. Complement. Med. 2010, 16, 585–590. [Google Scholar] [CrossRef]
- Nagata, A.; Tajima, T.; Moriyasu, S. Cordyceps drinks and running performance. J. Exerc. Sports Physiol. 2002, 9, 85–92. [Google Scholar]
- Nagata, A.; Tajima, T.; Uchida, M. Supplemental anti-fatigue effects of Cordyceps sinensis (Tochu-Kaso) extract powder during three stepwise exercise of human. Jpn. J. Phys. Fit. Sports Med. 2006, 55, S145–S152. [Google Scholar] [CrossRef]
- Hirsch, K.R.; Smith-Ryan, A.E.; Roelofs, E.J.; Trexler, E.T.; Mock, M.G. Cordyceps militaris Improves Tolerance to High-Intensity Exercise After Acute and Chronic Supplementation. J. Diet. Suppl. 2017, 14, 42–53. [Google Scholar] [CrossRef]
- Nakamura, A.; Shinozaki, E.; Suzuki, Y.; Santa, K.; Kumazawa, Y.; Kobayashi, F.; Nagaoka, I.; Koikawa, N. Effect of the Administration of Cordyceps militaris Mycelium Extract on Blood Markers for Anemia in Long-Distance Runners. Nutrients 2024, 16, 1835. [Google Scholar] [CrossRef]
- Hsu, C.C.; Lin, Y.A.; Su, B.; Li, J.H.; Huang, H.Y.; Hsu, M.C.P. No effect of Cordyceps sinensis supplementation on testosterone level and muscle strength in healthy young adults for resistance training. Biol. Sport. 2011, 28, 107–110. [Google Scholar] [CrossRef]
- Parcell, A.C.; Smith, J.M.; Schulthies, S.S.; Myrer, J.W.; Fellingham, G. Cordyceps sinensis (CordyMax Cs-4) supplementation does not improve endurance exercise performance. Int. J. Sport Nutr. Exerc. Metab. 2004, 14, 236–242. [Google Scholar] [CrossRef] [PubMed]
- Nicodemus, J.K.; Hagan, R.D.; Zue, J.S.; Baker, C. Supplementation with cordyceps cs-4 fermentation product promotes fat metabolism during prolonged exercise. Med. Sci. Sports Exerc. 2001, 33, S164. [Google Scholar] [CrossRef]
- Xiao, Y.; Huang, X.; Zhu, J. Randomized double-blind placebo-controlled clinical trial and assessment of fermentation product of Cordyceps sinensis (Cs-4) in enhancing aerobic capacity and respiratory function of the healthy elderly volunteers. Chin. J. Integr. Med. 2004, 10, 187–192. [Google Scholar]
- Savioli, F.P.; Zogaib, P.; Franco, E.; AlvesDe Salles, F.C.; Giorelli, G.V.; Andreoli, C.V. Effects of Cordyceps sinensis supplementation during 12 weeks in amateur marathoners: A randomized, double-blind placebo-controlled trial. J. Herb. Med. 2022, 34, 100570. [Google Scholar] [CrossRef]
- Zhou, X.; Gong, Z.; Su, Y.; Lin, J.; Tang, K. Cordyceps fungi: Natural products, pharmacological functions and developmental products. J. Pharm. Pharmacol. 2009, 61, 279–291. [Google Scholar] [CrossRef]
- Dudgeon, W.D.; Thomas, D.D.; Dauch, W.; Scheett, T.P.; Webster, M.J. The effects of high and low-dose Cordyceps militaris-containing mushroom blend supplementation after seven and twenty-eight days. Am. J. Sports Sci. 2018, 6, 1–7. [Google Scholar] [CrossRef]
- Ontawong, A.; Pengnet, S.; Thim-Uam, A.; Munkong, N.; Narkprasom, N.; Narkprasom, K.; Kuntakhut, K.; Kamkeaw, N.; Amornlerdpison, D. A randomized controlled clinical trial examining the effects of Cordyceps militaris beverage on the immune response in healthy adults. Sci. Rep. 2024, 14, 7994. [Google Scholar] [CrossRef]
- Chen, Y.; Chen, G.; Zhang, C.; Tang, G.; Chan, Y.; Wang, N.; Feng, Y. Randomized, waitlist-controlled trial of Cordyceps sinensis mycelium culture extract (Cs4) for long COVID patients in Hong Kong. Acta Mater. Med. 2025, 4, 250–261. [Google Scholar]
- ANM Health. A Randomized, Double-Blind, Placebo-Controlled Study to Evaluate the Efficacy and Safety of Cordyceps Capsules as an Add-On Therapy in Patients with Mild to Moderate COVID-19 Infection. Available online: https://anm.health/wp-content/uploads/2023/08/Annexure-i-Clinical-Trials-Research-Summry.pdf (accessed on 16 March 2026).
- Wang, N.; Li, J.; Huang, X.; Chen, W.; Chen, Y. Herbal Medicine Cordyceps sinensis Improves Health-Related Quality of Life in Moderate-to-Severe Asthma. Evid. Based Complement. Altern. Med. 2016, 2016, 6134593. [Google Scholar] [CrossRef]
- Heo, J.Y.; Baik, H.W.; Kim, H.J.; Lee, J.M.; Kim, H.W.; Choi, Y.S.; Won, J.H.; Kim, H.M.; Park, W.I.; Kim, C.Y. Efficacy and Safety of Cordyceps militaris in Korean adults with mild liver dysfunction. J. Clin. Nutr. 2015, 7, 81–86. [Google Scholar] [CrossRef]
- Zhou, J.; Chen, X.; Xiao, L.; Zhou, J.; Feng, L.; Wang, G. Efficacy and Safety of Cordyceps militaris as an Adjuvant to Duloxetine in the Treatment of Insomnia in Patients With Depression: A 6-Week Double- Blind, Randomized, Placebo-Controlled Trial. Front. Psychiatry 2021, 12, 754921. [Google Scholar] [CrossRef]
- Ru, J.; Li, P.; Wang, J.; Zhou, W.; Li, B.; Huang, C.; Li, P.; Guo, Z.; Tao, W.; Yang, Y.; et al. TCMSP: A database of systems pharmacology for drug discovery from herbal medicines. J. Cheminform. 2014, 6, 13. [Google Scholar] [CrossRef] [PubMed]
- Cui, G.; Li, M.; Guo, W.; Gao, M.; Zhu, Q.; Liao, J. AI-driven network pharmacology: Multi-scale mechanisms of traditional Chinese medicine from molecular to patient analysis. Comput. Struct. Biotechnol. J. 2025, 27, 5087–5104. [Google Scholar] [CrossRef] [PubMed]
- Barth, S.W.; Efferth, T. Network pharmacology to elucidate the role of phytotherapy in neurocognitive disorders. Phytomedicine 2025, 148, 157031. [Google Scholar] [CrossRef] [PubMed]
- Panossian, A.; Efferth, T. Network Pharmacology of Adaptogens in the Assessment of Their Pleiotropic Therapeutic Activity. Pharmaceuticals 2022, 15, 1051. [Google Scholar] [CrossRef]
- Panossian, A. Trends and Pitfalls in the Progress of Network Pharmacology Research on Natural Products. Pharmaceuticals 2025, 18, 538. [Google Scholar] [CrossRef]
- Panossian, A.; Abdelfatah, S.; Efferth, T. Network Pharmacology of Red Ginseng (Part I): Effects of Ginsenoside Rg5 at Physiological and Sub-Physiological Concentrations. Pharmaceuticals 2021, 14, 999. [Google Scholar] [CrossRef]
- Zhou, W.; Liu, Y.; Gao, Y.; Suonanlamao; Ma, Y.; Xiao, Y.; Wei, L. Integrating proteomics, metabolomics, and network pharmacology to investigate the mechanism of Cordyceps sinensis in the treatment of COPD rats. J. Pharm. Biomed. Anal. 2025, 266, 117076. [Google Scholar] [CrossRef]
- Jiang, Y.; Liu, Z.; Hu, J.; Sun, S.; Xie, X.; Kong, X.; Tang, Y. Pharmacodynamic evaluation of Cordyceps sinensis (Berk.) Sacc. for ischemic stroke in rats and potential mechanism through network pharmacology and molecular docking. J. Tradit. Chin. Med. Sci. 2023, 10, 196–207. [Google Scholar] [CrossRef]
- Butterweck, V.; Nahrstedt, A. What is the best strategy for preclinical testing of botanicals? A critical perspective. Planta Medica 2012, 78, 747–754. [Google Scholar] [CrossRef]
- Wang, J.; Liu, R.; Liu, B.; Yang, Y.; Xie, J.; Zhu, N. Systems Pharmacology-based strategy to screen new adjuvant for hepatitis B vaccine from Traditional Chinese Medicine Ophiocordyceps sinensis. Sci. Rep. 2017, 7, 44788. [Google Scholar] [CrossRef]
- Zhang, X.; Wang, M.; Liang, X.; Wang, J.; Zhang, M.; Li, C.; Wei, L.; Bi, H. Bioinformatics analysis and in vivo validation study of Ophiocordyceps sinensis (Berk.)G.H.Sungetal against lung adenocarcinoma. J. Ethnopharmacol. 2023, 317, 116739. [Google Scholar] [CrossRef] [PubMed]
- Zhang, Y.; Xu, L.; Lu, Y.; Zhang, J.; Yang, M.; Tian, Y.; Dong, J.; Liao, L. Protective effect of Cordyceps sinensis against diabetic kidney disease through promoting proliferation and inhibiting apoptosis of renal proximal tubular cells. BMC Complement. Med. Ther. 2023, 23, 109. [Google Scholar] [CrossRef] [PubMed]
- Li, S.; Pang, W.; Wang, Y.; Zhang, Y. Cordyceps sinensis extract protects against acute kidney injury by inhibiting perforin expression in NK cells via the STING/IRF3 pathway. Aging 2024, 16, 5887–5904. [Google Scholar] [CrossRef] [PubMed]
- He, H.; Tang, J.; Ru, D.; Shu, X.; Li, W.; Li, J.; Ma, L.; Hu, X.; Xiong, L.; Li, L. Protective effects of Cordyceps extract against UVB-induced damage and prediction of application prospects in the topical administration: An experimental validation and network pharmacology study. Biomed. Pharmacother. 2020, 121, 109600. [Google Scholar] [CrossRef]
- Pei, H.; He, Z.; Chen, W.; Zhao, Y.; Li, J.; Wang, R.; Zong, Y.; Du, R. Network pharmacology and molecular docking analysis on the mechanism of Cordyceps militaris polysaccharide regulating immunity through TLR4/TNF-α pathways. J. Biochem. Mol. Toxicol. 2023, 37, e23345. [Google Scholar] [CrossRef]
- Kim, H.L.; Park, J.; Kim, H.I.; Boo, M.; Sim, J.H.; Kim, H.; Choi, H.; An, S.; Yang, H.; Shin, S.; et al. Integrating Network Pharmacology and Optimization of Preparation Methods to Enhance the Anticancer Effect of Cordyceps militaris on Lung Cancer. Anticancer Res. 2025, 45, 2963–2984. [Google Scholar] [CrossRef]
- Wang, P.; Zong, Y.; Huang, X.; Zhang, W.; Di, L. Study on the potential mechanism of Cordyceps militaris in chronic obstructive pulmonary disease via integrating metabolomics and network pharmacology. J. Pharm. Pharmacol. 2025, 78, rgaf114. [Google Scholar] [CrossRef]
- Zhou, H.B.; Feng, L.J.; Liang, X.D.K.; Zhou, Z.X.; Li, M.; Zhang, J.L.; Su, G.H. Mechanism of Cordyceps militaris in gouty nephropathy explored using network pharmacology and molecular docking technology. Food Biosci. 2024, 60, 104299. [Google Scholar] [CrossRef]
- Gandhale, P.; Chikhale, R.; Khanal, P.; Biswa, V.; Ali, R.; Khan, M.S.; Gurav, N.; Ayyanar, M.; Das, S.; Gurav, S. Quest for Anti-SARS-CoV-2 antiviral therapeutics: In-silico and in-vitro analysis of edible mushroom- Cordyceps militaris. J. Ayurveda Integr. Med. 2024, 15, 100979. [Google Scholar] [CrossRef]
- Lee, D.; Lee, W.-Y.; Jung, K.; Kwon, Y.S.; Kim, D.; Hwang, G.S.; Kim, C.-E.; Lee, S.; Kang, K.S. The Inhibitory Effect of Cordycepin on the Proliferation of MCF-7 Breast Cancer Cells, and Its Mechanism: An Investigation Using Network Pharmacology-Based Analysis. Biomolecules 2019, 9, 414. [Google Scholar] [CrossRef] [PubMed]
- Qiu, X.; Li, C.; Wang, J.; Yu, H.; Wang, R.; Wang, L.; Zhang, S.; Tang, Y.; Li, Z.; Li, Q. Cordycepin Inhibits Proliferation, Migration, and Promotes Apoptosis in Fibrosarcoma HT1080 Cells by Targeting Akt1 and Kinase Activity Through Network Pharmacology Analysis. Cell Biochem. Funct. 2025, 43, e70103. [Google Scholar] [CrossRef] [PubMed]
- Zhong, M.; Feng, M.; Chen, X.; Zhang, Y.; Wang, Y.; Yuan, P.; Zhang, T.; Han, Z.; Tang, C.; Zhang, Q.; et al. Cordycepin attenuated cyclophosphamide (CTX)-induced immunosuppression in mice via EGFR/Nrf2 antioxidant signaling pathway. Int. Immunopharmacol. 2025, 163, 115235. [Google Scholar] [CrossRef] [PubMed]
- Chen, J.; Zhuang, Y.D.; Zhang, Q.; Liu, S.; Zhuang, B.B.; Wang, C.H.; Liang, R.S. Exploring the mechanism of cordycepin combined with doxorubicinin treating glioblastoma based on network pharmacology and biological verification. Peer J. 2022, 10, e12942. [Google Scholar] [CrossRef]
- Lin, J.; Zhang, Y.; Lin, S.; Ding, H.; Liu, W. Integrating Network Pharmacology and Experimental Verification to Explore the Pharmacological Mechanisms of Cordycepin against Pulmonary Arterial Hypertension in Rats. Comb. Chem. High Throughput Screen. 2024, 27, 2776–2789. [Google Scholar] [CrossRef]
- Liao, Y.; Wang, M.; Qin, F.; Liu, T.; Chen, J. Integrating network pharmacology, quantitative transcriptomic analysis, and experimental validation revealed the mechanism of cordycepin in the treatment of obesity. Front. Pharmacol. 2025, 16, 1571480. [Google Scholar] [CrossRef]
- Li, J.; Chen, Y.; Li, J.; Chen, L.; Wang, J.; Jiang, Y.; Zhang, B. Study on the Mechanism of Ophiocordyceps sinensis in Treating Liver Cirrhosis Based on Network Pharmacology. J. Dali Univ. 2021, 6, 16–21. [Google Scholar]
- Mu, Y.; Zheng, D.; Peng, D.H.; Wang, E.C.; Ye, F.; Wang, J. Cordyceps sinensis for the Treatment of Liver Cancer: A Network Pharmacology and Molecular Docking Study. Indian J. Pharm. Sci. 2023, 85, 119–128. [Google Scholar] [CrossRef]
- Gonzalez-Llerena, J.L.; Treviño-Almaguer, D.; Leal-Mendez, J.A.; Garcia-Valdez, G.; Balderas-Moreno, A.G.; Heya, M.S.; Balderas-Renteria, I.; Camacho-Corona, M.D.R.; Espinosa-Rodriguez, B.A. The Cordyceps Genus as a Potential Source of Bioactive Compounds for Adjuvant Cancer Therapy: A Network Pharmacology Approach. Pharmaceuticals 2025, 18, 667. [Google Scholar] [CrossRef]
- Long, H.; Qiu, X.; Cao, L.; Han, R. Discovery of the signal pathways and major bioactive compounds responsible for the anti-hypoxia effect of Chinese cordyceps. J. Ethnopharmacol. 2021, 277, 114215. [Google Scholar] [CrossRef]
- Zhang, X.; Wang, M.; Qiao, Y.; Shan, Z.; Yang, M.; Li, G.; Xiao, Y.; Wei, L.; Bi, H.; Gao, T. Exploring the mechanisms of action of Cordyceps sinensis for the treatment of depression using network pharmacology and molecular docking. Ann. Transl. Med. 2022, 10, 282. [Google Scholar] [CrossRef] [PubMed]
- Zhou, J.; Wang, M.; Sun, T.; Zhou, X.; Wang, J.; Wang, Y.; Zhang, R.; Luo, R.; Yu, H. Uncovering anti-influenza mechanism of Ophiocordyceps sinensis using network pharmacology, molecular pharmacology, and metabolomics. Medicine 2023, 102, e34843. [Google Scholar] [CrossRef] [PubMed]
- Li, Y.; Wang, L.; Xu, B.; Zhao, L.; Li, L.; Xu, K.; Tang, A.; Zhou, S.; Song, L.; Zhang, X.; et al. Network pharmacology investigation of Cordyceps sinensis in diabetic nephropathy. J. Diabetes Res. 2021, 2021, 8891093. [Google Scholar] [CrossRef] [PubMed]
- Xi, W.; Zhao, X.; Wang, B.; Zhu, Y.; Li, H. A Review of the Mechanism of Bailing for Diabetic Nephropathy Based on ChatGPT and Network Pharmacology. Int. J. Clin. Pract. 2024, 2024, 1432594. [Google Scholar] [CrossRef]
- Guan, H.R.; Li, B.; Zhang, Z.H.; Wu, H.S.; He, X.L.; Dong, Y.J.; Su, J.; Lv, G.Y.; Chen, S.H. Network pharmacology of Bailing capsule in polycystic ovary syndrome. BMC Complement. Med. Ther. 2023, 23, 458. [Google Scholar] [CrossRef]
- Singh, M.; Verma, H.; Gera, N.; Baddipadige, R.; Choudhary, S.; Bhandu, P.; Silakari, O. Evaluation of Cordyceps militaris steroids against COVID-19 cytokine storm. J. Biomol. Struct. Dyn. 2024, 42, 5159–5177. [Google Scholar] [CrossRef]
- Chen, Y.; Wang, P.; Zhang, M.; Yang, H.; Liang, B. Cordycepin against colorectal cancer via network pharmacology. Comb. Chem. High Throughput Screen, 2025; in press. [Google Scholar] [CrossRef]
- Li, Y.; Han, Y.; Wang, N.; Bi, Y.; Yang, W.; Yang, Y.; Ren, X. Cordycepin as an anticancer compound. Am. J. Chin. Med. 2025, 53, 2137–2165. [Google Scholar] [CrossRef]
- Khan, M.A.; Tania, M. Cordycepin and kinase inhibition in cancer. Drug Discov. Today 2023, 28, 103481. [Google Scholar] [CrossRef]
- Ma, H.; Wang, G.; Guo, X.; Yao, Y.; Li, C.; Li, X.; Xin, M.; Xu, X.; Zhang, S.; Sun, Z.; et al. Network pharmacology of Cordyceps sinensis in oral lichen planus. J. Oncol. 2022, 2022, 3156785. [Google Scholar] [CrossRef]
- Yang, L.; Yin, T.; Li, Y. Cordyceps preparations in chronic kidney disease. Integr. Med. Nephrol. Androl. 2025, 12, e24-00030. [Google Scholar] [CrossRef]
- Liu, Y.; Guo, Z.J.; Zhou, X.W. Chinese cordyceps: Bioactive components and antitumor mechanisms. Molecules 2022, 27, 6576. [Google Scholar] [CrossRef] [PubMed]
- Marcelo, A.; Brito, F.; Carmo-Silva, S.; Matos, C.A.; Alves-Cruzeiro, J.; Vasconcelos-Ferreira, A.; Koppenol, R.; Mendonça, L.; de Almeida, L.P.; Nóbrega, C. Cordycepin activates autophagy in Machado-Joseph disease. Hum. Mol. Genet. 2019, 28, 51–63. [Google Scholar] [CrossRef] [PubMed]
- Li, X.; Zhou, Y.; Zhang, X.; Cao, X.; Wu, C.; Guo, P. Cordycepin prevents atherosclerosis via autophagy. Oncotarget 2017, 8, 94726–94737. [Google Scholar] [CrossRef] [PubMed]
- Wang, Z.; Chen, Z.; Jiang, Z.; Luo, P.; Liu, L.; Huang, Y.; Wang, H.; Wang, Y.; Long, L.; Tan, X.; et al. Cordycepin prevents radiation ulcer via NRF2/AMPK. Nat. Commun. 2019, 10, 2538. [Google Scholar] [CrossRef]
- Choi, Y.H.; Kim, G.Y.; Lee, H.H. Anti-inflammatory effects of cordycepin. Drug Des. Dev. Ther. 2014, 8, 1941–1953. [Google Scholar] [CrossRef]
- Yang, J.; Li, Y.Z.; Hylemon, P.B.; Zhang, L.Y.; Zhou, H.P. Cordycepin modulates NLRP3 inflammasome. Biomed. Pharmacother. 2017, 95, 1777–1788. [Google Scholar] [CrossRef]
- Sun, Y.; Huang, W.; Tang, P.; Zhang, X.; Yu, B.; Fan, Y.; Ge, X. Neuroprotective effects of cordycepin in Parkinson’s disease. J. Funct. Foods 2020, 75, 104274. [Google Scholar] [CrossRef]
- Liu, Z.; Lv, L.; Wei, J.; Xie, Y.; Jili, M.; Huang, Y.; Yang, R.; Luo, Y. Cordycepin attenuates macrophage pyroptosis. Front. Pharmacol. 2025, 16, 1526616. [Google Scholar] [CrossRef]
- Zhang, X.L.; Huang, W.M.; Tang, P.C.; Sun, Y.; Qiu, L.; Yu, B.C.; Hong, Y.X.; He, Y.; Ge, X.Q. Cordycepin inhibits mitochondrial fission. Neurotoxicology 2021, 84, 1–13. [Google Scholar] [CrossRef]
- Li, T.; Wen, L.; Cheng, B. Cordycepin alleviates hepatic lipid accumulation. Biochem. Biophys. Res. Commun. 2019, 516, 632–638. [Google Scholar] [CrossRef]
- Hu, Y.; Wu, Y.; Song, J.; Ma, M.; Xiao, Y.; Zeng, B. Advancing Cordyceps militaris industry. Bioengineering 2024, 11, 783. [Google Scholar] [CrossRef]
- European Commission. Novel Food Status Catalogue. Available online: https://food.ec.europa.eu/food-safety/novel-food/novel-food-status-catalogue_en (accessed on 20 January 2026).
- European Commission. Food and Feed Information Portal. Available online: https://ec.europa.eu/food/food-feed-portal/screen/novel-food-catalogue/updates (accessed on 20 January 2026).
- European Commission. RASFF Notification 2024.6020. Available online: https://webgate.ec.europa.eu/rasff-window/screen/notification/703657 (accessed on 20 January 2026).
- European Commission. RASFF Notification 2022.4226. Available online: https://webgate.ec.europa.eu/rasff-window/screen/notification/559027 (accessed on 20 January 2026).
- European Commission. RASFF Notification 2024.2611. Available online: https://webgate.ec.europa.eu/rasff-window/screen/notification/674503 (accessed on 20 January 2026).
- Functional Mushrooms Simplified. EU Regulations Guide. Available online: https://functionalmushrooms.eu/novel-food-and-functional-mushrooms/ (accessed on 20 January 2026).
- Nutra Compliance. EU Novel Food Catalogue Update. Available online: https://nutracompliance.com/EU-novel-food-catalogue-updates-february-2025 (accessed on 20 January 2026).
- European Food Safety Authority. Navigating Novel Foods. Available online: https://www.efsa.europa.eu/en/news/navigating-novel-foods-what-efsas-updated-guidance-means-safety-assessments (accessed on 20 January 2026).
- U.S. Food and Drug Administration. Mushroom Revival Warning Letter. Available online: https://www.fda.gov/inspections-compliance-enforcement-and-criminal-investigations/warning-letters/mushroom-revival-inc-610361-12012020 (accessed on 20 January 2026).
- Antion Consulting. China Novel Food Ingredients System. Available online: https://www.antion.net/En/Blog/view/id/36Ul9no000opK4Da6QEXKVkzxQO0O0OO0O0O.html (accessed on 20 January 2026).
- McEwen, B.S.; Stellar, E. Stress mechanisms. Arch. Intern. Med. 1993, 153, 2093–2101. [Google Scholar] [CrossRef] [PubMed]
- McEwen, B.S. Stress mediators. N. Engl. J. Med. 1998, 338, 171–179. [Google Scholar] [CrossRef] [PubMed]
- McEwen, B.S. Neurobiology of stress. Physiol. Rev. 2007, 87, 873–904. [Google Scholar] [CrossRef] [PubMed]
- McEwen, B.S.; Wingfield, J.C. Homeostasis and stress. Horm. Behav. 2010, 57, 105–111. [Google Scholar] [CrossRef]
- Medzhitov, R. Origin of inflammation. Nature 2008, 454, 428–435. [Google Scholar] [CrossRef]
- Nathan, C.; Ding, A. Nonresolving inflammation. Cell 2010, 140, 871–882. [Google Scholar] [CrossRef]
- Serhan, C.N.; Levy, B.D. Resolvins in inflammation. J. Clin. Investig. 2018, 128, 2657–2669. [Google Scholar] [CrossRef]
- Serhan, C.N.; Gupta, S.K.; Perretti, M.; Godson, C.; Brennan, E.; Li, Y.; Soehnlein, O.; Shimizu, T.; Werz, O.; Chiurchiù, V.; et al. Atlas of inflammation resolution. Mol. Asp. Med. 2020, 74, 100894. [Google Scholar] [CrossRef]
- U.S. Food and Drug Administration. Dietary Supplement Health and Education Act. Available online: https://ods.od.nih.gov/About/DSHEA_Wording.aspx (accessed on 20 January 2026).
- European Food Safety Authority. Antioxidant health claims guidance. EFSA J. 2012, 10, 2474. Available online: https://www.efsa.europa.eu/sites/default/files/consultation/nda110426a%2C0.pdf (accessed on 20 January 2026).
- European Food Safety Authority. Health claim applications guidance. EFSA J. 2011, 9, 2170. Available online: https://efsa.onlinelibrary.wiley.com/doi/pdf/10.2903/j.efsa.2016.4367 (accessed on 20 January 2026).
- European Food Safety Authority. Physical performance health claims. EFSA J. 2012, 10, 2817. Available online: https://efsa.onlinelibrary.wiley.com/doi/epdf/10.2903/j.efsa.2012.2817 (accessed on 20 January 2026).
- European Medicines Agency. Reflection Paper on Adaptogens. Available online: https://www.ema.europa.eu/en/documents/scientific-guideline/reflection-paper-adaptogenic-concept_en.pdf (accessed on 20 January 2026).
- Panossian, A. Understanding adaptogenic activity: Specificity of the pharmacological action of adaptogens and other phytochemicals. Ann. N. Y. Acad. Sci. 2017, 1401, 49–64. [Google Scholar] [CrossRef] [PubMed]
- Cohen Healthcare. Adaptogens and FDA/FTC Compliance. Available online: https://cohenhealthcarelaw.com/adaptogens-and-fda-ftc-compliance/ (accessed on 20 January 2026).
- World Health Organization. WHO Traditional Medicine Strategy 2014–2023; WHO Press: Geneva, Switzerland, 2013; Available online: https://www.who.int/publications/i/item/9789241506096 (accessed on 20 January 2026).
- European Medicines Agency. EU Herbal Monograph on Rhodiola Rosea. Available online: https://www.ema.europa.eu/en/documents/herbal-monograph/final-european-union-herbal-monograph-rhodiola-rosea-l-rhizoma-et-radix-revision-1_en.pdf (accessed on 20 January 2026).
- Panossian, A.; Seo, E.J.; Efferth, T. Novel molecular mechanisms for the adaptogenic effects of herbal extracts on isolated brain cells using systems biology. Phytomedicine 2018, 50, 257–284. [Google Scholar] [CrossRef]
- Panossian, A.; Lemerond, T.; Efferth, T. State-of-the-Art Review on Botanical Hybrid Preparations in Phytomedicine and Phytotherapy Research: Background and Perspectives. Pharmaceuticals 2024, 17, 483. [Google Scholar] [CrossRef]
- Qin, P.; Li, X.; Yang, H.; Wang, Z.-Y.; Lu, D. Therapeutic Potential and Biological Applications of Cordycepin and Metabolic Mechanisms in Cordycepin-Producing Fungi. Molecules 2019, 24, 2231. [Google Scholar] [CrossRef]
- Efferth, T. Establishing traditional Chinese medicine in Europe. Chin. Herb. Med. 2025, 17, 409–413. [Google Scholar] [CrossRef]
- Chrousos, G.P. Stress and disorders of the stress system. Nat. Rev. Endocrinol. 2009, 5, 374–381. [Google Scholar] [CrossRef]
- Dhabhar, F.S. Effects of stress on immune function: The good, the bad, and the beautiful. Immunol. Res. 2014, 58, 193–210. [Google Scholar] [CrossRef]
- Segerstrom, S.C.; Miller, G.E. Psychological stress and the human immune system: A meta-analytic study. Psychol. Bull. 2004, 130, 601–630. [Google Scholar] [CrossRef]
- Lupien, S.J.; McEwen, B.S.; Gunnar, M.R.; Heim, C. Effects of stress throughout the lifespan on the brain, behaviour and cognition. Nat. Rev. Neurosci. 2009, 10, 434–445. [Google Scholar] [CrossRef] [PubMed]
- Arnsten, A.F.T. Stress signalling pathways that impair prefrontal cortex structure and function. Nat. Rev. Neurosci. 2009, 10, 410–422. [Google Scholar] [CrossRef] [PubMed]
- Ferrucci, L.; Fabbri, E. Inflammageing: Chronic inflammation in ageing, cardiovascular disease, and frailty. Nat. Rev. Cardiol. 2018, 15, 505–522. [Google Scholar] [CrossRef] [PubMed]
- World Health Organization. WHO Monographs on Selected Medicinal Plants; WHO Press: Geneva, Switzerland, 1999; Volume 1, pp. 168–182. [Google Scholar]
- World Health Organization. WHO Monographs on Selected Medicinal Plants; WHO Press: Geneva, Switzerland, 2002; Volume 2, pp. 82–96. [Google Scholar]
- World Health Organization. WHO Monographs on Selected Medicinal Plants; WHO Press: Geneva, Switzerland, 2007; Volume 3, pp. 296–313. [Google Scholar]
- World Health Organization. WHO Monographs on Selected Medicinal Plants; WHO Press: Geneva, Switzerland, 2009; Volume 4, pp. 373–391. [Google Scholar]
- World Health Organization. WHO Monographs on Selected Medicinal Plants in the Newly Independent States (NIS); WHO Press: Geneva, Switzerland, 2010; Volume 5, pp. 141–159. [Google Scholar]
- Samuelsson, G.; Bohlin, L. Drugs of Natural Origin, 6th ed.; Swedish Academy of Pharmaceutical Sciences: Stockholm, Sweden, 2009; Available online: https://www.routledge.com/Drugs-of-Natural-Origin-ATreatiseof-Pharmacognosy-Seventh-Edition/Samuelsson-Bohlin/p/book/9789198094251 (accessed on 10 February 2025).
- British Herbal Medicine Association. British Herbal Pharmacopoeia; BHMA: Exeter, UK, 1996; pp. 89–90. [Google Scholar]
- Bradley, P.R. (Ed.) British Herbal Compendium; BHMA: Exeter, UK, 1996; Volume 1, pp. 89–91, 115–118. [Google Scholar]
- Li, S.; Xiao, W. General expert consensus on the application of network pharmacology in the research and development of new traditional Chinese medicine drugs. Chin. J. Nat. Med. 2025, 23, 129–142. [Google Scholar] [CrossRef]
- Furman, D.; Campisi, J.; Verdin, E.; Carrera-Bastos, P.; Targ, S.; Franceschi, C.; Ferrucci, L.; Gilroy, D.W.; Fasano, A.; Miller, G.W.; et al. Chronic inflammation in the etiology of disease across the life span. Nat. Med. 2019, 25, 1822–1832. [Google Scholar] [CrossRef]
- Cheng, W.; Zhang, X.; Song, Q.; Lu, W.; Wu, T.; Zhang, Q.; Li, C. Determination and comparative analysis of 13 nucleosides and nucleobases in natural fruiting body of Ophiocordyceps sinensis and its substitutes. Mycology 2017, 8, 318–326. Available online: https://www.tandfonline.com/doi/full/10.1080/21501203.2017.1385546 (accessed on 16 March 2026). [CrossRef]
- Yu, L.; Zhao, J.; Zhu, Q.; Li, S.P. Macrophage biospecific extraction and high perf ormance liquid chromatography for hypothesis of immunological active components in Cordyceps sinensis. J. Pharm. Biomed. Anal. 2007, 44, 439–443. Available online: https://www.sciencedirect.com/science/article/abs/pii/S0731708507000234 (accessed on 16 March 2026). [CrossRef]
- Tuli, H.S.; Sharma, A.K.; Sandhu, S.S.; Kashyap, D. Cordycepin: A bioactive metabolite with therapeutic potential. Life Sci. 2013, 93, 863–869. Available online: https://www.sciencedirect.com/science/article/abs/pii/S0024320513005845 (accessed on 16 March 2026). [CrossRef]
- Jiang, Y.; Wong, J.H.; Fu, M.; Ng, T.B.; Liu, Z.K.; Wang, C.R.; Li, N.; Qiao, W.T.; Wen, T.Y.; Liu, F. Isolation of adenosine, iso-sinensetin and dimethylguanosine with antioxidant and HIV-1 protease inhibiting activities from fruiting bodies of Cordyceps militaris. Phytomedicine 2011, 18, 189–193. [Google Scholar] [CrossRef]
- Matsuda, H.; Akaki, J.; Nakamura, S.; Okazaki, Y.; Kojima, H.; Tamesada, M.; Yoshikawa, M. Apoptosis-inducing effects of sterols from the dried powder of cultured mycelium of Cordyceps sinensis. Chem. Pharm. Bull. 2009, 57, 411–414. [Google Scholar] [CrossRef]
- Jia, J.M.; Tao, H.H.; Feng, B.M. Cordyceamides A and B from the Culture Liquid of Cordyceps sinensis (B ERK.) S ACC. Chem. Pharm. Bull. 2009, 57, 99–101. [Google Scholar] [CrossRef]
- Zhang, Y.; Liu, S.; Liu, H.; Liu, X.; Che, Y. Cycloaspeptides F and G, cyclic pentapeptides from a cordyceps-colonizing isolate of Isaria farinosa. J. Nat. Prod. 2009, 72, 1364–1367. Available online: https://pubs.acs.org/doi/10.1021/np900205m (accessed on 16 March 2026). [CrossRef]
- Kim, J.H.; Park, D.K.; Lee, C.H.; Yoon, D.Y. A New Isoflavone Glycitein 7-O-beta-d-Glucoside 4″-O-methylate, isolated from Cordyceps militaris grown on Germinated Soybeans Extract, Inhibits EGF-induced Mucus Hypersecretion in the Human Lung Mucoepidermoid Cells. Phytother. Res. 2012, 26, 1807–1812. [Google Scholar] [CrossRef] [PubMed]
- Kneifel, H.; König, W.A.; Loeffler, W.; Müller, R. Ophiocordin, an antifungal antibiotic of Cordyceps ophioglossoides. Arch. Microbiol. 1977, 113, 121–130. [Google Scholar] [CrossRef] [PubMed]
- Chiu, C.P.; Liu, S.C.; Tang, C.H.; Chan, Y.; El-Shazly, M.; Lee, C.L.; Du, Y.C.; Wu, T.Y.; Chang, F.R.; Wu, Y.C. Anti-inflammatory cerebrosides from cultivated Cordyceps militaris. J. Agric. Food Chem. 2016, 64, 1540–1548. [Google Scholar] [CrossRef] [PubMed]
- Dewi, L.; Liao, Y.C.; Jean, W.H.; Huang, K.C.; Huang, C.Y.; Chen, L.K.; Nicholls, A.; Lai, L.F.; Kuo, C.H. Cordyceps sinensis accelerates stem cell recruitment to human skeletal muscle after exercise. Food Funct. 2024, 15, 4010–4020. [Google Scholar] [CrossRef]
- Hao, L.; Wang, Q.; Kobayashi, M.; Tamesada, M.; Wang, H.J. Effectiveness of Cordyceps sinensis alone or in combination with chemotherapy in patients with non-small cell lung cancer. Biotherapy 2008, 22, 345–349. [Google Scholar]
- Hao, L.; Wang, Q.; Wang, B.; Wang, H.J. Clinical observation of cordyceps combined with NP regimen in treatment of advanced non-small cell lung cancer. J. Dalian Med. Univ. 2007, 29, 563–565. Available online: https://journal.dmu.edu.cn/en/article/doi/10.11724/jdmu.2007.06.14 (accessed on 16 March 2026).
- Jung, S.J.; Jung, E.S.; Choi, E.K.; Sin, H.S.; Ha, K.C.; Chae, S.W. Immunomodulatory effects of a Cordyceps mycelium extract (Paecilomyces hepiali; CBG-CS-2): Randomized double-blind clinical trial. BMC Complement. Altern. Med. 2019, 19, 77. [Google Scholar] [CrossRef]
- Morikubo, K.; Uchida, M.; Kume, A.; Tsunoo, H.; Tajima, T.; Nagata, A. Cordyceps and mental condition. Jpn. Pharmacol. Ther. 2005, 33, 729–734. [Google Scholar]




| Markers | O. sinensis, mg/g | C. militaris, mg/g | References |
|---|---|---|---|
| Adenosine | ≈0.2–10 | 0.3–2.5 | [86,87,88] |
| Cordycepin | <0.2 (0.006–0.075) | ~6.6 (3–26) | [53,87,88,89,90] |
| Polysaccharides | ≥60 (≈50–100) | ≥80 (~30–150) | [16,88,91] |
| Total nucleosides | ~2.0–3.1 | [92,93,94] | |
| Total Ergosterol | ~1.9–2.7 | ~2–3 | [95,96] |
| Mattitol | 25.6–115.7 | [89,97] |
| Compound | Receptor Action | Net CNS Effect | Fatigue Impact | Mechanistic Reason |
|---|---|---|---|---|
| Adenosine | Agonist at A1, A2A | Sedative | Increases fatigue | Inhibits neuronal firing, promotes sleep pressure |
| Caffeine | Antagonist at A1, A2A | Stimulant | Reduces fatigue | Blocks adenosine, increases dopamine + cortical activity |
| Cordycepin | Minimal activity (in vivo) | Neutral | No proven effect | Rapid deamination, poor BBB penetration, weak receptor affinity |
| References | Main Preparations Studied | Indications (Systematic Reviews) | No. of SRs/Meta-analyses | Approx. No. of RCTs (Patients) | Consistency of Clinical Effects | Methodological Quality Certainty of Evidence | Key Limitations | EMA WEU Relevance |
|---|---|---|---|---|---|---|---|---|
| Liu et al., 2024; Wu et al., 2025 Pu et al., 2024; Tao et al., 2024; Xue et al., 2024; [136,137,138,139,140] | Fermented mycelium (Bailing, Jinshuibao, Zhiling, others) | Dialysis (HD/PD), DKD, CKD, CA-AKI prevention, renal dysfunction | 5 | >210 RCTs (>16,000 pts, overlapping); | Consistent improvement in renal and inflammatory surrogate markers (Scr, BUN, CRP, proteinuria); reduced CA-AKI incidence when used preventively | Low to very low (GRADE); majority of SRs critically low (AMSTAR-2) | Open-label RCTs; short follow-up; surrogate endpoints; heterogeneous preparations | Does not meet WEU (efficacy signal present, but insufficient robustness and preparation definition) |
| Wang et al., 2024; Yu et al., 2019; Ma & Jin, 2024 [141,142,143] | Bailing capsule, cultivated mycelia, mixed CS preparations | COPD, lung cancer (adjunctive), | 3 | ~80–100 RCTs (>5000 pts) | Consistent adjunctive benefits (lung function, QoL, immune markers, tumor response rate) | Low to moderate | Lack of blinding; all trials conducted in China; unclear allocation concealment; adjunctive designs only | Does not meet WEU (methodological and EU-use limitations) |
| Welch et al., 2023; Dewi & Khemtong, 2025 * [144,145] | Supplements (varied) | Healthy volunteers/exercise performance | 2 | 7 RCTs (286 pts) | Inconsistent, small effects | Low | Small samples; heterogeneous outcomes; limited clinical relevance | Not relevant for WEU |
| Feature | O. sinensis | C. militaris | Cordycepin |
|---|---|---|---|
| Main bioactive constituents | Adenosine/2′-deoxyadenosine, ergosterol, adenosine, glutamine, diverse peptides | Cordycepin (3′-deoxyadenosine), adenosine, polysaccharides, ergosterol | Cordycepin |
| Dominant validated indications (Tier 2) | COPD, lung cancer, CKD, ischemic stroke, diabetic nephropathy, UV injury, vaccine adjuvant (Tier 3) | Immune modulation, lung cancer, COPD, gouty nephropathy, SARS-CoV-2 | Cancer, obesity, depression, PAH, immunosuppression, glioblastoma |
| Main predicted indications (Tier 1) | Liver cancer, DN, hypoxia, depression, PCOS, influenza | COVID-19 inflammation | Cancer, Alzheimer’s, kinase inhibition |
| Signature pathways (Tier 2) | PI3K-Akt, TNF, AGE-RAGE, IL-17, chemokine, apoptosis, lipid metabolism | TLR, inflammatory lipid pathways, apoptosis, oxidative stress, metabolic regulation | Apoptosis, AMPK-mTOR, PI3K-Akt, Nrf2, Wnt/β-catenin, metabolic reprogramming |
| Predicted pathways (Tier 1) | AGE-RAGE, VEGF, PI3K-Akt, FOXO, neurotrophic, inflammatory | A3AR, JNK, AMPK, AKT, MAPKs, FOXO3 | Apoptosis, neurodegeneration, and kinase inhibition |
| Core hubs repeatedly validated (Tier 2) | AKT1, CASP3, PTGS2, HIF1A, NFKB1, VEGFA, PTEN, STING, CXCR4, | TLR4, TNF, EGFR, IDH1, PTGS2, ABCG2, p53 | AKT1, CASP3, EGFR, Nrf2, GSK3β, β-catenin, FOXO, MAPKs |
| Core predicted hubs (Tier 1) | TNF, MAPK1, EGFR, IL6, VEGFA, ACE, CASP3 | NR3C1, thrombin, inflammatory kinases | A3AR, JNK, AMPK, AKT, MAPKs, FOXO3 |
| Key validated differences (Tier 2) | immune-pulmonary-renal axis, lipid/steroid mediation, inflammatory microenvironment remodeling (Tier 3) | immune activation, metabolic enzymes, antiviral/anticancer lipid-nucleoside networks | intracellular stress signaling, kinase control, apoptosis, metabolic rewiring |
| Pathway/Module | Key Genes/Molecules | Physiological Roles | Representative Publications |
|---|---|---|---|
| AMPK–mTOR–Autophagy Axis | PRKAA1/2 (AMPKα), RPTOR, RICTOR, MTOR, ULK1, BECN1, LC3B, ATG5/7, SQSTM1 | Cellular energy sensor; promotes autophagy, ATP conservation, and repair during stress. | Hawley et al., 2020 [36] Marcelo et al., 2019 [209] Li et al., 2017 [210]. |
| NRF2–KEAP1 Antioxidant Axis | NFE2L2 (NRF2), KEAP1, HMOX1, NQO1, GCLC, GCLM, SOD2, CAT, GPX1 | Regulates antioxidant enzymes, detoxification, redox homeostasis, and cytoprotection. | Wang Z et al., 2019 [211] |
| TLR4–MyD88–NF-κB/MAPK Inflammatory Axis | TLR4, MYD88, NFKB1, RELA, IKBKB, MAPK14, MAPK8, MAPK1/3, TNF, IL6, PTGS2, NOS2 | Controls innate immune activation; cordycepin suppresses pro-inflammatory cytokines and iNOS/COX-2 expression. | Choi YH et al., 2014 [212] Yang J et al., 2017 [213] Sun Y et al., 2020 [214] |
| NLRP3 Inflammasome/Pyroptosis Regulation | NLRP3, CASP1, GSDMD, IL1B, IL18 | Limits pyroptotic cell death and IL-1β release; anti-inflammatory and neuroprotective effects. | Liu Z et al., 2025 [215] Zhang X et al., 2021 [216] |
| PI3K–AKT/FOXO–SIRT Pathway | PIK3CA/B, AKT1, FOXO3, SIRT1, TP53 | Balances survival vs. repair; mediates stress resistance, longevity, and metabolic adaptation. | Li T et al., 2019 [217] |
| Signaling Pathway | Key Genes Involved | Physiological Role |
|---|---|---|
| AMPK pathway | AMPK, SIRT1, MTOR | Energy sensing, lifespan extension |
| Sirtuin signaling | SIRT1, FOXO3, PARP1 | Regulates stress response, aging, |
| mTOR signaling | MTOR, AMPK, SIRT1, TP53 | Nutrient sensing, autophagy, and protein synthesis |
| DNA damage response | TP53, PARP1 | Genomic stability, cancer prevention |
| Region | O. sinensis * | C. militaris | Notes |
|---|---|---|---|
| China | Traditionally medicinal, wild OS is not a general everyday food. Listed in the Chinese Pharmacopeia as a traditional medicinal material (TCM drug), not a general food. Ophiocordyceps sinensis mycelium and fermented products (some strains) may appear as approved food ingredients if separately registered. | Approved as a “new resource food” (novel food ingredient) since 2009; widely used in foods/health foods in China. | Used in decoctions, capsules, and medicinal soups. Only specific strains of cultivated mycelium (e.g., Cs-HK1) are allowed as food supplements. Contemporary reviews of the Chinese regulatory framework note C. militaris approval as novel/new resource food (2009) [218]. |
| Japan/Republic of Korea | Classified as a traditional medicinal material, used in Kampo or functional foods under regulatory oversight. | In Asian countries, the cultural and historical use supports a more permissive edible status for C. militaris | In Asian countries, the cultural and historical use supports a more permissive edible status for C. militaris |
| USA | Marketed mainly as dietary supplements (mycelium/extracts). No GRAS (Generally Recognized As Safe) listing for wild O. sinensis; marketed forms are dietary supplements under DSHEA, typically using cultivated mycelium (e.g., O. sinensis Cs-4). | Marketed as dietary supplements, enforcement actions are taken when drug-like claims are made. | The U.S. classifies many mushroom extracts as dietary supplements. If a product claims to treat a disease, the FDA may treat it as a drug. U.S. Food and Drug Administration. FDA warning letters show Cordyceps products can be challenged if marketed with disease claims. There is no public GRAS for wild OS itself. |
| EU | Considered a novel food if intended as a food ingredient, wild O. sinensis itself is not authorized under general edible mushroom lists. Not novel in food supplements (entry in the EU Novel Food status catalog). | “Not yet authorized–novel food.” | Authorization required under the Novel Foods Regulation. The European Commission’s Novel Food portal lists C. militaris (mycelium and fruiting body) as not yet authorized; multiple RASFF alerts flag unauthorized use of C. militaris in supplements. O. sinensis is shown as “not novel in food supplements.” |
| Sweden | Follows EU Novel Food rules. | Follows EU Novel Food rules. | In the EU, Novel Food law is harmonized; Sweden applies the EU stance. Check the EC catalog and consult the Swedish National Food Agency if you need product-specific confirmation. |
| Aspect | Inflammation | Stress Response |
|---|---|---|
| Purpose | Restore homeostasis | Restore homeostasis |
| Nature | Protective, adaptive | Protective, adaptive |
| Mediators | Cytokines, eicosanoids | Hormones, neurotransmitters |
| Resolution | Actively regulated | Actively regulated |
| Pathology arises when | Chronic, unresolved | Chronic, dysregulated |
| Localization | Primarily local | Systemic |
| Primary system | Immune system | Neuroendocrine system |
| Measurability | Clear biomarkers (CRP, IL-6) | Context-dependent biomarkers (cortisol variability) |
| Disease framing | Recognized pathological entity | Often framed as a risk factor |
| Consequences of failed resolution | Chronic inflammation: Cardiovascular disease Autoimmune disorders Neurodegeneration Cancer progression | Chronic stress/inflammaging: Depression and anxiety Metabolic syndrome Immune suppression or hyperactivation Accelerated aging |
| Dimension | European Union | United States | Asia (China, Japan, the Republic of Korea, India) |
|---|---|---|---|
| Adaptogen term | Not recognized | Informally tolerated | Explicitly recognized |
| Regulatory model | Disease- & nutrient-centric | Risk-based consumer access | Systems & functional medicine |
| Acceptable claim style | Narrow, mechanistic | Structure–function | Functional, pattern-based |
| Stress-related claims | Rejected | Allowed with disclaimer | Allowed |
| Traditional use | Secondary | Optional | Central |
| Dimension | Western Regulatory Paradigm (EFSA/EMA) | Traditional Medical Paradigms (TCM, Ayurveda, etc.) |
|---|---|---|
| Primary goal | Treat or prevent a defined disease | Restore balance and resilience |
| Model | Reductionist, mechanistic | Systems-based, integrative |
| Body concept | Sum of organs and pathways | Dynamic, interconnected whole |
| Health | Absence of pathology | Capacity to adapt and recover |
| Evidence | Isolated endpoints, biomarkers | Pattern recognition, outcomes over time |
| Disease vs. dysfunction | Requires: A defined pathological condition Clear causal pathway Measurable, reproducible endpoints Works well for: Inflammation Deficiency diseases Infections | Focuses on: Functional imbalance before disease Fatigue, low vitality, stress intolerance Recovery capacity |
| Evidence hierarchy mismatch | Standardized extracts Dose–response relationships Single or narrow endpoints | Multi-target effects Long-term use Context-dependent outcomes Synergistic formulations |
Disclaimer/Publisher’s Note: The statements, opinions and data contained in all publications are solely those of the individual author(s) and contributor(s) and not of MDPI and/or the editor(s). MDPI and/or the editor(s) disclaim responsibility for any injury to people or property resulting from any ideas, methods, instructions or products referred to in the content. |
© 2026 by the author. Licensee MDPI, Basel, Switzerland. This article is an open access article distributed under the terms and conditions of the Creative Commons Attribution (CC BY) license.
Share and Cite
Panossian, A. Pleiotropic Bioactivity of Caterpillar Fungus, Orange Cordyceps, and Cordycepin: Insight from Integrated Network Pharmacology and Food and Drug Regulatory Framework. Pharmaceuticals 2026, 19, 519. https://doi.org/10.3390/ph19030519
Panossian A. Pleiotropic Bioactivity of Caterpillar Fungus, Orange Cordyceps, and Cordycepin: Insight from Integrated Network Pharmacology and Food and Drug Regulatory Framework. Pharmaceuticals. 2026; 19(3):519. https://doi.org/10.3390/ph19030519
Chicago/Turabian StylePanossian, Alexander. 2026. "Pleiotropic Bioactivity of Caterpillar Fungus, Orange Cordyceps, and Cordycepin: Insight from Integrated Network Pharmacology and Food and Drug Regulatory Framework" Pharmaceuticals 19, no. 3: 519. https://doi.org/10.3390/ph19030519
APA StylePanossian, A. (2026). Pleiotropic Bioactivity of Caterpillar Fungus, Orange Cordyceps, and Cordycepin: Insight from Integrated Network Pharmacology and Food and Drug Regulatory Framework. Pharmaceuticals, 19(3), 519. https://doi.org/10.3390/ph19030519
