Cleomin Exerts Acute Antinociceptive Effects in Mice via GABAB and Muscarinic Receptors
Abstract
:1. Introduction
2. Results
2.1. Effect of Cleomin on Motor Function in Mice
2.2. Effect of Cleomin on Pain-like Behavior in the Formalin Test
2.3. Cleomin Reduces Pain-like Behavior in Cold Plate and Tail Flick Tests
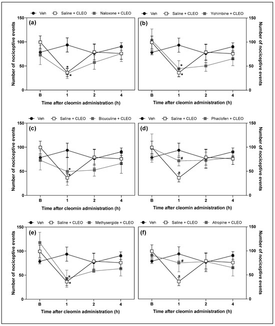
2.4. Cleomin Induces Antinociceptive Effects in Mice via GABAB- and Muscarinic Receptors
2.5. Cleomin Presented Satisfactory Coupling with GABAB and M2 Receptors in Docking Analysis
2.6. In Silico Prediction of Cleomin Pharmacokinetics
3. Discussion
4. Materials and Methods
4.1. Animals
4.2. Extraction and Isolation
4.3. Motor Function Assay
4.4. Formalin Test
4.5. Cold Plate Test
4.6. Tail Flick Test
4.7. Functional Antagonism Assays
4.8. Docking Studies
4.9. In Silico Pharmacokinetics Prediction of Cleomin
4.10. Statistical Analysis
5. Conclusions
Author Contributions
Funding
Institutional Review Board Statement
Informed Consent Statement
Data Availability Statement
Acknowledgments
Conflicts of Interest
References
- Solomon, D.H.; Husni, M.E.; Libby, P.A.; Yeomans, N.D.; Lincoff, A.M.; Luscher, T.F.; Menon, V.; Brennan, D.M.; Wisniewski, L.M.; Nissen, S.E.; et al. The Risk of Major NSAID Toxicity with Celecoxib, Ibuprofen, or Naproxen: A Secondary Analysis of the PRECISION Trial. Am. J. Med. 2017, 130, 1415–1422.e14. [Google Scholar] [CrossRef] [PubMed]
- Vearrier, D.; Grundmann, O. Clinical Pharmacology, Toxicity, and Abuse Potential of Opioids. J. Clin. Pharmacol. 2021, 61 (Suppl. 2), S70–S88. [Google Scholar] [CrossRef]
- Davis, K.D.; Aghaeepour, N.; Ahn, A.H.; Angst, M.S.; Borsook, D.; Brenton, A.; Burczynski, M.E.; Crean, C.; Edwards, R.; Gaudilliere, B.; et al. Discovery and validation of biomarkers to aid the development of safe and effective pain therapeutics: Challenges and opportunities. Nat. Rev. Neurol. 2020, 16, 381–400. [Google Scholar] [CrossRef] [PubMed]
- Eisenschmidt-Bönn, D.; Schneegans, N.; Backenköhler, A.; Wittstock, U.; Brandt, W. Structural Diversification during Glucosinolate Breakdown: Mechanisms of Thiocyanate, Epithionitrile and Simple Nitrile Formation. Plant J. 2019, 99, 329–343. [Google Scholar] [CrossRef] [PubMed]
- Radulović, N.S.; Todorovska, M.M.; Zlatković, D.B.; Stojanović, N.M.; Randjelović, P.J. Two Goitrogenic 1,3-Oxazolidine-2-Thione Derivatives from Brassicales Taxa: Challenging Identification, Occurrence and Immunomodulatory Effects. Food Chem. Toxicol. 2017, 110, 94–108. [Google Scholar] [CrossRef] [PubMed]
- Nie, L.; Wu, Y.; Dai, Z.; Ma, S. Antiviral activity of Isatidis Radix derived glucosinolate isomers and their breakdown products against influenza A in vitro/ovo and mechanism of action. J. Ethnopharmacol. 2020, 251, 112550. [Google Scholar] [CrossRef] [PubMed]
- Morales-Nava, R.; Olivo, H.F. Chiral Sulfur-Containing Imide Auxiliaries in Medicinal Chemistry. In Imides; Elsevier: Amsterdam, The Netherlands, 2019; pp. 169–253. [Google Scholar]
- Oguakwa, J.U.; Patamia, M.; Galeffi, C. Isolation of Cleomin from Roots of Ritchiea Longipedicellata. Planta Med. 1981, 41, 410–412. [Google Scholar] [CrossRef]
- de Souza, T.A.; Silva, J.P.R.; Rodrigues, D.F.; Herrera-Acevedo, C.; de Menezes, R.P.B.; Borges, N.H.; de Melo, J.I.M.; de Siqueira-Júnior, J.P.; Scotti, M.T.; Abreu, L.S.; et al. Oxazolidines from Neocalyptrocalyx Longifolium Inhibit MsrA Protein in Methicillin Resistant Staphylococcus Aureus. Rev. Bras. Farmacogn. 2023, 33, 1084–1088. [Google Scholar] [CrossRef]
- de Albuquerque, U.P.; de Medeiros, P.M.; de Almeida, A.L.S.; Monteiro, J.M.; de Freitas Lins Neto, E.M.; de Melo, J.G.; dos Santos, J.P. Medicinal Plants of the Caatinga (Semi-Arid) Vegetation of NE Brazil: A Quantitative Approach. J. Ethnopharmacol. 2007, 114, 325–354. [Google Scholar] [CrossRef]
- Muhammed, T.M.; Esin, A. Molecular Docking: Principles, Advances, and Its Applications in Drug Discovery. Lett. Drug Design Discov. 2023, 20, 1–16. [Google Scholar] [CrossRef]
- Cheng, T.; Zhao, Y.; Li, X.; Lin, F.; Xu, Y.; Zhang, X.; Li, Y.; Wang, R.; Lai, L. Computation of Octanol−Water Partition Coefficients by Guiding an Additive Model with Knowledge. J. Chem. Inf. Model. 2007, 47, 2140–2148. [Google Scholar] [CrossRef]
- Daina, A.; Michielin, O.; Zoete, V. iLOGP: A Simple, Robust, and Efficient Description of n -Octanol/Water Partition Coefficient for Drug Design Using the GB/SA Approach. J. Chem. Inf. Model. 2014, 54, 3284–3301. [Google Scholar] [CrossRef]
- Lipinski, C.A.; Lombardo, F.; Dominy, B.W.; Feeney, P.J. Experimental and computational approaches to estimate solubility and permeability in drug discovery and development settings. Adv. Drug Deliv. Rev. 2001, 46, 3–26. [Google Scholar] [CrossRef]
- Hunskaar, S.; Hole, K. The Formalin Test in Mice: Dissociation between Inflammatory and Non-Inflammatory Pain. Pain 1987, 30, 103–114. [Google Scholar] [CrossRef] [PubMed]
- Shibata, M.; Ohkubo, T.; Takahashi, H.; Inoki, R. Modified formalin test: Characteristic biphasic pain response. Pain 1989, 38, 347–352. [Google Scholar] [CrossRef]
- Le Bars, D.; Gozariu, M.; Cadden, S.W. Animal Models of Nociception. Pharmacol. Rev. 2001, 53, 597–652. [Google Scholar] [PubMed]
- Jensen, T.S.; Yaksh, T.L.I. Comparison of Antinociceptive Action of Morphine in the Periaqueductal Gray, Medial and Paramedial Medulla in Rat. Brain Res. 1986, 363, 99–113. [Google Scholar] [CrossRef]
- Jasmin, L.; Kohan, L.; Franssen, M.; Janni, G.; Goff, J.R. The cold plate as a test of nociceptive behaviors: Description and application to the study of chronic neuropathic and inflammatory pain models. Pain 1998, 75, 367–382. [Google Scholar] [CrossRef]
- Millan, M.J. The induction of pain: An integrative review. Prog. Neurobiol. 1999, 57, 1–164. [Google Scholar] [CrossRef] [PubMed]
- Calver, A.R.; Medhurst, A.D.; Robbins, M.J.; Charles, K.J.; Evans, M.L.; Harrison, D.C.; Stammers, M.; Hughes, S.A.; Hervieu, G.; Couve, A.; et al. The Expression of GABAB1 and GABAB2 Receptor Subunits in the CNS Differs from That in Peripheral Tissues. Neuroscience 2000, 100, 155–170. [Google Scholar] [CrossRef]
- Gupta, M.; Sharma, R.; Kumar, A. Docking Techniques in Pharmacology: How Much Promising? Comput. Biol. Chem. 2018, 76, 210–217. [Google Scholar] [CrossRef] [PubMed]
- Meng, X.-Y.; Zhang, H.-X.; Mezei, M.; Cui, M. Molecular Docking: A Powerful Approach for Structure-Based Drug Discovery. Curr. Comput. Aided-Drug Des. 2011, 7, 146–157. [Google Scholar] [CrossRef] [PubMed]
- Hai, Y.; Wei, M.-Y.; Wang, C.-Y.; Gu, Y.-C.; Shao, C.-L. The Intriguing Chemistry and Biology of Sulfur-Containing Natural Products from Marine Microorganisms (1987–2020). Mar. Life Sci. Technol. 2021, 3, 488–518. [Google Scholar] [CrossRef] [PubMed]
- Malcangio, M. GABAB Receptors and Pain. Neuropharmacology 2018, 136, 102–105. [Google Scholar] [CrossRef]
- Naser, P.V.; Kuner, R. Molecular, Cellular and Circuit Basis of Cholinergic Modulation of Pain. Neuroscience 2018, 387, 135–148. [Google Scholar] [CrossRef]
- Otis, T.S.; De Koninck, Y.; Mody, I. Characterization of Synaptically Elicited GABAB Responses Using Patch-Clamp Recordings in Rat Hippocampal Slices. J. Physiol. 1993, 463, 391–407. [Google Scholar] [CrossRef]
- Lüscher, C.; Jan, L.Y.; Stoffel, M.; Malenka, R.C.; Nicoll, R.A. G Protein-Coupled Inwardly Rectifying K+ Channels (GIRKs) Mediate Postsynaptic but Not Presynaptic Transmitter Actions in Hippocampal Neurons. Neuron 1997, 19, 687–695. [Google Scholar] [CrossRef]
- Chen, G.; van den Pol, A.N. Presynaptic GABAB Autoreceptor Modulation of P/Q-Type Calcium Channels and GABA Release in Rat Suprachiasmatic Nucleus Neurons. J. Neurosci. 1998, 18, 1913–1922. [Google Scholar] [CrossRef]
- Andersen, F.D.; Joca, S.; Hvingelby, V.; Arjmand, S.; Pinilla, E.; Steffensen, S.C.; Simonsen, U.; Andersen, C.U. Combined effects of quetiapine and opioids: A study of autopsy cases, drug users and sedation in rats. Addict. Biol. 2022, 27, e13214. [Google Scholar] [CrossRef]
- Essmat, N.; Galambos, A.R.; Lakatos, P.P.; Karádi, D.Á.; Mohammadzadeh, A.; Abbood, S.K.; Geda, O.; Laufer, R.; Király, K.; Riba, P.; et al. Pregabalin-Tolperisone Combination to Treat Neuropathic Pain: Improved Analgesia and Reduced Side Effects in Rats. Pharmaceuticals 2023, 16, 1115. [Google Scholar] [CrossRef]
- Cornelissen, F.M.G.; Markert, G.; Deutsch, G.; Antonara, M.; Faaij, N.; Bartelink, I.; Noske, D.; Vandertop, W.P.; Bender, A.; Westerman, B.A. Explaining Blood–Brain Barrier Permeability of Small Molecules by Integrated Analysis of Different Transport Mechanisms. J. Med. Chem. 2023, 66, 7253–7267. [Google Scholar] [CrossRef] [PubMed]
- Daina, A.; Zoete, V. A BOILED-Egg to Predict Gastrointestinal Absorption and Brain Penetration of Small Molecules. ChemMedChem 2016, 11, 1117–1121. [Google Scholar] [CrossRef] [PubMed]
- Espírito-Santo, R.F.; Meira, C.S.; Costa, R.D.S.; Souza Filho, O.P.; Evangelista, A.F.; Trossini, G.H.G.; Ferreira, G.M.; Velozo, E.D.S.; Villarreal, C.F.; Soares, M.B.P. The anti-inflammatory and immunomodulatory potential of braylin: Pharmacological properties and mechanisms by in silico, in vitro and in vivo approaches. PLoS ONE 2017, 12, e0179174. [Google Scholar] [CrossRef] [PubMed]
- Dubuisson, D.; Dennis, S.G. The formalin test: A quantitative study of the analgesic effects of morphine, meperidine, and brain stem stimulation in rats and cats. Pain 1977, 4, 161–174. [Google Scholar] [CrossRef] [PubMed]
- Nascimento, O.A.; do Espírito-Santo, R.F.; Opretzka, L.C.; Barbosa-Filho, J.M.; Gutierrez, S.J.; Villarreal, C.F.; Soares, M.B. Pharmacological Properties of Riparin IV in Models of Pain and Inflammation. Molecules 2016, 21, 1757. [Google Scholar] [CrossRef]
- dos Santos, G.G.L.; Oliveira, A.L.L.; Santos, D.S.; do Espírito Santo, R.F.; Silva, D.N.; Juiz, P.J.L.; Soares, M.B.P.; Villarreal, C.F. Mesenchymal Stem Cells Reduce the Oxaliplatin-Induced Sensory Neuropathy through the Reestablishment of Redox Homeostasis in the Spinal Cord. Life Sci. 2021, 265, 118755. [Google Scholar] [CrossRef]
- Opretzka, L.C.F.; Freitas, H.F.; Espírito-Santo, R.F.; Abreu, L.S.; Alves, I.M.; Tavares, J.F.; Velozo, E.D.S.; Castilho, M.S.; Villarreal, C.F. 5-O-methylcneorumchromone K Exerts Antinociceptive Effects in Mice via Interaction with GABAA Receptors. Int. J. Mol. Sci. 2021, 22, 3413. [Google Scholar] [CrossRef]
- de Lima, F.O.; Alves, V.; Filho, J.M.B.; da Silva Almeida, J.R.G.; Rodrigues, L.C.; Soares, M.B.P.; Villarreal, C.F. Antinociceptive Effect of Lupeol: Evidence for a Role of Cytokines Inhibition. Phytother. Res. 2013, 27, 1557–1563. [Google Scholar] [CrossRef]
- Hess, S.; Padoani, C.; Scorteganha, L.C.; Holzmann, I.; Malheiros, A.; Yunes, R.A.; Delle Monache, F.; de Souza, M.M. Assessment of Mechanisms Involved in Antinociception Caused by Myrsinoic Acid B. Biol. Pharm. Bull. 2010, 33, 209–215. [Google Scholar] [CrossRef]
- Thomsen, R.; Christensen, M.H. MolDock: A New Technique for High-Accuracy Molecular Docking. J. Med. Chem. 2006, 49, 3315–3321. [Google Scholar] [CrossRef]
- CLC bio Company. Molegro Virtual Docker—User Manual; Molegro—CLC bio Company: Aarhus, Denmark, 2013. [Google Scholar]
- Geng, Y.; Bush, M.; Mosyak, L.; Wang, F.; Fan, Q.R. Structural Mechanism of Ligand Activation in Human GABAB Receptor. Nature 2013, 504, 254–259. [Google Scholar] [CrossRef] [PubMed]
- Kruse, A.C.; Ring, A.M.; Manglik, A.; Hu, J.; Hu, K.; Eitel, K.; Hübner, H.; Pardon, E.; Valant, C.; Sexton, P.M.; et al. Activation and Allosteric Modulation of a Muscarinic Acetylcholine Receptor. Nature 2013, 504, 101–106. [Google Scholar] [CrossRef] [PubMed]
- Pan, Y.; Huang, N.; Cho, S.; MacKerell, A.D. Consideration of Molecular Weight during Compound Selection in Virtual Target-Based Database Screening. J. Chem. Inf. Comput. Sci. 2003, 43, 267–272. [Google Scholar] [CrossRef] [PubMed]
- Daina, A.; Michielin, O.; Zoete, V. SwissADME: A free web tool to evaluate pharmacokinetics, drug-likeness and medicinal chemistry friendliness of small molecules. Sci. Rep. 2017, 7, 42717. [Google Scholar] [CrossRef] [PubMed]
- Ahmed, S.; Mobashir, M.; Al-Keridis, L.A.; Alshammari, N.; Adnan, M.; Abid, M.; Hassan, M.I. A Network-Guided Approach to Discover Phytochemical-Based Anticancer Therapy: Targeting MARK4 for Hepatocellular Carcinoma. Front. Oncol. 2022, 12, 914032. [Google Scholar] [CrossRef]
- El-Nashar, H.A.S.; El-labbad, E.M.; Al-Azzawi, M.A.; Ashmawy, N.S. A New Xanthone Glycoside from Mangifera indica L.: Physicochemical Properties and In Vitro Anti-Skin Aging Activities. Molecules 2022, 27, 2609. [Google Scholar] [CrossRef]
- Bendjedid, S.; Benouchenne, D. In silico studies for assessing physicochemical, pharmacokinetic and cytotoxic properties of bioactive molecules identified by LC-MS in Aloe vera leaf extracts. S. Afr. J. Bot. 2023, 157, 75–81. [Google Scholar] [CrossRef]









Disclaimer/Publisher’s Note: The statements, opinions and data contained in all publications are solely those of the individual author(s) and contributor(s) and not of MDPI and/or the editor(s). MDPI and/or the editor(s) disclaim responsibility for any injury to people or property resulting from any ideas, methods, instructions or products referred to in the content. |
© 2023 by the authors. Licensee MDPI, Basel, Switzerland. This article is an open access article distributed under the terms and conditions of the Creative Commons Attribution (CC BY) license (https://creativecommons.org/licenses/by/4.0/).
Share and Cite
Opretzka, L.C.F.; Viana, M.D.M.; de Lima, A.A.; de Souza, T.A.; Scotti, M.T.; Tavares, J.F.; da Silva, M.S.; Soares, M.B.P.; Villarreal, C.F. Cleomin Exerts Acute Antinociceptive Effects in Mice via GABAB and Muscarinic Receptors. Pharmaceuticals 2023, 16, 1547. https://doi.org/10.3390/ph16111547
Opretzka LCF, Viana MDM, de Lima AA, de Souza TA, Scotti MT, Tavares JF, da Silva MS, Soares MBP, Villarreal CF. Cleomin Exerts Acute Antinociceptive Effects in Mice via GABAB and Muscarinic Receptors. Pharmaceuticals. 2023; 16(11):1547. https://doi.org/10.3390/ph16111547
Chicago/Turabian StyleOpretzka, Luíza Carolina França, Max Denisson Maurício Viana, Alyne Almeida de Lima, Thalisson Amorim de Souza, Marcus Tullius Scotti, Josean Fechine Tavares, Marcelo Sobral da Silva, Milena Botelho Pereira Soares, and Cristiane Flora Villarreal. 2023. "Cleomin Exerts Acute Antinociceptive Effects in Mice via GABAB and Muscarinic Receptors" Pharmaceuticals 16, no. 11: 1547. https://doi.org/10.3390/ph16111547
APA StyleOpretzka, L. C. F., Viana, M. D. M., de Lima, A. A., de Souza, T. A., Scotti, M. T., Tavares, J. F., da Silva, M. S., Soares, M. B. P., & Villarreal, C. F. (2023). Cleomin Exerts Acute Antinociceptive Effects in Mice via GABAB and Muscarinic Receptors. Pharmaceuticals, 16(11), 1547. https://doi.org/10.3390/ph16111547

