Azobenzenesulfonamide Carbonic Anhydrase Inhibitors as New Weapons to Fight Helicobacter pylori: Synthesis, Bioactivity Evaluation, In Vivo Toxicity, and Computational Studies
Abstract
1. Introduction
2. Results and Discussion
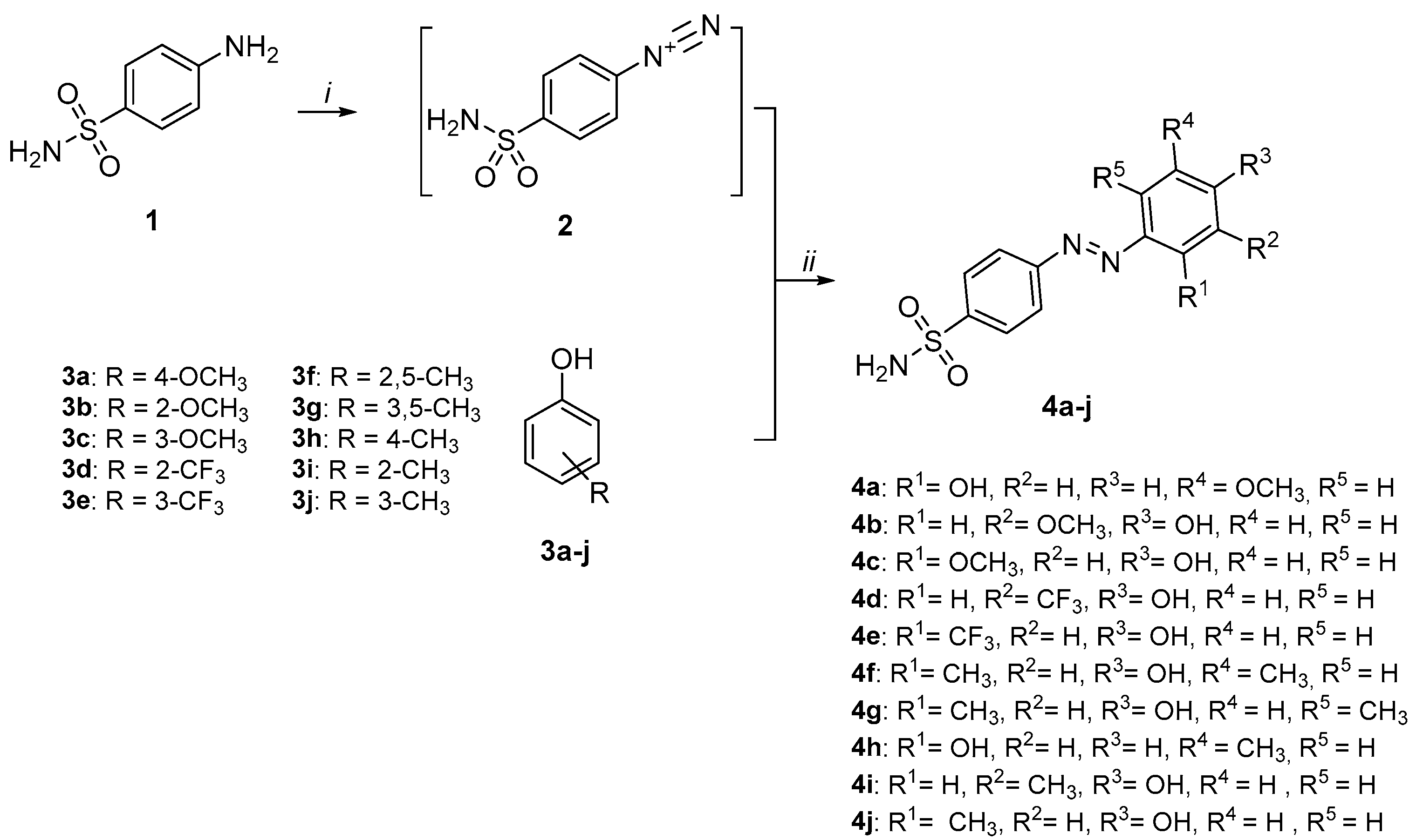
2.1. Chemistry
2.2. Inhibitory Activity towards a Panel of Carbonic Anhydrases and Structure–Activity Relationships
2.3. Computational Studies of Primary Azobenzenesulfonamides 4a–j on Both HpCAs
2.4. Antimicrobial Activity versus H. pylori ATCC 43504
2.5. In Vivo Toxicity versus Galleria mellonella
3. Conclusions
4. Materials and Methods
4.1. Chemistry, Synthesis, and Characterization of the New Azocompounds 4a–j
4.1.1. General Procedure for Synthesis of Compounds 4a–j
(E)-4-((2-hydroxy-5-methoxyphenyl)diazenyl)benzenesulfonamide 4a
(E)-4-((4-hydroxy-3-methoxyphenyl)diazenyl)benzenesulfonamide 4b
(E)-4-((4-hydroxy-2-methoxyphenyl)diazenyl)benzenesulfonamide 4c
(E)-4-((4-hydroxy-3-(trifluoromethyl)phenyl)diazenyl)benzenesulfonamide 4d
(E)-4-((4-hydroxy-2-(trifluoromethyl)phenyl)diazenyl)benzenesulfonamide 4e
(E)-4-((4-hydroxy-2,5-dimethylphenyl)diazenyl)benzenesulfonamide 4f
(E)-4-((4-hydroxy-2,6-dimethylphenyl)diazenyl)benzenesulfonamide 4g
(E)-4-((2-hydroxy-5-methylphenyl)diazenyl)benzenesulfonamide 4h
(E)-4-((4-hydroxy-3-methylphenyl)diazenyl)benzenesulfonamide 4i
(E)-4-((4-hydroxy-2-methylphenyl)diazenyl)benzenesulfonamide 4j
4.2. Carbonic Anhydrases Inhibition Assay
4.3. Molecular Modeling
4.4. Antibacterial Susceptibility Testing
4.5. Evaluation of In Vivo Toxicity on Galleria mellonella Model
Supplementary Materials
Author Contributions
Funding
Institutional Review Board Statement
Informed Consent Statement
Data Availability Statement
Conflicts of Interest
References
- Deane, C.; Kelly, O.; O’morain, C. Current and Future Perspectives on the Management of Helicobacter pylori: A Narrative Review. Antibiotics 2024, 13, 541. [Google Scholar] [CrossRef] [PubMed]
- Matsumoto, S.; Sugimoto, M.; Fukuzawa, M.; Uesugi, N.; Iwata, E.; Kagawa, Y.; Madarame, A.; Koyama, Y.; Morise, T.; Uchida, K.; et al. Risk of map-like redness development after eradication therapy for Helicobacter pylori infection. Helicobacter 2024, 29, e13046. [Google Scholar] [CrossRef] [PubMed]
- Sgamato, C.; Rocco, A.; Compare, D.; Priadko, K.; Romano, M.; Nardone, G. Exploring the Link between Helicobacter pylori, Gastric Microbiota and Gastric Cancer. Antibiotics 2024, 13, 484. [Google Scholar] [CrossRef]
- Jafarzadeh, A.; Jafarzadeh, Z.; Nemati, M.; Yoshimura, A. The Interplay Between Helicobacter pylori and Suppressors of Cytokine Signaling (SOCS) Molecules in the Development of Gastric Cancer and Induction of Immune Response. Helicobacter 2024, 29, e13105. [Google Scholar] [CrossRef] [PubMed]
- Salama, N.R.; Hartung, M.L.; Müller, A. Life in the human stomach: Persistence strategies of the bacterial pathogen Helicobacter pylori. Nat. Rev. Microbiol. 2013, 11, 385–399. [Google Scholar] [CrossRef]
- Ye, J.; Feng, T.; Su, L.; Li, J.; Gong, Y.; Ma, X. Interactions between Helicobacter pylori infection and host metabolic homeostasis: A comprehensive review. Helicobacter 2023, 28, e13030. [Google Scholar] [CrossRef] [PubMed]
- Umar, Z.; Tang, J.-W.; Marshall, B.J.; Tay, A.C.Y.; Wang, L. Rapid diagnosis and precision treatment of Helicobacter pylori infection in clinical settings. Crit. Rev. Microbiol. 2024, 24, 1–30. [Google Scholar] [CrossRef]
- Huang, T.-T.; Cao, Y.-X.; Cao, L. Novel therapeutic regimens against Helicobacter pylori: An updated systematic review. Front. Microbiol. 2024, 15, 1418129. [Google Scholar] [CrossRef]
- Luzko, I.; Nyssen, O.P.; Moreira, L.; Gisbert, J.P. Safety profile of Helicobacter pylori eradication treatments: Literature review and updated data of the European Registry on Helicobacter pylori management (Hp-EuReg). Expert Opin. Drug Saf. 2024, 23, 553–564. [Google Scholar] [CrossRef]
- Cheng, T.; Boneca, I.G. The shapeshifting Helicobacter pylori: From a corkscrew to a ball. Mol. Microbiol. 2024, 121, 260–274. [Google Scholar] [CrossRef]
- Gladyshev, N.; Taame, M.; Ibiliev, A.; Grukhin, Y.; Kravtsov, V. Colonization by Various Morphological Forms of Helicobacter pylori in the Gingival Sulcus and Antrum of the Stomach. Recent Adv. Anti-Infective Drug Discov. 2022, 17, 199–211. [Google Scholar] [CrossRef] [PubMed]
- Sedarat, Z.; Taylor-Robinson, A.W. Helicobacter pylori Outer Membrane Proteins and Virulence Factors: Potential Targets for Novel Therapies and Vaccines. Pathogens 2024, 13, 392. [Google Scholar] [CrossRef] [PubMed]
- Kaur, R.; Guevara, C.L. Addressing Challenges in Standardizing Helicobacter pylori Treatment Protocols: Importance and Review. Cureus 2024, 16, e59394. [Google Scholar] [CrossRef] [PubMed]
- Ansari, S.; Yamaoka, Y. Helicobacter pylori Infection, Its Laboratory Diagnosis, and Antimicrobial Resistance: A Perspective of Clinical Relevance. Clin. Microbiol. Rev. 2022, 35, e0025821. [Google Scholar] [CrossRef] [PubMed]
- Supuran, C.T.; Capasso, C. Antibacterial carbonic anhydrase inhibitors: An update on the recent literature. Expert Opin. Ther. Patents 2020, 30, 963–982. [Google Scholar] [CrossRef] [PubMed]
- Puca, V.; Turacchio, G.; Marinacci, B.; Supuran, C.T.; Capasso, C.; Di Giovanni, P.; D’agostino, I.; Carradori, S.; Grande, R. Antimicrobial and Antibiofilm Activities of Carvacrol, Amoxicillin and Salicylhydroxamic Acid Alone and in Combination vs. Helicobacter pylori: Towards a New Multi-Targeted Therapy. Int. J. Mol. Sci. 2023, 24, 4455. [Google Scholar] [CrossRef] [PubMed]
- Grande, R.; Carradori, S.; Puca, V.; Vitale, I.; Angeli, A.; Nocentini, A.; Bonardi, A.; Gratteri, P.; Lanuti, P.; Bologna, G.; et al. Selective Inhibition of Helicobacter pylori Carbonic Anhydrases by Carvacrol and Thymol Could Impair Biofilm Production and the Release of Outer Membrane Vesicles. Int. J. Mol. Sci. 2021, 22, 11583. [Google Scholar] [CrossRef] [PubMed]
- Giampietro, L.; Gallorini, M.; Gambacorta, N.; Ammazzalorso, A.; De Filippis, B.; Della Valle, A.; Fantacuzzi, M.; Maccallini, C.; Mollica, A.; Cataldi, A.; et al. Synthesis, structure-activity relationships and molecular docking studies of phenyldiazenyl sulfonamides as aromatase inhibitors. Eur. J. Med. Chem. 2021, 224, 113737. [Google Scholar] [CrossRef] [PubMed]
- Kaur, H.; Narasimhan, B. Antimicrobial Activity of Diazenyl Derivatives: An Update. Curr. Top. Med. Chem. 2018, 18, 3–21. [Google Scholar] [CrossRef]
- Apaydın, S.; Török, M. Sulfonamide derivatives as multi-target agents for complex diseases. Bioorganic Med. Chem. Lett. 2019, 29, 2042–2050. [Google Scholar] [CrossRef]
- Tahir, T.; Ashfaq, M.; Saleem, M.; Rafiq, M.; Shahzad, M.I.; Kotwica-Mojzych, K.; Mojzych, M. Pyridine Scaffolds, Phenols and Derivatives of Azo Moiety: Current Therapeutic Perspectives. Molecules 2021, 26, 4872. [Google Scholar] [CrossRef] [PubMed]
- Xiao-Qun, Z.; Xian-Li, M.; Ariffin, N.S. The potential of carbonic anhydrase enzymes as a novel target for anti-cancer treatment. Eur. J. Pharmacol. 2024, 976, 176677. [Google Scholar] [CrossRef]
- Supuran, C.T. An overview of novel antimicrobial carbonic anhydrase inhibitors. Expert Opin. Ther. Targets 2023, 27, 897–910. [Google Scholar] [CrossRef] [PubMed]
- Chen, Z.; Zhao, Y.; Liu, Y. Advanced Strategies of Enzyme Activity Regulation for Biomedical Applications. ChemBioChem 2022, 23, e202200358. [Google Scholar] [CrossRef]
- Lizard, G.; Latruffe, N.; Vervandier-Fasseur, D. Aza- and Azo-Stilbenes: Bio-Isosteric Analogs of Resveratrol. Molecules 2020, 25, 605. [Google Scholar] [CrossRef]
- Giampietro, L.; Laghezza, A.; Cerchia, C.; Florio, R.; Recinella, L.; Capone, F.; Ammazzalorso, A.; Bruno, I.; De Filippis, B.; Fantacuzzi, M.; et al. Novel Phenyldiazenyl Fibrate Analogues as PPAR α/γ/δ Pan-Agonists for the Amelioration of Metabolic Syndrome. ACS Med. Chem. Lett. 2019, 10, 545–551. [Google Scholar] [CrossRef] [PubMed]
- Merino, E. Synthesis of azobenzenes: The coloured pieces of molecular materials. Chem. Soc. Rev. 2011, 40, 3835–3853. [Google Scholar] [CrossRef]
- Compostella, M.E.; Berto, P.; Vallese, F.; Zanotti, G. Structure of α-carbonic anhydrase from the human pathogen Helicobacter pylori. Acta Crystallogr. F Struct. Biol. Commun. 2015, 71 Pt 8, 1005–1011. [Google Scholar] [CrossRef] [PubMed]
- Huang, S.; Hainzl, T.; Grundström, C.; Forsman, C.; Samuelsson, G.; Sauer-Eriksson, A.E. Structural studies of β-carbonic anhydrase from the green alga Coccomyxa: Inhibitor complexes with anions and acetazolamide. PLoS ONE 2011, 6, e28458. [Google Scholar] [CrossRef]
- Aspinall, G.O.; Monteiro, M.A.; Pang, H.; Walsh, E.J.; Moran, A.P. Lipopolysaccharide of the Helicobacter pylori type strain NCTC 11637 (ATCC 43504): Structure of the O antigen chain and core oligosaccharide regions. Biochemistry 1996, 35, 2489–2497. [Google Scholar] [CrossRef]
- Hossain, T.J. Methods for screening and evaluation of antimicrobial activity: A review of protocols, advantages, and limitations. Eur. J. Microbiol. Immunol. 2024, 14, 97–115. [Google Scholar] [CrossRef] [PubMed]
- Tsai, C.J.-Y.; Loh, J.M.S.; Proft, T. Galleria mellonella infection models for the study of bacterial diseases and for antimicrobial drug testing. Virulence 2016, 7, 214–229. [Google Scholar] [CrossRef] [PubMed]
- Freires, I.A.; Morelo, D.F.C.; Soares, L.F.F.; Costa, I.S.; de Araújo, L.P.; Breseghello, I.; Abdalla, H.B.; Lazarini, J.G.; Rosalen, P.L.; Pigossi, S.C.; et al. Progress and promise of alternative animal and non-animal methods in biomedical research. Arch. Toxicol. 2023, 97, 2329–2342. [Google Scholar] [CrossRef]
- Ménard, G.; Rouillon, A.; Cattoir, V.; Donnio, P.-Y. Galleria mellonella as a Suitable Model of Bacterial Infection: Past, Present and Future. Front. Cell. Infect. Microbiol. 2021, 11, 782733. [Google Scholar] [CrossRef]
- Serrano, I.; Verdial, C.; Tavares, L.; Oliveira, M. The Virtuous Galleria mellonella Model for Scientific Experimentation. Antibiotics 2023, 12, 505. [Google Scholar] [CrossRef]
- Dindo, M.L.; Modesto, M.; Rossi, C.; Di Vito, M.; Burgio, G.; Barbanti, L.; Mattarelli, P. Monarda fistulosa hydrolate as antimicrobial agent in artificial media for the in vitro rearing of the tachinid parasitoid Exorista larvarum. Èntomol. Exp. Appl. 2021, 169, 79–89. [Google Scholar] [CrossRef]
- Giannouli, M.; Palatucci, A.T.; Rubino, V.; Ruggiero, G.; Romano, M.; Triassi, M.; Ricci, V.; Zarrilli, R. Use of larvae of the wax moth Galleria mellonella as an in vivo model to study the virulence of Helicobacter pylori. BMC Microbiol. 2014, 14, 228. [Google Scholar] [CrossRef]
- Champion, O.L.; Wagley, S.; Titball, R.W. Galleria mellonella as a model host for microbiological and toxin research. Virulence 2016, 7, 840–845. [Google Scholar] [CrossRef] [PubMed]
- Gomes, A.P.; Costa, B.; Marques, R.; Nunes, V.; Coelho, C. Kaplan-Meier Survival Analysis: Practical Insights for Clinicians. Acta Medica Port. 2024, 37, 280–285. [Google Scholar] [CrossRef]
- Carryn, S.; Chanteux, H.; Seral, C.; Mingeot-Leclercq, M.-P.; Van Bambeke, F.; Tulkens, P.M. Intracellular pharmacodynamics of antibiotics. Infect. Dis. Clin. N. Am. 2003, 17, 615–634. [Google Scholar] [CrossRef]
- Khalifah, R.G. The carbon dioxide hydration activity of carbonic anhydrase. I. Stop-flow kinetic studies on the native human isoenzymes B and C. J. Biol. Chem. 1971, 246, 2561–2573. [Google Scholar] [CrossRef] [PubMed]
- D’agostino, I.; Mathew, G.E.; Angelini, P.; Venanzoni, R.; Flores, G.A.; Angeli, A.; Carradori, S.; Marinacci, B.; Menghini, L.; Abdelgawad, M.A.; et al. Biological investigation of N-methyl thiosemicarbazones as antimicrobial agents and bacterial carbonic anhydrases inhibitors. J. Enzym. Inhib. Med. Chem. 2022, 37, 986–993. [Google Scholar] [CrossRef] [PubMed]
- OpenEye Toolkits, 2020.2.2; OpenEye Scientific Software: Santa Fe, NM, USA. Available online: http://www.eyesopen.com (accessed on 15 February 2024).
- OMEGA, 3.1.0.3; OpenEye Scientific Software: Santa Fe, NM, USA. Available online: http://www.eyesopen.com (accessed on 15 February 2024).
- Quacpac, 2.0.0.3; OpenEye Scientific Software: Santa Fe, NM, USA. Available online: http://www.eyesopen.com (accessed on 15 February 2024).
- Szybki, 1.10.0.3; OpenEye Scientific Software: Santa Fe, NM, USA. Available online: http://www.eyesopen.com (accessed on 15 February 2024).
- Schrödinger Release 2021-1; Prime, Schrödinger, LLC: New York, NY, USA, 2021.
- Schrödinger Release 2021-1; Maestro, Schrödinger, LLC: New York, NY, USA, 2021.
- Lee, T.-S.; Allen, B.K.; Giese, T.J.; Guo, Z.; Li, P.; Lin, C.; McGee, T.D.; Pearlman, D.A.; Radak, B.K.; Tao, Y.; et al. Alchemical Binding Free Energy Calculations in AMBER20: Advances and Best Practices for Drug Discovery. J. Chem. Inf. Model. 2020, 60, 5595–5623. [Google Scholar] [CrossRef] [PubMed]
- Cau, Y.; Mori, M.; Supuran, C.T.; Botta, M. Mycobacterial carbonic anhydrase inhibition with phenolic acids and esters: Kinetic and computational investigations. Org. Biomol. Chem. 2016, 14, 8322–8330. [Google Scholar] [CrossRef] [PubMed]
- Jones, G.; Willett, P.; Glen, R.C.; Leach, A.R.; Taylor, R. Development and validation of a genetic algorithm for flexible docking. J. Mol. Biol. 1997, 267, 727–748. [Google Scholar] [CrossRef] [PubMed]
- Clinical and Laboratory Standard Institute [CLSI]. Performance Standards for Antimicrobial Susceptibility Testing; Seventeenth Informational Supplement M100–S17 27; Clinical and Laboratory Standard Institute: Wayne, PA, USA, 2007. [Google Scholar]
- Kaul, L.; Abdo, A.I.; Coenye, T.; Krom, B.P.; Hoogenkamp, M.A.; Zannettino, A.C.W.; Süss, R.; Richter, K. The combination of diethyldithiocarbamate and copper ions is active against Staphylococcus aureus and Staphylococcus epidermidis biofilms in vitro and in vivo. Front. Microbiol. 2022, 13, 999893. [Google Scholar] [CrossRef]
- Torres, M.; Diaz-Ortiz, J.; Davis, M.G.; Schwartz, J.R.; Celis Ramírez, A.M. Galleria mellonella as a superficial model for Malassezia globosa and its treatment. Access Microbiol. 2024, 6, 000745.v3. [Google Scholar] [CrossRef]





| CPD | KI (nM) * | ||||||||||||
|---|---|---|---|---|---|---|---|---|---|---|---|---|---|
![]() | Human Isoforms | Bacterial Isoforms | |||||||||||
| hCA I | hCA II | hCA IX | hCA XII | Pgi βCA | Pgi γCA | Hp αCA | Hp βCA | Eco βCA | Ps CA3 | Msc CA | Smu CA | ||
| N | Ar | ||||||||||||
| 4a | ![]() | 45 | 24.1 | 201 | 9.5 | 803 | 3438 | 65.8 | 74.1 | 400 | 228 | 2931 | 503 |
| 4b | ![]() | 34.8 | 3.3 | 831 | 21.8 | 1921 | 837 | 120 | 49.7 | 95.8 | 702 | 2811 | 649 |
| 4c | ![]() | 84.9 | 5.4 | 545 | 34.7 | 3628 | 2004 | 70.9 | 17.1 | 96.3 | 221 | 7764 | 289 |
| 4d | ![]() | 20.1 | 4.8 | 182 | 40.2 | 3167 | 94.7 | 39 | 19.4 | 738 | 222 | 6423 | 444 |
| 4e | ![]() | 5.4 | 4.2 | 191 | 54.1 | 899 | 347 | 89.2 | 68.8 | 95.3 | 495 | 5720 | 213 |
| 4f | ![]() | 5.7 | 1.9 | 97.1 | 56.7 | 3760 | 472 | 69.4 | 70.6 | 867 | 191 | 5694 | 215 |
| 4g | ![]() | 4.9 | 3.7 | 171 | 63.9 | 3668 | 939 | 142 | 74.3 | 550 | 879 | 7282 | 500 |
| 4h | ![]() | 68.4 | 6.6 | 184 | 9.6 | 3850 | 772 | 130 | 127 | 360 | 980 | 5316 | 82.1 |
| 4i | ![]() | 4.4 | 3.4 | 181 | 7.5 | 2071 | 6326 | 140 | 119 | 2115 | 114 | 7468 | 368 |
| 4j | ![]() | 5.3 | 4.7 | 213 | 84.1 | 5778 | 914 | 72.2 | 138 | 3044 | 1845 | 6316 | 296 |
AAZ![]() | 250 | 12.1 | 25.8 | 5.7 | 214 | 324 | 21.4 | 40 | 227 | 75.9 | 628 | 344 | |
| CPD | KI (nM) | ||||||||||
|---|---|---|---|---|---|---|---|---|---|---|---|
![]() | Human Isoforms | Bacterial Isoforms | |||||||||
| hCA I | hCA II | hCA IX | hCA XII | Pgi βCA | Pgi γCA | Hp αCA | Eco βCA | Ps CA3 | Msc CA | ||
| Ar | |||||||||||
| 5a | ![]() | 209 | n.a. | 3977 | 955 | n.a. | n.a. | 460 | 6949 | 9284 | 22,845 |
| 5b | ![]() | 359 | n.a. | 614 | 760 | 71,449 | n.a. | 75.6 | 73,361 | 5760 | 6962 |
| 5c | ![]() | 908 | 24,679 | 9196 | 1750 | n.a. | n.a. | 77.6 | 9206 | n.a. | 54,752 |
| 5d | ![]() | 6749 | n.a. | 601 | 215 | n.a. | n.a. | 70.9 | 9081 | 90178 | n.a. |
| 5e | ![]() | 853 | n.a. | 792 | 847 | n.a. | n.a. | 604 | 58,996 | n.a. | 8595 |
| 5f | ![]() | 905 | n.a. | 5739 | 894 | n.a. | n.a. | 71.3 | 77,702 | n.a. | n.a. |
| 5g | ![]() | 905 | n.a. | 4043 | 4117 | n.a. | n.a. | 55.8 | 59,165 | n.a. | 28,418 |
| 5h | ![]() | 5531 | n.a. | 4495 | 2254 | n.a. | n.a. | 79 | 88,538 | n.a. | 7515 |
| 5i | ![]() | 5990 | 970,324 | 599 | 2240 | n.a. | n.a. | 89.8 | 6951 | 9284 | n.a. |
| 5j | ![]() | 931 | n.a. | 7075 | 3335 | n.a. | n.a. | 68.4 | n.a. | 69,829 | 28,728 |
| AAZ | 250 | 12.1 | 25.8 | 5.7 | 214 | 324 | 21.4 | 227 | 75.9 | 344 | |
| CPD | MIC * (μg/mL) | MBC * (μg/mL) |
|---|---|---|
| 4a | 8 | 32 |
| 4b | 32 | 32 |
| 4c | 8 | 16 |
| 4d | 64 | 128 |
| 4e | 8 | 16 |
| 4f | 32 | 32 |
| 4g | 16 | 32 |
| 4h | 32 | 64 |
| 4i | 32 | 64 |
| 4j | 16 | 32 |
| 5a | 16 | 32 |
| 5b | 32 | 64 |
| 5c | 4 | 8 |
| 5d | 16 | 64 |
| 5e | 8 | 16 |
| 5f | 4 | 4 |
| 5g | 16 | 16 |
| 5h | 64 | 128 |
| 5i | 16 | 32 |
| 5j | 16 | 16 |
| Amoxicillin | 0.064 | 0.064 |
Disclaimer/Publisher’s Note: The statements, opinions and data contained in all publications are solely those of the individual author(s) and contributor(s) and not of MDPI and/or the editor(s). MDPI and/or the editor(s) disclaim responsibility for any injury to people or property resulting from any ideas, methods, instructions or products referred to in the content. |
© 2024 by the authors. Licensee MDPI, Basel, Switzerland. This article is an open access article distributed under the terms and conditions of the Creative Commons Attribution (CC BY) license (https://creativecommons.org/licenses/by/4.0/).
Share and Cite
Giampietro, L.; Marinacci, B.; Della Valle, A.; D’Agostino, I.; Lauro, A.; Mori, M.; Carradori, S.; Ammazzalorso, A.; De Filippis, B.; Maccallini, C.; et al. Azobenzenesulfonamide Carbonic Anhydrase Inhibitors as New Weapons to Fight Helicobacter pylori: Synthesis, Bioactivity Evaluation, In Vivo Toxicity, and Computational Studies. Pharmaceuticals 2024, 17, 1027. https://doi.org/10.3390/ph17081027
Giampietro L, Marinacci B, Della Valle A, D’Agostino I, Lauro A, Mori M, Carradori S, Ammazzalorso A, De Filippis B, Maccallini C, et al. Azobenzenesulfonamide Carbonic Anhydrase Inhibitors as New Weapons to Fight Helicobacter pylori: Synthesis, Bioactivity Evaluation, In Vivo Toxicity, and Computational Studies. Pharmaceuticals. 2024; 17(8):1027. https://doi.org/10.3390/ph17081027
Chicago/Turabian StyleGiampietro, Letizia, Beatrice Marinacci, Alice Della Valle, Ilaria D’Agostino, Aldo Lauro, Mattia Mori, Simone Carradori, Alessandra Ammazzalorso, Barbara De Filippis, Cristina Maccallini, and et al. 2024. "Azobenzenesulfonamide Carbonic Anhydrase Inhibitors as New Weapons to Fight Helicobacter pylori: Synthesis, Bioactivity Evaluation, In Vivo Toxicity, and Computational Studies" Pharmaceuticals 17, no. 8: 1027. https://doi.org/10.3390/ph17081027
APA StyleGiampietro, L., Marinacci, B., Della Valle, A., D’Agostino, I., Lauro, A., Mori, M., Carradori, S., Ammazzalorso, A., De Filippis, B., Maccallini, C., Angeli, A., Capasso, C., Francati, S., Mollica, A., Grande, R., & Supuran, C. T. (2024). Azobenzenesulfonamide Carbonic Anhydrase Inhibitors as New Weapons to Fight Helicobacter pylori: Synthesis, Bioactivity Evaluation, In Vivo Toxicity, and Computational Studies. Pharmaceuticals, 17(8), 1027. https://doi.org/10.3390/ph17081027
























