Comparison of Ethanolic and Aqueous Populus balsamifera L. Bud Extracts by Different Extraction Methods: Chemical Composition, Antioxidant and Antibacterial Activities
Abstract
:1. Introduction
2. Results
2.1. Total Phenolic Compounds and Total Flavonoids
2.2. HPLC Analysis
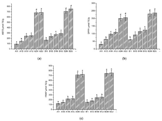
2.3. Antioxidant Activity
2.4. Antimicrobal Activity
2.5. Correlation
3. Discussion
4. Materials and Methods
4.1. Materials
4.2. Balsam Poplar Bud Extracts
4.3. Determination of Total Phenolic Compounds
4.4. Determination of Falvonoids
4.5. High Performance Liquid Chromatography (HPLC)
4.6. Antioxidant Activity by the ABTS, DPPH and FRAP Methods
4.7. Antimicrobal Activity
4.8. Statistical Analysis
5. Conclusions
Author Contributions
Funding
Institutional Review Board Statement
Informed Consent Statement
Data Availability Statement
Acknowledgments
Conflicts of Interest
References
- Maione, F.; Russo, R.; Khan, H.; Mascolo, N. Medicinal plants with anti-inflammatory activities. Nat. Prod. Res. 2016, 30, 1343–1352. [Google Scholar] [CrossRef] [PubMed]
- Capasso, R.; Izzo, A.A.; Pinto, L.; Bifulco, T.; Vitobello, C.; NMascolo, N. Phytotherapy and quality of herbal medicines. Fitoterapia 2000, 71, 58–65. [Google Scholar] [CrossRef]
- Tungmunnithum, D.; Thongboonyou, A.; Pholboon, A.; Yangsabai, A. Flavonoids and Other Phenolic Compounds from Medicinal Plants for Pharmaceutical and Medical Aspects: An Overview. Medicines 2018, 5, 93. [Google Scholar] [CrossRef]
- Okińczyc, P.; Widelski, J.; Szperlik, J.; Żuk, M.; Mroczek, T.; Skalicka-Woźniak, K.; Sakipova, Z.; Widelska, G.; Kuś, P.M. Impact of Plant Origin on Eurasian Propolis on Phenolic Profile and Classical Antioxidant Activity. Biomolecules 2021, 11, 68. [Google Scholar] [CrossRef] [PubMed]
- Tiveron, A.P.; Rosalen, P.L.; Franchin, M.; Lacerda, R.C.C.; Bueno-Silva, B.; Benso, B.; de Alencar, S.M. Chemical characterization and antioxidant, antimicrobial, and anti-inflammatory activities of South Brazilian organic propolis. PLoS ONE 2016, 11, e0165588. [Google Scholar] [CrossRef] [Green Version]
- Oryan, A.; Alemzadeh, E.; Moshiri, A. Potential role of propolis in wound healing: Biological properties and therapeutic activities. Biomed. Pharmacother. 2018, 98, 469–483. [Google Scholar] [CrossRef]
- Baltas, N.; Karaoglu, S.A.; Tarakci, C.; Kolayli, S. Effect of propolis in gastric disorders: Inhibition studies on the growth of Helicobacter pylori and production of its urease. J. Enzym. Inhib. Med. Chem. 2016, 31, 46–50. [Google Scholar] [CrossRef] [Green Version]
- Dezmirean, D.S.; Paşca, C.; Moise, A.R.; Bobiş, O. Plant Sources Responsible for the Chemical Composition and Main Bioactive Properties of Poplar-Type Propolis. Plants 2021, 10, 22. [Google Scholar] [CrossRef] [PubMed]
- Bankova, V.; Popova, M.; Bogdanov, S.; Sabatini, A.G. Chemical composition of European propolis: Expected and unexpected results. Z. Naturforschung C 2002, 57, 530–533. [Google Scholar] [CrossRef] [PubMed]
- Markham, K.R.; Mitchell, K.A.; Wilkins, A.L.; Daldy, J.A.; Lu, Y. HPLC and GC-MS identification of the major organic constituents in New Zeland propolis. Phytochemistry 1996, 42, 205–211. [Google Scholar] [CrossRef]
- Kis, B.; Avram, S.; Pavel, I.Z.; Lombrea, A.; Buda, V.; Dehelean, C.A.; Soica, C.; Yerer, M.B.; Bojin, F.; Folescu, R.; et al. Recent Advances Regarding the Phytochemical and Therapeutic Uses of Populus nigra L. Buds. Plants 2020, 9, 1464. [Google Scholar] [CrossRef]
- Bélanger, A.; Grenier, A.; Simard, F.; Gendreau, I.; Pichette, A.; Legault, J.; Pouliot, R. Dihydrochalcone Derivatives from Populus balsamifera L. Buds for the Treatment of Psoriasis. Int. J. Mol. Sci. 2020, 21, 256. [Google Scholar] [CrossRef] [PubMed] [Green Version]
- Dudonné, S.; Poupard, P.; Coutière, P.; Woillez, M.; Richard, T.; Mérillon, J.-M.; Vitrac, X. Phenolic Composition and Antioxidant Properties of Poplar Bud (Populus nigra) Extract: Individual Antioxidant Contribution of Phenolics and Transcriptional Effect on Skin Aging. J. Agric. Food Chem. 2011, 59, 4527–4536. [Google Scholar] [CrossRef] [PubMed]
- Pobłocka-Olech, L.; Inkielewicz-Stepniak, I.; Krauze-Baranowska, M. Anti-inflammatory and antioxidative effects of the buds from different species of Populus in human gingival fibroblast cells: Role of bioflavanones. Phytomedicine 2019, 56, 1–9. [Google Scholar] [CrossRef]
- Zhang, C.; Zheng, H.; Liu, G.; Hu, F. Development and validation of HPLC method for determination of salicin in poplar buds: Application for screening of counterfeit propolis. Food Chem. 2011, 127, 345–350. [Google Scholar] [CrossRef]
- Castaldo, S.; Capasso, F. Propolis, an old remedy used in modern medicine. Fitoterapia 2002, 73, 1–6. [Google Scholar] [CrossRef]
- Kuś, P.M.; Okińczyc, P.; Jakovljević, M.; Jokić, S.; Jerković, I. Development of supercritical CO2 extraction of bioactive phytochemicals from black poplar (Populus nigra L.) buds followed by GC–MS and UHPLC-DAD-QqTOF-MS. J. Pharm. Biomed. Anal. 2018, 158, 15–27. [Google Scholar] [CrossRef]
- Simard, F.; Legault, J.; Lavoie, S.; Pichette, A. Balsacones D-I, dihydrocinnamoyl flavans from Populus balsamifera buds. Phytochemistry 2014, 100, 141–149. [Google Scholar] [CrossRef]
- Stanciauskaite, M.; Marksa, M.; Liaudanskas, M.; Ivanauskas, L.; Ivaskiene, M.; Ramanauskiene, K. Extracts of Poplar Buds (Populus balsamifera L., Populus nigra L.) and Lithuanian Propolis: Comparison of Their Composition and Biological Activities. Plants 2021, 10, 828. [Google Scholar] [CrossRef]
- Ramanauskiene, K.; Savickas, A.; Inkeniene, A.; Vitkevicius, K.; Kasparaviciene, G.; Briedis, V.; Amsiejus, A. Analysis of content of phenolic acids in Lithuanian propolis using high-performance liquid chromatography technique. Medicina 2009, 45, 712–717. [Google Scholar] [CrossRef] [PubMed] [Green Version]
- Mello, B.C.B.S.; Petrus, J.C.C.; Hubinger, M.D. Concentration of flavonoids and phenolic compounds in aqueous and ethanolic propolis extracts through nanofiltration. J. Food Eng. 2010, 96, 533–539. [Google Scholar] [CrossRef]
- Vilas-Boas, A.A.; Campos, D.A.; Nunes, C.; Ribeiro, S.; Nunes, J.; Oliveira, A.; Pintado, M. Polyphenol Extraction by Different Techniques for Valorisation of Non-Compliant Portuguese Sweet Cherries towards a Novel Antioxidant Extract. Sustainability 2020, 12, 5556. [Google Scholar] [CrossRef]
- Kubiliene, L.; Laugaliene, V.; Pavilonis, A.; Maruska, A.; Majiene, D.; Barcauskaite, K.; Kubilius, R.; Kasparaviciene, G.; Savickas, A. Alternative preparation of propolis extracts: Comparison of their composition and biological activities. BMC Complement. Altern. Med. 2015, 15, 156. [Google Scholar] [CrossRef] [PubMed] [Green Version]
- Viernstein, H.; Weiss-Greiler, P.; Wolschann, P. Solubility enhancement of low soluble biologically active compounds—Temperature and cosolvent dependent inclusion complexation. Int. J. Pharm. 2003, 256, 85–94. [Google Scholar] [CrossRef]
- Chemat, F.; Vian, M.A.; Cravotto, G. Green Extraction of Natural Products: Concept and Principles. Int. J. Mol. Sci. 2012, 13, 8615–8627. [Google Scholar] [CrossRef] [PubMed] [Green Version]
- Martins, N.; Barros, L.; Santos-Buelga, C.; Silva, S.; Henriques, M.; Ferreira, I.C.F.R. Decoction, infusion and hydroalcoholic extract of cultivated thyme: Antioxidant and antibacterial activities, and phenolic characterisation. Food Chem. 2015, 167, 131–137. [Google Scholar] [CrossRef] [PubMed] [Green Version]
- European Pharmacopoeia 6.0. EDQM. 2007, The Stationery Office 41-3, 46–47, 53–54, 682–684 (01/2008:1435, 01/2008:0765, 01/2008:0765, 01/2008:20229, 01/2008:20225, 01/2008:20232).
- Zhang, Q.W.; Lin, L.G.; Ye, W.C. Techniques for extraction and isolation of natural products: A comprehensive review. Chin. Med. 2018, 13, 20. [Google Scholar] [CrossRef] [Green Version]
- Medina-Torres, N.; Ayora-Talavera, T.; Espinosa-Andrews, H.; Sánchez-Contreras, A.; Pacheco, N. Ultrasound Assisted Extraction for the Recovery of Phenolic Compounds from Vegetable Sources. Agronomy 2017, 7, 47. [Google Scholar] [CrossRef]
- Araujo, M.A.R.; Libério, S.A.; Guerra, R.N.M.; Ribeiro, M.N.S.; Nascimento, F.R.F. Mechanisms of action underlying the antiinflammatory and immunomodulatory effects of propolis: A brief review. Rev. Bras. Farm. 2012, 22, 208–219. [Google Scholar] [CrossRef] [Green Version]
- Cho, C.H.; Ghasemian, M.; Owlia, S.; Owlia, M.B. Medicinal plants and their secondary metabolites are progressively used in the treatment of diseases as a complementary medicine. Rev. Anti-Inflamm. Herb. Med. 2016, 2016, 9130979. [Google Scholar] [CrossRef] [Green Version]
- Vuolo, M.M.; Lima, V.S.; Maróstica Junior, M.R. Chapter 2—Phenolic Compounds: Structure, Classification, and Antioxidant Power. In Bioactive Compounds; Woodhead Publishing: Cambridge, UK, 2019; pp. 33–50. [Google Scholar] [CrossRef]
- Ahmed, S.I.; Hayat, M.Q.; Tahir, M.; Mansoor, Q.; Ismail, M.; Keck, K.; Bates, R.B. Pharmacologically active flavonoids from the anticancer, antioxidant and antimicrobial extracts of Cassia angustifolia Vahl. BMC Complement. Altern. Med. 2016, 16, 460. [Google Scholar] [CrossRef] [Green Version]
- Pereira, D.M.; Valentão, P.; Pereira, J.A.; Andrade, P.B. Phenolics: From chemistry to biology. Molecules 2009, 16, 2202–2211. [Google Scholar] [CrossRef]
- Khoddami, A.; Wilkes, M.A.; Roberts, T.H. Techniques for Analysis of Plant Phenolic Compounds. Molecules 2013, 18, 2328–2375. [Google Scholar] [CrossRef] [PubMed]
- Sejali, S.N.F.; Anuar, M.S. Effect of drying methods on phenolic contents of neem (Azadirachta indica) leaf powder. J. Herbs Spices Med. Plants 2011, 17, 119–131. [Google Scholar] [CrossRef]
- Ayumi, H.; Masatsune, M.; Seiichi, H. Analysis of free and bound phenolics in rice. Food Sci. Technol. Res. 1999, 5, 74–79. [Google Scholar] [CrossRef] [Green Version]
- Stalikas, D. Extraction, separation, and detection methods for phenolic acids and flavonoids. J. Sep. Sci. 2007, 30, 3268–3295. [Google Scholar] [CrossRef]
- Zhu, H.B.; Wang, Y.Z.; Liu, Y.X.; Xia, Y.L.; Tang, T. Analysis of flavonoids in Portulaca oleracea L. by UV-Vis spectrophotometry with comparative study on different extraction technologies. Food Anal. Meth. 2010, 3, 90–97. [Google Scholar] [CrossRef]
- Isaeva, E.V.; Lozhkina, G.A.; Ryazanova, T.V. A study of the alcohol extract from balsam poplar buds. Russ. J. Bioorg. Chem. 2010, 36, 929–933. [Google Scholar] [CrossRef]
- Antolovich, M.; Prenzler, P.; Robards, K.; Ryan, D. Sample preparation in the determination of phenolic compounds in fruits. Analyst 2000, 5, 989–1009. [Google Scholar] [CrossRef]
- Amiri Chayjan, R.; Kaveh, M.; Khayati, S. Modeling drying characteristics of hawthorn fruit under microwave-convective conditions. J. Food Process. Preserv. 2015, 39, 239–253. [Google Scholar] [CrossRef]
- Loh, Z.H.; Lim, Y.Y. Drying effects on antioxidant activity, enzyme activity, and phytochemicals of avocado (Persea americana) leaves. J. Food Process. Preserv. 2018, 42, 13667. [Google Scholar] [CrossRef]
- Pobłocka-Olech, L.; Migas, P.; Krauze-Baranowska, M. TLC determination of some flavanones in the buds of different genus Populus species and hybrids. Acta Pharm. 2018, 68, 199–210. [Google Scholar] [CrossRef] [Green Version]
- Adelmann, J.; Passos, M.; Breyer, D.H.; Dos Santos, M.H.R.; Lenz, C.; Leite, N.F.; Lancas, F.M.; Fontana, J.D. Exotic flora dependence of an unusual Brazilian propolis: The pinocembrin biomarker by capillary techniques. J. Pharm. Biomed. Anal. 2007, 43, 174–178. [Google Scholar] [CrossRef]
- Vardar-Ünlü, G.; Silici, S.; Ünlü, M. Composition and in vitro antimicrobial activity of Populus buds and poplar-type propolis. World J. Microbiol. Biotechnol. 2008, 24, 1011–1017. [Google Scholar] [CrossRef]
- Jug, M.; Končić, M.Z.; Kosalec, I. Modulation of antioxidant, chelating and antimicrobial activity of poplar chemo-type propolis by extraction procures. LWT 2014, 57, 530–537. [Google Scholar] [CrossRef]
- Galeotti, F.; Maccari, F.; Fachini, A.; Volpi, N. Chemical Composition and Antioxidant Activity of Propolis Prepared in Different Forms and in Different Solvents Useful for Finished Products. Foods 2018, 7, 41. [Google Scholar] [CrossRef] [PubMed] [Green Version]
- Jang, M.G.; Ko, H.C.; Kim, S.J. Effects of p-coumaric acid on microRNA expression profiles in SNU-16 human gastric cancer cells. Genes Genomics 2020, 42, 817–825. [Google Scholar] [CrossRef]
- Lu, K.P.; Sastre Kumar, J.S.; Pandey, A.K. Chemistry and Biological Activities of Flavonoids: An Overview. Sci. World J. 2013, 2013, 162750. [Google Scholar] [CrossRef] [Green Version]
- Soromou, L.W.; Chu, X.; Jiang, L.; Wei, M.; Huo, M.; Chen, N.; Guan, S.; Yang, X.; Chen, C.; Feng, H.; et al. In vitro and in vivo protection provided by pinocembrin against lipopolysaccharide-induced inflammatory responses. Int. Immunopharmacol. 2012, 14, 66–74. [Google Scholar] [CrossRef]
- Huang, H.; Qiu, J.; He, H.; Yi, D.; An, M.; Liu, H.; Hu, S.; Han, J.; Guo, Y.; Wei, N.; et al. Determination and Correlation of the Solubility of d(−)-Salicin in Pure and Binary Solvent Systems. J. Chem. Eng. Data 2020, 65, 4485–4497. [Google Scholar] [CrossRef]
- Dudonné, S.; Vitrac, X.; Coutière, P.; Woillez, M.; Mérillon, J.M. Comparative Study of Antioxidant Properties and Total Phenolic Content of 30 Plant Extracts of Industrial Interest Using DPPH, ABTS, FRAP, SOD, and ORAC Assays. J. Agric. Food Chem. 2009, 57, 1768–1774. [Google Scholar] [CrossRef] [PubMed]
- Ou, B.; Huang, D.; Hampsch-Woodill, M.; Flanagan, J.A.; Deemer, E.K. Analysis of antioxidant activities of common vegetables employing oxygen radical absorbance capacity (ORAC) and ferric reducing antioxidant power (FRAP) assays: A comparative study. J. Agric. Food Chem. 2002, 50, 3122–3128. [Google Scholar] [CrossRef] [PubMed]
- Birasuren, B.; Kim, N.Y.; Jeon, H.L.; Kim, M.R. Evaluation of the antioxidant capacity and phenolic content of Agriophyllum pungens seed extracts from Mongolia. Prev. Nutr. Food Sci. 2013, 18, 188–195. [Google Scholar] [CrossRef]
- Haenen, G.R.; Arts, M.J.; Bast, A.; Coleman, M.D. Structure and activity in assessing antioxidant activity in vitro and in vivo: A critical appraisal illustrated with the flavonoids. Environ. Toxicol. Pharmacol. 2006, 21, 191–198. [Google Scholar] [CrossRef]
- Silva, J.C.; Rodrigues, S.; Feás, X.; Estevinho, L.M. Antimicrobial activity, phenolic profile and role in the inflammation of propolis. Food Chem. Toxicol. 2012, 50, 1790–1795. [Google Scholar] [CrossRef] [PubMed]
- Nassima, B.; Nassima, B.; Riadh, K. Antimicrobial and antibiofilm activities of phenolic compounds extracted from Populus nigra and Populus alba buds (Algeria). Braz. J. Pharm. Sci. 2019, 55, e18114. [Google Scholar] [CrossRef]
- Singleton, V.L.; Orthofer, R.; Lamuela-Raventós, R.M. Analysis of total phenols and other oxidation substrates and antioxidants by means of folin-ciocalteu reagent. Methods Enzymol. 1999, 299, 152–178. [Google Scholar] [CrossRef]
- Woisky, R.G.; Salatino, A. Analysis of propolis: Some parameters and procedures for chemical quality control. J. Apic. Res. 1998, 37, 99–105. [Google Scholar] [CrossRef]
- Ramanauskiene, K.; Savickas, A.; Ivanauskas, L.; Kalveniene, Z.; Kasparaviciene, G.; Banionyte, I.; Martirosyan, D.M. Analysis of phenolic acids in propolis using the high-performance liquid chromatography technique. Curr. Nutr. Food Sci. 2008, 4, 209–212. [Google Scholar] [CrossRef]
- Yim, S.H.; Nam, S.H. Physiochemical, nutritional and functional characterization of 10 different pear cultivars (Pyrus spp.). J. Appl. Bot. Food Qual. 2016, 89, 73–81. [Google Scholar] [CrossRef]
- Benzie, I.F.F.; Strain, J.J. The ferric reducing ability of plasma (FRAP) as a measure of “antioxidant power”: The FRAP assay. Anal. Biochem. 1996, 239, 70–76. [Google Scholar] [CrossRef] [PubMed] [Green Version]
- Babickaite, L.; Ramanauskiene, K.; Grigonis, A.; Ivaskiene, M.; Daunoras, G.; Klimiene, I.; Matusevicius, A.P. Determination of antimicrobial activity of chlorhexidine gel. Acta Pol. Pharm. 2016, 73, 1623–1630. [Google Scholar] [PubMed]



| Plant Material | Solvent | Extraction Method | Sample Marking | Total Phenolic Compounds mg CAE/g FW | Total Flavonoids mg RE/g FW |
|---|---|---|---|---|---|
| A group of extracts prepared from fresh balsam poplar buds | Purified water | Infusion (I) | A1I | 25.56 ± 0.46 | 2.85 ± 0.35 |
| Decoction (D) | A1D | 43.05 ± 1.67 | 3.35 ± 0.18 | ||
| Maceration (M) | A1M | 77.91 ± 3.09 a,b | 7.55 ± 0.13 d | ||
| Ultrasound (U) | A1U | 84.49 ± 1.38 b | 8.59 ± 0.29 | ||
| 70% ethanol (v/v) | Maceration (M) | A2M | 162.61 ± 7.91 | 45.58 ± 2.54 e | |
| Ultrasound (U) | A2U | 184.11 ± 7.97 | 51.64 ± 2.63 | ||
| B group of extracts prepared from dried balsam poplar buds | Purified water | Infusion (I) | B1I | 48.19 ± 2.46 | 4.62 ± 0.2+40 |
| Decoction (D) | B1D | 72.54 ± 1.82 a | 7.01 ± 0.70 d | ||
| Maceration (M) | B1M | 97.38 ± 7.35 | 9.84 ± 0.71 f | ||
| Ultrasound (U) | B1U | 114.43 ± 3.36 | 9.92 ± 0.58 f | ||
| 70% ethanol (v/v) | Maceration (M) | B2M | 212.73 ± 8.11 c | 39.33 ± 2.05 | |
| Ultrasound (U) | B2U | 225.86 ± 13.17 c | 45.26 ± 2.29 e |
| Plant Material | A Group of Extracts Prepared from Fresh Balsam Poplar Buds µg/g (FW ± SD) | |||||
|---|---|---|---|---|---|---|
| Solvent | Purified Water | 70% Ethanol (v/v) | ||||
| Extraction Method | Infusion (I) | Decoction (D) | Maceration (M) | Ultrasound (U) | Maceration (M) | Ultrasound (U) |
| Sample Marking | A1I | A1D | A1M | A1U | A2M | A2U |
| Salicin | 868.4 ± 42.3 | 1190.7 ± 60.9 | 410.1 ± 9.1 | 727.6 ± 33.3 | 318.4 ± 13.6 | 243.2 ± 12.0 |
| Chlorogenic acid | - | - | - | 192.3 ± 6.9 | 102.2 ± 4.8 | 307.4 ± 13.8 |
| Vanilic acid | 2.4 ± 0.1 | 2.6 ± 0.1 | 47.3 ± 2.3 | 0.8 ± 0.01 | 7.62 ± 0.4 | - |
| Caffeic acid | 124.9 ± 5.7 | 190.4 ± 4.2 | 793.4 ± 45.8 | 593.7 ± 32.5 | 542.2 ± 23.3 | 392.3 ± 19.8 |
| P-coumaric acid | 496.9 ± 16.3 a | 907.8 ± 36.7 b | 621.3 ± 31.9 a,b | 2032.9 ± 81.6 | 2730.8 ± 171.4 | 5555.6 ± 215.9 |
| Cinnamic acid | 32.9 ± 1.6 a | 150.6 ± 5.8 b | 96.4 ± 4.2 a,b | 491.9 ± 22.5c | 423.2 ± 17.6 c | 2441.0 ± 156.1 |
| Pinobanksin | 34.9 ± 2.1 | 41.9 ± 2.4 | 41.0 ± 2.0 | 41.8 ± 1.6 | 1393.9 ± 77.8 | 1751.8 ± 120.7 |
| Pinocembrin | - | - | - | - | 1916.5 ± 108.8 | 1556.5 ± 46.4 |
| Galangin | - | - | - | - | 848.2 ± 55.4 | 1492.6 ± 24.7 |
| Total identified phenolic acids | 657.1 | 1251.4 | 1558.4 | 3311.6 | 3806 | 8696.3 |
| Total identified flavonoids | 34.9 | 41.9 | 41 | 41.8 | 4158.6 | 4800.9 |
| Total amount of identified active compounds | 1560.4 | 2484 | 2009.5 | 4081 | 8283 | 13,740.4 |
| Plant Material | B Group of Extracts Prepared from Dried Balsam Poplar Buds µg/g (DW ± SD) | |||||
| Solvent | Purified Water | 70% Ethanol (v/v) | ||||
| Extraction Method | Infusion (I) | Decoction (D) | Maceration (M) | Ultrasound (U) | Maceration (M) | Ultrasound (U) |
| Sample Marking | B1I | B1D | B1M | B1U | B2M | B2U |
| Salicin | 819.0 ± 30.2 a | 617.8 ± 24.5 | 455.0 ± 12.2 | 767.6 ± 36.5 a | 224.7 ± 13.4 b | 215.3 ± 12.1 b |
| Chlorogenic acid | 223.7 ± 11.9 | 346.1 ± 18.1 | 283.4 ± 17.1 | 280.1 ± 14.8 | 315.9 ± 17.9 | 310.3 ± 20.4 |
| Vanilic acid | 0.45 ± 0.03 | 0.61 ± 0.02 | 6.9 ± 0.4 | - | 0.6 ± 0.03 | - |
| Caffeic acid | 288.4 ± 16.4 | 481.9 ± 32.9 | 1159.5 ± 90.9 | 1179.9 ± 84.2 | 665.9 ± 35.6 | 735.1 ± 41.6 |
| P-coumaric acid | 4762.7 ± 299.8 a | 7869.8 ± 294.4 | 5974.9 ± 326.8 | 3896.6 ± 166.3 a | 10,165.0 ± 319.3 | 13,291.2 ± 224.6 |
| Cinnamic acid | 2536.5 ± 154.3 | 3720.1 ± 165.5 | 872.2 ± 46.9 | 1815.2 ± 101.4 | 8529.2 ± 155.7 | 11,788.5 ± 384.0 |
| Pinobanksin | 67.8 ± 3.8 | 110.9 ± 6.5 | 35.7 ± 1.8 | 16.7 ± 0.8 | 1328.1 ± 128.5 | 1775.5 ± 106.5 |
| Pinocembrin | - | - | 0.8 ± 0.06 | 2.4 ± 0.2 | 1014.6 ± 67.5 | 810.6 ± 36.5 |
| Galangin | - | - | - | 3.5 ± 0.2 | 745.7 ± 35.9 | 1431.4 ± 100.7 |
| Total identified phenolic acids | 7811.8 | 12,418.5 | 8296.9 | 7171.8 | 19,676.6 | 26,125.1 |
| Total identified flavonoids | 67.8 | 110.9 | 36.5 | 22.6 | 3088.4 | 4017.5 |
| Total amount of identified active compounds | 8698.6 | 13,147.2 | 8788.4 | 7962 | 22,989.7 | 30,357.9 |
| Bacterial Strain | S. aureus Ref. ATCC 25923 | S. aureus Wild | E. faecalis Ref. ATCC 29212 | E. faecalis Wild | E. coli Ref. ATCC 25922 | E. coli Wild | P. aeruginosa Ref. ATCC 27853 | P. aeruginosa Wild |
|---|---|---|---|---|---|---|---|---|
| Zone of inhibition | Ø mm | Ø mm | Ø mm | Ø mm | Ø mm | Ø mm | Ø mm | Ø mm |
| A1I | NI | NI | NI | NI | NI | NI | NI | NI |
| A1D | NI | NI | NI | NI | NI | NI | NI | NI |
| B1I | NI | NI | NI | NI | NI | NI | NI | NI |
| B1D | <5 | <5 | NI | NI | NI | NI | NI | NI |
| A1M | <5 | <5 | NI | NI | NI | NI | NI | NI |
| B1M | 5.3 ± 0.5 | <5 | <5 | <5 | NI | NI | NI | NI |
| A1U | <5 | <5 | NI | NI | NI | NI | NI | NI |
| B1U | 5.3 ± 0.5 | 5.3 ± 0.5 | <5 | <5 | NI | NI | NI | NI |
| A2M | 18.7 ± 0.6 a,b | 17.3 ± 1.0 a,c | 16.7 ± 1.0 b,c | 13.3 ± 0.5 | 8.3 ± 0.5 | NI | NI | NI |
| B2M | 26.7 ± 0.6 a | 25.3 ± 0.5 a | 19.3 ± 0.5 b | 17.3 ± 0.5 b | 11.3 ± 0.5 | NI | NI | NI |
| A2U | 17.3 ± 1.0 a,c | 15.7 ± 1.0 a,d | 14.3 ± 0.5 b,c,d | 12.7 ± 0.6 b | 7.7 ± 0.6 | NI | NI | NI |
| B2U | 27.6 ± 1.0 a | 25.7 ± 1.0 a | 20.0 ± 1.6 b | 18.3 ± 1.0 b | 11.7 ± 0.6 | NI | NI | NI |
| 70% Ethanol (v/v) | 6.3 ± 1.0 | 6.0 ± 0.0 | 5.6 ± 0.5 | 5.3 ± 0.5 | <5 | NI | NI | NI |
| Positive control 0.5% chlorhexidine | 22.3 ± 1.0 | 20.8 ± 0.6 | 24.3 ± 0.5 | 17.6 ± 0.5 | 22.3 ± 0.5 | 18.7 ± 0.6 | 20.3 ± 0.5 | 19.6 ± 0.5 |
| Correlations | ||||||
|---|---|---|---|---|---|---|
| Total Phenolic Compounds | ABTS | DPPH | FRAP | P-Coumaric Acid | Pinobanksin | |
| Total Phenolic Compounds | -- | |||||
| ABTS | 0.974 ** | -- | ||||
| DPPH | 0.986 ** | 0.996 ** | -- | |||
| FRAP | 0.955 ** | 0.994 ** | 0.985 ** | -- | ||
| P-Coumaric Acid | 0.728 ** | 0.650 * | 0.676 * | 0.599 * | -- | |
| Pinobanksin | 0.907 ** | 0.966 ** | 0.947 ** | 0.975 ** | 0.602 * | -- |
Publisher’s Note: MDPI stays neutral with regard to jurisdictional claims in published maps and institutional affiliations. |
© 2021 by the authors. Licensee MDPI, Basel, Switzerland. This article is an open access article distributed under the terms and conditions of the Creative Commons Attribution (CC BY) license (https://creativecommons.org/licenses/by/4.0/).
Share and Cite
Stanciauskaite, M.; Marksa, M.; Babickaite, L.; Majiene, D.; Ramanauskiene, K. Comparison of Ethanolic and Aqueous Populus balsamifera L. Bud Extracts by Different Extraction Methods: Chemical Composition, Antioxidant and Antibacterial Activities. Pharmaceuticals 2021, 14, 1018. https://doi.org/10.3390/ph14101018
Stanciauskaite M, Marksa M, Babickaite L, Majiene D, Ramanauskiene K. Comparison of Ethanolic and Aqueous Populus balsamifera L. Bud Extracts by Different Extraction Methods: Chemical Composition, Antioxidant and Antibacterial Activities. Pharmaceuticals. 2021; 14(10):1018. https://doi.org/10.3390/ph14101018
Chicago/Turabian StyleStanciauskaite, Monika, Mindaugas Marksa, Lina Babickaite, Daiva Majiene, and Kristina Ramanauskiene. 2021. "Comparison of Ethanolic and Aqueous Populus balsamifera L. Bud Extracts by Different Extraction Methods: Chemical Composition, Antioxidant and Antibacterial Activities" Pharmaceuticals 14, no. 10: 1018. https://doi.org/10.3390/ph14101018
APA StyleStanciauskaite, M., Marksa, M., Babickaite, L., Majiene, D., & Ramanauskiene, K. (2021). Comparison of Ethanolic and Aqueous Populus balsamifera L. Bud Extracts by Different Extraction Methods: Chemical Composition, Antioxidant and Antibacterial Activities. Pharmaceuticals, 14(10), 1018. https://doi.org/10.3390/ph14101018
