Cold Atmospheric Plasma Improves the Therapeutic Success of Photodynamic Therapy on UV-B-Induced Squamous Cell Carcinoma in Hairless Mice
Abstract
1. Introduction
2. Results
2.1. Generation of UV-B-Induced Skin Tumors in SKH1 Hairless Mice
2.2. Evaluation of Therapeutic Outcomes
2.2.1. Cold Atmospheric Plasma in Combination with Photodynamic Therapy Strongly Reduces the Growth of UV-B-Induced Skin Lesions
- Complete response: The lesion was eliminated.
- Good response: Reduction in lesion size was greater than 50%.
- Less response: Reduction in lesion size was 30% to 50%.
- No response: Reduction in lesion size was less than 30%.
- Progress: The lesion continued growing.
2.2.2. Cold Atmospheric Plasma in Combination with Photodynamic Therapy Reduces the Epidermal Thickness

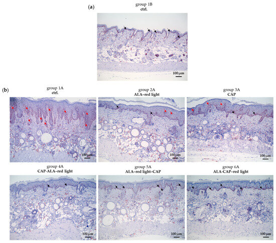
2.2.3. Cold Atmospheric Plasma in Combination with Photodynamic Therapy Reduces Proliferation of Keratinocytes in Affected Skin Areas
2.2.4. Cold Atmospheric Plasma in Combination with Photodynamic Therapy Induces Apoptosis in Affected Skin Areas
2.2.5. Cold Atmospheric Plasma in Combination with Photodynamic Therapy Reduces DNA Damage in Affected Skin Areas
2.3. Evaluation of Molecular Changes
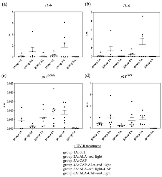
2.3.1. Cold Atmospheric Plasma in Combination with Photodynamic Therapy Induces Anti-Tumor Immune Responses
2.3.2. Cold Atmospheric Plasma in Combination with Photodynamic Therapy Induces Apoptosis-Related Molecules

3. Discussion
4. Materials and Methods
4.1. Animals
4.2. UV-B-Induced Animal Model of Actinic Keratosis and Squamous Cell Carcinoma
4.3. Plasma Device
4.4. Treatment of Mice with Cold Atmospheric Plasma
4.5. Treatment of Mice with 5-Aminolaevulinic Acid (ALA)
4.6. Light Source and Red Light Irradiation of Mice
4.7. Macroscopic Evaluation of Therapeutic Outcomes
4.8. Histological Evaluation of UV-B-Induced Tumor Development
4.9. Evaluation of the Epidermal Thickness
4.10. Histological Evaluation of Proliferation and DNA Damage
4.11. Histological Evaluation of Apoptosis
4.12. Isolation of Ribonucleic Acid (RNA) and Reverse Transcription
4.13. Quantitative Real-Time Polymerase Chain Reaction (PCR) Analysis
4.14. Statistical Analysis
5. Conclusions
Author Contributions
Funding
Institutional Review Board Statement
Informed Consent Statement
Data Availability Statement
Acknowledgments
Conflicts of Interest
Abbreviations
| CAP | Cold atmospheric plasma |
| PDT | Photodynamic therapy |
| ALA | 5-aminolaevulinic acid |
| AK | Actinic keratosis |
| SCC | Squamous cell carcinoma |
| UV-B | Ultraviolet B |
| ROS | Reactive oxygen species |
| RONS | Reactive oxygen and nitrogen species |
| SMD | Surface micro-discharge |
| IL-6 | Interleukin-6 |
| IL-8 | Interleukin-8 |
| AEC | 3-Amino-9-Ethylcarbazole |
| TUNEL | Terminal deoxynucleotidyl transferase (TdT) dUTP Nick-End Labeling |
| PpIX | Protoporphyrin IX |
References
- Kandolf, L.; Peris, K.; Malvehy, J.; Mosterd, K.; Heppt, M.V.; Fargnoli, M.C.; Berking, C.; Arenberger, P.; Bylaite-Bučinskiene, M.; Del Marmol, V. European consensus-based interdisciplinary guideline for diagnosis, treatment and prevention of actinic keratoses, epithelial UV-induced dysplasia and field cancerization on behalf of European Association of Dermato-Oncology, European Dermatology Forum, European Academy of Dermatology and Venereology and Union of Medical Specialists (Union Européenne des Médecins Spécialistes). J. Eur. Acad. Dermatol. Venereol. 2024, 38, 1024–1047. [Google Scholar] [PubMed]
- George, C.D.; Lee, T.; Hollestein, L.M.; Asgari, M.M.; Nijsten, T. Global epidemiology of actinic keratosis in the general population: A systematic review and meta-analysis. Br. J. Dermatol. 2024, 190, 465–476. [Google Scholar] [CrossRef] [PubMed]
- Green, A.C.; Soyer, H.; Prow, T.; Jemec, G. (Eds.) Epidemiology of actinic keratoses. Curr. Probl. Dermatol. 2014, 46, 1–7. [Google Scholar]
- Rosen, T.; Lebwohl, M.G. Prevalence and awareness of actinic keratosis: Barriers and opportunities. J. Am. Acad. Dermatol. 2013, 68, S2–S9. [Google Scholar] [CrossRef]
- Agarwal, K.; Podder, I.; Cockerell, C.J.; Kassir, M.; Grabbe, S.; Goldust, M. Update on diagnosis and treatment of actinic keratosis. Dermatol. Rev. 2022, 3, 359–368. [Google Scholar] [CrossRef]
- Heppt, M.V.; Leiter, U.; Steeb, T.; Alter, M.; Amaral, T.; Bauer, A.; Bechara, F.G.; Becker, J.C.; Breitbart, E.W.; Breuninger, H. S3 guideline „actinic keratosis and cutaneous squamous cell carcinoma “–update 2023, part 1: Treatment of actinic keratosis, actinic cheilitis, cutaneous squamous cell carcinoma in situ (Bowen’s disease), occupational disease and structures of care. JDDG J. der Dtsch. Dermatol. Gesellschaft. 2023, 21, 1249–1262. [Google Scholar] [CrossRef] [PubMed]
- Pignatelli, P.; Umme, S.; D’antonio, D.L.; Piattelli, A.; Curia, M.C. Reactive oxygen species produced by 5-aminolevulinic acid photodynamic therapy in the treatment of cancer. Int. J. Mol. Sci. 2023, 24, 8964. [Google Scholar] [CrossRef]
- Collaud, S.; Juzeniene, A.; Moan, J.; Lange, N. On the selectivity of 5-aminolevulinic acid-induced protoporphyrin IX formation. Curr. Med. Chem.-Anti-Cancer Agents 2004, 4, 301–316. [Google Scholar] [CrossRef]
- Solban, N.; Rizvi, I.; Hasan, T. Targeted photodynamic therapy. Lasers Surg. Med. Off. J. Am. Soc. Laser Med. Surg. 2006, 38, 522–531. [Google Scholar] [CrossRef]
- Morton, C.; Szeimies, R.M.; Basset-Seguin, N.; Calzavara-Pinton, P.; Gilaberte, Y.; Haedersdal, M.; Hofbauer, G.; Hunger, R.; Karrer, S.; Piaserico, S. European Dermatology Forum guidelines on topical photodynamic therapy 2019 Part 1: Treatment delivery and established indications–actinic keratoses, Bowen’s disease and basal cell carcinomas. J. Eur. Acad. Dermatol. Venereol. 2019, 33, 2225–2238. [Google Scholar] [CrossRef]
- Harth, Y.; Hirshowitz, B.; Kaplan, B. Modified Topical Photodynamic Therapy of Superficial Skin Tumors, Utilizing Aminolevulinic Acid, Penetration Enhancers, Red Light, and Hypertherntia. Dermatol. Surg. 1998, 24, 723–726. [Google Scholar] [CrossRef]
- Xu, S.; Wang, X.; Xu, W.; Xia, Y.; Zhang, C. Evaluation of photodynamic therapy of skin cancers with δ-aminolevulinic acid. Chin. Med. J. 2002, 115, 1141–1145. [Google Scholar] [PubMed]
- Rossi, R.; Puccioni, M.; Mavilia, L.; Campolmi, P.; Mori, M.; Cappuccini, A.; Reali, E.; Cappugi, P. Squamous cell carcinoma of the eyelid treated with photodynamic therapy. J. Chemother. 2004, 16, 306–309. [Google Scholar] [CrossRef] [PubMed]
- Calzavara-Pinton, P.; Venturini, M.; Sala, R.; Capezzera, R.; Parrinello, G.; Specchia, C.; Zane, C. Methylaminolaevulinate-based photodynamic therapy of Bowen’s disease and squamous cell carcinoma. Br. J. Dermatol. 2008, 159, 137–144. [Google Scholar] [CrossRef]
- Farhadi, M.; Kamrava, S.K.; Behzadi, A.H.; Rafiezadeh, P.; Asghari, A.; Rezvan, F.; Maleki, S. The efficacy of photodynamic therapy in treatment of recurrent squamous cell and basal cell carcinoma. J. Drugs Dermatol. JDD 2010, 9, 122–126. [Google Scholar] [PubMed]
- Pasqual-Melo, G.; Nascimento, T.; Sanches, L.J.; Blegniski, F.P.; Bianchi, J.K.; Sagwal, S.K.; Berner, J.; Schmidt, A.; Emmert, S.; Weltmann, K.-D. Plasma treatment limits cutaneous squamous cell carcinoma development in vitro and in vivo. Cancers 2020, 12, 1993. [Google Scholar] [CrossRef]
- Wirtz, M.; Stoffels, I.; Dissemond, J.; Schadendorf, D.; Roesch, A. Actinic keratoses treated with cold atmospheric plasma. J. Eur. Acad. Dermatol. Venereol. 2018, 32, e37–e39. [Google Scholar] [CrossRef]
- Arisi, M.; Soglia, S.; Guasco Pisani, E.; Venturuzzo, A.; Gelmetti, A.; Tomasi, C.; Zane, C.; Rossi, M.; Lorenzi, L.; Calzavara-Pinton, P. Cold atmospheric plasma (CAP) for the treatment of actinic keratosis and skin field cancerization: Clinical and high-frequency ultrasound evaluation. Dermatol. Ther. 2021, 11, 855–866. [Google Scholar] [CrossRef]
- Pereira, S.; Pinto, E.; Ribeiro, P.; Sério, S. Study of a Cold Atmospheric Pressure Plasma jet device for indirect treatment of Squamous Cell Carcinoma. Clin. Plasma Med. 2019, 13, 9–14. [Google Scholar] [CrossRef]
- Guerrero-Preston, R.; Ogawa, T.; Uemura, M.; Shumulinsky, G.; Valle, B.L.; Pirini, F.; Ravi, R.; Sidransky, D.; Keidar, M.; Trink, B. Cold atmospheric plasma treatment selectively targets head and neck squamous cell carcinoma cells. Int. J. Mol. Med. 2014, 34, 941–946. [Google Scholar] [CrossRef]
- Bekeschus, S.; Singer, D.; Ratnayake, G.; Ruhnau, K.; Ostrikov, K.; Thompson, E.W. Rationales of Cold Plasma Jet Therapy in Skin Cancer. Exp. Dermatol. 2025, 34, e70063. [Google Scholar] [CrossRef] [PubMed]
- Lee, J.-H.; Om, J.-Y.; Kim, Y.-H.; Kim, K.-M.; Choi, E.-H.; Kim, K.-N. Selective killing effects of cold atmospheric pressure plasma with NO induced dysfunction of epidermal growth factor receptor in oral squamous cell carcinoma. PLoS ONE 2016, 11, e0150279. [Google Scholar] [CrossRef] [PubMed]
- Lademann, O.; Richter, H.; Meinke, M.C.; Patzelt, A.; Kramer, A.; Hinz, P.; Weltmann, K.D.; Hartmann, B.; Koch, S. Drug delivery through the skin barrier enhanced by treatment with tissue-tolerable plasma. Exp. Dermatol. 2011, 20, 488–490. [Google Scholar] [CrossRef]
- Sreedevi, P.; Suresh, K. Cold atmospheric plasma mediated cell membrane permeation and gene delivery-empirical interventions and pertinence. Adv. Colloid Interface Sci. 2023, 320, 102989. [Google Scholar] [CrossRef]
- Leduc, M.; Guay, D.; Leask, R.; Coulombe, S. Cell permeabilization using a non-thermal plasma. New J. Phys. 2009, 11, 115021. [Google Scholar] [CrossRef]
- Kalghatgi, S.; Tsai, C.; Gray, R.; Pappas, D. Transdermal drug delivery using cold plasmas. In Proceedings of the 22nd International Symposium on Plasma Chemistry, Antwerp, Belgium, 5–10 July 2015. [Google Scholar]
- Gelker, M.; Müller-Goymann, C.C.; Viöl, W. Permeabilization of human stratum corneum and full-thickness skin samples by a direct dielectric barrier discharge. Clin. Plasma Med. 2018, 9, 34–40. [Google Scholar] [CrossRef]
- Choi, S.-H.; Kim, K.-H.; Song, K.-H. Effect of methyl aminolevulinate photodynamic therapy with and without ablative fractional laser treatment in patients with microinvasive squamous cell carcinoma: A randomized clinical trial. JAMA Dermatol. 2017, 153, 289–295. [Google Scholar] [CrossRef]
- Wenande, E.; Phothong, W.; Bay, C.; Karmisholt, K.E.; Hædersdal, M.; Togsverd-Bo, K. Efficacy and safety of daylight photodynamic therapy after tailored pretreatment with ablative fractional laser or microdermabrasion: A randomized, side-by-side, single-blind trial in patients with actinic keratosis and large-area field cancerization. Br. J. Dermatol. 2019, 180, 756–764. [Google Scholar] [CrossRef]
- Ha, J.-H.; Kim, Y.-J. Photodynamic and Cold Atmospheric Plasma Combination Therapy Using Polymeric Nanoparticles for the Synergistic Treatment of Cervical Cancer. Int. J. Mol. Sci. 2021, 22, 1172. [Google Scholar] [CrossRef]
- Karrer, S.; Unger, P.; Spindler, N.; Szeimies, R.-M.; Bosserhoff, A.K.; Berneburg, M.; Arndt, S. Optimization of the Treatment of Squamous Cell Carcinoma Cells by Combining Photodynamic Therapy with Cold Atmospheric Plasma. Int. J. Mol. Sci. 2024, 25, 10808. [Google Scholar] [CrossRef]
- Harada, A.; Sekido, N.; Akahoshi, T.; Wada, T.; Mukaida, N.; Matsushima, K. Essential involvement of interleukin-8 (IL-8) in acute inflammation. J. Leukoc. Biol. 1994, 56, 559–564. [Google Scholar] [CrossRef]
- Sanguinete, M.M.M.; Oliveira, P.H.D.; Martins-Filho, A.; Micheli, D.C.; Tavares-Murta, B.M.; Murta, E.F.C.; Nomelini, R.S. Serum IL-6 and IL-8 correlate with prognostic factors in ovarian cancer. Immunol. Investig. 2017, 46, 677–688. [Google Scholar] [CrossRef] [PubMed]
- Wu, J.; Gao, F.-X.; Wang, C.; Qin, M.; Han, F.; Xu, T.; Hu, Z.; Long, Y.; He, X.-M.; Deng, X. IL-6 and IL-8 secreted by tumour cells impair the function of NK cells via the STAT3 pathway in oesophageal squamous cell carcinoma. J. Exp. Clin. Cancer Res. 2019, 38, 321. [Google Scholar] [CrossRef]
- Pries, R.; Thiel, A.; Brocks, C.; Wollenberg, B. Secretion of tumor-promoting and immune suppressive cytokines by cell lines of head and neck squamous cell carcinoma. In Vivo 2006, 20, 45–48. [Google Scholar] [PubMed]
- Moy, L.S.; Frost, D.; Moy, S. Photodynamic therapy for photodamage, actinic keratosis, and acne in the cosmetic practice. Facial Plast. Surg. Clin. 2020, 28, 135–148. [Google Scholar] [CrossRef]
- Babilas, P.; Schreml, S.; Landthaler, M.; Szeimies, R.M. Photodynamic therapy in dermatology: State-of-the-art. Photodermatol. Photoimmunol. Photomed. 2010, 26, 118–132. [Google Scholar] [CrossRef] [PubMed]
- Metelmann, H.-R.; Seebauer, C.; Miller, V.; Fridman, A.; Bauer, G.; Graves, D.B.; Pouvesle, J.-M.; Rutkowski, R.; Schuster, M.; Bekeschus, S. Clinical experience with cold plasma in the treatment of locally advanced head and neck cancer. Clin. Plasma Med. 2018, 9, 6–13. [Google Scholar] [CrossRef]
- Agostinis, P.; Berg, K.; Cengel, K.A.; Foster, T.H.; Girotti, A.W.; Gollnick, S.O.; Hahn, S.M.; Hamblin, M.R.; Juzeniene, A.; Kessel, D. Photodynamic therapy of cancer: An update. CA Cancer J. Clin. 2011, 61, 250–281. [Google Scholar] [CrossRef]
- Chen, Z.; Wirz, R.E. Cold Atmospheric Plasma (CAP). In Cold Atmospheric Plasma (CAP) Technology and Applications; Springer: Cham, Switzerland, 2021; pp. 7–22. [Google Scholar]
- Lu, Y.; Song, H.; Bai, F.; Li, L.; Wang, Q.; Chen, G.; Chen, Z. Cold atmospheric plasma for cancer treatment: Molecular and immunological mechanisms. IEEE Trans. Radiat. Plasma Med. Sci. 2022, 6, 916–927. [Google Scholar] [CrossRef]
- Khalaf, A.T.; Abdalla, A.N.; Ren, K.; Liu, X. Cold atmospheric plasma (CAP): A revolutionary approach in dermatology and skincare. Eur. J. Med. Res. 2024, 29, 487. [Google Scholar] [CrossRef]
- Heinlin, J.; Isbary, G.; Stolz, W.; Morfill, G.; Landthaler, M.; Shimizu, T.; Steffes, B.; Nosenko, T.; Zimmermann, J.; Karrer, S. Plasma applications in medicine with a special focus on dermatology. J. Eur. Acad. Dermatol. Venereol. 2011, 25, 1–11. [Google Scholar] [CrossRef] [PubMed]
- Lademann, J.; Patzelt, A.; Richter, H.; Lademann, O.; Baier, G.; Breucker, L.; Landfester, K. Nanocapsules for drug delivery through the skin barrier by tissue-tolerable plasma. Laser Phys. Lett. 2013, 10, 083001. [Google Scholar] [CrossRef]
- Babington, P.; Rajjoub, K.; Canady, J.; Siu, A.; Keidar, M.; Sherman, J.H. Use of cold atmospheric plasma in the treatment of cancer. J. Biointerphases 2015, 10, 029403. [Google Scholar] [CrossRef]
- Dubuc, A.; Monsarrat, P.; Virard, F.; Merbahi, N.; Sarrette, J.-P.; Laurencin-Dalicieux, S.; Cousty, S. Use of cold-atmospheric plasma in oncology: A concise systematic review. Ther. Adv. Med. Oncol. 2018, 10, 1758835918786475. [Google Scholar] [CrossRef] [PubMed]
- Keidar, M.; Walk, R.; Shashurin, A.; Srinivasan, P.; Sandler, A.; Dasgupta, S.; Ravi, R.; Guerrero-Preston, R.; Trink, B. Cold plasma selectivity and the possibility of a paradigm shift in cancer therapy. Br. J. Cancer 2011, 105, 1295–1301. [Google Scholar] [CrossRef]
- Hasse, S.; Seebauer, C.; Wende, K.; Schmidt, A.; Metelmann, H.-R.; Von Woedtke, T.; Bekeschus, S. Cold argon plasma as adjuvant tumour therapy on progressive head and neck cancer: A preclinical study. Appl. Sci. 2019, 9, 2061. [Google Scholar] [CrossRef]
- Stockert, J.C.; Juarranz, A.; Villaneuva, A.; Nonell, S.; Horobin, R.W.; Solterman, A.T.; Durantini, E.N.; Rivarola, V.; Colombo, L.L.; Espada, J. Photodynamic therapy: Selective uptake of photosensitizing drugs into tumor cell. Curr. Top. Pharmacol. 2004, 8, 185–217. [Google Scholar]
- Wang, H.; Li, J.; Lv, T.; Tu, Q.; Huang, Z.; Wang, X. Therapeutic and immune effects of 5-aminolevulinic acid photodynamic therapy on UVB-induced squamous cell carcinomas in hairless mice. Exp. Dermatol. 2013, 22, 362–363. [Google Scholar] [CrossRef]
- Semmler, M.L.; Bekeschus, S.; Schäfer, M.; Bernhardt, T.; Fischer, T.; Witzke, K.; Seebauer, C.; Rebl, H.; Grambow, E.; Vollmar, B. Molecular mechanisms of the efficacy of cold atmospheric pressure plasma (CAP) in cancer treatment. Cancers 2020, 12, 269. [Google Scholar] [CrossRef]
- Kang, S.; Cho, J.; Chang, J.; Shin, Y.; Kim, K.; Park, J.; Yang, S.; Lee, J.; Moon, E.; Lee, K. Nonthermal plasma induces head and neck cancer cell death: The potential involvement of mitogen-activated protein kinase-dependent mitochondrial reactive oxygen species. Cell Death Dis. 2014, 5, e1056. [Google Scholar] [CrossRef]
- Sharma, A.; Singh, K.; Almasan, A. Histone H2AX phosphorylation: A marker for DNA damage. In DNA Repair Protocols; Humana Press: Totowa, NJ, USA, 2012; pp. 613–626. [Google Scholar]
- Bekeschus, S.; Schütz, C.S.; Nießner, F.; Wende, K.; Weltmann, K.-D.; Gelbrich, N.; Von Woedtke, T.; Schmidt, A.; Stope, M.B. Elevated h2ax phosphorylation observed with kinpen plasma treatment is not caused by ros-mediated DNA damage but is the consequence of apoptosis. Oxidative Med. Cell. Longev. 2019, 2019, 8535163. [Google Scholar] [CrossRef] [PubMed]
- Fisher, D.T.; Appenheimer, M.M.; Evans, S.S. The two faces of IL-6 in the tumor microenvironment. Semin. Immunol. 2014, 26, 38–47. [Google Scholar] [CrossRef] [PubMed]
- Tahmasebi, S.; Alimohammadi, M.; Khorasani, S.; Rezaei, N. Pro-tumorigenic and Anti-tumorigenic Roles of Pro-inflammatory Cytokines in Cancer. In Handbook of Cancer and Immunology; Springer: Cham, Switzerland, 2022; pp. 1–25. [Google Scholar]
- Shamloo, B.; Usluer, S. p21 in cancer research. Cancers 2019, 11, 1178. [Google Scholar] [CrossRef]
- Liggett, W.H., Jr.; Sidransky, D. Role of the p16 tumor suppressor gene in cancer. J. Clin. Oncol. 1998, 16, 1197–1206. [Google Scholar] [CrossRef]
- Kupke, L.S.; Arndt, S.; Lenzer, S.; Metz, S.; Unger, P.; Zimmermann, J.L.; Bosserhoff, A.-K.; Gruber, M.; Karrer, S. Cold atmospheric plasma promotes the immunoreactivity of granulocytes in vitro. Biomolecules 2021, 11, 902. [Google Scholar] [CrossRef] [PubMed]
- Arndt, S.; Wacker, E.; Li, Y.F.; Shimizu, T.; Thomas, H.M.; Morfill, G.E.; Karrer, S.; Zimmermann, J.L.; Bosserhoff, A.K. Cold atmospheric plasma, a new strategy to induce senescence in melanoma cells. J. Exp. Dermatol. 2013, 22, 284–289. [Google Scholar] [CrossRef]
- Arndt, S.; Wacker, E.; Dorn, C.; Koch, A.; Saugspier, M.; Thasler, W.E.; Hartmann, A.; Bosserhoff, A.K.; Hellerbrand, C. Enhanced expression of BMP6 inhibits hepatic fibrosis in non-alcoholic fatty liver disease. Gut. 2015, 64, 973–981. [Google Scholar] [CrossRef]
- Arndt, S.; Unger, P.; Berneburg, M.; Bosserhoff, A.K.; Karrer, S. Cold atmospheric plasma (CAP) activates angiogenesis-related molecules in skin keratinocytes, fibroblasts and endothelial cells and improves wound angiogenesis in an autocrine and paracrine mode. J. Dermatol. Sci. 2017, 89, 181–190. [Google Scholar] [CrossRef]










| Treatment Group | Treatment | Treatment Outcome [%] | ||||
|---|---|---|---|---|---|---|
| n = (7–8) | I. 1 | II. 1 | III. 1 | IV. 1 | V. 1 | |
| 1A | ctrl. | - | - | - | - | 100 |
| 2A | ALA–red light | - | 62.5 | 37.5 | - | - |
| 3A | CAP | 28.6 | 57.1 | 14.3 | - | - |
| 4A | CAP-ALA–red light | 50.0 | 37.5 | 12.5 | - | - |
| 5A | ALA–red light–CAP | 14.3 | 71.5 | 14.3 | - | - |
| 6A | ALA-CAP–red light | 50.0 | 37.5 | 12.5 | - | - |
| Primer Name | Forward Primer 5′ → 3′ | Reverse Primer 5′ → 3′ | Condition 1 |
|---|---|---|---|
| β-actin | TGGAATCCTGTGGCATCCATGAAAC | TAAAACGCAGCTCAGTAACAGTCCG | ann. 60 °C |
| melt. 84 °C | |||
| IL-6 | TTCACAAGTCCGGAGAGGAG | AGGAGAGCATTGGAAATTGG | ann. 60 °C |
| melt. 78 °C | |||
| IL-8 | CTGCTGGCTGTCCTTAACCT | ATTGGGCCAACAGTAGCCTT | ann. 60 °C |
| melt. 78 °C | |||
| p16INK4a | AGGGCCGTGTGCATGACGTG | CATCGCGCACATCCAGCCGA | ann. 60 °C |
| melt. 86 °C | |||
| p21CIP1 | GCTCATGGCGGGCTGTCTCC | CCGGGGAATCTTCAGGCGC | ann. 60 °C |
| melt. 86 °C |
Disclaimer/Publisher’s Note: The statements, opinions and data contained in all publications are solely those of the individual author(s) and contributor(s) and not of MDPI and/or the editor(s). MDPI and/or the editor(s) disclaim responsibility for any injury to people or property resulting from any ideas, methods, instructions or products referred to in the content. |
© 2025 by the authors. Licensee MDPI, Basel, Switzerland. This article is an open access article distributed under the terms and conditions of the Creative Commons Attribution (CC BY) license (https://creativecommons.org/licenses/by/4.0/).
Share and Cite
Arndt, S.; Unger, P.; Ivanova, I.; Bäumler, W.; Drexler, K.; Berneburg, M.; Karrer, S. Cold Atmospheric Plasma Improves the Therapeutic Success of Photodynamic Therapy on UV-B-Induced Squamous Cell Carcinoma in Hairless Mice. Pharmaceuticals 2025, 18, 907. https://doi.org/10.3390/ph18060907
Arndt S, Unger P, Ivanova I, Bäumler W, Drexler K, Berneburg M, Karrer S. Cold Atmospheric Plasma Improves the Therapeutic Success of Photodynamic Therapy on UV-B-Induced Squamous Cell Carcinoma in Hairless Mice. Pharmaceuticals. 2025; 18(6):907. https://doi.org/10.3390/ph18060907
Chicago/Turabian StyleArndt, Stephanie, Petra Unger, Irina Ivanova, Wolfgang Bäumler, Konstantin Drexler, Mark Berneburg, and Sigrid Karrer. 2025. "Cold Atmospheric Plasma Improves the Therapeutic Success of Photodynamic Therapy on UV-B-Induced Squamous Cell Carcinoma in Hairless Mice" Pharmaceuticals 18, no. 6: 907. https://doi.org/10.3390/ph18060907
APA StyleArndt, S., Unger, P., Ivanova, I., Bäumler, W., Drexler, K., Berneburg, M., & Karrer, S. (2025). Cold Atmospheric Plasma Improves the Therapeutic Success of Photodynamic Therapy on UV-B-Induced Squamous Cell Carcinoma in Hairless Mice. Pharmaceuticals, 18(6), 907. https://doi.org/10.3390/ph18060907

