Investigation on Human Carbonic Anhydrase IX and XII Inhibitory Activity and A549 Antiproliferative Activity of a New Class of Coumarinamides
Abstract
1. Introduction
2. Results and Discussion
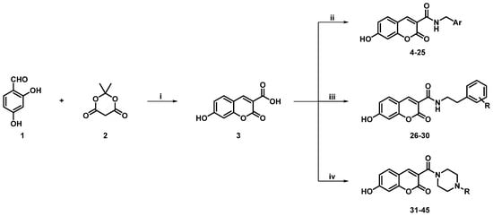
2.1. Chemistry
2.2. Carbonic Anhydrase Inhibition Assays
2.3. Docking Studies
2.4. Biological Effects of Coumarin Amides
3. Materials and Methods
3.1. Chemistry
General Procedure for the Preparation of 7-Hydroxy-2-Oxo-2H-Chromene-3-Carboxamides (4–45)
N-Benzyl-7-Hydroxy-2-Oxo-2H-Chromene-3-Carboxamide (4) [27]
7-Hydroxy-N-(2-Methylbenzyl)-2-Oxo-2H-Chromene-3-Carboxamide (5)
7-Hydroxy-N-(3-Methylbenzyl)-2-Oxo-2H-Chromene-3-Carboxamide (6)
7-Hydroxy-N-(4-Methylbenzyl)-2-Oxo-2H-Chromene-3-Carboxamide (7) [27]
7-Hydroxy-N-(2-Methoxybenzyl)-2-Oxo-2H-Chromene-3-Carboxamide (8)
7-Hydroxy-N-(4-Methoxylbenzyl)-2-Oxo-2H-Chromene-3-Carboxamide (9) [27]
7-Hydroxy-N-(3-Methoxybenzyl)-2-Oxo-2H-Chromene-3-Carboxamide (10)
7-Hydroxy-N-(4-Nitrobenzyl)-2-Oxo-2H-Chromene-3-Carboxamide (11)
7-Hydroxy-N-(3-Nitrobenzyl)-2-Oxo-2H-Chromene-3-Carboxamide (12)
N-(4-Fluorobenzyl)-7-Hydroxy-2-Oxo-2H-Chromene-3-Carboxamide (13) [27]
N-(3-Fluorobenzyl)-7-Hydroxy-2-Oxo-2H-Chromene-3-Carboxamide (14)
7-Hydroxy-2-Oxo-N-(2-(Trifluoromethyl)benzyl)-2H-Chromene-3-Carboxamide (15)
7-Hydroxy-2-Oxo-N-(3-(Trifluoromethyl)benzyl)-2H-Chromene-3-Carboxamide (16)
7-Hydroxy-2-Oxo-N-(4-(Trifluoromethyl)benzyl)-2H-Chromene-3-Carboxamide (17) [27]
N-(4-Bromobenzyl)-7-Hydroxy-2-Oxo-2H-Chromene-3-Carboxamide (18)
N-(2-Chlorobenzyl)-7-Hydroxy-2-Oxo-2H-Chromene-3-Carboxamide (19)
N-(3-Chlorobenzyl)-7-Hydroxy-2-Oxo-2H-Chromene-3-Carboxamide (20)
N-(4-Chlorobenzyl)-7-Hydroxy-2-Oxo-2H-Chromene-3-Carboxamide (21)
N-(2,4-Dichlorobenzyl)-7-Hydroxy-2-Oxo-2H-Chromene-3-Carboxamide (22)
N-(3,4-Dichlorobenzyl)-7-Hydroxy-2-Oxo-2H-Chromene-3-Carboxamide (23)
N-(2,6-Dichlorobenzyl)-7-Hydroxy-2-Oxo-2H-Chromene-3-Carboxamide (24)
7-Hydroxy-N-(Naphthalen-2-ylmethyl)-2-Oxo-2H-Chromene-3-Carboxamide (25)
7-Hydroxy-N-(4-Methoxyphenethyl)-2-Oxo-2H-Chromene-3-Carboxamide (26)
N-(3,4-Dimethoxyphenethyl)-7-Hydroxy-2-Oxo-2H-Chromene-3-Carboxamide (27)
N-(4-Fluorophenethyl)-7-Hydroxy-2-Oxo-2H-Chromene-3-Carboxamide (28)
N-(2-Chlorophenethyl)-7-Hydroxy-2-Oxo-2H-Chromene-3-Carboxamide (29)
N-(3-Chlorophenethyl)-7-Hydroxy-2-Oxo-2H-Chromene-3-Carboxamide (30)
3-(4-Benzylpiperazine-1-Carbonyl)-7-Hydroxy-2H-Chromen-2-One (31)
7-Hydroxy-3-(4-Phenylpiperazine-1-Carbonyl)-2H-Chromen-2-One (32)
7-Hydroxy-3-(4-(m-tolyl)piperazine-1-Carbonyl)-2H-Chromen-2-One (33)
7-Hydroxy-3-(4-(p-tolyl)piperazine-1-Carbonyl)-2H-Chromen-2-One (34)
3-(4-(2,3-Dimethylphenyl)piperazine-1-Carbonyl)-7-Hydroxy-2H-Chromen-2-One (35)
3-(4-(2,4-Dimethylphenyl)piperazine-1-Carbonyl)-7-Hydroxy-2H-Chromen-2-One (36)
3-(4-(2,5-Dimethylphenyl)piperazine-1-Carbonyl)-7-Hydroxy-2H-Chromen-2-One (37)
3-(4-(3,4-Dimethylphenyl)piperazine-1-Carbonyl)-7-Hydroxy-2H-Chromen-2-One (38)
3-(4-(3,5-Dimethylphenyl)piperazine-1-Carbonyl)-7-Hydroxy-2H-Chromen-2-One (39)
7-Hydroxy-3-(4-(2-Nitrophenyl)piperazine-1-Carbonyl)-2H-Chromen-2-One (40)
7-Hydroxy-3-(4-(3-Nitrophenyl)piperazine-1-Carbonyl)-2H-Chromen-2-One (41)
7-Hydroxy-3-(4-(4-Nitrophenyl)piperazine-1-Carbonyl)-2H-Chromen-2-One (42)
7-Hydroxy-3-(4-(3-Methoxyphenyl)piperazine-1-Carbonyl)-2H-Chromen-2-One (43)
7-Hydroxy-3-(4-(4-Methoxyphenyl)piperazine-1-Carbonyl)-2H-Chromen-2-One (44)
3-(4-(4-Trifluoromethylphenyl)piperazine-1-Carbonyl)-7-Hydroxy-2H-Chromen-2-One (45)
3.2. Docking Methods
3.3. Cell Cultures
3.4. Cell Treatment
3.5. Cell Viability (MTT Assay)
3.6. Cytotoxicity Assay (LDH Test)
3.7. Cell Cycle Analysis
3.8. Statistical Analysis
Supplementary Materials
Author Contributions
Funding
Data Availability Statement
Acknowledgments
Conflicts of Interest
Abbreviations
| h-CA | Human carbonic anhydrase |
| MeCN | Acetonitrile |
| HIF | Hypoxia-inducible factor |
| EDCI | 1-(3-dimethylaminopropyl)-3-ethylcarbodiimide hydrochloride |
| HOBt | 1-hydroxybenzotriazole |
| AAZ | Acetazolamide |
| A549 | Bronchial adenocarcinoma cells |
| BEAS-2B | Normal bronchial epithelial cells |
| LDH | Lactate dehydrogenase |
References
- Ward, P.S.; Craig, B.; Thompson, C.B. Metabolic reprogramming: A cancer hallmark even warburg did not anticipate. Cancer Cell. 2012, 21, 297–308. [Google Scholar] [CrossRef] [PubMed]
- Ortmann, B.M. Hypoxia-inducible factor in cancer: From pathway regulation to therapeutic opportunity. BMJ Oncol. 2024, 3, e000154. [Google Scholar] [CrossRef] [PubMed]
- Schulze, A.; Adrian, L.; Harris, A.L. How cancer metabolism is tuned for proliferation and vulnerable to disruption. Nature 2012, 491, 364–373. [Google Scholar] [CrossRef] [PubMed]
- White, K.A.; Grillo-Hill, B.K.; Barber, D.L. Cancer cell behaviors mediated by dysregulated pH dynamics at a glance. J. Cell. Sci. 2017, 130, 663–669. [Google Scholar] [CrossRef]
- Cordani, M.; Michetti, F.; Zarrabi, A.; Zarepour, A.; Rumio, C.; Strippoli, R.; Marcucci, F. The role of glycolysis in tumorigenesis: From biological aspects to therapeutic opportunities. Neoplasia 2024, 58, 101076. [Google Scholar] [CrossRef]
- Leukoc, J. The effects of extracellular pH on immune function. J. Leukoc. Biol. 2001, 69, 522–530. [Google Scholar]
- Pilon-Thomas, S.; Kodumudi, K.N.; El-Kenawi, A.E.; Russell, S.; Weber, A.M.; Luddy, K.; Damaghi, M.; Wojtkowiak, J.W.; Mulé, J.J.; Ibrahim-Hashim, A.; et al. Neutralization of Tumor Acidity Improves Antitumor Responses to Immunotherapy. Cancer Res. 2016, 76, 1381–1390. [Google Scholar] [CrossRef]
- Becker, H.M.; Deitmer, J.W. Transport Metabolons and Acid/Base Balance in Tumor Cells. Cancers 2020, 12, 899. [Google Scholar] [CrossRef]
- Venkateswaran, G.; Dedhar, S. Interplay of Carbonic Anhydrase IX With Amino Acid and Acid/Base Transporters in the Hypoxic Tumor Microenvironment. Front. Cell Dev. Biol. 2020, 8, 602668. [Google Scholar] [CrossRef]
- Pastorekova, S.; Gillies, R.J. The role of carbonic anhydrase IX in cancer development: Links to hypoxia, acidosis, and beyond. Cancer Metastasis Rev. 2019, 38, 65–77. [Google Scholar] [CrossRef]
- Ledaki, I.; McIntyre, A.; Wigfield, S.; Buffa, F.; McGowan, S.; Baban, D.; Li, J.L.; Harris, A.L. Carbonic anhydrase IX induction defines a heterogeneous cancer cell response to hypoxia and mediates stem cell-like properties and sensitivity to HDAC inhibition. Oncotarget 2015, 6, 19413–19427. [Google Scholar] [CrossRef] [PubMed]
- Kim, J.K.; Lee, C.; Lim, S.W.; Adhikari, A.; Andring, J.T.; McKenna, R.; Ghim, C.M.; Kim, C.U. Elucidating the role of metal ions in carbonic anhydrase catalysis. Nat. Commun. 2020, 11, 4557. [Google Scholar] [CrossRef] [PubMed]
- Eldehna, W.M.; Fares, M.; Bonardi, A.; Avgenikos, M.; Baselious, F.; Schmidt, M.; Al-Warhi, T.; Abdel-Aziz, H.A.; Rennert, R.; Peat, T.S.; et al. 4-(Pyrazolyl)benzenesulfonamide Ureas as Carbonic Anhydrases Inhibitors and Hypoxia-Mediated Chemo-Sensitizing Agents in Colorectal Cancer Cells. J. Med. Chem. 2024, 67, 20438–20454. [Google Scholar] [CrossRef] [PubMed]
- Moi, D.; Deplano, A.; Angeli, A.; Balboni, G.; Supuran, C.T.; Onnis, V. Synthesis of Sulfonamides Incorporating Piperidinyl-Hydrazidoureido and Piperidinyl-Hydrazidothioureido Moieties and Their Carbonic Anhydrase I, II, IX and XII Inhibitory Activity. Molecules 2022, 27, 5370. [Google Scholar] [CrossRef]
- Moi, D.; Vittorio, S.; Angeli, A.; Supuran, C.T.; Onnis, V. Discovery of a New Class of 1-(4-Sulfamoylbenzoyl)piperidine-4-carboxamides as Human Carbonic Anhydrase Inhibitors. ACS Med. Chem. Lett. 2024, 15, 470–477. [Google Scholar] [CrossRef]
- De Luca, L.; Mancuso, F.; Ferro, S.; Buemi, M.R.; Angeli, A.; Del Prete, S.; Capasso, C.; Supuran, C.T.; Gitto, R. Inhibitory effects and structural insights for a novel series of coumarin-based compounds that selectively target human CA IX and CA XII carbonic anhydrases. Eur. J. Med. Chem. 2018, 143, 276–282. [Google Scholar] [CrossRef]
- Melis, C.; Distinto, S.; Bianco, G.; Meleddu, R.; Cottiglia, F.; Fois, B.; Taverna, D.; Angius, R.; Alcaro, S.; Ortuso, F.; et al. Targeting Tumor Associated Carbonic Anhydrases IX and XII: Highly Isozyme Selective Coumarin and Psoralen Inhibitors. ACS Med. Chem. Lett. 2018, 9, 725–729. [Google Scholar] [CrossRef]
- Mohamed, A.; Abdelrahman, M.A.; Ibrahim, H.S.; Nocentini, A.; Wagdy, M.; Eldehna, W.M.; Bonardi, A.; Abdel-Aziz, H.A.; Gratteri, P.; Abou-Seri, S.M.; et al. Novel 3-substituted coumarins as selective human carbonic anhydrase IX and XII inhibitors: Synthesis, biological and molecular dynamics analysis. Eur. J. Med. Chem. 2021, 209, 112897. [Google Scholar]
- Huwaimel, B.I.; Jonnalagadda, S.K.; Jonnalagadda, S.; Kumari, S.; Nocentini, A.; Supuran, C.T.; Trippier, P.C. Selective carbonic anhydrase IX and XII inhibitors based around a functionalized coumarin scaffold. Drug Dev. Res. 2023, 84, 681–702. [Google Scholar] [CrossRef]
- Buran, K.; Bua, S.; Poli, G.; Bayram, F.E.O.; Tuccinardi, T.; Supuran, C.T. Novel 8-Substituted Coumarins That Selectively Inhibit Human Carbonic Anhydrase IX and XII. Int. J. Mol. Sci. 2019, 20, 1208. [Google Scholar] [CrossRef]
- Huang, Y.; Yongbin Zhang, Y.; Huo, F.; Yin, C. FRET-dependent single/two-channel switch endowing a dual detection for sulfite and its organelle targeting applications. Dye Pig. 2021, 184, 108869. [Google Scholar] [CrossRef]
- Eze, C.C.; Ezeokonkwo, M.A.; Ezema, B.E.; Onoabedje, A.E.; Ugwu, D.I. Synthesis and Biological Properties of some New Lead Sulphonamide and Carboxamide Scaffolds Bearing Coumarin Moieties. Mini Rev. Med. Chem. 2021, 21, 1270–1287. [Google Scholar] [CrossRef] [PubMed]
- Moi, D.; Vittorio, S.; Angeli, A.; Balboni, G.; Supuran, C.T.; Onnis, V. Investigation on Hydrazonobenzenesulfonamides as Human Carbonic Anhydrase I, II, IX and XII Inhibitors. Molecules 2023, 28, 91. [Google Scholar] [CrossRef]
- Supuran, C.T. Coumarin carbonic anhydrase inhibitors from natural sources. J. Enzym. Inhib. Med. Chem. 2020, 35, 1462–1470. [Google Scholar] [CrossRef] [PubMed]
- Maresca, A.; Temperini, C.; Vu, H.; Pham, N.B.; Poulsen, S.-A.; Scozzafava, A.; Quinn, R.J.; Supuran, C.T. Non-zinc mediated inhibition of carbonic anhydrases: Coumarins are a new class of suicide inhibitors. J. Am. Chem. Soc. 2009, 131, 3057–3062. [Google Scholar] [CrossRef]
- Maresca, A.; Temperini, C.; Pochet, L.; Masereel, B.; Scozzafava, A.; Supuran, C.T. Deciphering the mechanism of carbonic anhydrase inhibition with coumarins and thiocoumarins. J. Med. Chem. 2010, 53, 335–344. [Google Scholar] [CrossRef]
- Jonnalagadda, S.K.; Duan, L.; Dow, L.F.; Boligala, G.P.; Kosmacek, E.; McCoy, K.; Oberley-Deegan, R.; Chhonker, Y.S.; Murry, D.J.; Reynolds, C.P.; et al. Coumarin-Based Aldo-Keto Reductase Family 1C (AKR1C) 2 and 3 Inhibitors. ChemMedChem 2024, 19, e202400081. [Google Scholar] [CrossRef]
- Jones, G.; Willett, P.; Glen, R.C.; Leach, A.R.; Taylor, R. Development and validation of a genetic algorithm for flexible docking. J. Mol. Biol. 1997, 267, 727–748. [Google Scholar] [CrossRef]
- Alterio, V.; Hilvo, M.; Di Fiore, A.; Supuran, C.T.; Pan, P.; Parkkila, S.; Scaloni, A.; Pastorek, J.; Pastorekova, S.; Pedone, C.; et al. Crystal structure of the catalytic domain of the tumor-associated human carbonic anhydrase IX. Proc. Natl. Acad. Sci. USA 2009, 106, 16233–16238. [Google Scholar] [CrossRef]
- Whittington, D.A.; Waheed, A.; Ulmasov, B.; Shah, G.N.; Grubb, J.H.; Sly, W.S.; Christianson, D.W. Crystal structure of the dimeric extracellular domain of human carbonic anhydrase XII, a bitopic membrane protein overexpressed in certain cancer tumor cells. Proc. Natl. Acad. Sci. USA 2001, 98, 9545–9550. [Google Scholar] [CrossRef]
- Gallorini, M.; Carradori, S.; Resende, D.I.S.P.; Saso, L.; Ricci, A.; Palmeira, A.; Cataldi, A.; Pinto, M.; Sousa, E. Natural and Synthetic Xanthone Derivatives Counteract Oxidative Stress via Nrf2 Modulation in Inflamed Human Macrophages. Int. J. Mol. Sci. 2022, 23, 13319. [Google Scholar] [CrossRef] [PubMed]
- Maccallini, C.; Arias, F.; Gallorini, M.; Amoia, P.; Ammazzalorso, A.; De Filippis, B.; Fantacuzzi, M.; Giampietro, L.; Cataldi, A.; Camacho, M.E.; et al. Antiglioma Activity of Aryl and Amido-Aryl Acetamidine Derivatives Targeting iNOS: Synthesis and Biological Evaluation. ACS Med. Chem. Lett. 2020, 11, 1470–1475. [Google Scholar] [CrossRef] [PubMed]
- Gallorini, M.; Di Valerio, V.; Bruno, I.; Carradori, S.; Amoroso, R.; Cataldi, A.; Ammazzalorso, A. Phenylsulfonimide PPARα Antagonists Enhance Nrf2 Activation and Promote Oxidative Stress-Induced Apoptosis/Pyroptosis in MCF7 Breast Cancer Cells. Int. J. Mol. Sci. 2023, 24, 1316. [Google Scholar] [CrossRef] [PubMed]








![]() | |||||
|---|---|---|---|---|---|
| Compound | Ar | Ki (µM) * | |||
| h-CA I | h-CA II | h-CA IX | h-CA XII | ||
| 4 | phenyl | >100 | >100 | 42.2 | 7.5 |
| 5 | 2-CH3 phenyl | >100 | >100 | 25.4 | 35.5 |
| 6 | 3-CH3 phenyl | >100 | >100 | 82.5 | 9.3 |
| 7 | 4-CH3 phenyl | >100 | >100 | 33.7 | 8.8 |
| 8 | 2-OCH3 phenyl | >100 | >100 | 77.4 | 70.2 |
| 9 | 4-OCH3 phenyl | >100 | >100 | 53.8 | 9.1 |
| 10 | 3-OCH3 phenyl | >100 | >100 | 63.1 | 73.1 |
| 11 | 4-NO2 phenyl | >100 | >100 | 75.7 | 49.8 |
| 12 | 3-NO2 phenyl | >100 | >100 | 64.7 | 55.2 |
| 13 | 4-F phenyl | >100 | >100 | 86.9 | 70.5 |
| 14 | 3-F phenyl | >100 | >100 | 73.2 | 57.6 |
| 15 | 2-CF3 phenyl | >100 | >100 | 50.0 | 31.5 |
| 16 | 3-CF3 phenyl | >100 | >100 | 77.1 | 64.4 |
| 17 | 4-CF3 phenyl | >100 | >100 | 83.7 | 54.1 |
| 18 | 4-Br phenyl | >100 | >100 | 60.7 | 26.1 |
| 19 | 2-Cl phenyl | >100 | >100 | 19.3 | 64.9 |
| 20 | 3-Cl phenyl | >100 | >100 | 33.9 | 42.6 |
| 21 | 4-Cl phenyl | >100 | >100 | 80.7 | 39.7 |
| 22 | 2,4-diCl phenyl | >100 | >100 | 22.0 | 84.1 |
| 23 | 3,4-diCl phenyl | >100 | >100 | 46.2 | 21.0 |
| 24 | 2,6-diCl phenyl | >100 | >100 | 85.6 | 75.1 |
| 25 | naphthyl | >100 | >100 | 18.3 | 9.6 |
| AAZ | - | 0.25 | 0.012 | 0.025 | 0.006 |
![]() | |||||
|---|---|---|---|---|---|
| Compound | R | Ki (µM) * | |||
| h-CA I | h-CA II | h-CA IX | h-CA XII | ||
| 26 | 4-OCH3 | >100 | >100 | 80.8 | 57.7 |
| 27 | 3,4-diOCH3 | >100 | >100 | 84.7 | 50.8 |
| 28 | 4-F | >100 | >100 | 80.4 | 66.9 |
| 29 | 2-Cl | >100 | >100 | 5.5 | 43.1 |
| 30 | 3-Cl | >100 | >100 | 7.5 | 55.8 |
| AAZ | 0.25 | 0.012 | 0.025 | 0.006 | |
![]() | |||||
|---|---|---|---|---|---|
| Compound | R | Ki (µM) * | |||
| h-CA I | h-CA II | h-CA IX | h-CA XII | ||
| 31 | benzyl | >100 | >100 | 84.1 | 59.5 |
| 32 | phenyl | >100 | >100 | 49.3 | 9.1 |
| 33 | 3-CH3 phenyl | >100 | >100 | 89.3 | 40.5 |
| 34 | 4-CH3 phenyl | >100 | >100 | 83.2 | 56.0 |
| 35 | 2,3-diCH3 phenyl | >100 | >100 | 82.2 | 41.4 |
| 36 | 2,4-diCH3 phenyl | >100 | >100 | 78.1 | 69.7 |
| 37 | 2,5-diCH3 phenyl | >100 | >100 | 75.9 | 63.4 |
| 38 | 3,4-diCH3 phenyl | >100 | >100 | 70.3 | 9.2 |
| 39 | 3,5-diCH3 phenyl | >100 | >100 | 68.1 | 46.8 |
| 40 | 2-NO2 phenyl | >100 | >100 | 85.2 | 63.8 |
| 41 | 3-NO2 phenyl | >100 | >100 | 25.4 | 47.5 |
| 42 | 4-NO2 phenyl | >100 | >100 | 30.1 | 62.8 |
| 43 | 3-OCH3 phenyl | >100 | >100 | 40.4 | 79.9 |
| 44 | 4-OCH3 phenyl | >100 | >100 | 32.8 | 22.5 |
| 45 | 4-CF3 phenyl | >100 | >100 | 22.6 | 8.4 |
| AAZ | 0.25 | 0.012 | 0.025 | 0.006 | |
| Compound | IC50 BEAS (µM) | IC50 A549 (µM) | SI |
|---|---|---|---|
| 4 | 344.90 ± 3.14 | 159.30 ± 1.37 | 2.165 |
| 5 | 181.20 ± 1.20 | 248.20 ± 1.57 | 0.730 |
| 6 | 117.90 ± 1.08 | 90.05 ± 1.07 | 1.309 |
| 7 | 157.80 ± 1.07 | 85.78 ± 1.13 | 1.840 |
| 9 | 115.90 ± 1.22 | 68.20 ± 1.11 | 1.699 |
| 19 | 40.71 ± 1.10 | 32.03 ± 1.22 | 1.271 |
| 22 | 95.82 ± 1.07 | 83.34 ± 1.08 | 1.150 |
| 23 | 73.39 ± 1.10 | 39.50 ± 1.06 | 1.858 |
| 25 | 82.35 ± 1.10 | 46.36 ± 1.10 | 1.776 |
| 29 | 77.49 ± 1.08 | 55.89 ± 1.12 | 1.386 |
| 30 | 87.42 ± 1.06 | 59.68 ± 1.07 | 1.465 |
| 32 | 399.70 ± 1.68 | 156.90 ± 1.12 | 2.547 |
| 38 | 187.40 ± 1.27 | 50.02 ± 1.28 | 3.747 |
| 44 | 203.50 ± 1.19 | 107.80 ± 1.28 | 1.888 |
| 45 | 53.85 ± 1.07 | 25.69 ± 1.14 | 2.096 |
Disclaimer/Publisher’s Note: The statements, opinions and data contained in all publications are solely those of the individual author(s) and contributor(s) and not of MDPI and/or the editor(s). MDPI and/or the editor(s) disclaim responsibility for any injury to people or property resulting from any ideas, methods, instructions or products referred to in the content. |
© 2025 by the authors. Licensee MDPI, Basel, Switzerland. This article is an open access article distributed under the terms and conditions of the Creative Commons Attribution (CC BY) license (https://creativecommons.org/licenses/by/4.0/).
Share and Cite
Moi, D.; Carradori, S.; Gallorini, M.; Mencarelli, N.; Deplano, A.; Angeli, A.; Vittorio, S.; Supuran, C.T.; Onnis, V. Investigation on Human Carbonic Anhydrase IX and XII Inhibitory Activity and A549 Antiproliferative Activity of a New Class of Coumarinamides. Pharmaceuticals 2025, 18, 372. https://doi.org/10.3390/ph18030372
Moi D, Carradori S, Gallorini M, Mencarelli N, Deplano A, Angeli A, Vittorio S, Supuran CT, Onnis V. Investigation on Human Carbonic Anhydrase IX and XII Inhibitory Activity and A549 Antiproliferative Activity of a New Class of Coumarinamides. Pharmaceuticals. 2025; 18(3):372. https://doi.org/10.3390/ph18030372
Chicago/Turabian StyleMoi, Davide, Simone Carradori, Marialucia Gallorini, Noemi Mencarelli, Alberto Deplano, Andrea Angeli, Serena Vittorio, Claudiu T. Supuran, and Valentina Onnis. 2025. "Investigation on Human Carbonic Anhydrase IX and XII Inhibitory Activity and A549 Antiproliferative Activity of a New Class of Coumarinamides" Pharmaceuticals 18, no. 3: 372. https://doi.org/10.3390/ph18030372
APA StyleMoi, D., Carradori, S., Gallorini, M., Mencarelli, N., Deplano, A., Angeli, A., Vittorio, S., Supuran, C. T., & Onnis, V. (2025). Investigation on Human Carbonic Anhydrase IX and XII Inhibitory Activity and A549 Antiproliferative Activity of a New Class of Coumarinamides. Pharmaceuticals, 18(3), 372. https://doi.org/10.3390/ph18030372




