Association of Erythrocyte-Related Indices with Immune-Related Adverse Events and Survival of Lung Cancer Patients Receiving Immune Checkpoint Inhibitors
Abstract
1. Introduction
2. Results
2.1. The Clinical Features of the Patients
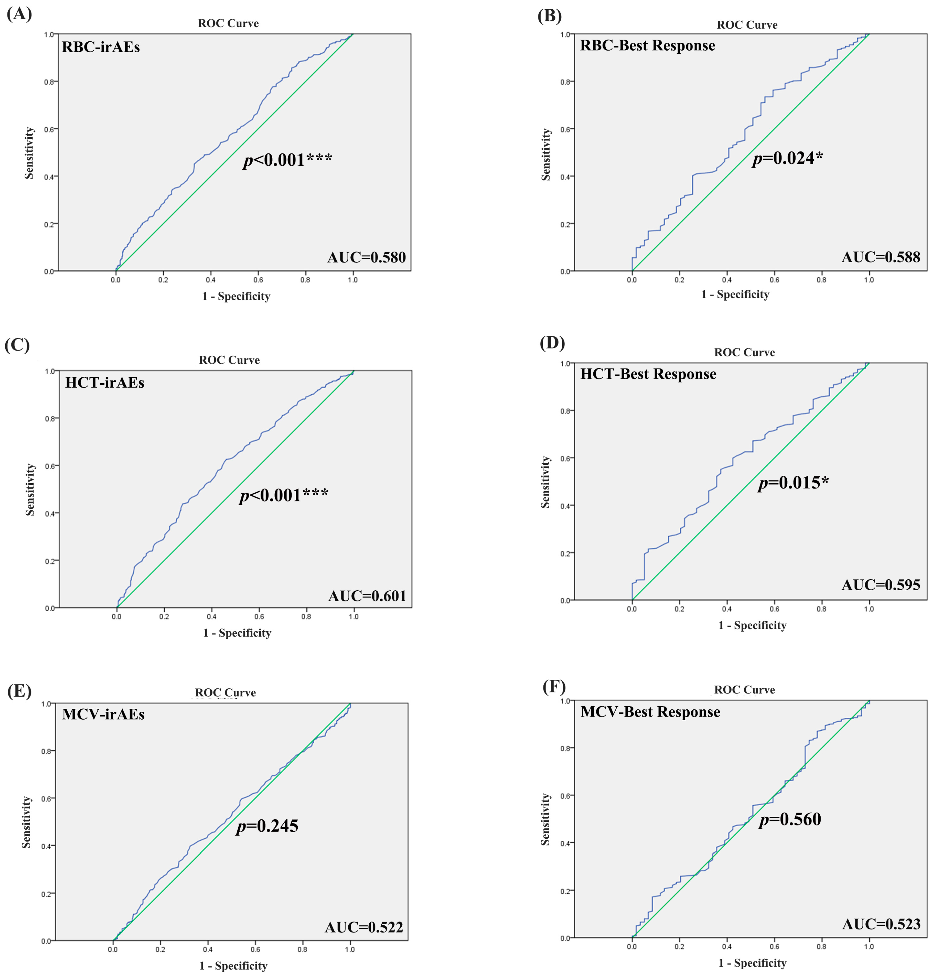
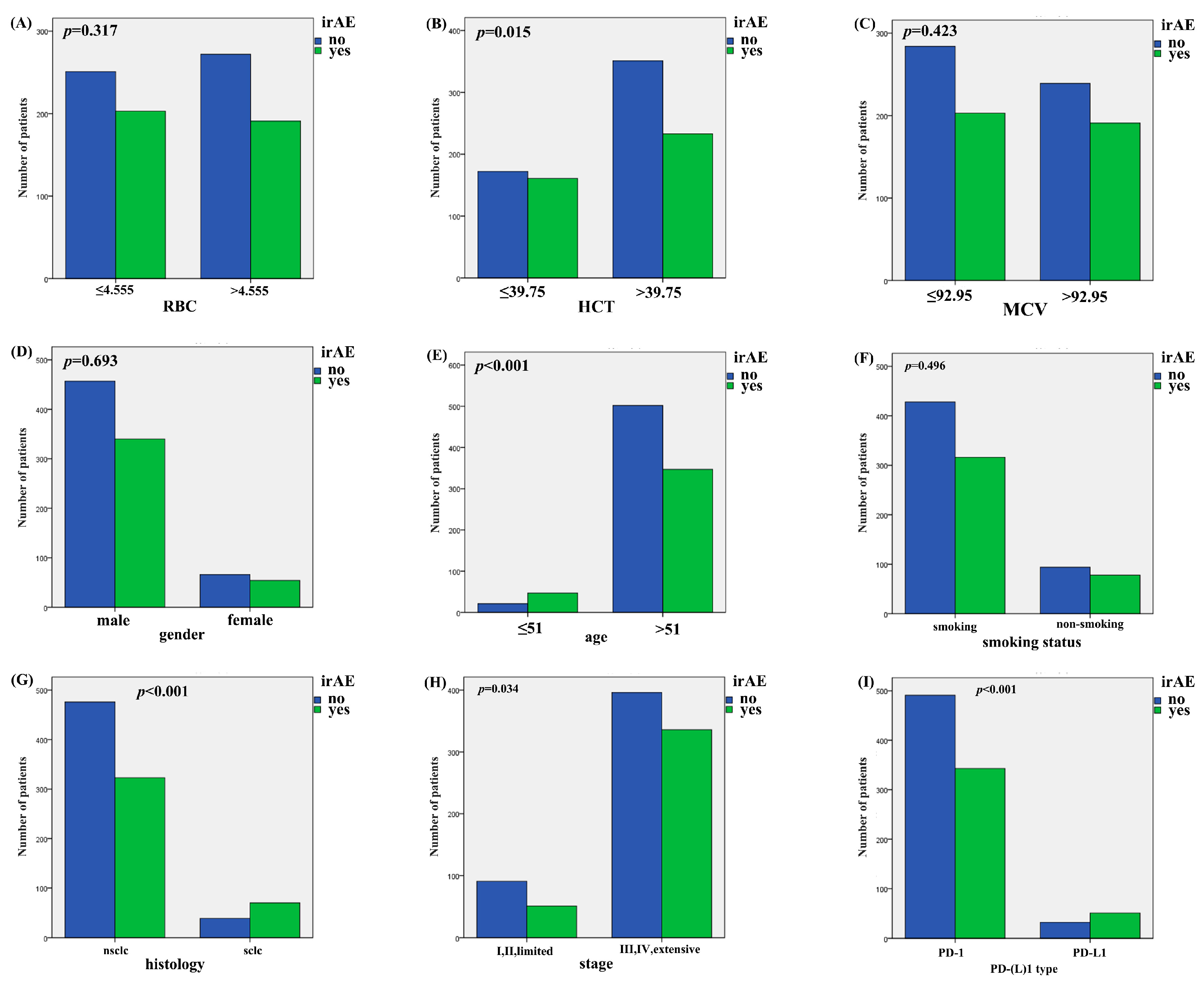
2.2. The Association of ERIs with irAEs
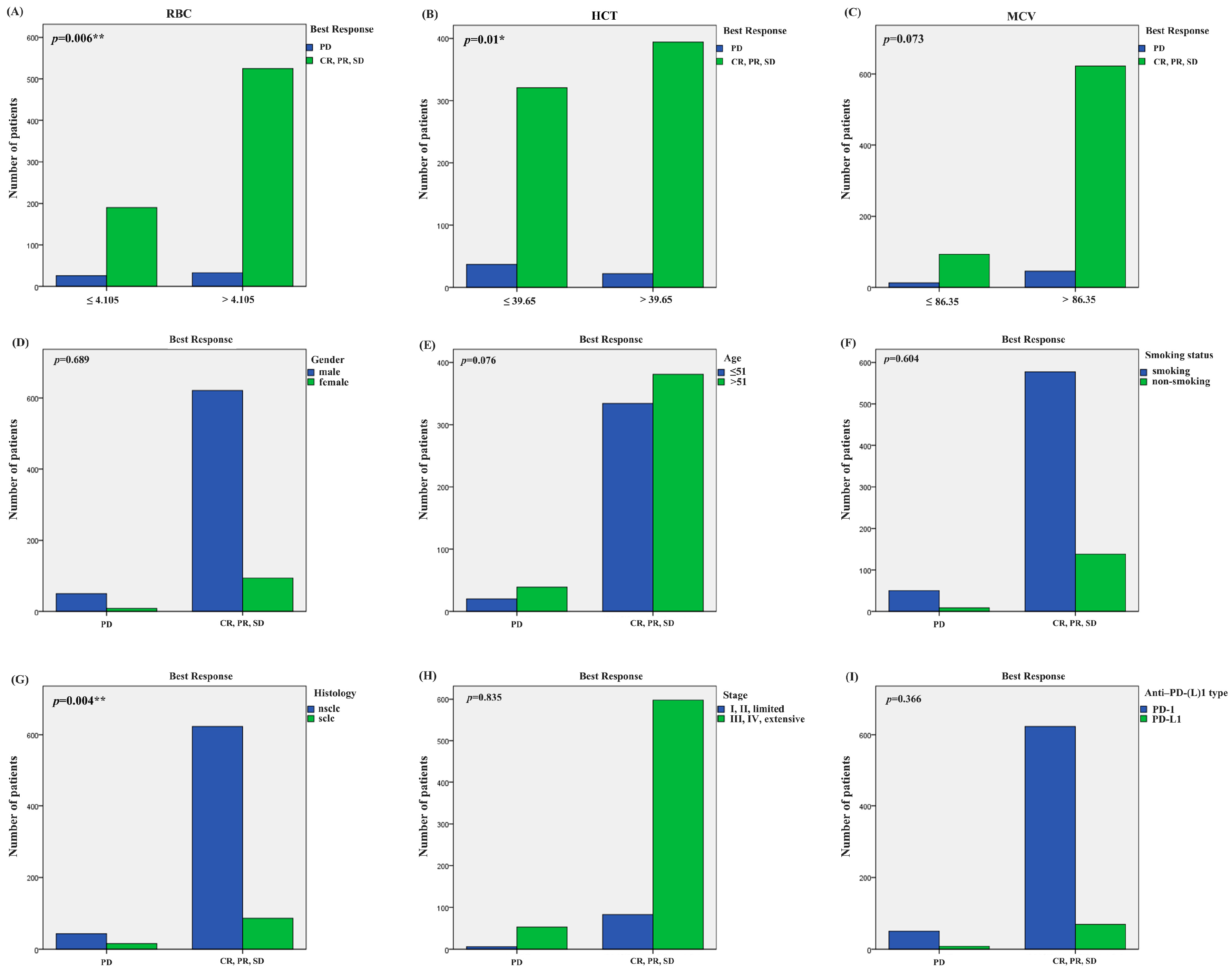
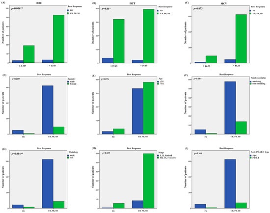
2.3. The Association of ERIs with Immunotherapy Efficacy
2.4. The Association of ERIs with irAEs and Immunotherapy Efficacy in Student’s t-Test and Kruskal–Wallis Test
2.5. The Relationship Between ERIs and Survival Outcomes in Lung Cancer Patients Undergoing Treatment with ICIs
3. Discussion
4. Patients and Methods
4.1. Patient Collection
4.2. Treatment and Data Collection
4.3. Statistical Analysis
5. Conclusions
Supplementary Materials
Author Contributions
Funding
Institutional Review Board Statement
Informed Consent Statement
Data Availability Statement
Conflicts of Interest
Abbreviations
| AUC | area under curve |
| PD-1 | programmed cell death 1 |
| PD-L1 | programmed cell death ligand 1 |
| ICIs | immune checkpoint inhibitors |
| irAEs | immune-related adverse reactions |
| RBC | red blood cell count |
| HCT | hematocrit |
| MCV | erythrocyte mean corpuscular volume |
| ERIs | erythrocyte related indices |
| NSCLC | non-small cell lung cancer |
| SCLC | small cell lung cancer |
| CTLA-4 | cytotoxic T lymphocyte-associated protein-4 |
| NLR | neutrophil to lymphocyte |
| PLR | platelet to lymphocyte |
| CR | complete response |
| PR | partial response |
| SD | stable disease |
| PD | progressive disease |
| OS | overall survival |
| PFS | progression-free survival |
| MST | median survival time |
References
- Siegel, R.L.; Giaquinto, A.N.; Jemal, A. Cancer statistics, 2024. CA Cancer J. Clin. 2024, 74, 12–49, Erratum in CA Cancer J Clin. 2024, 74, 203. [Google Scholar] [CrossRef] [PubMed]
- Vicidomini, G. Current Challenges and Future Advances in Lung Cancer: Genetics, Instrumental Diagnosis and Treatment. Cancers 2023, 15, 3710. [Google Scholar] [CrossRef]
- Li, Y.; Yan, B.; He, S. Advances and challenges in the treatment of lung cancer. Biomed. Pharmacother. 2023, 169, 115891. [Google Scholar] [CrossRef] [PubMed]
- Kratzer, T.B.; Bandi, P.; Freedman, N.D.; Smith, R.A.; Travis, W.D.; Jemal, A.; Siegel, R.L. Lung cancer statistics, 2023. Cancer 2024, 130, 1330–1348. [Google Scholar] [CrossRef]
- Sereno, M.; Higuera, O.; Cruz Castellanos, P.; Falagan, S.; Mielgo-Rubio, X.; Trujillo-Reyes, J.C.; Couñago, F. Immunotherapy combinations and chemotherapy sparing schemes in first line non-small cell lung cancer. World J. Clin. Oncol. 2021, 12, 1182–1192. [Google Scholar] [CrossRef] [PubMed]
- Hussaini, S.; Chehade, R.; Boldt, R.G.; Raphael, J.; Blanchette, P.; Maleki Vareki, S.; Fernandes, R. Association between immune-related side effects and efficacy and benefit of immune checkpoint inhibitors—A systematic review and meta-analysis. Cancer Treat. Rev. 2021, 92, 102134. [Google Scholar] [CrossRef]
- Chennamadhavuni, A.; Abushahin, L.; Jin, N.; Presley, C.J.; Manne, A. Risk Factors and Biomarkers for Immune-Related Adverse Events: A Practical Guide to Identifying High-Risk Patients and Rechallenging Immune Checkpoint Inhibitors. Front. Immunol. 2022, 13, 779691. [Google Scholar] [CrossRef]
- Poto, R.; Troiani, T.; Criscuolo, G.; Marone, G.; Ciardiello, F.; Tocchetti, C.G.; Varricchi, G. Holistic Approach to Immune Checkpoint Inhibitor-Related Adverse Events. Front. Immunol. 2022, 13, 804597. [Google Scholar] [CrossRef]
- Li, X.; Peng, W.; Wu, J.; Yeung, S.J.; Yang, R. Advances in immune checkpoint inhibitors induced-cardiotoxicity. Front. Immunol. 2023, 14, 1130438. [Google Scholar] [CrossRef]
- Shankar, B.; Zhang, J.; Naqash, A.R.; Forde, P.M.; Feliciano, J.L.; Marrone, K.A.; Ettinger, D.S.; Hann, C.L.; Brahmer, J.R.; Ricciuti, B.; et al. Multisystem Immune-Related Adverse Events Associated with Immune Checkpoint Inhibitors for Treatment of Non-Small Cell Lung Cancer. JAMA Oncol. 2020, 6, 1952–1956. [Google Scholar] [CrossRef]
- Blum, S.M.; Rouhani, S.J.; Sullivan, R.J. Effects of immune-related adverse events (irAEs) and their treatment on antitumor immune responses. Immunol. Rev. 2023, 318, 167–178. [Google Scholar] [CrossRef]
- Les, I.; Martinez, M.; Perez-Francisco, I.; Cabero, M.; Teijeira, L.; Arrazubi, V.; Torrego, N.; Campillo-Calatayud, A.; Elejalde, I.; Kochan, G.; et al. Predictive Biomarkers for Checkpoint Inhibitor Immune-Related Adverse Events. Cancers 2023, 15, 1629. [Google Scholar] [CrossRef]
- Das, S.; Johnson, D.B. Immune-related adverse events and anti-tumor efficacy of immune checkpoint inhibitors. J. Immunother. Cancer 2019, 7, 306. [Google Scholar] [CrossRef]
- Postow, M.A.; Sidlow, R.; Hellmann, M.D. Immune-Related Adverse Events Associated with Immune Checkpoint Blockade. N. Engl. J. Med. 2018, 378, 158–168. [Google Scholar] [CrossRef]
- Zhao, Y.; Ma, Y.; Fan, Y.; Zhou, J.; Yang, N.; Yu, Q.; Zhuang, W.; Song, W.; Wang, Z.M.; Li, B.; et al. A multicenter, open-label phase Ib/II study of cadonilimab (anti PD-1 and CTLA-4 bispecific antibody) monotherapy in previously treated advanced non-small-cell lung cancer (AK104-202 study). Lung Cancer 2023, 184, 107355. [Google Scholar] [CrossRef]
- Fan, Z.; Wu, C.; Chen, M.; Jiang, Y.; Wu, Y.; Mao, R.; Fan, Y. The generation of PD-L1 and PD-L2 in cancer cells: From nuclear chromatin reorganization to extracellular presentation. Acta Pharm. Sin. B 2022, 12, 1041–1053. [Google Scholar] [CrossRef]
- Ai, L.; Xu, A.; Xu, J. Roles of PD-1/PD-L1 Pathway: Signaling, Cancer, and Beyond. Adv. Exp. Med. Biol. 2020, 1248, 33–59. [Google Scholar] [PubMed]
- Fehlings, M.; Kim, L.; Guan, X.; Yuen, K.; Tafazzol, A.; Sanjabi, S.; A Zill, O.; Rishipathak, D.; Wallace, A.; Nardin, A.; et al. Single-cell analysis reveals clonally expanded tumor-associated CD57(+) CD8 T cells are enriched in the periphery of patients with metastatic urothelial cancer responding to PD-L1 blockade. J. Immunother. Cancer 2022, 10, e004759. [Google Scholar] [CrossRef] [PubMed]
- Khadela, A.; Chavda, V.P.; Postwala, H.; Ephraim, R.; Apostolopoulos, V.; Shah, Y. Configuring Therapeutic Aspects of Immune Checkpoints in Lung Cancer. Cancers 2023, 15, 543. [Google Scholar] [CrossRef] [PubMed]
- Dantoing, E.; Piton, N.; Salaun, M.; Thiberville, L.; Guisier, F. Anti-PD1/PD-L1 Immunotherapy for Non-Small Cell Lung Cancer with Actionable Oncogenic Driver Mutations. Int. J. Mol. Sci. 2021, 22, 6288. [Google Scholar] [CrossRef]
- Hayashi, H.; Nakagawa, K. Combination therapy with PD-1 or PD-L1 inhibitors for cancer. Int. J. Clin. Oncol. 2020, 25, 818–830. [Google Scholar] [CrossRef]
- Zheng, X.; Wei, H. Organ-Specific Immune-Related Adverse Events for PD-1 Antibodies in Lung Cancer Treatment. Front. Oncol. 2021, 11, 628243. [Google Scholar] [CrossRef]
- Thapa, B.; Fazal, S.; Parsi, M.; Rogers, H.J. Myeloproliferative Neoplasms. In StatPearls; StatPearls Publishing: Treasure Island, FL, USA, 2024. [Google Scholar]
- Yossef, R.; Krishna, S.; Sindiri, S.; Lowery, F.J.; Copeland, A.R.; Gartner, J.J.; Parkhurst, M.R.; Parikh, N.B.; Hitscherich, K.J.; Levi, S.T.; et al. Phenotypic signatures of circulating neoantigen-reactive CD8(+) T cells in patients with metastatic cancers. Cancer Cell 2023, 41, 2154–2165.e5. [Google Scholar] [CrossRef]
- Segal, B.H.; Giridharan, T.; Suzuki, S.; Khan, A.N.H.; Zsiros, E.; Emmons, T.R.; Yaffe, M.B.; Gankema, A.A.F.; Hoogeboom, M.; Goetschalckx, I.; et al. Neutrophil interactions with T cells, platelets, endothelial cells, and of course tumor cells. Immunol. Rev. 2023, 314, 13–35. [Google Scholar] [CrossRef]
- Kolchakova, D.; Moten, D.; Batsalova, T.; Dzhambazov, B. Tight Junction Protein Claudin-12 Is Involved in Cell Migration during Metastasis. Biomolecules 2021, 11, 636. [Google Scholar] [CrossRef]
- Brueckl, W.M.; Ficker, J.H.; Zeitler, G. Clinically relevant prognostic and predictive markers for immune-checkpoint-inhibitor (ICI) therapy in non-small cell lung cancer (NSCLC). BMC Cancer 2020, 20, 1185. [Google Scholar] [CrossRef] [PubMed]
- Pozorski, V.; Park, Y.; Mohamoud, Y.; Tesfamichael, D.; Emamekhoo, H.; Birbrair, A.; Albertini, M.R.; Ma, V.T. Neutrophil-to-eosinophil ratio as a biomarker for clinical outcomes in advanced stage melanoma patients treated with anti-PD-1 therapy. Pigment Cell Melanoma Res. 2023, 36, 501–511. [Google Scholar] [CrossRef] [PubMed]
- Lin, S.; Wang, Y.; Cai, X.; Ye, Y.; Chen, Y. Predictive indicators of immune therapy efficacy in hepatocellular carcinoma based on neutrophil-to-lymphocyte ratio. Int. Immunopharmacol. 2024, 128, 111477. [Google Scholar] [CrossRef] [PubMed]
- Mosca, M.; Nigro, M.C.; Pagani, R.; De Giglio, A.; Di Federico, A. Neutrophil-to-Lymphocyte Ratio (NLR) in NSCLC, Gastrointestinal, and Other Solid Tumors: Immunotherapy and Beyond. Biomolecules 2023, 13, 1803. [Google Scholar] [CrossRef]
- Peng, L.; Wang, Y.; Liu, F.; Qiu, X.; Zhang, X.; Fang, C.; Qian, X.; Li, Y. Peripheral blood markers predictive of outcome and immune-related adverse events in advanced non-small cell lung cancer treated with PD-1 inhibitors. Cancer Immunol. Immunother. 2020, 69, 1813–1822. [Google Scholar] [CrossRef]
- Zhou, K.; Cao, J.; Lin, H.; Liang, L.; Shen, Z.; Wang, L.; Peng, Z.; Mei, J. Prognostic role of the platelet to lymphocyte ratio (PLR) in the clinical outcomes of patients with advanced lung cancer receiving immunotherapy: A systematic review and meta-analysis. Front. Oncol. 2022, 12, 962173. [Google Scholar] [CrossRef] [PubMed]
- Wu, K.C.; Adedeji, A.O.; Zabka, T.S.; Hosseini, I.; Kenkre, R.; Getz, J.A.; Nguyen, T.; Decalf, T.; Bainbridge, T.W.; Chilton, J.A.; et al. Nonclinical pharmacokinetics, pharmacodynamics and safety assessment of a FLT3L-Fc molecule for cancer immunotherapy. Toxicol. Appl. Pharmacol. 2024, 483, 116837. [Google Scholar] [CrossRef]
- Wu, Y.X.; Tian, B.Y.; Ou, X.Y.; Wu, M.; Huang, Q.; Han, R.K.; He, X.; Chen, S.-L. A novel model for predicting prognosis and response to immunotherapy in nasopharyngeal carcinoma patients. Cancer Immunol. Immunother. 2024, 73, 14. [Google Scholar] [CrossRef]
- Lee, J.H.; Saxena, A.; Giaccone, G. Advancements in small cell lung cancer. Semin. Cancer Biol. 2023, 93, 123–128. [Google Scholar] [CrossRef]
- Mino-Kenudson, M.; Schalper, K.; Cooper, W.; Dacic, S.; Hirsch, F.R.; Jain, D.; Lopez-Rios, F.; Tsao, M.S.; Yatabe, Y.; Beasley, M.B.; et al. Predictive Biomarkers for Immunotherapy in Lung Cancer: Perspective from the International Association for the Study of Lung Cancer Pathology Committee. J. Thorac. Oncol. 2022, 17, 1335–1354. [Google Scholar] [CrossRef]
- Linehan, A.; Forde, P.M. Moving Immunotherapy Into Early-Stage Lung Cancer. Cancer J. 2020, 26, 543–547. [Google Scholar] [CrossRef] [PubMed]
- Sequeira, T.; Almodovar, M.T. Immunotherapy in Non-small Cell Lung Cancer: A Review. Port. J. Card. Thorac. Vasc. Surg. 2023, 30, 55–65. [Google Scholar]
- El Sayed, R.; Blais, N. Immunotherapy in Extensive-Stage Small Cell Lung Cancer. Curr. Oncol. 2021, 28, 4093–4108. [Google Scholar] [CrossRef]
- Kennedy, L.B.; Salama, A.K.S. A review of cancer immunotherapy toxicity. CA Cancer J. Clin. 2020, 70, 86–104. [Google Scholar] [CrossRef]
- Caliman, E.; Fancelli, S.; Petroni, G.; Gatta Michelet, M.R.; Cosso, F.; Ottanelli, C.; Mazzoni, F.; Voltolini, L.; Pillozzi, S.; Antonuzzo, L. Challenges in the treatment of small cell lung cancer in the era of immunotherapy and molecular classification. Lung Cancer 2023, 175, 88–100. [Google Scholar] [CrossRef] [PubMed]
- Tang, S.; Qin, C.; Hu, H.; Liu, T.; He, Y.; Guo, H.; Yan, H.; Zhang, J.; Tang, S.; Zhou, H. Immune Checkpoint Inhibitors in Non-Small Cell Lung Cancer: Progress, Challenges, and Prospects. Cells 2022, 11, 320. [Google Scholar] [CrossRef] [PubMed]
- Salman, S.; Meyers, D.J.; Wicks, E.E.; Lee, S.N.; Datan, E.; Thomas, A.M.; Anders, N.M.; Hwang, Y.; Lyu, Y.; Yang, Y.; et al. HIF inhibitor 32-134D eradicates murine hepatocellular carcinoma in combination with anti-PD1 therapy. J. Clin. Investig. 2022, 132, e156774. [Google Scholar] [CrossRef] [PubMed]
- Korsen, J.A.; Gutierrez, J.A.; Tully, K.M.; Carter, L.M.; Samuels, Z.V.; Khitrov, S.; Poirier, J.T.; Rudin, C.M.; Chen, Y.; Morris, M.J.; et al. Delta-like ligand 3-targeted radioimmunotherapy for neuroendocrine prostate cancer. Proc. Natl. Acad. Sci. USA 2022, 119, e2203820119. [Google Scholar] [CrossRef]
- Li, Y.; Li, Y.; Bie, Z.; Li, B.; Ma, J.; Li, X. Combination of thermal ablation and activated functional killer cells immunotherapy for cancer: A retrospective study. J. Cancer Res. Ther. 2021, 17, 797–802. [Google Scholar] [CrossRef]
- Bazinet, A.; Bravo, G.M. New Approaches to Myelodysplastic Syndrome Treatment. Curr. Treat. Options Oncol. 2022, 23, 668–687. [Google Scholar] [CrossRef]
- Wang, R.; Zhang, C.; Cao, Y.; Wang, J.; Jiao, S.; Zhang, J.; Wang, M.; Tang, P.; Ouyang, Z.; Liang, W.; et al. Blockade of dual immune checkpoint inhibitory signals with a CD47/PD-L1 bispecific antibody for cancer treatment. Theranostics 2023, 13, 148–160. [Google Scholar] [CrossRef]
- Wu, M.; Luo, Z.; Cai, Z.; Mao, Q.; Li, Z.; Li, H.; Zhang, C.; Zhang, Y.; Zhong, A.; Wu, L.; et al. Spleen-targeted neoantigen DNA vaccine for personalized immunotherapy of hepatocellular carcinoma. EMBO Mol. Med. 2023, 15, e16836. [Google Scholar] [CrossRef]
- Li, J.; Wang, S.; Lin, X.; Cao, Y.; Cai, Z.; Wang, J.; Zhang, Z.; Liu, X.; Wu, M.; Yao, C. Red Blood Cell-Mimic Nanocatalyst Triggering Radical Storm to Augment Cancer Immunotherapy. Nanomicro Lett. 2022, 14, 57. [Google Scholar] [CrossRef]
- Krizova, L.; Benesova, I.; Zemanova, P.; Spacek, J.; Strizova, Z.; Humlova, Z.; Mikulova, V.; Petruzelka, L.; Vocka, M. Immunophenotyping of peripheral blood in NSCLC patients discriminates responders to immune checkpoint inhibitors. J. Cancer Res. Clin. Oncol. 2024, 150, 99. [Google Scholar] [CrossRef]
- Maffezzoli, M.; Santoni, M.; Mazzaschi, G.; Rodella, S.; Lai, E.; Maruzzo, M.; Basso, U.; Bimbatti, D.; Iacovelli, R.; Anghelone, A.; et al. External validation of a red cell-based blood prognostic score in patients with metastatic renal cell carcinoma treated with first-line immunotherapy combinations. Clin. Exp. Metastasis 2024, 41, 117–129. [Google Scholar] [CrossRef] [PubMed]
- Canny, S.P.; Orozco, S.L.; Thulin, N.K.; Hamerman, J.A. Immune Mechanisms in Inflammatory Anemia. Annu. Rev. Immunol. 2023, 41, 405–429. [Google Scholar] [CrossRef] [PubMed]
- Patel, V.J.; Joharapurkar, A.A.; Kshirsagar, S.G.; Patel, M.S.; Savsani, H.H.; Rakhasiya, M.H.; Dodiya, H.S.; Jain, M.R. Inhibition of alternative complement system and prolyl hydroxylase ameliorates anaemia of inflammation. Inflammopharmacology 2025, 33, 825–832. [Google Scholar] [CrossRef] [PubMed]
- Gao, B.; Hu, G.; Sun, B.; Li, W.; Yang, H. BNIP3+ fibroblasts associated with hypoxia and inflammation predict prognosis and immunotherapy response in pancreatic ductal adenocarcinoma. J. Transl. Med. 2024, 22, 937. [Google Scholar] [CrossRef]
- Chansky, K.; Detterbeck, F.C.; Nicholson, A.G.; Rusch, V.W.; Vallieres, E.; Groome, P.; Kennedy, C.; Krasnik, M.; Peake, M.; Shemanski, L.; et al. The IASLC Lung Cancer Staging Project: External Validation of the Revision of the TNM Stage Groupings in the Eighth Edition of the TNM Classification of Lung Cancer. J. Thorac. Oncol. 2017, 12, 1109–1121. [Google Scholar] [CrossRef]
- Freites-Martinez, A.; Santana, N.; Arias-Santiago, S.; Viera, A. Using the Common Terminology Criteria for Adverse Events (CTCAE—Version 5.0) to Evaluate the Severity of Adverse Events of Anticancer Therapies. Actas Dermo-Sifiliogr. 2021, 112, 90–92. [Google Scholar]
- Pavan, A.; Calvetti, L.; Dal Maso, A.; Attili, I.; Del Bianco, P.; Pasello, G.; Guarneri, V.; Aprile, G.; Conte, P.; Bonanno, L. Peripheral Blood Markers Identify Risk of Immune-Related Toxicity in Advanced Non-Small Cell Lung Cancer Treated with Immune-Checkpoint Inhibitors. Oncologist 2019, 24, 1128–1136. [Google Scholar] [CrossRef] [PubMed]





| Characteristic | irAEs, No. (%) | ||
|---|---|---|---|
| None | Single | Multiple | |
| No. | 523 | 166 | 231 |
| Age, median (range), y | 49 (34–80) | 55 (34–75) | 63 (38–83) |
| Gender | |||
| Male | 457 (87.4) | 145 (86.8) | 198 (85.7) |
| Female | 66 (12.6) | 21 (12.7) | 33 (14.3) |
| Smoking status | |||
| Ever | 428 (81.8) | 141 (84.9) | 178 (77.1) |
| Never | 94 (18.0) | 25 (15.1) | 53 (22.9) |
| NA | 1 (0.2) | 0 (0.0) | 0 (0.0) |
| Stage at diagnosis | |||
| I, II, limited | 78 (16.5) | 46 (28.8) | 8 (3.5) |
| III, IV, extensive | 396 (83.5) | 114 (71.2) | 222 (96.5) |
| Histology | |||
| Adenocarcinoma | 150 (28.7) | 49 (29.5) | 84 (36.4) |
| Squamous cell | 323 (61.8) | 91 (54.8) | 101 (43.7) |
| NOS | 50 (9.6) | 26 (15.7) | 46 (19.9) |
| Anti-PD-(L)1 type | |||
| PD-1 | 460 (93.5) | 134 (81.7) | 210 (90.9) |
| PD-L1 | 32 (6.5) | 30 (18.3) | 21 (9.1) |
| irAEs to first therapy, median (range), wk | NA | 11 (0–133.71) | 3 (0–80.43) |
| Best treatment response | |||
| CR, PR, SD | 383 (73.2) | 129 (77.7) | 203 (87.9) |
| PD | 21 (4.0) | 16 (9.6) | 22 (9.5) |
| NA | 119 (22.8) | 21 (12.7) | 6 (2.6) |
| Variables | Patients N (%) | Death N (%) | MST-PFS (Year) | MST-OS (Year) |
|---|---|---|---|---|
| Lung cancer | 504 | 37 | 0.98 | 0.68 |
| NSCLC | 403 (80.0) | 24 (64.9) | 1.07 | 0.69 |
| SCLC | 101 (20.0) | 13 (35.1) | 0.75 | 0.52 |
| Age | ||||
| ≤62 | 261 (51.8) | 13 (35.1) | 1.02 | 0.68 |
| >62 | 243(48.2) | 24 (64.9) | 0.95 | 0.63 |
| Clinical stage | ||||
| I/II/LD | 17 (3.4) | 0 (0) | 1.30 | NA |
| III/IV/ED | 487 (96.6) | 37 (100.0) | 0.98 | 0.68 |
| Smoking status | ||||
| Non-smoker | 113 (22.4) | 31 (83.8) | 1.04 | 0.52 |
| Smoker | 391 (77.6) | 6 (16.2) | 0.98 | 0.69 |
| Gender | ||||
| Male | 429 (85.1) | 32 (86.5) | 0.99 | 0.68 |
| Female | 75 (14.9) | 5 (13.5) | 0.98 | 0.66 |
| Metastasis | ||||
| PD-1 | 443 (87.9) | 33 (89.2) | 0.67 | 0.68 |
| PD-L1 | 61 (12.1) | 4 (10.8) | 1.06 | 0.93 |
| Factors | Beta | p Value | OR (95%CI) |
|---|---|---|---|
| Histology | 0.927 | <0.001 | 2.528 (1.651~3.869) |
| age | −1.119 | <0.001 | 0.327 (0.190~0.560) |
| HCT | −0.305 | 0.035 | 0.737 (0.555~0.979) |
| constant | 0.893 |
| Factors | Beta | p Value | OR (95%CI) |
|---|---|---|---|
| Histology | 0.953 | 0.003 | 2.593 (1.382, 4.864) |
| RBC | −0.762 | 0.007 | 0.467 (0.268~0.812) |
| MCV | −0.820 | 0.017 | 0.441 (0.224~0.865) |
| constant | −1.464 |
| Factors | Methods | p Value | |
|---|---|---|---|
| irAEs | Best Response | ||
| RBC | Student’s t-test | <0.001 | 0.011 |
| HCT | Kruskal–Wallis test | <0.001 | 0.015 |
| MCV | Kruskal–Wallis test | 0.232 | 0.560 |
Disclaimer/Publisher’s Note: The statements, opinions and data contained in all publications are solely those of the individual author(s) and contributor(s) and not of MDPI and/or the editor(s). MDPI and/or the editor(s) disclaim responsibility for any injury to people or property resulting from any ideas, methods, instructions or products referred to in the content. |
© 2025 by the authors. Licensee MDPI, Basel, Switzerland. This article is an open access article distributed under the terms and conditions of the Creative Commons Attribution (CC BY) license (https://creativecommons.org/licenses/by/4.0/).
Share and Cite
Wang, Z.; Zou, T.; Liao, C.-W.; Li, X.-P.; Liu, Z.-Q.; Liu, Z.-F.; Chen, J. Association of Erythrocyte-Related Indices with Immune-Related Adverse Events and Survival of Lung Cancer Patients Receiving Immune Checkpoint Inhibitors. Pharmaceuticals 2025, 18, 1299. https://doi.org/10.3390/ph18091299
Wang Z, Zou T, Liao C-W, Li X-P, Liu Z-Q, Liu Z-F, Chen J. Association of Erythrocyte-Related Indices with Immune-Related Adverse Events and Survival of Lung Cancer Patients Receiving Immune Checkpoint Inhibitors. Pharmaceuticals. 2025; 18(9):1299. https://doi.org/10.3390/ph18091299
Chicago/Turabian StyleWang, Zhan, Ting Zou, Chen-Wei Liao, Xiang-Ping Li, Zhao-Qian Liu, Ze-Fu Liu, and Juan Chen. 2025. "Association of Erythrocyte-Related Indices with Immune-Related Adverse Events and Survival of Lung Cancer Patients Receiving Immune Checkpoint Inhibitors" Pharmaceuticals 18, no. 9: 1299. https://doi.org/10.3390/ph18091299
APA StyleWang, Z., Zou, T., Liao, C.-W., Li, X.-P., Liu, Z.-Q., Liu, Z.-F., & Chen, J. (2025). Association of Erythrocyte-Related Indices with Immune-Related Adverse Events and Survival of Lung Cancer Patients Receiving Immune Checkpoint Inhibitors. Pharmaceuticals, 18(9), 1299. https://doi.org/10.3390/ph18091299

