Next Article in Journal
In Silico Studies of Potential Selective Inhibitors of Thymidylate Kinase from Variola virus
Previous Article in Journal
Repurposing Peroxisome Proliferator-Activated Receptor Agonists in Neurological and Psychiatric Disorders
 
 
Font Type:
Arial Georgia Verdana
Font Size:
Aa Aa Aa
Line Spacing:
Column Width:
Background:
Article

Modular Synthesis and Antiproliferative Activity of New Dihydro-1H-pyrazolo[1,3-b]pyridine Embelin Derivatives

by
Pedro Martín-Acosta
1,
Ángel Amesty
1,
Miguel Guerra-Rodríguez
2,
Borja Guerra
2,
Leandro Fernández-Pérez
2,* and
Ana Estévez-Braun
1,*
1
Departamento de Química Orgánica, Instituto Universitario de Bio-Orgánica Antonio González, Universidad de La Laguna, Avda. Astrofísico Francisco Sánchez No. 2, 38206 Tenerife, Spain
2
Instituto Universitario de Investigaciones Biomédicas y Sanitarias (IUIBS), Farmacología Molecular y Traslacional (BIOPharm), Universidad de Las Palmas de Gran Canaria (ULPGC), 35001 Las Palmas de Gran Canaria, Spain
*
Authors to whom correspondence should be addressed.
Pharmaceuticals 2021, 14(10), 1026; https://doi.org/10.3390/ph14101026
Submission received: 7 September 2021 / Revised: 30 September 2021 / Accepted: 4 October 2021 / Published: 8 October 2021
(This article belongs to the Section Medicinal Chemistry)

Abstract

:
A set of new dihydro-1H-pyrazolo[1,3-b]pyridine and pyrazolo[1,3-b]pyridine embelin derivatives was synthesized through a multicomponent reaction from natural embelin, 3-substituted-5-aminopyrazoles and aldehydes. The synthesized compounds were evaluated against three hematologic tumor cell lines, HEL (acute erythroid leukemia), K-562 (chronic myeloid leukemia) and HL-60 (acute myeloid leukemia), and five breast cancer cell lines (SKBR3, MCF-7, MDA-MB-231, BT-549, HS-578T). The primate non-malignant kidney Vero cell line was used as the control of cytotoxicity. From the obtained results, some structure–activity relationships were outlined. Furthermore, in silico prediction of physicochemical properties and ADME parameters were determined for the derivatives with the best antiproliferative values.

1. Introduction

Heterocyclic compounds are of great importance in medicinal chemistry [1]. Molecules with these structures are present in many essential compounds for life as nucleic acids, amino acids, chlorophyll or vitamins, among others [2]. Titarenko et al. demonstrated during the development of the BioCore strategy [3] that more than 67% of the molecules included in the “Comprehensive Medicinal Chemistry” database contain heterocyclic rings. The non-aromatic heterocycles are twice as abundant as the heteroaromatics [4] and the combination of both is frequently present in alkaloids and drugs [5]. Among all heterocycles, nitrogenated heterocycles are particularly relevant in medicinal chemistry. Furthermore, an analysis of the approved drugs by the FDA database conducted by Njardarson et al. [6], revealed that 59% of them contained nitrogenated heterocycles. Pyrazoles are very attractive nitrogenated scaffolds since molecules having pyrazoles fused to other heterocycles such as dihydro-1H-pyrazolo[1,3-b]pyridines and pyrazolo[3,4-b]pyridines have raised great interest due to the biological activities that they exhibit. Figure 1 shows some examples of antitumoral compounds that exhibit this type of structure such as spirooxindoles (A) with cytotoxic activity against triple-negative breast cancer MDA-MB-231 cell line [7], compound (B) with potent and selective inhibitory activity against FGFR kinase [8] and compound (C) as potent tubulin polymerization inhibition [9].
Several synthetic methodologies for the preparation of dihydro-1H-pyrazolo[1,3-b] pyridines and pyrazolo[3,4-b]pyridines are found in the literature. Of special interest are those based on multicomponent reactions (MCRs), such as those involving the condensation of 1,3-dicarbonyl compounds with aldehydes and aminopyrazole derivatives [10]. Thus, for instance, some coumarin-fused pyridines/dihydropyridines were obtained from aminopyrazoles, 4-hydroxycoumarin and arylglyoxals [11,12]. Another example is the preparation of spiro[indoline-3,4′-pyrazolo[3,4-b]pyridines] from isatins, pyrazol-5-amines and β-ketonitriles [13].
Although the use of MCR allows us a quick and easy access to molecules with complex structural motifs, one of the problems associated with the use of this kind of methodology is related to the selectivity in the formation of the reaction products. Consequently, when a synthetic strategy involving a domino mechanism is designed, it is of significant importance to evaluate the different functionalities of the reagents used, the possible reaction products, as well as the different reaction parameters in order to control the selectivity of the transformation. An example of the former is the work published by Kappe et al. where the multicomponent condensation reaction of 3-aminopyrazoles, with 1,3-diketones and aromatic aldehydes, allows the obtaining of different products under different reaction conditions, due to the presence of three non-equivalent nucleophilic centers in the aminopyrazole component [14].
With these antecedents and because of our interest in the preparation of bioactive derivatives from the natural benzoquinone embelin [15,16,17,18], we decided to synthesize new dihydro-1H-pyrazolo[1,3-b]pyridine and pyrazolo[1,3-b]pyridine embelin analogues and evaluate their potential as antiproliferative agents against eight different human hematological (HEL, K-562, HL-60), and breast cancer cell lines (SKBr3, MCF-7, MDA-MB-231, BT-549 and HS-578).

2. Results and Discussion

Since embelin (1) has a masked 1,3-dicarbonyl moiety, the condensation of (1) with 4-nitrobenzaldehyde (2a) and 3-phenyl-5-aminopyrazole (3a) was carried out in order to obtain the desired dihydro-1H-pyrazolo[1,3-b]pyridine derivatives, using EtOH as solvent at room temperature. Ethylendiamine diacetate (EDDA, 10 mol %) was also used as an effective organocatalyst for the initial Knoevenagel condensation. Under these reaction conditions the product 4a was obtained in 33% yield. The structure of 4a was determined and corroborated by 1D and 2D NMR experiments (Supplementary Materials).
Next, we proceeded to optimize the reaction conditions, focusing on achieving the highest yield to use small amounts of natural embelin due to the limited amount of it available in our laboratory. When the reaction was carried out under conventional heating using an equimolar ratio of the reagents (Table 1, entry 2), the product 4a was obtained in 75% yield. Since heating was necessary in order to obtain a significant yield, we decided to test the use of MW irradiation to improve yields by shortening the reaction time and minimizing the side products. Additionally, we tried to use an alternative solvent, and modify the ratio of the reagents. In this sense, we selected DCE since in a previous work with embelin the use of DCE under MW irradiation produced very good results [19]. Considering this, it was found that the combination of DCE, and an excess of 0.5 equiv of aldehyde and 5-aminopyrazol afforded the corresponding adduct in 94% yield (entry 7).
Once the reaction conditions were optimized, we examined the scope of this three-component reaction using different substituted aromatic, heteroaromatic and aliphatic aldehydes. The structures and yields of the obtained products are shown in Table 2.
As we can observe, different yields were obtained depending on the type of aldehyde used in the Knoevenagel condensation. Thus, with aromatic aldehydes substituted with both electron-withdrawing (4a4k) and electron-donating groups (4l4o) good yields (73–98%) were obtained. The use of heteroaromatic aldehydes led to the corresponding products (4p4s) in moderate yields (42–63%). This methodology is also tolerant to aliphatic aldehydes since the corresponding dihydro-1H-pyrazolo[1,3-b]pyridine adducts (4t4w) were obtained.
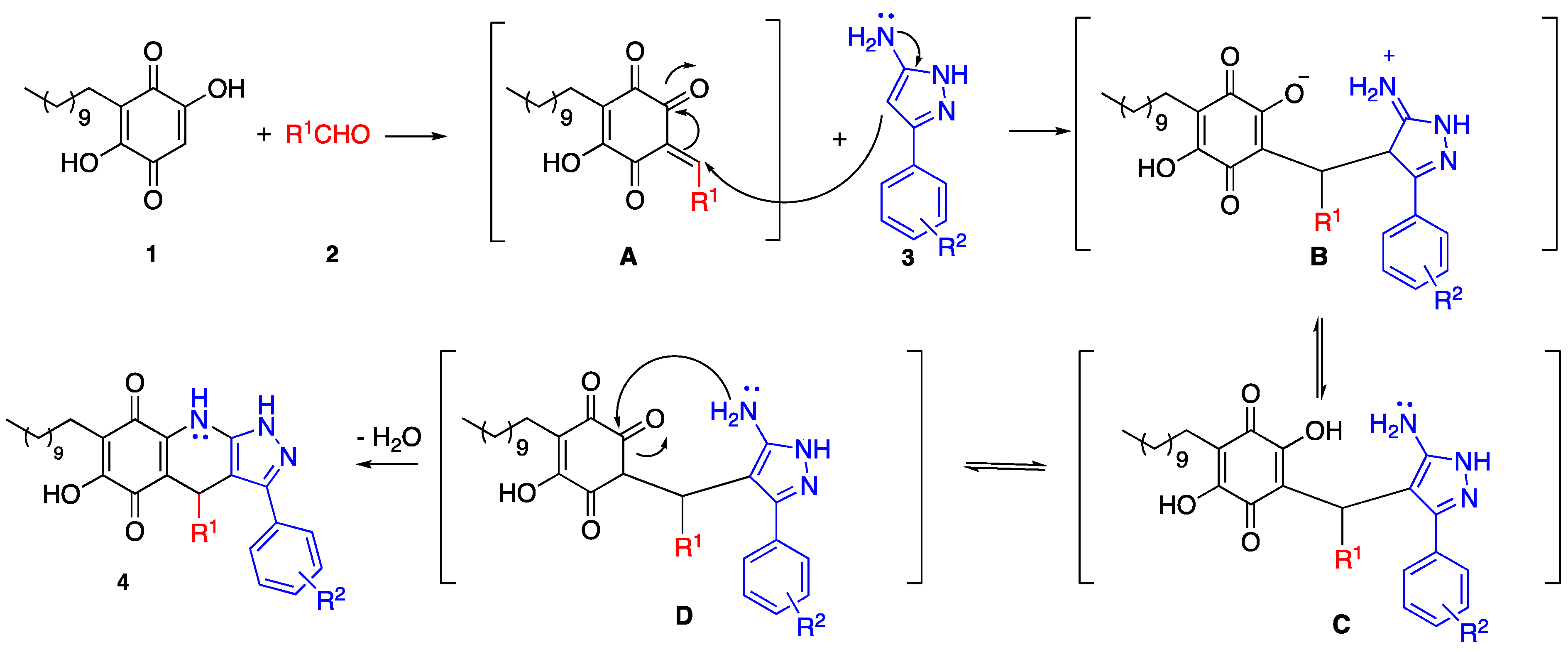
A plausible mechanism for the formation of these embelin derivatives (4) is shown in Scheme 1. Knoevenagel condensation between the aldehyde (2) and embelin (1) results in the formation of a methylene quinone reactive intermediate (A), which is trapped by the 3-phenyl-5-aminopyrazole (3). The reaction takes place via Michael addition to the methylene quinone system by the nucleophilic carbon in the α position to the amino group of the 3-phenyl-5-aminopyrazole to give the intermediate (B) which after a proton transfer gives the dihydropyridine system by intramolecular cyclization and dehydration.
These compounds were subsequently subjected to cellular phenotypic assays against eight different tumor cell lines. Three hematologic tumor cell lines, HEL (acute erythroid leukemia), K-562 (chronic myeloid leukemia) and HL-60 (acute myeloid leukemia), and five breast cancer cell lines (SKBR3, MCF-7, MDA-MB-231, BT-549, HS-578T). The primate non-malignant kidney Vero cell line was used as control of cytotoxicity. The results obtained are shown in Table 3.
None of the compounds evaluated showed significant cytotoxic activity in the triple negative breast cancer cell lines MDA-MB-231 and HS-578T. Several of the compounds showed good cytotoxic activity against the rest of cell lines evaluated with IC50 values between 0.7 and 7.5 μM.
In general terms, the best results were obtained in the leukemia cell lines compared to the breast cancer cell lines. Concerning the leukemia cell lines, compound 4a, with a 4-NO2 group, exhibited the best cytotoxic activity in HL60 with an IC50 of 0.70 ± 0.14 μM. This compound also showed good activity values in HEL (1.05 ± 0.35 μM) and K562 (1.25 ± 0.35 μM). Derivatives 4c, 4d, 4e and 4g, with substituents 4-Cl, 4-Br, 4-F and 4-CF3, respectively, also presented good values of cytotoxic activity in the three leukemia cell lines with IC50 values between 0.90 and 3.30 μM. The best IC50 value in acute erythroid leukemia (HEL) was achieved with compound 4g (1.00 ± 0.42 μM), whereas in chronic myeloid leukemia cell line (K-562), the derivative 4k (4-CN-Ph) showed the best IC50 value (0.92 ± 0.32 μM).
According to these first results, the importance of substituents in para position of the phenyl ring at the 1,4-dihydropyridine ring, is highlighted. For the derivatives 4f, and 4h, having a -F and a -NO2 group, at the meta position a loss of cytotoxic activity was detected compared to the corresponding para-substituted derivatives (4e and 4a). Interestingly, the replacement of these electron-withdrawing groups at the para position of the phenyl ring by others such as the -COOH (4i), or -CO2CH3 (4j) also leads to a loss of activity.
On the other hand, the presence of electron-donor groups at the phenyl ring such as -NMe2, -3F-4MeO, 3-4-MeO, 3,4-methylenedioxy (4l, 4m, 4n and 4o) leads to worse values of IC50 in the leukemia cell lines, compared with those of 4b (-Ph). A clear loss of activity when heteroaromatic rings were attached at the dihydropyridin nucleus (4p4s) was also observed, while aliphatic substituents (4u, 4v, 4w) leads to higher values of IC50 with the exception of the derivative 4t, with a cyclohexyl group, which keeps a good cytotoxic activity (1.30 ± 0.28 μM) against HEL.
With respect to the breast cancer cell lines (SKBR3, MCF7 and BT549), derivative 4a (4-NO2) showed the best cytotoxic activity against SKBR3 (1.30 ± 0.28 μM). In the MCF7 cell line, only the derivatives 4a (4-NO2) and 4u (-CH2CH3) were active, with IC50 values of 3.25 ± 1.91 and 4.75 ± 1.20 μM, respectively. Finally, several of the derivatives evaluated in BT549 cell line (4a, 4c, 4d, 4e and 4g) presented IC50 values around 3.00 μM.
All previously synthesized nitrogenated embelin derivatives were also evaluated in the Vero cell line of primate kidney, to determine its cytotoxicity in a non-tumor cell line and to study its viability for carrying out future in vivo tests. Interestingly, inhibition of cell viability induced by several compounds were 8- to 20-fold lower in Vero cells compared to hematological (e.g., 4c, 4d, 4g, 4t) and breast cancer (e.g., 4c, 4d, 4g) cell lines. Taking advantage of the versatility of this multicomponent reaction, and given the good results of cytotoxic activity obtained for some of the dihydro-1H-pyrazolo[3,4-b]pyridine derivatives previously synthesized, we decided to carry out modifications in the quinone and aminopyrazole components to evaluate the effect of these structural variations on the cytotoxic activity.
Several of the compounds evaluated exhibit good values of cytotoxic activity in the different cell lines studied. The derivative 4g shows a better selectivity against hematological tumor cell lines, a good cytotoxic activity in erythroleukemia (HEL, 1.00 ± 0.42 μM) and the presence of fluorinated groups in biologically active molecules, such as the trifluoromethyl group, is of great interest [20] due to metabolic degradation resistance [21]. Furthermore, 4g showed low cytotoxicity (IC50 > 25 µM) in normal Vero cell line with a calculated selectivity index higher than 25-fold.
Taking into account all data mentioned above, compound 4g was selected to continue with the preparation of analogues with the -4-CF3Ph group retained.
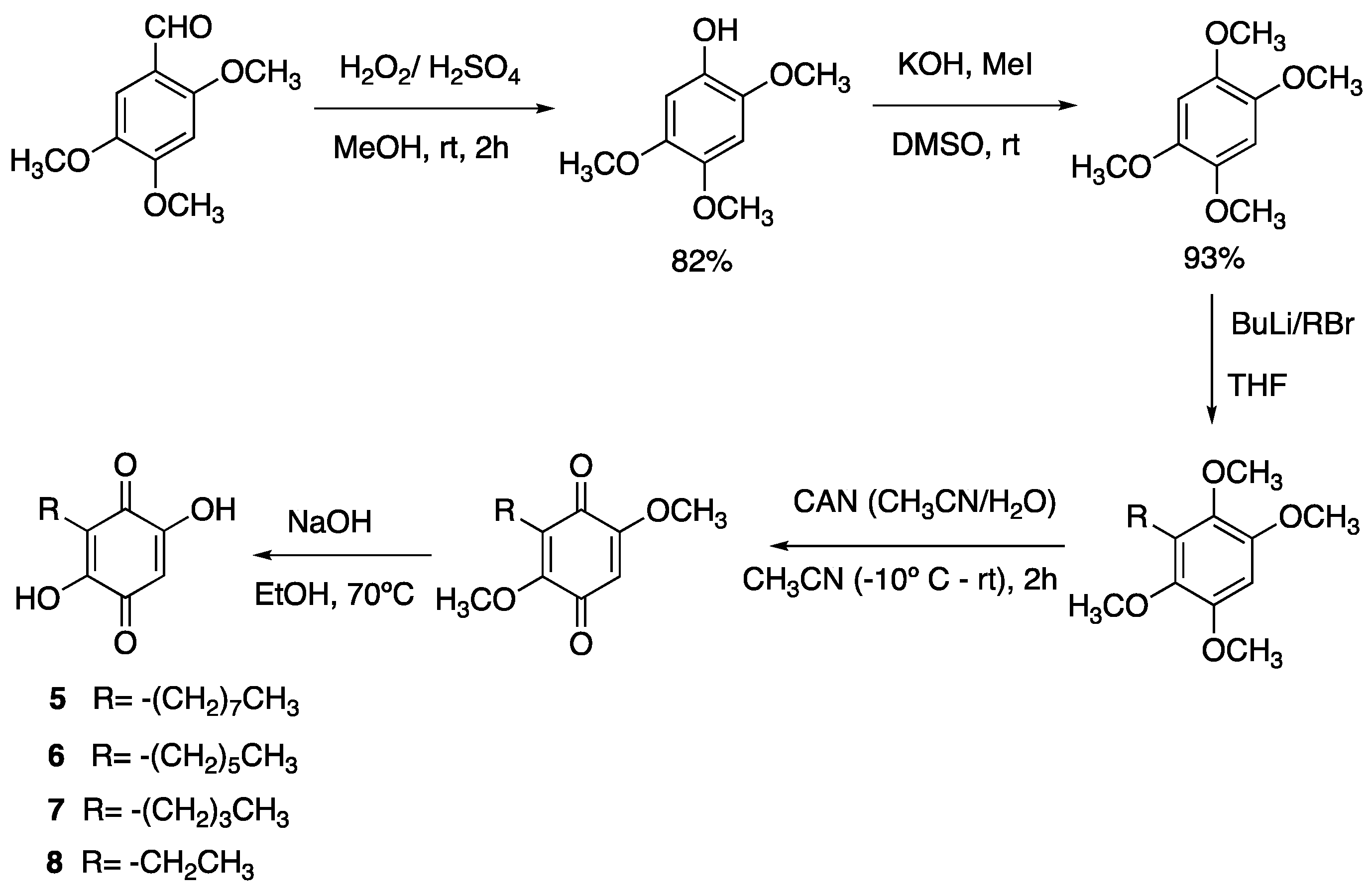
The influence of the side chain length on the cytotoxic activity was analyzed by the preparation of the benzoquinones 5 (R2 = (CH2)7CH3), 6 (R2 = (CH2)5CH3), 7 (R2 = (CH2)3CH3) and 8 (R2 = CH2CH3), which were synthesized following the methodology shown in Scheme 2 [22]. Table 4 shows the yields obtained in the preparation of derivatives 912.
As we can observe in Table 5, the shortening of the side chain leads to a loss of activity, except in the SKBR3 cell line, where compound 10 (R2 = (CH2)5CH3) showed an increased antiproliferative activity (IC50 = 1.50 ± 1.27 μM) with respect to derivative 4g. Derivatives 912 were also inactive against MDA-MB-231 and HS-578T cell lines.
The derivative 13 (Scheme 3) was also prepared using trimethyl silyl diazomethane in ether/methanol in order to evaluate the role of the free hydroxyl group on the cytotoxic activity. Compound 13 showed an IC50 value > 10 μM in all cell lines evaluated, which confirms the importance of the hydroxyl group for the cytotoxic activity.
Then, we focused on the component phenylaminopyrazole with the preparation of analogues having the 4-CF3-Ph moiety, the 11-carbon aliphatic chain (R2 = (CH2)10CH3) and the free hydroxyl group. Thus, different substituted phenylaminopyrazoles, 3-(furan-2-yl)-5-aminopyrazole and 3-methyl-5-aminopyrazole were used in the MCR.
The different substituted 3-phenyl-5-aminopyrazoles were synthesized from the corresponding β-ketonitriles and hydrazine in EtOH at reflux [23]. On the other hand, the β-ketonitriles could be easily obtained by modifying the procedure described by Liu et al. [24], based on the copper catalyzed addition of acetonitrile to substituted benzylic alcohols, in the presence of oxygen. Thus, different substituted 3-phenyl-5-aminopyrazoles (3b3g) were synthesized (Scheme 4).
The aminopyrazoles (3b3g) as well as 3-methyl-5-aminopyrazole (3h) and 3-(furan-2-yl)-5-aminopyrazole (3i), were used for the preparation of the corresponding dihydro-1H-pyrazolo[3,4-b]pyridine derivatives through corresponding MCRs using embelin (1) and 4-(trifluoromethyl)benzaldehyde (2g). The results obtained are shown in Table 6.
The corresponding derivatives were obtained in good yields, from 76 to 94%, regardless of the nature of the substituent at the pyrazole ring (14a14f). Furthermore, as we can see in Table 6, this methodology also allows us to use aminopyrazoles substituted with heteroaromatic groups such as derivative 14g (82%) having a 2-furyl group, or aliphatic groups such as 5-methyl-3-aminopyrazole (14h, 78%).
The modified derivatives were evaluated against the eight tumor cell lines (Table 7).
Some of the new derivatives showed good cytotoxic activities, especially in breast cancer cell lines. The derivative 14c, with a 4-F-Ph moiety at the pyrazole ring, showed the best cytotoxic activity with an IC50 of 0.59 ± 0.00 μM in MCF7, the derivatives 14e with a 4-OMe substituent and 14g with a 2-furyl group also presented an IC50 of 0.85 ± 0.03 μM and 0.93 ± 0.74 μM in the same cell line. Regarding the BT549 cell line, the presence of different substituents in the aromatic ring of the pyrazole seems to have a negative effect on the activity. For the SKBR3 cell line, several of the derivatives such as 14c (4-F-Ph), 14d (3-F-Ph), 14e (4-MeO-Ph) and 14g (2-furyl) presented a significant improvement in their cytotoxic activity with values of IC50 from 2.01 ± 1.12 µM to 2.40 ± 0.28 µM. All of them also showed an IC50 > 10 µM in MDA-MB-231 and HS-578BT cell lines.
Concerning the hematological tumor cell lines, we can observe an improvement in the cytotoxic activity for the derivative 14d (3-F-Ph) with an IC50 of 1.05 ± 0.64 μM in HL60 cell line and 0.95 ± 0.4 μM in K562 cell line. Derivatives 14e (4-MeO-Ph) and 14g (2-furyl), as in some of the breast cancer cell lines, also have good cytotoxicity values in HL60 with IC50 of 1.10 ± 0.14 and 1.10 ± 0.04 μM, respectively.
Next, we decided to evaluate the effect of the planarity of this type of structure on cytotoxic activity. Thus, when compound 4g was treated with DDQ, the corresponding pyrazolopyridin derivative (15) was obtained in 82% yield (Scheme 5), and it presented IC50 values higher than 10 μM in all cell lines studied.
Taking into account all mentioned results, Figure 2 displays a summary of the established structure–activity relationships (SARs) for these new antiproliferative dihydro-1H-pyrazolo[1,3-b]pyridine embelin derivatives.
Since other embelin derivatives have shown inhibitory activity against the human protein kinase CK2 [17,18], we think that CK2 could be also the target of this type of compounds. In this sense, docking studies were carried out with the most active compounds using Glide software [25] on the reported crystal structure of human protein kinase CK2 alpha subunit in complex with the inhibitor CX-4945 (PDB 3PE1). An analysis of the docking results showed that the compounds fit well and, as shown in Figure 3, the active site is fully occupied by the compound 4g, the aliphatic chain was located at the bottom of the pocket. In this case, the alkyl chain established hydrophobic interactions with the residues Phe 113, Ile 95, Val 66 and Lys 68. Furthermore, two hydrogen bond interactions in the hinge region were observed between the residue Val 116 and the NH of the dihydropyridine ring and one of the quinonic carbonyl which explains the good value of docking score obtained during the simulation (−8.430 Kcal/mol).
Understanding the physicochemical properties and the pharmacokinetic profile (absorption, distribution, metabolism and excretion) of molecules is an essential step to avoid failures in the selection of lead molecules during the different stages of development and discovery of new drugs. Therefore, it is essential to design chemical leads with acceptable ADME and good drug-like properties. However, about the drug-likeness of natural product derivatives, it is important to mention that many derivatives of them do not comply with drug-like rules during the lead optimization process. A lot of these compounds are found outside the drug-like space because they usually have a higher molecular weight and can be more complex than drug-like. Although the greatest value of the use of the privileged structures present in natural products is that they were optimized during the course of evolution and also, they can explore parts of chemical space that synthetic drug-like compounds do not essentially cover.
In this sense in silico prediction of physicochemical properties, ADME parameters, Lipinski’s rule of five (Ro5), and Jorgensen’s rule of three and drug-likeness were determined for dihydro-1H-pyrazolo[1,3-b]pyridine embelin derivatives with the best antiproliferative values (4a, 4c, 4e, 4g, 14c, 14d, 14e and 14g). This study was performed using the Qikprop module of Schrödinger software [25], which predicts physically and pharmaceutically relevant properties of organic molecules on the full 3D molecular structure and provides range to compare with the molecular properties of known 95% drugs. The predicted parameters and their recommended values are presented in Table 8. The rule of five [26] is a widely used filter to indicate if a compound presents good oral bioavailability. However, other parameters such as the total number of rotatable bonds and the polar surface area (PSA) are found to be important predictors of good oral absorption and bioavailability, independent of molecular weight [27].
As expected, the results presented in Table 8 show that the selected compounds do not meet all the properties required by the rules, such as having a MW < 500, log P < 5, thus showing two violations for Lipinski’s rule and a violation of the rule of three is established because the values of log S are <−5.7. Therefore, according the rules of three and five, embelin derivatives have higher lipophilicity and lower solubility in water, this result is reasonable due to the presence of the 11-carbon aliphatic chain of the embelin moiety. However, for an orally active compound, two violations of Lipinski’s rule and one violation of the rule of three are acceptable. Thus, these compounds show their properties having the maximum number of infractions of these rules.
Most of the molecules showed excellent predicted blood/brain partition co-efficient (QPlogBB) values which is a measure of the ability of a drug to cross the blood-brain barrier and also the blood-brain barrier mimic MDCK cell permeability (QPPMDCK) show satisfactory predictions for all the compounds. The calculated theoretical PSA values for all compounds allow to support the low ability of the compounds to penetrate the blood-brain barrier with the exception of compound 4a. The most widely recommended PSA cutoff values are about 120–140 Å. all molecules showed excellent predicted Caco-2 cell (model for the gut-blood barrier) permeability.
On the other hand, the prediction of oral drug absorption (percent human oral absorption) was highly satisfactory for all the compounds, moreover human serum albumin binding co-efficient (QPlogKhsa) were found to be within an acceptable range which indicates their strong binding with plasma protein with the exception of compounds 4g, 14d and 14e. Human serum albumin binding co-efficient is one of the key factors since it is related to the transport of many of the drugs to its targets once they enter into the circulatory system.
The presence of reactive functional groups (#rtvFG) is an important predicted additional property that alerts us to the presence of different groups such as silicon, aluminum, diazo, azide, carbonate, anhydride, etc., which is related to decomposition, reactivity and toxicity in vivo and also the presence of these groups can lead to false positives when the compounds are evaluated biologically while the predicted skin permeability (logKp) is within the recommended values.
Finally, the ADME profile of our compounds showed good values, mainly in those properties related to well calculated permeability, low toxicity and good protein-plasma interaction. These predictions linked to the values of biological activity are promising and, therefore, deserve further investigation for further optimization of the synthesized compounds.

3. Materials and Methods

3.1. General Experimental Procedures

IR spectra were obtained using a Fourier transform infrared spectrometer. NMR spectra were recorded in CDCl3 or DMSO-d6 at 500 or 600 MHz for 1H NMR and 125 or 150 MHz for 13C NMR. Chemical shifts are given in (δ) parts per million and coupling constants (J) in hertz (Hz). 1H and 13C spectra were referenced using the solvent signal as internal standard. Melting points were taken on a capillary melting point apparatus and are uncorrected. HREIMS were recorded using a high-resolution magnetic trisector (EBE) mass analyzer. Analytical thin-layer chromatography plates Polygram-Sil G/UV254 were used. Preparative thin-layer chromatography was carried out with Analtech silica gel GF plates (20 × 20 cm, 1000 Microns) using appropriate mixtures of ethyl acetate and hexanes. Microwave reactions were conducted in sealed glass vessels (capacity 5 mL) using a Biotage initiator microwave reactor. All solvents and reagents were purified by standard techniques reported [28] or used as supplied from commercial sources. All compounds were named using the ACD40 Name-Pro program, which is based on IUPAC rules. The embelin (1) used in the reactions was obtained from Oxalis erythrorhiza Gillies ex Hook and Arn following the procedure described in reference [29].

3.2. General Procedure for the Synthesis of Pyrazolo[3,4-b] Quinolin-5,8(4H,9H)-Dione Derivatives

To a MW tube equipped with a magnetic stir bar, embelin, 1.5 equiv of aldehyde, 1.5 equiv of 3-amino-5-phenylpyrazole and 10 mol % EDDA in 2 mL of DCE were added. The MW tube was sealed, and the reaction mixture was irradiated at 150 °C for 10 min. The products were isolated by filtration or purified by Shepadex LH-20.

3.3. 6-Hydroxy-4-(4-Nitrophenyl)-3-Phenyl-7-Undecyl-1H-Pyrazolo[3,4-b]Quinoline-5,8(4H,9H)-Dione (4a)

Following the general procedure described above, in a 5 mL MW tube, 30 mg of embelin (0.1 mmol), 23.4 mg of 4-nitrobenzaldehyde (0.15 mmol) and 24.4 mg of 3-amino-5-phenylpyrazole (0.15 mmol) were dissolved in 2 mL DCE and treated with 1.8 mg of EDDA (10 mol %). The tube was sealed, and the reaction mixture was irradiated at 150 °C for 10 min. Then, the reaction mixture was filtered and the obtained solid was washed with n-hex to yield 54.5 mg (94%) of 4a as an amorphous violet solid. Mp: 234.0–234.7 °C; 1H-NMR (500 MHz, CDCl3) δ 0.86 (t, J = 7.1 Hz, 3H, H-11′’’), 1.22 (bs, 16H, H, H-3′’’-H-10′’’), 1.43 (m, 2H, H-2′’’), 2.41 (t, J = 7.6 Hz, 2H, H-1′’’), 5.64 (s, 1H, H-4), 7.31 (m, 2H, H-2′’ + H-6′’), 7.39 (m, 5H, H-2′-H-6′), 8.00 (d, J = 8.5 Hz, 2H, H-3′’ + H-5′’); 13C-NMR (125 MHz, CDCl3) δ 14.1 (CH3), 22.6 (CH2), 22.7 (CH2), 28.0 (CH2), 28.1 (CH2), 29.3 (CH2), 29.4 (CH2), 29.5 (CH2), 29.5 (CH2), 29.6 (CH2), 29.7 (CH2 X 2), 31.9 (CH2), 36.3 (CH), 102.9 (C), 106.6 (C), 116.6 (C), 123.6 (CH x 2), 124.0 (CH) 125.7 (CH), 126.7 (CH), 128.1 (C), 128.7 (C), 129.0 (CH X 2), 129.2 (CH x 2), 129.6 (C), 141.3 (C), 146.6 (C), 152.0 (C), 154.1 (C), 178.6 (C), 182.2 (C); EIMS m/z (%): 568 ([M+], 100), 446 (89), 427 (24), 306 (8); HREIMS m/z 568.2682 (calcd for C33H36N4O5 [M+] 568.2686); IR vmax 3430 (N-H), 3315 (O-H), 2922 (C-H aliph), 2851 (C-H aliph), 2322 (C-C arom), 1640 (C=O), 1586, 1518, 1482, (C=N, C=C), 1347 (N-N), 1313, 1272, 1237, 1187, 1139, 1119, 1009, 981, 864 cm−1.

3.4. 6-Hydroxy-3,4-Diphenyl-7-Undecyl-1H-Pyrazolo[3,4-b]Quinoline-5,8 (4H,9H)-Dione (4b)

Following the general procedure described above, in a 5 mL MW tube, 30 mg of embelin (0.1 mmol), 16.2 mg of benzaldehyde (0.15 mmol, 15.6 µL) and 24.4 mg of 3-amino-5-phenylpyrazole (0.15 mmol) were dissolved in 2 mL DCE and treated with 1.8 mg of EDDA (10 mol %). The tube was sealed, and the reaction mixture was irradiated at 150 °C for 10 min. Then, the reaction mixture was filtered and the obtained solid was washed with n-hex to yield 44.3 mg (83%) of 4b as an amorphous violet solid. Mp: 216.4–217.4 °C; 1H-NMR (500 MHz, CDCl3) δ 0.86 (t, J = 6.9 Hz, 3H, H-11′’’), 1.23 (bs, 16H, H-3′’’-H-10′’’), 1.44 (m, 2H, H-2′’’), 2.38 (t, J = 7.8 Hz, 2H, H-1′’’); 5.48 (s, 1H, H-4); 7.10 (t, J = 7.3 Hz, 1H); 7.18 (t, J = 7.6 Hz, 2H); 7.27 (m, 2H); 7.33 (m, 5H); 13C-NMR (125 MHz, CDCl3) δ 14.1 (CH3), 22.6 (CH2), 22.7 (CH2), 28.2 (CH2), 29.3 (CH2), 29.5 (CH2), 29.6 (CH2 x 2), 29.7 (CH2 x 2), 31.9 (CH2), 36.2 (CH), 104.1 (C), 108.1 (C), 116.0 (C), 126.6 (CH), 126.8 (CH x 2), 128.3 (CH x 4), 128.8 (C), 128.9 (CH x 2), 129.0 (CH), 140.2 (C), 141.1 (C), 145.6 (C), 147.5 (C), 154.6 (C), 178.8 (C), 182.6 (C); EIMS m/z (%) 523 ([M+], 76), 446 (100), 382 (13), 276 (5); HREIMS 523.2852 (calcd for C33H37N3O3 [M+] 523.2835); IR vmax 3433 (N-H), 3259 (O-H), 2921 (C-H aliph), 2851 (C-H aliph), 1641 (C=O), 1571, 1528, 1506, 1483, 1437 (C=N, C=C), 1352 (N-N), 1271, 1235, 1182, 1138, 1084, 1029, 981, 878, 842 cm−1.

3.5. 4-(4-Chlorophenyl)-6-Hydroxy-3-Phenyl-7-Undecyl-1H-Pyrazolo[3,4-b]Quinoline-5,8 (4H,9H)-Dione (4c)

Following the general procedure described above, in a 5 mL MW tube, 30 mg of embelin (0.1 mmol), 21.5 mg of 4-chlorobenzaldehyde (0.15 mmol) and 24.4 mg of 3-amino-5-phenylpyrazole (0.15 mmol) were dissolved in 2 mL DCE and treated with 1.8 mg of EDDA (10 mol %). The tube was sealed, and the reaction mixture was irradiated at 150 °C for 10 min. Then, the reaction mixture was filtered and the obtained solid was washed with n-hex to yield 56.5 mg (98%) of 4c as an amorphous blue solid. Mp: 220.3–221.1 °C; 1H-NMR (500 MHz, CDCl3) δ 0.86 (t, J = 7.0 Hz, 3H, H-11′’’), 1.23 (bs, 16H, H-3′’’-H-10′’’), 1.43 (m, 2H, H-2′’’), 2.39 (t, J = 7.6 Hz, 2H, H-1′’’), 5.48 (s, 1H, H-4), 7.14 (d, J = 8.4 Hz, 2H, H-3′’ + H-5′’), 7.20 (d, J = 8.4 Hz, 2H, H-2′’ + H-6′’), 7.39 (m, 5H, H-2′-H-5′); 13C-NMR (125 MHz, CDCl3) 14.1 (CH3), 22.6 (CH2), 22.7 (CH2), 28.2 (CH2), 29.3 (CH2), 29.5 (CH2), 29.6 (CH2 x 2), 29.7 (CH2 x 2), 31.9 (CH2), 35.7 (CH), 103.7 (C), 107.7 (C), 116.2 (C), 126.8 (CH x 2), 128.4 (CH x 2), 128.6 (C), 129.1 (CH x 2), 129.2 (CH), 129.5 (CH2 x 2), 132.4 (C), 149.1 (C), 141.0 (C), 143.9 (C), 147.4 (C), 154.4 (C), 178.8 (C), 182.35 (C); EIMS m/z (%) 541 ([M+], 100), 446 (8), 413 (19), 400 (68); HREIMS m/z 559.2476 (calc for C33H36N3O337Cl [M+] 559.2416); 557.2471 (calcd for C33H36N3O335Cl [M+] 557.2445); IR vmax 3428 (N-H), 3240 (O-H), 2924 (C-H aliph), 2853 (C-H aliph), 2322 (C-C arom), 1642 (C=O), 1587, 1528, 1484, 1437 (C=N, C=C), 1352 (N-N), 1272, 1205, 1182, 1138, 1089 (C-Cl), 1014, 982, 826 cm−1.

3.6. 4-(4-Bromophenyl)-6-Hydroxy-3-Phenyl-7-Undecyl-1H-Pyrazolo[3,4-b]Quinoline-5,8 (4H,9H)-Dione (4d)

Following the general procedure described above, in a 5 mL MW tube, 30 mg of embelin (0.1 mmol), 28.3 mg of 4-bromobenzaldehyde (0.15 mmol) and 24.4 mg of 3-amino-5-phenylpyrazole (0.15 mmol) were dissolved in 2 mL DCE and treated with 1.8 mg of EDDA (10 mol %). The tube was sealed, and the reaction mixture was irradiated at 150 °C for 10 min. Then, the reaction mixture was filtered and the obtained solid was washed with n-hex to yield 50.5 mg (82%) of 4d as an amorphous violet solid. Mp: 231.8–232.5 °C; 1H-NMR (500 MHz, CDCl3) δ 0.86 (t, J = 7.1 Hz, 3H, H-11′’’), 1.23 (bs, 16H, H-3′’’-H-10′’’), 1.44 (m, 2H, H-2′’’), 2.39 (t, J = 7.9 Hz, 2H, H-1′’’), 5.47 (s, 1H, H-4), 7.13 (d, J = 8.3 Hz, 2H, H-3′’ + H-5′’), 7.30 (d, J = 8.3 Hz, 2H, H-2′’ + H-6′’), 7.32 (m, 2H), 7.38 (m, 3H); 13C-NMR (125 MHz, CDCl3) δ 14.1 (CH3), 22.6 (CH2), 22.7 (CH2), 28.1 (CH2), 29.3 (CH2), 29.5 (CH2), 29.6 (CH2 x 2), 29.6 (CH2), 29.7 (CH2), 31.9 (CH2), 35.7 (CH), 103.5 (C), 107.6 (C), 116.3 (C), 120.6 (C), 126.8 (CH x 2), 128.5 (C), 129.0 (C), 129.1 (CH2 x 2), 129.2 (CH), 129.9 (CH x 2), 131.4 (CH x 2), 140.1 (C), 140.9 (C), 144.4 (C), 147.4 (C), 178.7 (C), 182.3 (C); EIMS m/z (%) 601 ([M+], 47), 460 (7), 446 (100), 306 (7); HREIMS m/z 601.1951 (calc for C33H36N3O379Br [M+] 601.1940); 603.1866 (calcd for C33H36N3O381Br [M+] 603.1920); IR vmax 3389 (N-H), 3256 (O-H), 2923, 2852 (C-H aliph), 1640 (C=O), 1573, 1526, 1503, 1482 (C=N, C=C), 1351 (N-N), 1315, 1270, 1237, 1181, 1136, 1071 (C-Br), 1009, 984, 827 cm−1.

3.7. 4-(4-Fluorophenyl)-6-Hydroxy-3-Phenyl-7-Undecyl-1H-Pyrazolo[3,4-b]Quinoline-5,8 (4H,9H)-Dione (4e)

Following the general procedure described above, in a 5 mL MW tube, 30 mg of embelin (0.1 mmol), 19 mg of 4-fluorobenzaldehyde (0.15 mmol, 16.4 µL) and 24.4 mg of 3-amino-5-phenylpyrazole (0.15 mmol) were dissolved in 2 mL DCE and treated with 1.8 mg of EDDA (10 mol %). The tube was sealed, and the reaction mixture was irradiated at 150 °C for 10 min. Then, the reaction mixture was filtered and the obtained solid was washed with n-hex to yield 46.5 mg (84%) of 4e as an amorphous violet solid. Mp: 234.5–235.4 °C; 1H-NMR (500 MHz, CDCl3) δ 0.86 (t, J = 7.1 Hz, 3H, H-11′’’), 1.23 (bs, 16H, H-3′’’-H-10′’’), 1.43 (m, 2H, H-2′’’), 2.40 (t, J = 7.5 Hz, 2H, H-11′), 5.50 (s, 1H, H-4), 6.86 (t, J = 8.5 Hz, 2H, H-3′’ + H-5′’), 7.22 (m, 2H, H-2′’ + H-6′’), 7.35 (m, 5H, H-2′-H-5′); 13C-NMR (125 MHz, CDCl3) 14.1 (CH3), 22.6 (CH2), 22.7 (CH2), 28.2 (CH2), 29.3 (CH2), 29.5 (CH2), 29.6 (CH2 x 2), 29.7 (CH2), 31.9 (CH2), 35.5 (CH), 104.0 (C), 107.8 (C), 115.1 (CH x 2, J = 21.4 Hz), 116.2 (C), 126.8 (CH x 2), 128.6 (C), 129.0 (CH x 2), 129.2 (CH), 129.7 (CH x 2, J = 7.9 Hz), 140.0 (C), 141.1 (C), 141.3 (C), 141.4 (C), 147.4 (C), 154.3 (C), 161.5 (C-F, J = 248.5 Hz), 178.7 (C), 182.6 (C); EIMS m/z (%) 541 ([M+], 96); 446 (100); 401 (13); 304 (8); HREIMS m/z 541.2744 (calcd for C33H36N3O3F [M+] 541.2741); IR vmax 3426 (N-H), 3234 (O-H), 2924, 2851 (C-H aliph), 1641 (C=O), 1571, 1528, 1483 (C=C, C=N), 1353 (N-N), 1295, 1272, 1223, 1205, 1155, 1137 (C-F), 1014, 983, 835 cm−1.

3.8. 4-(3-Fluorophenyl)-6-Hydroxy-3-Phenyl-7-Undecyl-1H-Pyrazolo[3,4-b]Quinoline-5,8 (4H,9H)-Dione (4f)

Following the general procedure described above, in a 5 mL MW tube, 30 mg of embelin (0.1 mmol), 19 mg of 3-fluorobenzaldehyde (0.15 mmol, 16.1 µL) and 24.4 mg of 3-amino-5-phenylpyrazole (0.15 mmol) were dissolved in 2 mL of DCE and treated with 1.8 mg of EDDA (10 mol %). The tube was sealed, and the reaction mixture was irradiated at 150 °C for 10 min. Then, the reaction mixture was filtered and the obtained solid was washed with n-Hex to yield 43 mg (79%) of 4f as an amorphous violet solid. Mp: 224.7–225.5 °C; 1H-NMR (500 MHz, CDCl3) δ 0.86 (t, J = 7.0 Hz, 3H, H-11′’’), 1.23 (bs, 16H, H-3′’’-H-10′’’), 1.46 (m, 2H, H-2′’’), 2.40 (t, J = 7.8 Hz, 2H, H-11′), 5.51 (s, 1H, H-4), 6.80 (td, J = 1.8, 8.3 Hz, 1H, H-2′’), 6.96 (dt, J = 2.5, 9.6 Hz, 1H, H-4′’), 7.05 (d, J = 7.7 Hz, 1H, H-1′’), 7.14 (m, 1H), 7.32 (m, 2H), 7.37 (m, 3H); 13C-NMR (125 MHz, CDCl3) 14.2 (CH3), 22.6 (CH2), 22.7 (CH2), 28.2 (CH2), 29.3 (CH2), 29.5 (CH2), 29.6 (CH2 x 2), 29.7 (CH2 x 2), 31.9 (CH2), 35.8 (CH), 103.5 (C), 107.4 (C), 113.5 (C, J = 20.8 Hz), 115.2 (CH, J = 21.6 Hz), 116.2 (C), 123.8 (CH), 126.7 (CH x 4), 128.5 (C), 129.0 (CH), 129.2 (CH), 129.6 (CH, J = 7.8 Hz), 140.1 (C), 141.1 (C), 147.3 (C), 147.8 (C), 154.3 (C), 162.8 (C, J = 247.8 Hz), 178.6 (C), 182.4 (C); EIMS m/z (%) 541 ([M+], 79); 446 (100); 400 (18); 305 (9); HREIMS 541.2756 (calcd for C33H36N3O3F [M+] 541.2741); IR vmax 3429 (N-H), 3256 (O-H), 2924, 2851 (C-H aliph), 1639 (C=O), 1585, 1527, 1481,1439 (C=C, C=N), 1350 (N-N), 1296, 1199, 1145 (C-F), 983, 929, 841, 729, 690 cm−1.

3.9. 6-Hydroxy-3-Phenyl-4-(4-(Trifluoromethyl)Phenyl)-7-Undecyl-1H-Pyrazolo [3,4-b] Quinoline-5,8 (4H,9H)-Dione (4g)

Following the general procedure described above, in a 5 mL MW tube, 30 mg of embelin (0.1 mmol), 26.6 mg of 4-(trifluromethyl)-benzaldehyde (0.15 mmol, 21 µL) and 24.4 mg of 3-amino-5-phenylpyrazole (0.15 mmol) were dissolved in 2 mL of DCE and treated with 1.8 mg of EDDA (10 mol %). The tube was sealed, and the reaction mixture was irradiated at 150 °C for 10 min. Then, the reaction mixture was filtered and the obtained solid was washed with n-hex to yield 53.7 mg (89%) of 4g as an amorphous violet solid. Mp: 213.9–214.9 °C; 1H-NMR (500 MHz, CDCl3) δ 0.87 (t, J = 7.1 Hz, 3H, H-11′’’), 1.22 (bs, 16H, H-3′’’-H-10′’’), 1.43 (m, 2H, H-2′’’), 2.37 (t, J = 7.1 Hz, 2H, H-1′’’), 5.55 (s, 1H, H-4), 7.31 (m, 2H), 7.35 (m, 5H), 7.40 (d, J = 8.0 Hz, 2H, H-3′’ + H-5′’); 13C-NMR (125 MHz, CDCl3) 14.1 (CH3), 22.7 (CH2 x 2), 28.2 (CH2), 29.3 (CH2), 29.5 (CH2), 29.6 (CH2 x 2), 29.7 (CH2 x 2), 31.9 (CH2), 36.2 (CH), 103.4 (C), 107.2 (C), 116.3 (C), 123.1 (C), 125.2 (CH x 2), 126.8 (CH x 2), 128.5 (CH x 2), 128.5 (C), 128.7 (C), 129.1 (CH x 2), 129.3 (CH), 140.2 (C), 141.5 (C), 147.3 (C), 149.2 (C), 179.2 (C), 182.1 (C); EIMS m/z (%) 591 ([M+], 100); 446 (95); 306 (8); 276 (6); HREIMS m/z 591.2720 (calcd for C34H36N3O3F3 [M+] 591.2709); IR vmax 3431 (N-H), 3253 (O-H), 2924, 2853 (C-H aliph), 1642 (C=O), 1586, 1569, 1529, 1484 (C=C, C=N), 1322, (N-N), 1272, 1236, 1161, 1120 (C-F), 1066, 1017, 986, 834 cm−1.

3.10. 6-Hydroxy-4-(3-Nitrophenyl)-3-Phenyl-7-Undecyl-1H-Pyrazolo[3,4-b]Quinoline-5,8 (4H,9H)-Dione (4h)

Following the general procedure described above, in a 5 mL MW tube, 30 mg of embelin (0.1 mmol), 23.4 mg of 3-nitrobenzaldehyde (0.15 mmol) and 24.4 mg of 3-amino-5-phenylpyrazole (0.15 mmol) were dissolved in 2 mL DCE and treated with 1.8 mg of EDDA (10 mol %). The tube was sealed, and the reaction mixture was irradiated at 150 °C for 10 min. Then, the reaction mixture was filtered and the obtained solid was washed with n-hex to yield 52 mg (90%) of 4h as an amorphous violet solid. Mp: 210.2–211.8 °C; 1H-NMR (500 MHz, DMSO-d6) δ 0.85 (t, J = 7.1 Hz, 3H, H-11′’’), 1.22 (bs, 16H, H-3′’’-H-10′’’), 1.33 (m, 2H, H-2′’’), 2.25 (t, J = 7.5 Hz, 2H, H-1′’’), 3.03 (bs, 1H), 5.71 (s, 1H), 7.29 (t, J = 7.5 Hz, 1H), 7.37 (t, J = 7.5 Hz, 2H), 7.41 (t, J = 8.1 Hz,1H), 7.51 (d, J = 7.2 Hz, 2H), 7.58 (d, J = 7.8 Hz, 1H), 7.88 (dd, J = 1.3, 8.1 Hz, 1H), 8.00 (t, J = 2.1 Hz, 1H); 13C-NMR (125 MHz, DMSO-d6) 13.9 (CH3), 22.0 (CH2), 22.1(CH2), 27.7 (CH2), 28.7 (CH2), 28.8 (CH2), 28.9 (CH2), 29.0 (CH2 x 2), 29.1 (CH2), 31.3 (CH2), 35.9 (CH), 101.8 (C), 106.5 (C), 115.5 (C), 121.0 (CH), 122.3 (CH), 126.4 (CH x 2), 128.2 (CH), 128.6 (CH x 2), 129.4 (CH), 137.6 (CH), 138.7 (C), 140.5 (C), 146.2 (C), 147.1 (C), 148.1 (C), 157.6(C), 179.0 (C), 180.4 (C); EIMS m/z (%) 568 ([M+], 92); 538 (7); 446 (100); 427(20); 306 (8). HREIMS 568.2669 (calcd for C33H36N4O5 [M+] 568.2686); IR 3415 (N-H), 3267 (O-H), 2924, 2851 (C-H aliph), 1639 (C=O), 1578, 1527, 1485 (C=C, C=N), 1346 (N-N), 1315 (NO2), 1269, 1192, 1123, 1088, 814, 690 cm−1.

3.11. 4-(6-Hydroxy-5,8-Dioxo-3-Phenyl-7-Undecyl-4,5,8,9-Tetrahydro-1H-Pyrazolo[3,4-b]Quinolin-4-yl)Benzoic Acid (4i)

Following the general procedure described above, in a 5 mL MW tube, 30 mg of embelin (0.1 mmol), 23 mg of 4-formylbenzoic acid (0.15 mmol, 14.4 μL) and 24.4 mg of 3-amino-5-phenylpyrazole (0.154 mmol) were dissolved in 2 mL of DCE and treated with 1.8 mg of EDDA (10 mol %). The tube was sealed, and the reaction mixture was irradiated at 150 °C for 10 min. Then, the reaction mixture was filtered and the obtained solid was washed with n-hex to yield 54.7 mg (93%) of 4i as an amorphous violet solid. Mp: 240.1–242.0 °C; 1H-NMR (500 MHz, DMSO-d6) δ 0.77 (t, J = 7.1 Hz, 3H, H-11′’’), 1.13 (bs, 16H, H-3′’’-H-10′’’), 1.30 (m, 2H, H-2′’’), 2.23 (t, J = 7.6 Hz, 2H, H-1′’’), 5.54 (s, 1H, H-4), 7.23 (d, J = 8.3 Hz, 2H, H-2′’ + H-6′’), 7.30 (m, 1H, H-4′), 7.37 (t, J = 7.5 Hz, 2H, H-3′ + H-5′), 7.46 (d, J = 7.5 Hz, 2H, H-2′ + H-6′), 7.66 (d, J = 8.2 Hz, 2H, H-3′’ + H-5′’); 13C-NMR (125 MHz, DMSO-d6) 14.1 (CH3), 22.0 (CH2 x 2), 27.7 (CH2), 28.7 (CH2), 28.8 (CH2), 28.9 (CH2), 29.0 (CH2 x 2), 29.1 (CH2), 31.3 (CH2), 36.0 (CH), 102.2 (C), 107.1 (C), 115.3 (C), 124.6 (C), 124.9 (C), 126.2 (CH x 2), 128.0 (CH x 2), 128.1 (CH), 128.5 (C), 128.7 (CH x 2), 129.0 (CH x 2), 129.8 (C), 138.5 (C), 140.3 (C), 150.9 (C), 167.0 (C), 177.3 (C), 179.0 (C); EIMS m/z (%) 567 ([M+], 38), 566 (100), 551 (62), 446 (96), 410 (31); HREIMS 567.2757 (calcd for C34H37N3O5 [M+] 567.2733); IR vmax 3413 (OH), 2375 (C-H arom), 2924, 2854 (C-H aliph), 1685 (C=O), 1574, 1527, 1427 (C=C, C=N), 1366 (N-N), 1258, 1184, 1141, 976, 860, 694 cm−1.

3.12. Methyl-4-(6-Hydroxy-5,8-Dioxo-3-Phenyl-7-Undecyl-4,5,8,9-Tetrahydro-1H-Pyrazolo[3,4-b]Quinolin-4-yl)Benzoate (4j)

Following the general procedure described above, in a 5 mL MW tube, 33 mg of embelin (0.112 mmol), 24.4 mg of methyl 4-formylbenzoate (0.17 mmol) and 27.1 mg of 3-amino-5-phenylpyrazole (0.17 mmol) were dissolved in 2 mL of DCE and treated with 2 mg of EDDA (10 mol %). The tube was sealed, and the reaction mixture was irradiated at 150 °C for 10 min. Then, the reaction mixture was filtered and the obtained solid was washed with n-hex to yield 62.2 mg (95%) of 4j as an amorphous violet solid. Mp: 219.1–220.4 °C. 1H-NMR (500 MHz, CDCl3) δ 0.86 (t, J = 7.1 Hz, 3H, H-11′’’), 1.23 (bs, 16H, H-3′’’-H-10′’’), 1.45 (m, 2H, H-2′’’), 2.40 (t, J = 8.2 Hz, 2H, H-1′), 3.85 (s, 3H, -OCH3), 5.57 (s, 1H, H-4), 7.30 (m, 2H), 7.34 (d, J = 8.3 Hz, 2H, H-2′’ + H-6′’), 7.37 (m, 3H), 7.86 (d, J = 8.3 Hz, 2H, H-3′’ + H-5′’); 13C-NMR (125 MHz, CDCl3) δ 14.1 (CH3), 22.6 (CH2), 22.7 (CH2), 28.1 (CH2), 29.3 (CH2), 29.5 (CH2), 29.6 (CH2 x 2), 29.7 (CH2 x 2), 31.9 (CH2), 36.2 (CH), 52.0 (CH3), 103.4 (C), 107.2 (C), 116.3 (C), 126.8 (CH x 2), 128.2 (CH x 2), 128.4 (C), 128.5 (C), 129.1 (CH x 2), 129.3 (CH), 129.7 (CH x 2), 140.2 (C), 141.1 (C), 147.3 (C), 150.2 (C), 154.0 (C), 166.9 (C), 178.5 (C), 182.4 (C); EIMS m/z (%) 581 ([M+], 78); 446 (100); 305 (59); 159 (47); HREIMS 581.2916 (calcd for C35H39N3O5 [M+] 581.2890); IR vmax 3433 (OH), 2923, 2854 (C-H aliph), 2360 (C-H arom), 1639 (C=O), 1589, 1569, 1523, 1485 (C=C, C=N), 1353 (N-N), 1273, 1218, 1138, 1068, 995, 891, 690 cm−1.

3.13. 4-(6-Hydroxy-5,8-Dioxo-3-Phenyl-7-Undecyl-4,5,8,9-Tetrahydro-1H-Pyrazolo[3,4-b]Quinolin-4-yl)Benzonitrile (4k)

Following the general procedure described above, in a 5 mL MW tube, 30 mg of embelin (0.1 mmol), 20.1 mg of 4-cyanobenzaldehyde (0.15 mmol, 14.4 μL) and 24.4 mg of 3-amino-5-phenylpyrazole (0.154 mmol) were dissolved in 2 mL of DCE and treated with 1.8 mg of EDDA (10 mol %). The tube was sealed, and the reaction mixture was irradiated at 150 °C for 10 min. Then, the reaction mixture was filtered and the obtained solid was washed with n-hex to yield 45.3mg (81%) of 4k as an amorphous violet solid. Mp: 206.2–207.8 °C; 1H-NMR (500 MHz, CDCl3) δ 0.86 (t, J = 7.1 Hz, 3H, H-11′’’), 1.23 (bs, 16H, H-3′’’-H-10′’’), 1.45 (m, 2H, H-2′’’), 2.40 (t, J = 7.7 Hz, 2H, H-1′’’), 5.56 (s, 1H, H-4), 7.29 (m, 2H), 7.34 (d, J = 8.1 Hz, 2H, H-2′’ + H-6′’), 7.38 (m, 3H), 7.45 (d, J = 8.1 Hz, 2H, H-3′’ + H-5′’); 13C-NMR (125 MHz, CDCl3) 14.1 (CH3), 22.6 (CH2), 22.7 (CH2), 28.1 (CH2), 29.3 (CH2), 29.5 (CH2), 29.6 (CH2 x 2), 29.7 (CH2 x 2), 31.9 (CH2), 36.5 (CH), 103.0 (C), 106.6 (C), 110.4 (C), 116.4 (C), 118.8 (C), 125.3 (C), 126.8 (CH x 2), 128.2 (C), 128.9 (CH x 2), 129.1 (CH x 2), 129.4 (CH), 132.1 (CH x 2), 140.3 (C), 141.4 (C), 147.1 (C), 150.2(C), 178.6 (C), 182.2 (C); EIMS m/z (%) 548 ([M+], 69), 532 (37), 395 (37), 274 (100), 159 (73); HREIMS 548.2787 (calcd for C34H36N4O3 [M+] 548.2787); IR vmax 3256 (OH), 2920, 2854 (CH-arom), 2804, 2677, 2229 (CN), 2052, 1643 (C=O), 1578, 1519, 1504, 1438 (C=C, C=N), 1350 (N-N), 1196, 1138, 1084, 986, 833, 694 cm−1.

3.14. 4-(4-(Dimethylamino)Phenyl)-6-Hydroxy-3-Phenyl-7-Undecyl-1H-Pyrazolo[3,4-b]Quinoline-5,8 (4H,9H)-Dione (4l)

Following the general procedure described above, in a 5 mL MW tube, 35 mg of embelin (0.12 mmol), 27 mg of 4-dimethylaminobenzaldehyde (0.18 mmol) and 28.7 mg of 3-amino-5-phenylpyrazole (0.18 mmol) were dissolved in 2 mL of DCE and treated with 3.4 mg of EDDA (10 mol %). The tube was sealed, and the reaction mixture was irradiated at 150 °C for 10 min. Then, the reaction mixture was filtered and the obtained solid was washed with n-hex to yield 59.9 mg (88%) of 4l as an amorphous violet solid. Mp: 195.8–197.2 °C; 1H-NMR (500 MHz, CDCl3) δ 0.87 (t, J = 7.1 Hz, 3H, H-11′’’), 1.24 (bs, 16H, H-3′’’-H-10′’’), 1.45 (m, 2H, H-2′’’), 2.39 (t, J = 7.7 Hz, 2H, H-1′’’), 2.87 (s, 6H, -N(CH3)2), 3.07 (bs, 1H, -NH), 5.41 (s, 1H, H-4), 7.31 (m, 2H), 6.57 (d, J = 8.7 Hz, 2H, H-3′’ + H-5′’), 7.14 (d, J = 8.5 Hz, 2H, H-2′’ + H-6′’), 7.36 (m, 5H, H-2′-H-5′); 13C-NMR (125 MHz, CDCl3) δ 14.1 (CH3), 22.5 (CH2), 22.7 (CH2), 28.1 (CH2), 29.3 (CH2), 29.5 (CH2), 29.6 (CH2 x 2), 29.7 (CH2), 31.9 (CH2), 34.9 (CH2), 40.5 (CH), 104.4 (C), 108.8 (C), 112.3 (CH x 2), 115.8 (C), 125.3 (CH), 125.5 (C), 126.7 (CH x 2), 128.9 (CH x 2), 129.0 (CH x 2), 129.1 (C), 130.8 (C), 133.9 (C), 139.6 (C), 140.3 (C), 147.7 (C), 149.1 (C), 154.0 (C), 178.9 (C), 182.8 (C); EIMS m/z (%) 566 ([M+], 100), 550 (19), 447 (16), 426 (14), 290 (12); HREIMS 566.3282 (calcd for C35H42N4O3 [M+] 566.3257); IR vmax 3433 (N-H), 3251 (O-H), 2920, 2851, 2804 (C-H arom), 1666 (C=O), 1520, 1481, 1438 (C=C, C=N), 1354 (N-N), 1315, 1273, 1199, 1126, 1061, 1034, 964, 814, 690 cm−1.

3.15. 4-(3-Fluoro-4-Methoxyphenyl)-6-Hydroxy-3-Phenyl-7-Undecyl-1H-Pyrazolo[3,4-b]Quinoline-5,8 (4H,9H)-Dione (4m)

Following the general procedure described above, in a 5 mL MW tube, 30 mg of embelin (0.1 mmol), 23.6 mg of 3-fluoro-4-methoxybenzaldehyde (0.15mmol) and 24.4 mg of 3-amino-5-phenylpyrazole (0.15 mmol) were dissolved in 2 mL of DCE and treated with 1.8 mg of EDDA (10 mol %). The tube was sealed, and the reaction mixture was irradiated at 150 °C for 10 min. Then, the reaction mixture was filtered and the obtained solid was washed with n-hex to yield 57.6 mg (98%) of 4m as an amorphous violet solid. Mp: 189.7–190.1 °C; 1H-NMR (500 MHz, CDCl3) δ 0.86 (t, J = 7.1 Hz, 3H, H-11′’’), 1.22 (bs, 16H, H-3′’’-H-10′’’), 1.43 (m, 2H, H-2′’’), 2.38 (t, J = 7.6 Hz, 2H, H-1′’’), 3.77 (s, 3H, -OCH3), 5.44 (s, 1H, H-4), 6.73 (t, J = 8.8 Hz, 1H), 6.98 (m, 2H), 7.51 (m, 5H); 13C-NMR (125 MHz, CDCl3) δ 14.1 (CH3), 22.6 (CH2), 22.7 (CH2), 28.2 (CH2), 29.3 (CH2), 29.5 (CH2), 29.6 (CH2 x 2), 29.7 (CH2), 29.7 (CH2), 31.9 (CH2), 35.3 (CH), 56.2 (CH3), 103.7 (C), 107.7 (C), 113.0 (C), 116.0 (CH, J = 19.2 Hz), 123.7 (CH, J = 2.6 Hz), 126.7 (CH x 2), 128.7 (C), 129.0 (CH x 2), 129.0 (CH), 138.7 (C, J = 4.8 Hz), 139.9 (C), 141.1 (C) 146.2 (C, J = 10.6 Hz), 147.4 (C), 151.2 (C), 154.0 (C-F, J = 239.4 Hz), 154.9 (C), 178.9 (C), 182.43 (C); EIMS m/z (%) 571 ([M+], 99); 446 (100); 295 (82); 159 (94); HREIMS 571.2845 (calcd for C34H38N3O4F [M+] 571.2846); IR vmax 3425 (N-H), 3251 (O-H), 2924, 2852 (C-H arom), 1641 (C=O), 1586, 1571, 1506, 1436 (C=N, C=C), 1352 (N-N), 1314, 1269, 1201, 1148, 1116, 1028, 981, 872, 803 cm−1.

3.16. 4-(3,4-Dimethoxyphenyl)-6-Hydroxy-3-Phenyl-7-Undecyl-1H-Pyrazolo[3,4-b]Quinoline-5,8 (4H,9H)-Dione (4n)

Following the general procedure described above, in a 5 mL MW tube, 30 mg of embelin (0.1 mmol), 25.4 mg of 3,4-dimethoxybenzaldehyde (0.15 mmol) and 24.4 mg of 3-amino-5-phenylpyrazole (0.15 mmol) were dissolved in 2 mL of DCE and treated with 1.8 mg of EDDA (10 mol %). The tube was sealed, and the reaction mixture was irradiated at 150 °C for 10 min. Then, the reaction mixture was filtered and the obtained solid was washed with n-hex to yield 54.2 mg (91%) of 4n as an amorphous violet solid. Mp: 183.8–184.5 °C; 1H-NMR (500 MHz, CDCl3) δ 0.86 (t, J = 7.1 Hz, 3H, H-11′’’), 1.23 (bs, 16H, H-3′’’-H-10′’’), 1.44 (m, 2H), 2.40 (t, J = 7.8 Hz, 2H, H-1′’’), 3.72 (s, 3H, -OCH3), 3.78 (s, 3H, -OCH3), 5.47 (s, 1H, H-4), 6.68 (d, J = 8.4 Hz, 1H, H-5′’), 6.75 (dd, J = 8.3, 1.8 Hz, 1H, H-6′’), 6.82 (d, J = 1.8 Hz, 1H, H-2′’), 7.37 (m, 5H, H-2′-H-6′); 13C-NMR (125 MHz, CDCl3) 14.1 (CH3), 22.6 (CH2), 22.7 (CH2), 28.2 (CH2), 29.3 (CH2), 29.5 (CH2), 29.6 (CH2 x 2), 29.7 (CH2 x 2), 31.9 (CH2), 35.6 (CH), 55.8 (CH3), 55.9 (CH3), 104.3 (C), 108.1 (C), 111.1 (CH), 111.7 (CH), 116.1 (C), 120.1 (CH), 127.0 (CH x 2), 128.9 (C), 129.0 (CH x 2), 129.1 (CH), 138.4 (C), 139.9 (C), 141.1 (C), 147.5 (C), 147.7 (C), 148.7 (C), 154.3 (C), 178.9 (C), 182.8 (C); EIMS m/z (%) 583 ([M+], 66); 446 (100); 304 (26); HREIMS m/z 583.3026 (calc for C35H41N3O5 [M+] 583.3046); IR vmax 3431 (N-H), 3253 (O-H), 2922, 2852 (C-H arom), 1641 (C=O), 1586, 1506 (C=C, C=N), 1352 (N-N), 1263 (O-CH3), 1233, 1203, 1136, 1029, 982, 927, 852 cm−1.

3.17. 4-(Benzo[d][1,3]Dioxol-5-yl)-6-Hydroxy-3-Phenyl-7-Undecyl-1H-Pyrazolo[3,4-b]Quinoline-5,8 (4H, 9H)-Dione (4o)

Following the general procedure described above, in a 5 mL MW tube, 30 mg of embelin (0.1 mmol), 23 mg of piperonal (0.15 mmol) and 24.4 mg of 3-amino-5-phenylpyrazole (0.15 mmol) were dissolved in 2 mL of DCE and treated with 1.8 mg of EDDA (10 mol %). The tube was sealed, and the reaction mixture was irradiated at 150 °C for 10 min. Then, the reaction mixture was filtered and the obtained solid was washed with n-hex to yield 42.3 mg (73%) of 4o as an amorphous violet solid. Mp: 227.5–228.3 °C; 1H-NMR (500 MHz, CDCl3) δ 0.86 (t, J = 7.1 Hz, 3H, H-11′’’), 1.23 (bs, 16H, H-3′’’-H-10′’’), 1.44 (m, 2H, H-2′’’), 2.39 (t, J = 7.7 Hz, 2H, H-1′’’), 5.43 (s, 1H, H-4), 5.86 (d, J = 4.2 Hz, 2H, -OCH2O-), 6.62 (d, J = 7.8 Hz, 1H, H-6′’), 6.75 (m, 2H), 7.37 (m, 5H); 13C-NMR (125 MHz, CDCl3) 14.1 (CH3), 22.6 (CH2), 22.7 (CH2), 28.2 (CH2), 29.3 (CH2), 29.5 (CH2), 29.6 (CH2 x 2), 29.7 (CH2 x 2), 31.9 (CH2), 35.7 (CH), 100.9 (CH2), 104.1 (C), 107.9 (C), 108.2 (C), 108.8 (C), 116.1 (C), 121.4 (C), 126.8 (CH x 2), 128.7 (CH), 129.0 (CH x 2), 129.1 (CH), 139.6 (CH), 139.9 (CH), 140.7 (C), 146.2 (C), 147.5 (C), 147.7 (C), 154.4 (C), 178.8 (C), 182.5 (C); EIMS m/z (%) 567 ([M+], 67), 446 (100), 427 (7), 304 (7); HREIMS m/z 567.2746 (calcd for C34H37N3O5 [M+] 567.2733); IR vmax 3427 (N-H), 3237 (O-H), 2923, 2853 (CH-aliph), 1641, (C=O), 1571, 1528, 1483, 1438 (C=C, C=N), 1315 (N-N), 1271, 1201, 1142, 1090, 1038, 981, 939, 922, 866 cm−1.

3.18. 6-Hydroxy-4-(1H-Imidazol-4-yl)-3-Phenyl-7-Undecyl-1H-Pyrazolo[3,4-b]Quinoline-5,8 (4H,9H)-Dione (4p)

Following the general procedure described above, in a 5 mL MW tube, 30 mg of embelin (0.1 mmol), 24.7 mg of 4-(5)-imidazolecarboxaldehyde (0.15 mmol) and 24.4 mg of 3-amino-5-phenylpyrazole (0.15 mmol) were dissolved in 2 mL of DCE and treated with 1.8 mg of EDDA (10 mol %). The tube was sealed, and the reaction mixture was irradiated at 150 °C for 10 min. Then, the reaction mixture was filtered and the obtained solid was washed with n-hex to yield 30 mg (57%) of 4p as an amorphous violet solid. Mp: 265.4–266.1 °C; 1H-NMR (500 MHz, DMSO-d6) δ 0.88 (t, J = 7.1 Hz, 3H, H-11′’’), 1.26 (bs, 16H, H-3′’’-H-10′’’), 1.39 (m, 2H, H-2′’’), 2.30 (t, J = 7.7 Hz, 2H, H-1′’’), 5.58 (s, 1H, H-4), 6.75 (s, 1H, H-2′’), 7.38 (t, J = 7.4 Hz, 1H), 7.46 (m, 3H), 7.68 (d, J = 7.5 Hz, 2H); 13C-NMR (125 MHz, DMSO-d6) δ 13.9 (CH3), 22.0 (CH2 x 2), 27.8 (CH2), 28.4 (CH2), 28.6 (CH2), 28.9 (CH2 x 3), 29.0 (CH2) 29.1 (CH2), 31.2 (CH), 101.6 (C), 104.9 (C), 106.1 (C), 115.1 (C), 126.1 (CH x 2), 127.9 (CH), 128.7 (CH x 2), 133.9 (CH), 137.8 (CH), 140.5 (C), 146.9 (C), 157.6 (C), 178.9 (C), 181.0 (C); EIMS m/z (%) 513 ([M+], 50), 497 (100), 357 (29), 342 (7); HREIMS 513.2764 (calcd for C30H35N5O3 [M+] 513.2740); IR vmax 3420 (N-H), 3147 (O-H), 2921, 2850 (C-H aliph), 1637 (C=O), 1566, 1522, 1505, 1435 (C=C, C=N), 1360 (N-N), 1310, 1200, 1141, 1096, 980, 955, 843 cm−1.

3.19. 6-Hydroxy-3-Phenyl-4-(Pyridin-3-yl)-7-Undecyl-1H-Pyrazolo[3,4-b]Quinoline-5,8 (4H,9H)-Dione (4r)

Following the general procedure described above, in a 5 mL MW tube, 30 mg of embelin (0.1 mmol), 16.4 mg of 3-pyridinecarboxaldehyde (0.15 mmol, 14.4 μL) and 24.4 mg of 3-amino-5-phenylpyrazole (0.15 mmol) were dissolved in 2 mL of DCE and treated with 1.8 mg of EDDA (10 mol %). The tube was sealed, and the reaction mixture was irradiated at 150 °C for 10 min. Then, the reaction mixture was filtered and the obtained solid was washed with n-hex to yield 30.4 mg (57%) of 4r as an amorphous violet solid. Mp: 273.6–274.6 °C; 1H-NMR (500 MHz, DMSO-d6) δ 0.81 (t, J = 7.0 Hz, 3H, H-11′’’), 1.19 (bs, 16H, H-3′’’-H-10′’’), 1.32 (m, 2H, H-2′’’), 2.25 (t, J = 7.1 Hz, 2H, H-1′’’), 5.56 (s, 1H, H-4), 7.14 (dd, J = 4.8, 7.8 Hz, 1H, H-6′’’), 7.30 (m, 1H), 7.37 (t, J = 7.4 Hz, 2H), 7.44 (dt, J = 1.9, 7.9 Hz, 1H), 7.49 (d, J = 7.6 Hz, 1H), 8.17 (dd, J = 1.4, 4.6 Hz, 1H, H-4′’), 8.39 (d, J = 1.8 Hz, 1H, H-2′’); 13C-NMR (125 MHz, DMSO-d6) δ 13.9 (CH3), 21.9 (CH2), 22.0 (CH2), 27.5 (CH2), 28.6 (CH2), 28.7 (CH2), 28.8 (CH2 x 2), 29.0 (CH2 x 2), 31.2 (CH2), 33.6 (CH), 101.9 (C), 106.9 (C), 115.9 (C), 123.5 (CH), 123.9 (C), 126.2 (CH x 2), 128.3 (CH), 128.7(CH x 2), 135.3 (CH), 137.0 (C), 140.0 (C), 141.3 (C), 147.0(CH), 148.6 (CH), 150.1 (C), 153.2(C), 178.6 (C), 181.4 (C); ESMS (-) m/z (%) 523 ([M-H]+, 30), 511 (100), 497(12), 391 (45); ESHRMS(-) 523.2708 (calcd for C32H35N4O3 [M+] 523.2709); IR vmax 3433 (OH), 2924, 2851 (C-H-alipha), 1639, (C=O), 1570, 1531, 1481, 1435 (C=C, C=N), 1357 (N-N), 1238, 1177, 1126, 1034, 976, 822, 694 cm−1.

3.20. 6-Hydroxy-3-Phenyl-4-(Pyridin-4-yl)-7-Undecyl-1H-Pyrazolo[3,4-b]Quinoline-5,8 (4H,9H)-Dione (4s)

Following the general procedure described above, in a 5 mL MW tube, 30 mg of embelin (0.1 mmol), 16.4 mg of 4-pyridinecarboxaldehyde (0.15 mmol, 14.4 μL) and 24.4 mg of 3-amino-5-phenylpyrazole (0.15 mmol) were dissolved in 2 mL DCE and treated with 1.8 mg of EDDA (10 mol %). The tube was sealed, and the reaction mixture was irradiated at 150 °C for 10 min. Then, the reaction mixture was filtered and the obtained solid was washed with n-hex to yield 33.8 mg (63%) of 4s as an amorphous violet solid. Mp: 275.9–277.0 °C. 1H-NMR (500 MHz, DMSO-d6) δ 0.85 (t, J = 6.9 Hz, 3H, H-11′’’), 1.22 (bs, 16H, H-3′’’-H-10′’’), 1.34 (m, 2H, H-2′’’), 2.26 (t, J = 7.7 Hz, 2H, H-1′’’), 3.10 (bs, 1H, NH), 5.54 (s, 1H, H-4), 7.12 (d, J = 6.0 Hz, 1H, H-2′’ + H-4′’), 7.32 (m, 1H, H-4′), 7.40 (t, J = 7.8 Hz, 2H, H-3′ + H-5′), 7.52 (d, J = 7.2 Hz, 2H, H-2′ + H-6′), 8.29 (d, J = 6.0 Hz, 2H, H-3′’ + H-5′’); 13C-NMR (125 MHz, DMSO-d6) 13.9 (CH3), 21.9 (CH2), 22.0 (CH2), 27.6 (CH2), 28.7 (CH2), 28.8 (CH2), 28.9 (CH2 x 2), 29.0 (CH2 x 2), 31.2 (CH2), 35.6 (CH), 101.3 (C), 106.3 (C), 116.0 (C), 121.9 (C), 122.0 (CH x 2), 123.1 (C), 126.3 (CH x 2), 128.2 (CH), 128.7 (CH x 2), 140.3 (C), 149.1 (CH x 2), 150.2 (C), 150.4 (C), 154.0 (C), 178.5 (C), 181.4 (C); EIMS m/z (%) 524 ([M-H]+,100), 508 (100), 446 (43), 384 (33), 368 (70); HREIMS 524.2786 (calcd for C32H36N4O3 [M+] 524.2787). IR vmax 3433 (O-H), 2920, 2851 (C-H alipha), 1643 (C=O), 1589, 1531, 1481, 1439 (C=C, C=N), 1358 (N-N), 1269, 1142, 1007, 960, 791, 698, 679 cm−1.

3.21. 4-Cyclohexyl-6-Hydroxy-3-Phenyl-7-Undecyl-1H-Pyrazolo[3,4-b]Quinoline-5,8 (4H,9H)-Dione (4t)

Following the general procedure described above, in a 5 mL MW tube, 30 mg of embelin (0.1 mmol), 17.2 mg of cyclohexanaldehyde (0.15 mmol, 18.5 µL) and 24.4 mg of 3-amino-5-phenylpyrazole (0.15 mmol) were dissolved in 2 mL of DCE and treated with 1.8 mg of EDDA (10 mol %). The tube was sealed, and the reaction mixture was irradiated at 150 °C for 10 min. The crude was purified by Sephadex LH-20 using hex/DCM/MeOH (2:2:1) as eluent to yield 27.2 mg (50%) of 4t as an amorphous blue solid. Mp: 184.6–185.2 °C; 1H-NMR (500 MHz, CDCl3) 0.64 (m, 2H), 0.87 (t, J = 7.1 Hz, 3H, H-11′’’), 0.98 (m, 2H), 1.25 (bs, 18H, H-3′’’-H-10′’’), 1.50 (m, 7H), 2.44 (t, J = 7.5 Hz, 2H), 4.50 (d, J = 3.3 Hz, 1H, H-4), 7.43 (t, J = 7.3 Hz, 1H), 7.49 (t, J = 7.7 Hz, 2H), 7.57 (d, J = 7.6 Hz, 2H, H-2′ + H-6′); 13C-NMR (125 MHz, CDCl3) 14.1 (CH3), 22.6 (CH2), 22.7 (CH2), 26.2 (CH2), 26.4 (CH2), 26.5 (CH2), 28.2 (CH2), 28.4 (CH2), 29.4 (CH2), 29.5 (CH2), 29.6 (CH2), 29.7 (CH2 x 3), 30.4 (CH2), 31.9 (CH2), 35.2 (CH), 46.4 (CH), 101.9 (C), 107.2 (C), 115.8 (C), 125.6 (C), 127.0 (CH x 2), 129.0 (CH), 129.2 (CH x 2), 130.2 (C), 139.9 (C); 143.1 (C), 149.1 (C), 154.0 (C), 179.1 (C), 182.5 (C); EIMS m/z (%) 529 ([M+], 2); 446 (100); 307 (10); 291 (9); HREIMS 529.3300 (calcd for C33H43N3O3 [M+] 529.3304); IR vmax 3265 (O-H), 2923, 2852 (C-H aliphat), 1637 (C=O), 1587, 1572, 1527, 1491, 1439 (C=C, C=N), 1387 (N-N), 1296, 1271, 1243, 1206, 1150, 1121, 1074, 977, 941, 893 cm−1.

3.22. 4-Ethyl-6-Hydroxy-3-Phenyl-7-Undecyl-1H-Pyrazolo[3,4-b]Quinoline-5,8 (4H,9H)-Dione (4u)

Following the general procedure described above, in a 5 mL MW tube, 30 mg of embelin (0.1 mmol), 8.9 mg of propanaldehyde (0.15 mmol, 11.1 µL) and 24.4 mg of 3-amino-5-phenylpyrazole (0.15 mmol) were dissolved in 2 mL of DCE and treated with 1.8 mg of EDDA (10 mol %). The tube was sealed, and the reaction mixture was irradiated at 150 °C for 10 min. The product was purified by Sephadex LH-20 using hex/DCM/MeOH (2:2:1) as eluent mixture to yield 18.3 mg (38%) of 4u as an amorphous blue solid. Mp: 213.4–214.4 °C; 1H-NMR (500 MHz, DMSO-d6) δ 0.46 (t, J = 7.1 Hz, 3H, -CH2CH3), 0.85 (t, J = 7.1 Hz, 3H, H-11′’’), 1.23 (bs, 17H), 1.39 (m, 2H), 1.67 (m, 1H), 2.30 (t, J = 7.7 Hz, 2H), 4.61 (t, J = 4.2 Hz, 1H, H-4), 7.40 (t, J = 7.4 Hz, 1H, H-4′), 7.52 (t, J = 7.9 Hz, 2H, H-3′ + H-5′), 7.65 (d, J = 7.4 Hz, 2H, H-2′ + H-6′); 13C-NMR (125 MHz, DMSO-d6) δ 8.7 (CH3), 13.9 (CH3), 21.9 (CH2), 22.0 (CH2), 27.1 (CH2), 27.6 (CH2), 28.6 (CH2), 28.8 (CH2), 28.9 (CH2 x 4), 30.2 (CH2), 31.2 (CH), 101.3 (C), 106.0 (C), 115.5 (C), 124.7 (C), 126.1 (CH x 2), 128.1 (CH), 128.9 (CH x 2), 137.6 (C), 141.8 (C), 147.5 (C), 155.6 (C), 179.0 (C), 182.06 (C); EIMS m/z (%) 475 ([M+], 3), 446 (100), 318 (8), 306 (7); HREIMS m/z 475.2836 (calcd for C29H37N3O3 [M+] 475.2836); IR vmax 3442 (N-H), 3318 (O-H), 2917, 2849 (C-H-aliphat), 1637, (C=O), 1562, 1526, 1483 (C=C, C=N), 1359 (N-N), 1330, 1270, 1228, 1204, 1146, 1120, 1024, 980, 909, 871, 832 cm−1.

3.23. 4-Heptyl-6-Hydroxy-3-Phenyl-7-Undecyl-1H-Pyrazolo[3,4-b]Quinoline-5,8 (4H,9H)-Dione (4v)

Following the general procedure described above, in a 5 mL MW tube, 30 mg of embelin (0.1 mmol), 17.5 mg of heptanaldehyde (0.15 mmol, 21.4 µL) and 24.4 mg of 3-amino-5-phenylpyrazole (0.15 mmol) were dissolved in 2 mL of DCE and treated with 1.8 mg of EDDA (10 mol %). The tube was sealed, and the reaction mixture was irradiated at 150 °C for 10 min. The product was purified by Sephadex LH-20 using hex/DCM/MeOH (2:2:1) as eluent to yield 42.3 mg (78%) of 4v as an amorphous blue solid. Mp: 172.5–173.2 °C; 1H-NMR (500 MHz, CDCl3) δ 0.73 (t, J = 7.2 Hz, 3H, (CH2)CH3), 0.87 (t, J = 6.9 Hz, 3H, H-11′’’), 0.97 (m, 7H), 1.25 (bs, 16H), 1.50 (m, 2H), 1.63 (m, 2H), 2.44 (t, J = 7.6 Hz, 2H), 4.64 (t, J = 4.2 Hz, 1H, H-4), 7.43 (t, J = 7.1 Hz, 1H, H-4′), 7.50 (t, J = 7.4 Hz, 2H, H-3′ + H-5′), 7.58 (d, J = 7.4 Hz, 2H, H-2′ + H-6′); 13C-NMR (125 MHz, CDCl3) δ 14.0 (CH3), 14.1 (CH3), 22.5 (CH2), 22.6 (CH2), 22.7 (CH2), 24.9 (CH2), 28.2 (CH2), 29.2 (CH2), 29.4 (CH2), 29.5 (CH2), 29.6 (CH2), 29.7 (CH2 x 2), 29.7 (CH2), 30.0 (CH2), 31.6 (CH2), 31.9 (CH2), 35.5 (CH), 103.5 (C), 107.3 (C), 115.8 (C), 126.6 (CH x 2), 129.0 (CH), 129.3 (CH x 2), 129.5 (CH), 139.4 (C), 142.5 (C), 147.9 (C), 154.1 (C), 178.8 (C), 181.41 (C); EIMS m/z (%) 531 ([M+], 3), 474 (5), 446 (100), 307 (7); HREIMS 531.3461 (calcd for C33H45N3O3 [M+] 531.3461); IR 3440 (N-H), 3298 (O-H), 2922, 2853 (C-H aliph), 1639 (C=O), 1526, 1483, 1438 (C=N, C=C), 1378 (N-N), 1268, 1232, 1205, 1147, 1120, 1072, 1014, 977, 870, 823 cm−1.

3.24. 4-(Tert-Butyl)-6-Hydroxy-3-Phenyl-7-Undecyl-1H-Pyrazolo[3,4-b]Quinoline-5,8 (4H,9H)-Dione (4w)

Following the general procedure described above, in a 5 mL MW tube, 30 mg of embelin (0.1 mmol), 13.2 mg of pyvalaldehyde (0.15 mmol, 18.5 µL) and 24.4 mg of 3-amino-5-phenylpyrazole (0.15 mmol) were dissolved in 2 mL of DCE and treated with 1.8 mg of EDDA (10 mol %). The tube was sealed, and the reaction mixture was irradiated at 150 °C for 10 min. The product was purified by Sephadex LH-20 using hex/DCM/MeOH (2:2:1) as eluent to yield 24.3 mg (47%) of 4w as an amorphous blue solid. Mp: 160.1–160.9 °C; 1H-NMR (500 MHz, CDCl3) δ 0.87 (t, J = 7.1 Hz, 3H, H-11′’’), 0.93 (s, 9H, -C(CH3)3), 1.25 (bs, 16H, H-4′’’-H-10′’’), 1.49 (m, 2H, H-3′’’), 2.45 (t, J = 7.8 Hz, 2H, H-1′’’), 5.41 (s, 1H, H-4), 6.20 (bs, 1H, OH), 7.32 (t, J = 7.3 Hz, 1H, H-4′), 7.40 (t, J = 7.7 Hz, 2H, H-3′ + H-5′), 7.80 (d, J = 7.3 Hz, 2H, H-2′ + H-6′); 13C-NMR (125 MHz, CDCl3) δ 14.1 (CH3), 22.6 (CH2), 22.7 (CH2), 27.1 (CH3 x 3), 27.6 (CH2), 28.1 (CH2), 29.3 (CH2), 29.4 (CH2), 29.6 (CH2 x 2), 29.7 (CH2), 31.9 (CH2), 40.7 (CH), 61.9 (C), 87.7 (C), 104.3 (C), 116.6 (C), 125.6 (CH x 2), 128.0 (CH), 128.6 (CH x 2), 133.2 (C), 138.0 (C), 139.6 (C) 150.9 (C), 154.0 (C), 178.9 (C), 180.9 (C); EIMS m/z (%) 446 ([M+-C4H9], 100), 418 (4), 307 (15), 276 (5); HRMS: 446.2423 (calcd for C27H32N3O3 [M+-C4H9] 446.2444); IR vmax 3310 (N-H), 3223 (O-H), 2955, 2916, 2850 (C-H aliph), 1635 (C=O), 1556, 1519, 1497, 1464, 1428 (C=C, C=N), 1359 (N-N), 1305, 1264, 1223, 1184, 1119, 1073, 1026, 996, 956, 916, 882, 841 cm−1.

3.25. 6-Hydroxy-7-Octyl-3-Phenyl-4-(4-(Trifluoromethyl)Phenyl)-1H-Pyrazolo[3,4-b]Quinoline-5,8 (4H,9H)-Dione (9)

Following the general procedure described above, in a 5 mL MW tube, 30 mg of 2,5-dihydroxy-3-octylcyclohexa-2,5-diene-1,4-dione (0.12 mmol), 31.1 mg of 4-(trifluoromethyl)-benzaldehyde (0.18 mmol, 24.4 µL) and 28.4 mg of 3-amino-5-phenylpyrazole (0.18 mmol) were dissolved in 2 mL of DCE and treated with 2.1 mg of EDDA (10 mol % m). The tube was sealed, and the reaction mixture was irradiated at 150 °C for 10 min. The product was purified by filtration and washed with n-hex to yield 28.5 mg (43%) of 9 as an amorphous blue solid. Mp: 243.7–244.4 °C; 1H-NMR (500 MHz, CDCl3) 0.85 (t, J = 7.1 Hz, 3H, H-8′’’), 1.25 (m, 10H, H-3′’’-H-7′’’), 1.45 (m, 2H, H-2′’’), 2.41 (t, J = 7.8 Hz, 2H, H-1′’’), 5.58 (s, 1H, H-4), 7.30 (m, 2H, H-3′’ + H-5′’), 7.39 (m, 4H), 7.37 (d, J = 8.1 Hz, 2H, H-2′’ + H-6′’); 13C-NMR (125 MHz, CDCl3) δ 14.1 (CH3), 22.6 (CH2), 22.7 (CH2), 28.1 (CH2), 29.2 (CH2), 29.4 (CH2), 29.7 (CH2), 31.9 (CH2), 36.0 (CH), 103.3 (C), 107.2 (C), 116.1 (C), 116.3 (C), 123.2 (C), 125.2 (CH x 2, J = 2.8 Hz), 126.7 (CH x 2), 128.3 (C), 128.4 (CH x 2), 128.2 (C, J = 31.2 Hz), 129.1 (CH x 2), 129.3 (CH), 140.2(C), 141.0(C), 147.3(C), 149.0(C), 154.1(C), 178.6 (C), 182.3 (C); EIMS m/z (%) 549 ([M+], 90), 450 (17), 404 (100), 306 (7); HREIMS 549.2214 (calcd for C31H30N3O3F3 [M+] 549.2239); IR vmax 3433 (N-H), 3251 (O-H), 2927, 2854 (C-H aliph), 1643 (C=O), 1570, 1504 (C=N, C=C), 1354 (N-N), 1323, 1274, 1161, 1118, 1064, 1018, 833, 690 cm−1.

3.26. 7-Hexyl-6-Hydroxy-3-Phenyl-4-(4-(Trifluoromethyl)Phenyl)-1H-Pyrazolo[3,4-b]Quinoline-5,8 (4H,9H)-Dione (10)

Following the general procedure described above, in a 5 mL MW tube, 30 mg of 3-hexyl-2,5-dihydroxycyclohexa-2,5-diene-1,4-dione (0.134 mmol), 35 mg of 4-(trifluoromethyl)-benzaldehyde (0.20 mmol, 27.4 µL) and 32 mg of 3-amino-5-phenylpyrazole (0.20 mmol) were dissolved in 2 mL DCE and treated with 2.4 mg of EDDA (10 mol %). The tube was sealed, and the reaction mixture was irradiated at 150 °C for 10 min. The product was purified by filtration and washed with n-hex to yield 35.6 mg (51%) of 10 as an amorphous blue solid. Mp: 239.9–240.7 °C; 1H-NMR (500 MHz, CDCl3) δ 0.86 (t, J = 7.2 Hz, 3H, H-6′’’), 1.29 (m, 6H, H-3′’’-H-5′’’), 1.46 (m, 2H, H-2′’’), 2.41 (t, J = 7.5 Hz, 2H, H-1′’’), 5.58 (s, 1H, H-4), 7.30 (m, 2H), 7.39 (m, 4H), 7.38 (m, 5H), 7.44 (d, J = 8.3 Hz, 2H); 13C-NMR (125 MHz, CDCl3) δ 14.1 (CH3), 22.6 (CH2 x 2), 28.0 (CH2), 29.3 (CH2), 31.6 (CH2), 36.0 (CH), 103.3 (C), 107.2 (C), 116.3 (C), 123.9 (C, J = 271.6 Hz), 125.3 (CH x 2, J = 3.7 Hz), 125.9 (C), 126.7 (CH x 2), 128.3 (C), 128.4 (CH x 2), 128.8 (C, J = 31.2 Hz), 129.1 (CH x 2), 129.3 (CH), 140.2 (C), 141.0 (C), 147.2 (C), 148.9 (C), 154.0 (C), 178.6 (C), 182.3 (C); EIMS m/z (%) 521 ([M+], 1); 423 (29); 359 (100); 303 (62); 301 (69); 289 (47); HREIMS 493.1601 (calcd for C27H22N3O3F3 [M+] 493.1613); IR vmax 3435 (N-H), 3260 (O-H), 2928, 2858 (C-H aliph), 1643 (C=O), 1569, 1504 (C=C, C=N), 1385 (N-N), 1323, 1269, 1165, 1122, 1065, 979, 833, 694 cm−1.

3.27. 7-Butyl-6-Hydroxy-3-Phenyl-4-(4-(Trifluoromethyl)Phenyl)-1H-Pyrazolo[3,4-b]Quinoline-5,8 (4H,9H)-Dione (11)

Following the general procedure described above, in a 5 mL MW tube, 30 mg of 3-butyl-2,5-dihydroxycyclohexa-2,5-diene-1,4-dione (0.153 mmol), 40 mg of 4-(trifluromethyl)-benzaldehyde (0.23 mmol, 31.3 µL) and 36.5 mg of 3-amino-5-phenylpyrazole (0.23 mmol) were dissolved in 2 mL DCE and treated with 2.8 mg of EDDA (10 mol %). The tube was sealed, and the reaction mixture was irradiated at 150 °C for 10 min. The product was purified by filtration and washed with n-hex to yield 49.7 mg (67%) of compound 11 as an amorphous violet solid. Mp: 257.2–258.6 °C; 1H-NMR (500 MHz, DMSO-d6) δ 0.87 (t, J = 7.2 Hz, 3H, H-4′’’), 1.27 (m, 2H, H-3′’’), 1.34 (m, 2H, H-2′’’), 2.27 (t, J = 7.5 Hz, 2H, H-1′’’), 5.63 (s, 1H, H-4), 5.76 (s, 1H, OH), 7.31 (m, 1H), 7.39 (m, 4H), 7.49 (d, J = 8.4 Hz, 2H, H-2′’ + H-6′’), 7.53 (d, J = 7.4 Hz, 2H, H-3′’ + H-5′’); 13C-NMR (125 MHz, CDCl3) δ 14.3 (CH3), 22.2 (CH2), 22.7 (CH2), 30.4 (CH2), 36.4 (CH), 107.5 (C), 116.2 (C), 123.8 (C), 125.2 (CH x 2, J = 3.2 Hz), 125.6 (C), 126.7 (CH x 2), 127.1 (C, J = 32.3 Hz), 127.4 (C), 128.7 (CH), 129.1 (CH x 2), 129.2 (CH x 2), 179.1 (C), 181.7 (C); EIMS m/z (%) 493 ([M+], 31), 450 (12), 348 (100), 306 (9); HREIMS 493.1601 (calcd for C27H22N3O3F3 [M+] 493.1613); IR vmax 3441 (N-H), 3356 (O-H), 2967, 2932, 2870 (C-H aliph), 1636 (C=O), 1566, 1527, 1493 (C=C, C=N), 1327 (N-N), 1296, 1204, 1165, 1111, 1068, 980, 930, 833, 690, 660 cm−1.

3.28. 7-Ethyl-6-Hydroxy-3-Phenyl-4-(4-(Trifluoromethyl)Phenyl)-1H-Pyrazolo[3,4-b]Quinoline-5,8 (4H,9H)-Dione (12)

Following the general procedure described above, in a 5 mL MW tube, 30 mg of 3-ethyl-2,5-dihydroxycyclohexa-2,5-diene-1,4-dione (0.18 mmol), 46.6 mg of 4-(trifluromethyl)-benzaldehyde (0.27 mmol, 36.5 µL) and 42.6 mg of 3-amino-5-phenylpyrazole (0.27 mmol) were dissolved in 2 mL DCE and treated with 3.2 mg of EDDA (10 mol %). The tube was sealed, and the reaction mixture was irradiated at 150 °C for 10 min. The product was purified by filtration and washed with n-hex to yield 27.9 mg (34%) of compound 12 as an amorphous blue solid. Mp: 175.2–177.0 °C; 1H-NMR (500 MHz, DMSO-d6) δ 0.95 (t, J = 7.2 Hz, 3H, H-2′’’), 2.28 (q, J = 7.2 Hz, 2H, H-1′’’), 5.60 (s, 1H, H-4), 5.76 (s, 1H, OH), 7.31 (m, 1H), 7.39 (m, 4H), 7.49 (d, J = 8.2 Hz, 2H, H-2′’ + H-6′’), 7.53 (d, J = 7.6 Hz, 2H, H-3′’ + H-5′’); 13C-NMR (125 MHz, CDCl3) δ 12.6 (CH3), 15.3 (CH2), 35.9 (CH), 101.9 (C), 107.1 (C), 117.3 (C), 124.2 (C, J = 271.9 Hz), 124.7 (CH, J = 3.4 Hz), 126.2 (CH x 2), 126.6 (C, J = 31.7 Hz), 127.4 (C), 128.2 (CH), 128.6 (CH x 2), 128.7 (CH x 2), 128.8 (C), 138.5 (C), 140.0 (C), 146.5 (C), 150.4 (C), 155.1 (C), 178.5 (C), 181.5 (C); EIMS m/z (%) 465 ([M+], 34), 321 (21), 320 (100), 292 (5); HREIMS 465.1291 (calcd for C25H18N3O3F3 [M+] 465.1300); IR vmax 3433 (N-H), 3275 (O-H), 2974, 2932 (C=C, C=N), 1643 (C=O), 1589, 1531, 1504 (C=C, C=N), 1346 (N-N), 1318, 1273, 1161, 1111, 1065, 1022, 976, 841, 690 cm−1.

3.29. 6-Methoxy-3-Phenyl-4-(4-(Trifluoromethyl)Phenyl)-7-Undecyl-4,9-Dihydro-1H-Pyrazolo[3,4-b]Quinoline-5,8-Dione (13)

To 15 mg of 4g (0.025 mmol) dissolved in 7.5 mL of a mixture diethyl ether/MeOH (2:1) an excess of trimethylsilyldiazomethane (Me3SiCHN2, 2 equiv) was added. The reaction mixture was stirred at room temperature until disappearance of the starting material (24 h). The solvent was removed under reduced pressure and the product 13 was quantitatively obtained without further purifications (15.1 mg, 100%). Mp: 241.8–242.5 °C. 1H-NMR (500 MHz, DMSO-d6) δ 0.84 (t, J = 7.1 Hz, 3H, H-11′’’), 1.22 (bs, 16H, H-3′’’-H-10′’’), 1.34 (m, 2H, H-2′’’), 2.30 (t, J = 7.7 Hz, 2H, H-1′’’), 3.89 (s, 3H, -OCH3), 5.62 (s, 1H, H-4), 7.34 (m, 3H), 7.40 (t, J = 7.7 Hz, 2H, H-2′’-H-6′’), 7.49 (d, J = 8.1 Hz, 2H), 7.53 (d, J = 7.5 Hz, 2H, H-3′’-H-5′’); 13C-NMR (125 MHz, DMSO-d6) δ 13.9 (CH3), 22.0 (CH2), 22.3 (CH2), 28.0 (CH2), 28.6 (CH2), 28.7 (CH2), 28.8 (CH2), 28.9 (CH2 x 3), 31.2 (CH2), 35.7 (CH), 61.3 (CH3), 101.9 (C), 109.2 (C), 113.6 (C), 124.1 (C, JC-F = 273.4 Hz), 124.9 (CH x 2, JC-F = 3.5 Hz), 126.2 (CH x 2), 126.6 (C, JC-F = 31.4 Hz), 127.3 (C), 128.2 (CH), 128.3 (CH x 2), 128.8 (CH x 2), 129.3 (C), 138.9 (C), 146.9 (C), 150.5 (C), 156.9 (C), 179.3 (C), 182.7 (C); EIMS m/z (%) 605 ([M+], 56), 474 (20), 460 (100), 432 (14); HREIMS 605.2889 (calcd for C35H38N3O3F3 [M+] 605.2865).

3.30. 3-(4-Chlorophenyl)-6-Hydroxy-4-(4-(Trifluoromethyl)Phenyl)-7-Undecyl-4,9-Dihydro-1H-Pyrazolo[3,4-b]Quinoline-5,8-Dione (14a)

Following the general procedure, in a 5 mL MW tube, 30 mg of embelin (0.1 mmol), 21.3 μL of 4-(trifluoromethyl)benzaldehyde (0.15 mmol) and 27.5 mg of 3-(4-chlorophenyl)-1H-pyrazol-5-amine (0.15 mmol) were dissolved in 2 mL of DCE and treated with 1.8 mg of EDDA (10 mol %). The tube was sealed, and the reaction mixture was irradiated at 150 °C for 10 min. The product was purified by filtration and washed with n-hex to yield 51.6 mg (83%) of 14a as an amorphous violet solid. Mp: 231.6–233.0 °C; 1H-NMR (500 MHz, DMSO-d6) δ 0.84 (t, J = 6.8 Hz, 3H, H-11′’’), 1.21 (bs, 16H, H-3′’’-H-10′’’), 1.33 (m, 2H, H-2′’’), 2.25 (t, J = 7.4 Hz, 2H, H-1′’’), 5.61 (s, 1H, H-4), 7.36 (d, J = 8.0 Hz, 2H, H-2′’ + H-6′’), 7.45 (d, J = 7.1 Hz, 2H, H-2′ + H-6′), 7.48 (d, J = 8.0 Hz, 2H, H-3′’ + H-5′’), 7.56 (d, J = 8.5 Hz, 2H, H-3′ + H-5′); 13C-NMR (125 MHz, DMSO-d6) δ 14.4 (CH3), 22.5 (CH2), 22.6 (CH2), 28.2 (CH2), 29.2 (CH2), 29.4 (CH2 x 2), 29.5 (CH2 x 2), 29.6 (CH2), 31.7 (CH2), 36.3 (CH), 102.8 (C), 107.5 (C), 115.9 (C), 123.8 (C), 125.3 (CH x 2, JC-F = 3.4 Hz), 125.6 (C, JC-F = 273.4 Hz), 127.1 (C, JC-F = 31.8 Hz), 128.5 (CH x 2), 129.1 (CH x 2), 129.2 (C); 129.3 (CH x 2), 133.3 (C), 137.8 (C), 140.9 (C), 147.0 (C), 150.9 (C), 179.5 (C), 180.7 (C); EIMS m/z (%) 624 ([M+], 100), 606 (15), 590 (18), 478 (11); HREIMS 624.2239 (calcd for C34H34N3O3F335Cl [M+] 624.2241), 626.2224 (calcd for C34H34N3O3F337Cl [M+] 626.2211).

3.31. 3-(4-Bromophenyl)-6-Hydroxy-4-(4-(Trifluoromethyl)Phenyl)-7-Undecyl-4,9-Dihydro-1H–Pyrazolo[3,4-b]Quinoline-5,8-Dione (14b)

Following the general procedure, in a 5 mL MW tube, 30 mg of embelin (0.1 mmol), 21.3 μL of 4-(trifluoromethyl)benzaldehyde (0.15 mmol) and 36.4 mg of 3-(4-bromophenyl)-1H-pyrazol-5-amine (0.15 mmol) were dissolved in 2 mL of DCE and treated with 1.8 mg of EDDA (10 mol %). The tube was sealed, and the reaction mixture was irradiated at 150 °C for 10 min. The product was purified by filtration and washed with n-hex to yield 58 mg (86%) of 14b as an amorphous violet solid. Mp: 227.6–229.0 °C. 1H-NMR (500 MHz, DMSO-d6) δ 0.84 (t, J = 7.0 Hz, 3H, H-11′’’), 1.21 (bs, 16H, H-3′’’-H-10′’’), 1.34 (m, 2H, H-2′’), 2.26 (t, J = 7.7 Hz, 2H, H-1′’), 5.63 (s, 1H, H-4), 7.37 (d, J = 7.9 Hz, 2H), 7.48 (m, 4H), 7.59 (d, J = 8.6 Hz, 2H); 13C-NMR (125 MHz, DMSO-d6) δ 14.4 (CH3), 22.4 (CH2), 22.5 (CH2), 28.1 (CH2), 29.2 (CH2), 29.3 (CH2), 29.4 (CH2 x 2), 29.5 (CH2 x 2), 31.7 (CH2), 36.3 (CH), 102.9 (C), 107.6 (C), 116.5 (C), 122.8 (C, JC-F = 271.6 Hz), 125.2 (CH x 2, JC-F = 3.6 Hz), 125.5 (C), 126.7 (C), 127.2 (C, JC-F = 30.5 Hz), 128.7 (CH x 2), 129.1 (CH x 2), 132.2 (CH x 2), 137.7 (C), 140.5 (C), 147.2 (C), 150.8 (C), 156.2 (C), 179.0 (C), 182.0 (C).

3.32. 3-(4-Fluorophenyl)-6-Hydroxy-4-(4-(Trifluoromethyl)Phenyl)-7-Undecyl-4,9-Dihydro-1H-Pyrazolo[3,4-b]Quinoline-5,8-Dione (14c)

Following the general procedure, in a 5 mL MW tube, 30 mg of embelin (0.1 mmol), 21.3 μL of 4-(trifluoromethyl)benzaldehyde (0.15 mmol) and 27.1 mg of 3-(4-fluorophenyl)-1H-pyrazol-5-amine (0.15 mmol) were dissolved in 2 mL of DCE and treated with 1.8 mg of EDDA (10 mol %). The tube was sealed, and the reaction mixture was irradiated at 150 °C for 10 min. The product was purified by filtration and washed with n-Hex to yield 52.1 mg (85%) of 14c as an amorphous violet solid. Mp: 228.2–229.8 °C; 1H-NMR (500 MHz, DMSO-d6) δ 0.83 (t, J = 7.2 Hz, 3H, H-11′’’), 1.21 (bs, 16H, H-3′’’-H-10′’’), 1.34 (m, 2H, H-2′’’), 2.26 (t, J = 7.8 Hz, 2H, H-1′’’), 5.62 (s, 1H, H-4), 7.23 (t, J = 8.4 Hz, 2H, H-3′’ + H-5′’), 7.35 (d, J = 7.8 Hz, 2H, H-3′ + H-5′), 7.48 (d, J = 7.8 Hz, 2H, H-2′ + H-6′), 7.57 (m, 2H, H-2′’ + H-6′’); 13C-NMR (125 MHz, DMSO-d6) δ 14.3 (CH3), 22.4 (CH2), 22.5 (CH2), 28.1 (CH2), 29.1 (CH2), 29.2 (CH2), 29.3 (CH2), 29.4 (CH2), 29.5 (CH2 x 2), 31.7 (CH2), 36.3 (CH), 102.5 (C), 107.5 (C), 116.2 (CH x 2, JC-F = 21.1 Hz), 116.5 (C), 125.3 (CH x 2, JC-F = 2.2 Hz), 127.3 (C), 129.0 (CH x 4), 129.1 (C), 140.5 (C), 142.5 (C), 143.8 (C), 150.9 (C), 156.1 (C), 161.5 (C), 163.1 (C), 178.9 (C), 182.1 (C); EIMS m/z (%) 609 ([M+], 93), 668 (56), 464 (100), 323 (39). HREIMS 609.2632 (calcd for C34H35N3O3F4 [M+] 609.2615).

3.33. 3-(3-Fluorophenyl)-6-Hydroxy-4-(4-(Trifluoromethyl)Phenyl)-7-Undecyl-4,9-Dihydro-1H-Pyrazolo[3,4-b]Quinoline-5,8-Dione (14d)

Following the general procedure, in a 5 mL MW tube, 30 mg of embelin (0.1 mmol), 21.3 μL of 4-(trifluoromethyl)benzaldehyde (0.15 mmol) and 27.1 mg of 3-(3-fluorophenyl)-1H-pyrazol-5-amine (0.15 mmol) were dissolved in 2 mL of DCE and treated with 1.8 mg of EDDA (10 mol %). The tube was sealed and the reaction mixture was irradiated at 150 °C for 10 min. The product was purified by filtration and washed with n-hex to yield 46.6 mg (76%) of 14d as an amorphous violet solid. Mp: 213.8–215.0 °C. 1H-NMR (500 MHz, DMSO-d6) δ 0.83 (t, J = 7.1 Hz, 3H, H-11′’’), 1.21 (bs, 16H, H-3′’’-H-10′’’), 1.31 (m, 2H, H-2′’’), 2.23 (t, J = 7.7 Hz, 2H, H-1′’’), 5.61 (s, 1H, H-4), 7.14 (td, J = 2.3, 8.6 Hz, 1H), 7.33 (dt, J = 2.2, 10.7 Hz, 1H), 7.36 (m, 3H), 7.43 (m, 1H), 7.50 (d, J = 8.4 Hz, 2H, H-3′’ + H-5′’); 13C-NMR (125 MHz, DMSO-d6) δ 13.8 (CH3), 21.0 (CH2), 22.0 (CH2), 27.8 (CH2), 28.6 (CH2), 28.8 (CH2), 28.9 (CH2 x 2), 29.0 (CH2 x 2), 31.2 (CH2), 35.8 (CH), 102.4 (C), 106.9 (C), 112.8 (CH, JC-F = 22.6 Hz), 114.9 (CH, JC-F = 21.5 Hz), 118.8 (C, JC-F = 14.8 Hz), 115.1 (C), 122.4 (CH x 2, JC-F = 2.6 Hz), 124.1 (C, JC-F = 272.3 Hz), 124.8 (CH, JC-F = 4.4 Hz), 126.6 (C, JC-F = 31.3 Hz), 128.6 (CH x 2), 129.0 (C), 130.8 (CH, JC-F = 8.5 Hz), 140.5 (C), 150.4 (C), 161.1 (C), 163.0 (C), 171.9 (C), 179.3 (C), 179.7 (C); EIMS m/z (%) 609 ([M+], 100), 468 (38), 464 (96), 324 (19); HREIMS 609.2596 (calcd for C34H35N3O3F4 [M+] 609.2615).

3.34. 6-Hydroxy-3-(4-Methoxyphenyl)-4-(4-(Trifluoromethyl)Phenyl)-7-Undecyl-4,9-Dihydro-1H-Pyrazolo[3,4-b]Quinoline-5,8-Dione (14e)

Following the general procedure, in a 5 mL MW tube, 30 mg of embelin (0.1 mmol), 21.3 μL of 4-(trifluoromethyl)benzaldehyde (0.15 mmol) and 28.9 mg of 3-(4-methoxyphenyl)-1H-pyrazol-5-amine (0.15 mmol) were dissolved in 2 mL of DCE and treated with 1.8 mg of EDDA (10 mol %). The tube was sealed and the reaction mixture was irradiated at 150 °C for 10 min. The product was purified by filtration and washed with n-hex to yield 58.6 mg (94%) of 14e as an amorphous violet solid. Mp: 206.6–207.5 °C; 1H-NMR (500 MHz, DMSO-d6) δ 0.84 (t, J = 7.5 Hz, 3H, H-11′’’), 1.21 (bs, 16H, H-3′’’-H-10′’’), 1.33 (m, 2H, H-2′’’), 2.25 (t, J = 7.6 Hz, 2H, H-1′’’), 3.75 (s, 3H, OCH3), 5.57 (s, 1H, H-4), 6.95 (d, J = 8.5 Hz, 2H, H-3′ + H-5′), 7.36 (d, J = 8.0 Hz, 2H, H-2′’ + H-6′’), 7.46 (d, J = 8.9 Hz, 2H, H-3′’ + H-5′’), 7.50 (d, J = 8.5 Hz, 2H, H-2′ + H-6′); 13C-NMR (125 MHz, DMSO-d6) δ 14.4 (CH3), 22.5 (CH2 x 2), 28.2 (CH2), 29.2 (CH2), 29.3 (CH2), 29.4 (CH2 x 2), 29.5 (CH2 x 2), 31.7 (CH2), 36.3 (CH), 55.6 (CH3), 101.7 (C), 107.5 (C), 114.7 (CH x 2), 116.0 (C), 121.8 (C), 124.7 (C, JC-F = 272.9 Hz), 125.3 (CH x 2, JC-F = 3.2 Hz), 126.5 (C), 127.1 (C, JC-F = 31.5 Hz), 128.1 (CH x 2), 129.0 (CH x 2), 139.1 (C); 140.8 (C), 147.0 (C), 151.1 (C), 159.6 (C), 179.2 (C), 181.3 (C); EIMS m/z (%) 621 ([M+], 65), 480 (21), 476 (100), 345 (30); HREIMS 621.2825 (calcd for C35H38N3O4F3 [M+] 621.2814).

3.35. 3-(4-(Dimethylamino)Phenyl)-6-Hydroxy-4-(4-(Trifluoromethyl)Phenyl)-7-Undecyl-4,9-Dihydro-1H-Pyrazolo[3,4-b]Quinoline-5,8-Dione (14f)

Following the general procedure, in a 5 mL MW tube, 30 mg of embelin (0.1 mmol), 21.3 μL of 4-(trifluoromethyl)benzaldehyde (0.15 mmol) and 30.9 mg of 3-(4-(dimethylamino)phenyl)-1H-pyrazol-5-amine (0.15 mmol) were dissolved in 2 mL of DCE and treated with 1.8 mg of EDDA (10 mol %). The tube was sealed, and the reaction mixture was irradiated at 150 °C for 10 min. The product was purified by filtration and washed with n-hex to yield 56.9 mg (90%) of 14f as an amorphous violet solid. Mp: 242.4–244.0 °C; 1H-NMR (500 MHz, DMSO-d6) δ 0.84 (t, J = 7.5 Hz, 3H, H-11′’’), 1.21 (bs, 16H, H-3′’’-H-10′’’), 1.33 (m, 2H, H-2′’’), 2.25 (t, J = 7.6 Hz, 2H, H-1′’’), 3.75 (s, 6H, -N(CH3)2), 5.57 (s, 1H, H-4), 6.95 (d, J = 8.5 Hz, 2H, H-3′ + H-5′), 7.36 (d, J = 8.0 Hz, 2H, H-2′’ + H-6′’), 7.46 (d, J = 8.9 Hz, 2H, H-3′’ + H-5′’), 7.50 (d, J = 8.5 Hz, 2H, H-2′ + H-6′); 13C-NMR (125 MHz, DMSO-d6) δ 13.9 (CH3), 21.9 (CH2), 22.0 (CH2), 27.6 (CH2), 28.6 (CH2), 28.8 (CH2), 28.9 (CH2 x 2), 29.0 (CH2 x 2), 31.2 (CH2), 35.9 (CH), 40.2 (CH3 x 2), 100.2 (C), 107.1 (C), 118.8 (CH x 2), 115.8 (C), 116.3 (C), 124.2 (C, JC-F = 274.9 Hz), 124.8 (CH x 2, JC-F = 3.7 Hz), 126.6 (C, JC-F = 30.7 Hz), 126.9 (CH x 2), 128.6 (CH x 2), 138.9 (C), 140.0 (C), 146.6 (C), 149.9 (C), 150.7 (C), 156.1 (C), 178.3 (C), 181.5 (C); EIMS m/z (%) 634 ([M+], 83), 493 (16), 489 (100), 347 (10); HREIMS 634.3113 (calcd for C36H41N4O3F3 [M+] 634.3131).

3.36. 3-(Furan-2-yl)-6-Hydroxy-4-(4-(Trifluoromethyl)Phenyl)-7-Undecyl-4,9-Dihydro-1H-Pyrazolo[3,4-b]Quinoline-5,8-Dione (14g)

Following the general procedure, in a 5 mL MW tube, 30 mg of embelin (0.1 mmol), 21.3 μL of 4-(trifluoromethyl)benzaldehyde (0.15 mmol) and 22.8 mg of 3-(furan-2-yl)-1H-pyrazol-5-amine (0.15 mmol) were dissolved in 2 mL of DCE and treated with 1.8 mg of EDDA (10 mol %). The tube was sealed, and the reaction mixture was irradiated at 150 °C for 10 min. The product was purified by filtration and washed with n-hex to yield 48.8 mg (82%) of 14g as an amorphous violet solid. Mp: 165.0–166.8 °C. 1H-NMR (500 MHz, DMSO-d6) δ 0.83 (t, J = 6.2 Hz, 3H, H-11′’’), 1.21 (bs, 16H, H-3′’’-H-10′’’), 1.33 (m, 2H, H-2′’’), 2.26 (t, J = 7.3 Hz, 2H, H-1′’’), 5.49 (s, 1H, H-4), 6.53 (bs, 1H, H-4′), 6.63 (bs, 1H, H-5′), 7.46 (d, J = 7.3 Hz, 2H, H-2′’ + H-6′’), 7.54 (d, J = 7.6 Hz, 2H, H-3′’ + H-5′’), 7.74 (s, 1H, H-3′); 13C-NMR (125 MHz, DMSO-d6) δ 13.9 (CH3), 22.0 (CH2 x 2), 27.6 (CH2), 28.6 (CH2), 28.8 (CH2), 28.9 (CH2 x 2), 29.0 (CH2 x 2), 31.2 (CH2), 35.7 (CH), 101.5 (C), 107.1 (C), 107.6 (CH), 111.7 (CH), 115.7 (C), 124.1 (C, JC-F = 272.6 Hz), 124.7 (CH x 2, JC-F = 3.6 Hz), 126.6 (C, JC-F = 31.5 Hz), 128.7 (CH x 2), 140.3 (C), 143.1 (CH), 143.8 (C), 146.2 (C), 150.0 (C), 150.8 (C); 156.9 (C), 178.9 (C), 180.6 (C); EIMS m/z (%) 581 ([M+], 89), 439 (44), 435 (100), 295 (23); HREIMS 581.2491 (calcd for C32H34N3O4F3 [M+] 581.2501).

3.37. 6-Hydroxy-3-Methyl-4-(4-(Trifluoromethyl-6-Hydroxy-3-Methyl-4-(4-(Trifluoromethyl) Phenyl)-7-Undecyl-4,9-Dihydro-1H-Pyrazolo[3,4-b]Quinoline-5,8-Dione (14h)

Following the general procedure, in a 5 mL MW tube, 30 mg of embelin (0.1 mmol), 21.3 μL of 4-(trifluoromethyl)benzaldehyde (0.15 mmol) and 14.9 mg of 3-methyl-1H-pyrazol-5-amine (0.15 mmol) were dissolved in 2 mL of DCE and treated with 1.8 mg of EDDA (10 mol %). The tube was sealed, and the reaction mixture was irradiated at 150 °C for 10 min. The product was purified by filtration and washed with n-hex to yield 41.4 mg (78%) of 14h as an amorphous violet solid. Mp: 249.8–250.9 °C. 1H-NMR (500 MHz, DMSO-d6) δ 0.83 (t, J = 6.6 Hz, 3H, H-11′’’), 1.20 (bs, 16H, H-3′’’-H-10′’’), 1.33 (m, 2H, H-2′’’), 1.88 (s, 3H, CH3), 2.25 (t, J = 6.8 Hz, 2H, H-1′’’), 5.24 (s, 1H, H-4), 7.43 (d, J = 7.6 Hz, 2H, H-2′’ + H-6′’), 7.58 (d, J = 7.6 Hz, 2H, H-3′’ + H-5′’); 13C-NMR (125 MHz, DMSO-d6) δ 9.4 (CH3), 13.9 (CH3), 21.9 (CH2), 22.0 (CH2), 27.6 (CH2), 28.7 (CH2), 28.8 (CH2), 28.9 (CH2 x 2), 29.0 (CH2 x 2), 31.2 (CH2), 35.6 (CH), 102.7 (C), 106.5 (C), 115.8 (C), 124.2 (C, JC-F = 272.9 Hz), 124.9 (CH x 2, JC-F = 3.3 Hz), 126.5 (C, JC-F = 31.8 Hz), 128.3 (CH x 2), 135.9 (C), 140.8 (C), 144.9 (C), 151.3 (C), 155.9 (C); 178.6 (C), 181.6 (C); EIMS m/z (%) 529 ([M+], 100), 388 (47), 384 (86), 244 (22); HREIMS 529.2531 (calcd for C29H34N3O3F3 [M+] 529.2552).

3.38. 6-Hydroxy-3-Phenyl-4-(4-(Trifluoromethyl)Phenyl)-7-Undecyl-1H-Pyrazolo[3,4-b]Quinoline-5,8-Dione (15)

To 15 mg of compound 4g in 3 mL of DCM 9.6 mg of DDQ (1 equiv) was added at room temperature. The reaction mixture was stirred until the disappearance of the starting material, then it was washed with a solution of saturated NaHCO3 and extracted with DCM. The organic layers were dried over anhydrous MgSO4 and filtered. The solvent was removed under reduced pressure to yield 15.4 mg (82%) of compound 15 as an amorphous orange oil. 1H-NMR (500 MHz, CDCl3) δ 0.86 (t, J = 7.1 Hz, 3H, H-11′’’), 1.23 (bs, 16H, H-3′’’-H-10′’’), 1.39 (m, 2H, H-2′’’), 2.73 (t, J = 7.8 Hz, 2H, H-1′’’), 6.97 (s, J = 7.1 Hz, 2H), 7.05 (t, J = 7.8 Hz, 2H), 7.19 (m, 3H), 7.42 (d, J = 8.1 Hz, 2H), 7.52 (s, 1H); 13C-NMR (125 MHz, CDCl3) δ 14.1 (CH3), 22.7 (CH2), 23.6 (CH2), 28.1 (CH2), 29.3 (CH2), 29.4 (CH2), 29.6 (CH2 x 2), 29.7 (CH2), 29.8 (CH2), 31.9 (CH2), 115.4 (C), 117.0 (C), 123.7 (C, JC-F = 272.3 Hz), 124.6 (CH x 2, JC-F = 3.6 Hz), 125.5 (C), 127.7 (CH x 2), 128.1 (CH), 128.7 (CH x 2), 129.1 (CH x 2), 130.7 (C, JC-F = 32.6 Hz), 131.7 (C), 138.5 (C), 148.1 (C), 149.2 (C), 149.3 (C), 152.6 (C), 154.6 (C), 180.3 (C), 183.4 (C); EIMS m/z (%) 589 ([M+], 87), 561 (32), 461 (54), 449 (88); HREIMS 589.2537 (calcd for C34H34N3O3F3 [M+] 589.2552).

3.39. Cells

Cell lines were purchased from the American Type Culture Collection (ATCC). The cell lines were growth at 37 °C under 5% CO2 under humidified atmosphere. The human hematologic cell lines K562 (derived from patients during the blast crisis phase of chronic myelogenous leukemia), HEL (erythroleukemia), HL60 (acute myeloid leukemia), and the human breast cancer cells BT-549 (triple negative breast cancer) and MCF7 (ER+) were grown in RPMI-1640 medium. The triple-negative breast cancer cells MDA-MB-231 and HS-578T were grown in DMEM medium. The HER+ breast cancer cells SKBR3 were maintained in McCoy′s 5A medium. The primate non-malignant kidney Vero cells were grown in DMEM low glucose medium. Cell culture media were supplemented with 10% FBS, L-glutamine (2 mM) and PEST (50 units/mL penicillin, 50 μg/mL streptomycin).

3.40. Cell Viability Assay

The effects of compounds on cell viability were examined in hematological and breast cancer cells and in primate non-tumor kidney Vero cells seeded at exponential growth (5000–10,000 cells per well) in 96-well plates (BD Falcon, France). Cells were treated with vehicle (0.05% DMSO) or test compounds (0.01 to 10 µM) for 48 h. Then, mitochondrial metabolization of the MTT was used as indicator of cell viability [30]. Briefly, the tetrazolium salt 3-(4,5-methyltiazol-2yl-)-2,5diphenyl-tetrazolium bromide (MTT) (Applichen, Germany) was added to cells and incubated for 2–4 h at 37 °C, cells were lysed in 10% SDS and optical density was measured at 595 nm with the iMark Microplate Reader (BioRad).

3.41. ADME Property Predictions of Dihydro-1H-Pyrazolo[1,3-b] Pyridine Embelin Derivatives

The physicochemical parameters and ADME descriptors were predicted using QikProp program version 6.3 (Schrödinger, New York, NY, USA, 2020) [31] in fast mode and based on the method of Jorgensen [32,33]. Preparation of compounds and the 2D-to-3D conversion was performed using LigPrep tool, a module of the Small-Molecule Drug Discovery Suite in the Schrödinger software package, followed by MacroModel v12.3 (Schrödinger, LLC, New York, NY, USA, 2020). A conformational search was implemented using Molecular Mechanics, followed by the minimization of the energy of each conformer. The global minimum energy conformer of each compound was used as input for the ADME studies.

3.42. Protein Preparation and Docking

The X-ray coordinates of human protein kinase CK2 alpha subunit in complex with the inhibitor CX-4945 (PDB 3PE1). The PDB structures were prepared for docking using the Protein Preparation Workflow (Schrodinger, New York, NY, USA, 2018) accessible from within the Maestro program (Maestro, version 11.6; Schrodinger, New York, NY, USA, 2018). The substrate and water molecules were removed beyond 5 Å, bond corrections were applied to the co-crystallized ligands and an exhaustive sampling of the orientations of groups was performed. Finally, the receptors were optimized in Maestro 11.6 by using OPLS3 force field before docking study. In the final stage, the optimization and minimization on the ligand–protein complexes were carried out with the OPLS3 force field and the default value for rmsd of 0.30 Å for non-hydrogen atoms were used. The receptor grids were generated using the prepared proteins, with the docking grids centered on the center of the bound ligand for each receptor. A receptor grid was generated using a 1.00 van der Waals (vdW) radius scaling factor and 0.25 partial charge cutoff. The binding sites were enclosed in a grid box of 20 Å3 with default parameters and without constrains. The three-dimensional structures of the ligands to be docked were generated and prepared using LigPrep, as implemented in Maestro 11.6 (LigPrep, Schrodinger, New York, NY, USA, 2018), to generate the most probable ionization states at pH 7 ± 1 (retain original ionization state). These conformations were used as the initial input structures for the docking. In this stage a series of treatments are applied to the structures. Finally, the geometries are optimized using OPLS3 force field. These conformations were used as the initial input structures for the docking. The ligands were docked using the extra precision mode (XP) [34] without using any constraints and a 0.80 van der Waals (vdW) radius scaling factor and 0.15 partial charge cutoff. The dockings were carried out with flexibility of the residues of the pocket near to the ligand. The generated ligand poses were evaluated with empirical scoring function, GlideScore a modified version of ChemScore [35], GlideScore implemented in Glide, was used to estimate binding affinity and rank ligands [36]. The XP Pose Rank was used to select the best-docked pose for each ligand. The best correlation with the human protein kinase CK2 alpha subunit was achieved when the PDB 3PE1 was used.

4. Conclusions

A new family of dihydro-1H-pyrazolo[1,3-b]pyridine embelin derivatives were efficiently synthesized from a modular approach that includes Knoevenagel condensation/Michael addition/ intramolecular cyclization and dehydratation. The influence on the antiproliferative activity of structural variations was investigated. Thus, for the eight tumoral cell lines tested (HEL, K-562, HL-60, SKBR3, MCF-7, MDA-MB- 231, BT-549, and HS-578T) the presence of the free hydroxyl group at the benzoquinone nucleus, and the dihydropyridine ring were key. The best results were obtained for a C-11 long chain. Regarding the nature of the substituents at the dihydropyran ring, phenyl substituents with halogens, or -NO2 or -CF3 groups at position 4 yielded good IC50 values, while the modifications carried out in the pyrazol moiety revealed that 4-F-Ph, 3-F-Ph, 4-OCH3-Ph and 2-furyl resulted be the best substituents for the antiproliferative activity. Furthermore, the QikProp module of Schrödinger software was used as a computational method for analyzing the pharmacokinetic descriptors of the compounds with the best antiproliferative activities (4a, 4c, 4e, 4g, 14c, 14d, 14e and 14g). The findings from this study are paving the way for further investigations concerning to obtain more selective and active compounds.

Supplementary Materials

The following are available online at https://www.mdpi.com/article/10.3390/ph14101026/s1, 1HNMR and 13CNMR spectra of compounds 4a4w, 69 and 14a14h.

Author Contributions

B.G. and M.G.-R. contributed to the performance of the biological experimental work. P.M.-A. prepared, purified and characterized the embelin derivatives. Á.A. carried out the computational studies. A.E.-B. and L.F.-P. contributed to the conception, design, discussion of the results, drafting and financial support of the manuscript submitted. All authors have read and agreed to the published version of the manuscript.

Funding

This research was funded by the Ministerio de Ciencias, Innovación y Universidades (RTI2018-094356-B-C21) and the Agencia Canaria de Investigación, Innovación y Sociedad de la Información (Pro ID 2017010071, Pro ID 2021010037). These projects are also co-funded by the European Regional Development Fund (FEDER).

Institutional Review Board Statement

Not applicable.

Informed Consent Statement

Not applicable.

Data Availability Statement

Data is contained within the article or Supplementary Materials.

Acknowledgments

We thank to A. Tapia and G. Feresin for providing the natural embeline. P.M.-A. thanks to ACIISI for a pre-doctoral grant (FPI-Program). Á.A. thanks the Cabildo de Tenerife (Agustín de Betancourt Program).

Conflicts of Interest

The authors declare no conflict of interest.

References

  1. Pozharskii, A.F.; Soldartenko, A.T.; Katritzky, A. Heterocycles in Life and Society; Wiley: New York, NY, USA, 2011. [Google Scholar]
  2. Khokra, S.L.; Choudhary, D. Benzimidazole an Important Scaffold in Drug Discovery. Asian J. Biochem. Pharm. Res. 2011, 1, 476–486. [Google Scholar]
  3. Kombarov, R.; Altieri, A.; Genis, D.; Kirpichenok, M.; Kochubey, V.; Rakitina, N.; Titarenko, Z. BioCores: Identification of a drug/natural product-based privileged structural motif for small-molecule lead discovery. Mol. Divers. 2010, 14, 193–200. [Google Scholar] [CrossRef] [PubMed]
  4. Martins, M.A.P.; Frizzo, C.P.; Moreira, D.N.; Zanatta, N.; Bonacorso, H.G. Ionic Liquids in Heterocyclic Synthesis. Chem. Rev. 2008, 108, 2015–2050. [Google Scholar] [CrossRef]
  5. Rishton, G.M. Molecular diversity in the context of leadlikeness: Compound properties that enable effective biochemical screening. Curr. Opin. Chem. Biol. 2008, 12, 340–351. [Google Scholar] [CrossRef] [PubMed]
  6. Vitaku, E.; Smith, D.T.; Njardarson, J.T. Analysis of the structural diversity, substitution patterns, and frequency of nitrogen heterocycles among U.S. FDA approved pharmaceuticals. J. Med. Chem. 2014, 57, 10257–10274. [Google Scholar] [CrossRef]
  7. Eldehna, W.M.; El-Naggar, D.H.; Hamed, A.R.; Ibrahim, H.S.; Ghabbour, H.A.; Abdel-Aziz, H. A One-pot three-component synthesis of novel spirooxindoles with potential cytotoxic activity against triple-negative breast cancer MDA-MB-231 cells. J. Enzym. Inhib. Med. Chem. 2018, 33, 309–318. [Google Scholar] [CrossRef] [PubMed] [Green Version]
  8. Zhao, B.; Li, Y.; Xu, P.; Dai, Y.; Luo, C.; Sun, Y.; Ai, J.; Geng, M.; Duan, W. Discovery of Substituted 1H-Pyrazolo[3,4-b]pyridine Derivatives as Potent and Selective FGFR Kinase Inhibitors. Med. Chem. Lett. 2016, 7, 629–634. [Google Scholar] [CrossRef] [PubMed] [Green Version]
  9. Zha, M.; Liu, S.; Gao, M.; Wang, L.; Sun, J.; Du, J.; Guan, Q.; Bao, K.; Zuo, D.; Wu, Y.; et al. 3,5-Diaryl-1H-pyrazolo[3,4-b] pyridines as potent tubulin polymerization inhibitors: Rational design, synthesis and biological evaluation. Eur. J. Med. Chem. 2019, 168, 426–435. [Google Scholar] [CrossRef]
  10. Bhattacharjee, D.; Kshiar, B.; Myrboh, B. L-Proline as an efficient enantioinduction organo-catalyst in the solvent-free synthesis of pyrazolo [3,4-b] quinoline derivatives via one-pot multi-component reaction. RSC Adv. 2016, 6, 95944–95950. [Google Scholar] [CrossRef]
  11. Mishra, R.; Panday, A.K.; Choudhury, L.H.; Pal, J.; Subramanian, R.; Verma, A. Multicomponent Reactions of Arylglyoxal, 4-Hydroxycoumarin, and Cyclic 1,3-C,N-Binucleophiles: Binucleophile-Directed Synthesis of Fused Five- and Six-Membered N-Heterocycles. Eur. J. Org. Chem. 2017, 2017, 2789–2800. [Google Scholar] [CrossRef]
  12. Ezzati, M.; Khalafy, J.; Marjani, A.P.; Prager, R.H. The catalyst-free syntheses of pyrazolo[3,4-b]quinolin-5-one and pyrazolo[4′,3′:5,6]pyrido[2,3-d]pyrimidin-5,7-dione derivatives by one-pot, three-component reactions. Tetrahedron 2017, 73, 6587–6596. [Google Scholar] [CrossRef]
  13. Gao, X.; Yang, Z.; Hao, W.-J.; Jiang, B.; Tu, S.-J. Three-Component Synthesis of Spiro[indoline-3,4′-pyrazolo[3,4-b]pyridines] under Microwave Irradiation. J. Heterocycl. Chem. 2017, 54, 2434–2439. [Google Scholar] [CrossRef]
  14. Chebanov, V.A.; Saraev, V.E.; Desenko, S.M.; Chernenko, V.N.; Knyazeva, I.V.; Groth, U.; Glasnov, T.N.; Kappe, C.O. Tuning of Chemo- and Regioselectivities in Multicomponent Condensations of 5-Aminopyrazoles, Dimedone, and Aldehydes. J. Org. Chem. 2008, 73, 5110–5118. [Google Scholar] [CrossRef] [PubMed]
  15. Peña, R.; Jimenez-Alonso, S.; Feresin, G.; Tapia, A.; Mendez-Alvarez, S.; Machin, F.; Ravelo, A.G.; Estévez-Braun, A. Multicomponent Synthesis of Antibacterial Dihydropyridin and Dihydropyran Embelin Derivatives. J. Org. Chem. 2013, 78, 7977–7985. [Google Scholar] [CrossRef] [Green Version]
  16. Peña, R.; Martín, P.; Feresin, G.E.; Tapia, A.; Machín, F.; Estévez-Braun, A. Domino Synthesis of Embelin Derivatives with Antibacterial Activity. J. Nat. Prod. 2016, 79, 970–977. [Google Scholar] [CrossRef]
  17. Martín-Acosta, P.; Haider, S.; Amesty, A.; Aichele, D.; Jose, J.; Estévez-Braun, A. A new family of densely functionalized fused-benzoquinones as potent human protein kinase CK2 inhibitors. Eur. J. Med. Chem. 2018, 144, 410–423. [Google Scholar] [CrossRef]
  18. Oramas-Royo, S.; Haidar, S.; Amesty, A.; Martín-Acosta, P.; Feresin, G.; Tapia, A.; Aichele, D.; Jose, J.; Estévez-Braun, A. Design, synthesis and biological evaluation of new embelin derivatives as CK2 inhibitors. Bioorg. Chem. 2020, 95, 103520–103537. [Google Scholar] [CrossRef]
  19. Kappe, O.; Stadler, A. Microwaves in Organic and Medicinal Chemistry; Wiley-VCH: Hoboken, NJ, USA, 2005. [Google Scholar]
  20. Gillis, E.P.; Eastman, K.J.; Hill, M.D.; Donnelly, D.J.; Meanwell, N.A. Applications of Fluorine in Medicinal Chemistry. J. Med. Chem. 2015, 58, 8315–8359. [Google Scholar] [CrossRef]
  21. Magueur, G.; Crousse, B.; Charneau, S.; Grellier, P.; Bégué, J.-P.; Bonnet-Delpo, D. Fluoroartemisinin: Trifluoromethyl Analogues of Artemether and Artesunate. J. Med. Chem. 2004, 47, 2694–2699. [Google Scholar] [CrossRef]
  22. Filosa, R.; Peduto, A.; Aparoy, P.; Schaible, A.M.; Luderer, S.; Krauth, V.; Petronzi, C.; Massa, A.; Reddanna, P.; Werz, O. Discovery and biological evaluation of novel 1,4-benzoquinone and related resorcinol derivatives that inhibit 5-lipoxygenase. Eur. J. Med. Chem. 2013, 67, 269–279. [Google Scholar] [CrossRef]
  23. Zanaletti, R.; Bettinetti, L.; Castaldo, C.; Ceccarelli, I.; Cocconcelli, G.; Comery, T.A.; Dunlop, J.; Genesio, E.; Ghiron, C.; Haydar, S.N.; et al. N-[5-(5-fluoropyridin-3-yl)-1H-pyrazol-3-yl]-4-piperidin-1-ylbutyramide (SEN78702, WYE-308775): A medicinal chemistry effort toward an α7 nicotinic acetylcholine receptor agonist preclinical candidate. J. Med. Chem. 2012, 55, 10277–10281. [Google Scholar] [CrossRef]
  24. Shen, J.; Yang, D.; Liu, Y.; Qin, S.; Zhang, J.; Sun, J.; Liu, C.; Liu, C.; Zhao, X.; Chu, C.; et al. Copper-catalyzed aerobic oxidative coupling of aromatic alcohols and acetonitrile to β-ketonitriles. Org. Lett. 2014, 16, 350–353. [Google Scholar]
  25. Schrödinger. Schrödinger Release 2018-2: QikProp; Schrödinger LLC: New York, NY, USA, 2018. [Google Scholar]
  26. Lipinski, C.A.; Lombardo, F.; Dominy, B.W.; Feeney, P.J. Experimental and computational approaches to estimate solubility and permeability in drug discovery and development settings. Adv. Drug Deliv. Rev. 1997, 23, 3–25. [Google Scholar] [CrossRef]
  27. Veber, D.F.; Johnson, S.R.; Cheng, H.-Y.; Smith, B.R.; Ward, K.W.; Kopple, K.D. Molecular Properties That Influence the Oral Bioavailability of Drug Candidates. J. Med. Chem. 2002, 45, 2615–2623. [Google Scholar] [CrossRef] [PubMed]
  28. Perrin, D.D.; Amarego, W.L.F. Purification of Laboratory, Chemicals, 3rd ed.; Pergamon Press: Oxford, UK, 1988. [Google Scholar]
  29. Feresin, G.E.; Tapia, A.; Sortino, M.; Zacchino, S.; de Arias, A.R.; Inchausti, A.; Yaluff, J.; Rodriguez, G.; Theoduloz, C.; Schmeda-Hirschmann, G. Bioactive alkyl phenols and embelin from Oxalis erythrorhiza. J. Ethnopharmacol. 2003, 88, 241–247. [Google Scholar] [CrossRef]
  30. Mosmann, T. Rapid colorimetric assay for cellular growth and survival: Application to proliferation and cytotoxicity assays. J. Immunol. Methods 1983, 65, 55–63. [Google Scholar] [CrossRef]
  31. Schrödinger. Schrödinger Release 2020-1: QikProp; Schrödinger LLC: New York, NY, USA, 2020. [Google Scholar]
  32. Duy, E.M.; Jorgensen, W.L. Prediction of Properties from Simulations:  Free Energies of Solvation in Hexadecane, Octanol, and Water. J. Am. Chem. Soc. 2000, 122, 2878–2888. [Google Scholar]
  33. Jorgensen, W.L.; Duy, E.M. Prediction of drug solubility from structure. Adv. Drug Deliv. Rev. 2002, 54, 355–366. [Google Scholar] [CrossRef]
  34. Friesner, R.A.; Murphy, R.B.; Repasky, M.P.; Frye, L.L.; Greenwood, J.R.; Halgren, T.A.; Sanschagrin, P.C.; Mainz, D.T. Extra precision glide: Docking and scoring incorporating a model of hydrophobic enclosure for protein-ligand complexes. J. Med. Chem. 2006, 49, 6177–6196. [Google Scholar] [CrossRef] [Green Version]
  35. Eldridge, M.D.; Murray, C.W.; Auton, T.R.; Paolini, G.V.; Mee, R.P. Empirical scoring functions: I. The development of a fast empirical scoring function to estimate the binding affinity of ligands in receptor complexes. J. Comput. Aided Mol. Des. 1997, 11, 425. [Google Scholar] [CrossRef]
  36. Friesner, R.A.; Banks, J.L.; Murphy, R.B.; Halgren, T.A.; Klicic, J.J.; Mainz, D.T.; Repasky, M.P.; Knoll, E.H.; Shelley, M.; Perry, J.K.; et al. Glide: A new approach for rapid, accurate docking and scoring. 1. Method and assessment of docking accuracy. J. Med. Chem. 2004, 47, 1739–1749. [Google Scholar] [CrossRef] [PubMed]
Figure 1. Antitumoral compounds with a dihydro-1H-pyrazolo[1,3-b]pyridine or a pyrazolo[1,3-b]pyridine moiety.
Figure 1. Antitumoral compounds with a dihydro-1H-pyrazolo[1,3-b]pyridine or a pyrazolo[1,3-b]pyridine moiety.
Pharmaceuticals 14 01026 g001
Figure 2. Structure–activity relationships.
Figure 2. Structure–activity relationships.
Pharmaceuticals 14 01026 g002
Figure 3. 3D (Left) and 2D (Right) representation of the binding mode of 4g with CK2 (PDB 3PE1).
Figure 3. 3D (Left) and 2D (Right) representation of the binding mode of 4g with CK2 (PDB 3PE1).
Pharmaceuticals 14 01026 g003
Scheme 1. Plausible formation of dihydropyrazolopyridine embelin derivatives.
Scheme 1. Plausible formation of dihydropyrazolopyridine embelin derivatives.
Pharmaceuticals 14 01026 sch001
Scheme 2. Preparation of benzoquinone analogues of embelin (58).
Scheme 2. Preparation of benzoquinone analogues of embelin (58).
Pharmaceuticals 14 01026 sch002
Scheme 3. Synthesis of derivative 13 from 4g.
Scheme 3. Synthesis of derivative 13 from 4g.
Pharmaceuticals 14 01026 sch003
Scheme 4. Synthesis of substituted 3-phenyl-5-aminopyrazoles (3b3g) from aldehydes.
Scheme 4. Synthesis of substituted 3-phenyl-5-aminopyrazoles (3b3g) from aldehydes.
Pharmaceuticals 14 01026 sch004
Scheme 5. Synthesis of derivative 15 from 4g.
Scheme 5. Synthesis of derivative 15 from 4g.
Pharmaceuticals 14 01026 sch005
Table 1. Optimization of the synthesis of 4a.
Table 1. Optimization of the synthesis of 4a.
Pharmaceuticals 14 01026 i001
Entry1/2a/3aReaction ConditionsYield (%)
11.0/1.0/1.0EtOH, rt, 20 h33
21.0/1.0/1.0EtOH, reflux, 2 h75
31.0/1.0/1.0EtOH, MW, 130 °C, 5 min56
41.0/1.0/1.0EtOH, MW, 150 °C, 10 min69
51.0/1.5/1.5EtOH, MW, 150 °C, 15 min76
61.0/1.0/1.0DCE, MW, 150 °C, 10 min57
71.0/1.5/1.5DCE, MW, 150 °C, 10 min94
Table 2. Synthesis of dihydro-1H-pyrazolo[1,3-b]pyridine embelin derivatives (4a4w) a.
Table 2. Synthesis of dihydro-1H-pyrazolo[1,3-b]pyridine embelin derivatives (4a4w) a.
Pharmaceuticals 14 01026 i002
Pharmaceuticals 14 01026 i003 Pharmaceuticals 14 01026 i004 Pharmaceuticals 14 01026 i005 Pharmaceuticals 14 01026 i006
Pharmaceuticals 14 01026 i007 Pharmaceuticals 14 01026 i008 Pharmaceuticals 14 01026 i009 Pharmaceuticals 14 01026 i010
Pharmaceuticals 14 01026 i011 Pharmaceuticals 14 01026 i012 Pharmaceuticals 14 01026 i013 Pharmaceuticals 14 01026 i014
Pharmaceuticals 14 01026 i015 Pharmaceuticals 14 01026 i016 Pharmaceuticals 14 01026 i017 Pharmaceuticals 14 01026 i018
Pharmaceuticals 14 01026 i019 Pharmaceuticals 14 01026 i020 Pharmaceuticals 14 01026 i021 Pharmaceuticals 14 01026 i022
Pharmaceuticals 14 01026 i023 Pharmaceuticals 14 01026 i024 Pharmaceuticals 14 01026 i025
a Isolated yields.
Table 3. Cytotoxic activity of derivatives 4a4w in human tumor cell lines (leukemia and breast) and in primate non-tumor kidney Vero cells a.
Table 3. Cytotoxic activity of derivatives 4a4w in human tumor cell lines (leukemia and breast) and in primate non-tumor kidney Vero cells a.
Leukemia Breast Vero
CompoundsHL60HELK-562BT549MCF7SKBR3
4a0.70 ± 0.141.05 ± 0.351.25 ± 0.353.50 ± 1.273.25 ± 1.911.85 ± 0.212.03 ± 0.95
4b1.95 ± 0.492.55 ± 0.07ND6.95 ± 0.49>103.50 ± 0.281.88 ± 1.58
4c0.90 ± 0.142.10 ± 0.422.05 ± 0.643.30 ± 0.14>10>1020.71 ± 6.07
4d1.80 ± 0.142.10 ± 0.282.50 ± 0.143.40 ± 0.14>102.55 ± 0.78>25
4e1.00 ± 0.001.80 ± 0.283.30 ± 0.423.25 ± 0.92>102.20 ± 0.282.77 ± 0.94
4f>10>10>105.00 ± 0.14>10>10>25
4g1.75 ± 0.211.00 ± 0.422.55 ± 0.783.55 ± 0.64>10>10>25
4h>10>10>10>10>10>10>25
4i>10>10>10>10>10>10n.d.
4j>10>106.69 ± 1.65>10>10>10>25
4k>10>100.92 ± 0.324.80 ± 0.85>102.20 ± 0.57>25
4l>10>10>10>10>103.55 ± 0.78>25
4m2.85 ± 0.073.20 ± 0.005.50 ± 1.84>10>10>102.03 ± 1.23
4n3.15 ± 0.45.50 ± 0.99>10>10>10>101.97 ± 0.83
4o1.85 ± 0.212.60 ± 0.423.40 ± 0.147.50 ± 0.57>10>102.97 ± 0.23
4p>10>10>10>10>10>10>25
4q>10>10>10>10>10>10>25
4r>10>106.61 ± 1.32>10>105.55 ± 1.06>25
4s>105.40 ± 0.815.75 ± 2.33>10>106.00 ± 1.98>25
4t>101.30 ± 0.284.15 ± 0.64>10>10>10>25
4u6.50 ± 0.992.45 ± 0.073.60 ± 1.27>104.75 ± 1.20>1012.14 ± 7.16
4v>105.75 ± 0.4>10>10>10>1024.89 ± 0.16
4w>102.70 ± 0.423.30 ± 1.27>10>10>109.87 ± 2.74
a Expressed as IC50 values given in μM and determined as means ± SD (n = 3); n.d.: not determined.
Table 4. Preparation of derivatives 912.
Table 4. Preparation of derivatives 912.
Pharmaceuticals 14 01026 i026
EntryCompoundsR2Yields (%)
14a-(CH2)10CH389
29-(CH2)7CH343
310-(CH2)5CH351
411-(CH2)3CH367
512-CH2CH334
Table 5. Cytotoxic activity of derivatives 912 in human tumor cell lines (leukemia and breast) and in primate non-tumor kidney Vero cells a.
Table 5. Cytotoxic activity of derivatives 912 in human tumor cell lines (leukemia and breast) and in primate non-tumor kidney Vero cells a.
Leukemia Breast Vero
CompoundsHL60HELK562BT549MCF7SKBR3
4g1.75 ± 0.211.00 ± 0.422.55 ± 0.783.55 ± 0.64>10>10>25
93.99 ± 0.12>10>108.85 ± 0.49.10 ± 0.57>10>25
102.15 ± 0.362.13 ± 0.812.30 ± 0.289.60 ± 0.42>101.50 ± 1.2712.32 ± 0.11
112.70 ± 1.701.70 ± 0.144.87 ± 0.017.80 ± 1.13>103.25 ± 0.078.42 ± 1.34
12>10>10>10>10>10>10n.d.
a Expressed as IC50 values given in μM and determined as means ± SD (n = 3).
Table 6. Synthesis of dihydro-1H-pyrazolo[3,4-b]pyridine embelin derivatives (14a14h).
Table 6. Synthesis of dihydro-1H-pyrazolo[3,4-b]pyridine embelin derivatives (14a14h).
Pharmaceuticals 14 01026 i027
Pharmaceuticals 14 01026 i028 Pharmaceuticals 14 01026 i029 Pharmaceuticals 14 01026 i030
Pharmaceuticals 14 01026 i031 Pharmaceuticals 14 01026 i032 Pharmaceuticals 14 01026 i033
Pharmaceuticals 14 01026 i034 Pharmaceuticals 14 01026 i035 Pharmaceuticals 14 01026 i036
Table 7. Cytotoxic activity of derivatives 14a14h in human tumor cell lines (leukemia and breast) and in primate non-tumor kidney Vero cells a.
Table 7. Cytotoxic activity of derivatives 14a14h in human tumor cell lines (leukemia and breast) and in primate non-tumor kidney Vero cells a.
Pharmaceuticals 14 01026 i037
LeukemiaBreastVero
CompoundsHL60HELK-562BT549MCF7SKBR3
4g (R3 = Ph)1.75 ± 0.211.00 ± 0.422.55 ± 0.783.55 ± 0.64>10>10>25
14a (R3 = 4-Cl-Ph)4.20 ± 0.854.20 ± 1.273.65 ± 0.21ND1.52 ± 0.545.70 ± 0.9910.81 ± 1.26
14b (R3 = 4-Br-Ph)5.00 ± 0.145.45 ± 1.485.45 ± 0.789.55 ± 0.072.14 ± 0.087.25 ± 2.33>25
14c (R3 = 4-CF3-Ph)1.95 ± 0.072.75 ± 0.072.10 ± 0.574.60 ± 2.830.59 ± 0.002.30 ± 0.7110.29 ± 2.21
14d (R3 = 3-F-Ph)1.05 ± 0.642.15 ± 0.920.95 ± 0.4>100.96 ± 0.192.01 ± 1.1211.44 ± 1.25
14e
(R3 = 4-OMe-Ph)
1.10 ± 0.141.95 ± 0.072.95 ± 0.44.4 ± 1.340.85 ± 0.032.40 ± 0.28>25
14f
(R3 = 4-(Me2N)-Ph
4.00 ± 0.995.60 ± 2.12>10ND3.15 ± 2.158.00 ± 2.4024.66 ± 0.49
14g (R3 = 2-furyl)1.10 ± 0.042.25 ± 0.782.30 ± 0.576.90 ± 2.500.93 ± 0.742.30 ± 0.4213.69 ± 8.56
14h (R3 = CH3)3.90 ± 0.573.90 ± 0.284.4 ± 1.48>101.83 ± 0.625.25 ± 0.643.34 ± 0.54
a Expressed as IC50 values given in μM and determined as means ± SD (n = 3). ND: not determined.
Table 8. In silico ADME profile of selected dihydro-1H-pyrazolo[1,3-b]pyridine embelin derivatives and their range/recommended values a.
Table 8. In silico ADME profile of selected dihydro-1H-pyrazolo[1,3-b]pyridine embelin derivatives and their range/recommended values a.
Parameters4a4c4e4g14c14d14e14gRange
QPlogBB−3.032−1.911−1.950−1.749−0.969−1.588−1.984−1.754−3.0 to 1.2
QPPCaco38.55239.42239.44277.23597.75292.95221.64241.44<25 poor,
>500 great
QPPMDCK14.66260.05190.41535.732215.281014.70416.00463.99<25 poor,
>500 great
QPlogKhsa1.2381.4081.3351.5311.3621.5591.5331.334−1.5 to 1.5
QPlogPo/w5.3226.4616.2046.9516.8427.1536.9486.404−2.0 to 6.5
QPlogKp−4.111−2.634−2.600−2.568−2.141−2.680−2.869−2.833−8.0 to −1.0
QPlogS−7.845−8.786−8.412−9.387−7.715−9.562−9.62−8.677−6.5 to 0.5
#metab433333441 to 8
%HOA60.5781.4479.9485.4590.7887.0683.6981.17>80% high
<25% poor
PSA155.13112.89112.89112.92104.39109.72119.23118.757.0 to 200.0
SASA907.62915.18900.09938.12831.33936.73975.24907.29300.0 to 1000.0
Mol MW568.67558.12541.66591.67609.66609.66621.70581.63130.0 to 725.0
#rotor12111111111112110 to 15
donorHB333333330.0 to 6.0
accptHB7.256.256.256.256.256.257.06.752.0 to 20.0
volume1730.51712.01683.91758.71678.61768.121830.11717.0500.0 to 2000.0
#rtvFG000000000–2
a Recommended values: QPlogBB (predicted brain/blood partition coefficient), QPPCaco (predicted human epithelial colorectal adenocarcinoma cell line permeability in nm/s), QPPMDCK (predicted Madin–Darby canine kidney permeability in nm/s), QPlogKhsa (predicted binding to human serum albumin), QPlogPo/w (predicted octanol/water partition coefficient), QPlogKp (skin permeability), QPlogS (predicted aqueous solubility), #metab (number of likely metabolic reactions), % HOA (predicted human oral absorption on 0 to 100%), PSA (van der Waals surface area of polar nitrogen and oxygen atoms and carbonyl atoms), SASA (total solvent accessible surface area), MW (molecular weight), #rotor (number of non-trivial, non-hindered rotatable bonds), donorHB (number of hydrogen-bond donor), accptHB (number of hydrogen-bond acceptor), #rtvFG number of reactive functional groups.
Publisher’s Note: MDPI stays neutral with regard to jurisdictional claims in published maps and institutional affiliations.

Share and Cite

MDPI and ACS Style

Martín-Acosta, P.; Amesty, Á.; Guerra-Rodríguez, M.; Guerra, B.; Fernández-Pérez, L.; Estévez-Braun, A. Modular Synthesis and Antiproliferative Activity of New Dihydro-1H-pyrazolo[1,3-b]pyridine Embelin Derivatives. Pharmaceuticals 2021, 14, 1026. https://doi.org/10.3390/ph14101026

AMA Style

Martín-Acosta P, Amesty Á, Guerra-Rodríguez M, Guerra B, Fernández-Pérez L, Estévez-Braun A. Modular Synthesis and Antiproliferative Activity of New Dihydro-1H-pyrazolo[1,3-b]pyridine Embelin Derivatives. Pharmaceuticals. 2021; 14(10):1026. https://doi.org/10.3390/ph14101026

Chicago/Turabian Style

Martín-Acosta, Pedro, Ángel Amesty, Miguel Guerra-Rodríguez, Borja Guerra, Leandro Fernández-Pérez, and Ana Estévez-Braun. 2021. "Modular Synthesis and Antiproliferative Activity of New Dihydro-1H-pyrazolo[1,3-b]pyridine Embelin Derivatives" Pharmaceuticals 14, no. 10: 1026. https://doi.org/10.3390/ph14101026

APA Style

Martín-Acosta, P., Amesty, Á., Guerra-Rodríguez, M., Guerra, B., Fernández-Pérez, L., & Estévez-Braun, A. (2021). Modular Synthesis and Antiproliferative Activity of New Dihydro-1H-pyrazolo[1,3-b]pyridine Embelin Derivatives. Pharmaceuticals, 14(10), 1026. https://doi.org/10.3390/ph14101026

Note that from the first issue of 2016, this journal uses article numbers instead of page numbers. See further details here.

Article Metrics

Back to TopTop