Evaluation of Tissue and Circulating miR-21 as Potential Biomarker of Response to Chemoradiotherapy in Rectal Cancer
Abstract
1. Introduction
2. Results
2.1. Patient Clinical Parameters
2.2. miR-21 Expression in Responders and Non-Responders
2.3. Clinical Parameters and TRG
2.4. miR-21 Expression and TRG
2.5. Clinical Parameters and miR-21 Expression in Pre-CRT Tumor Tissue and Plasma
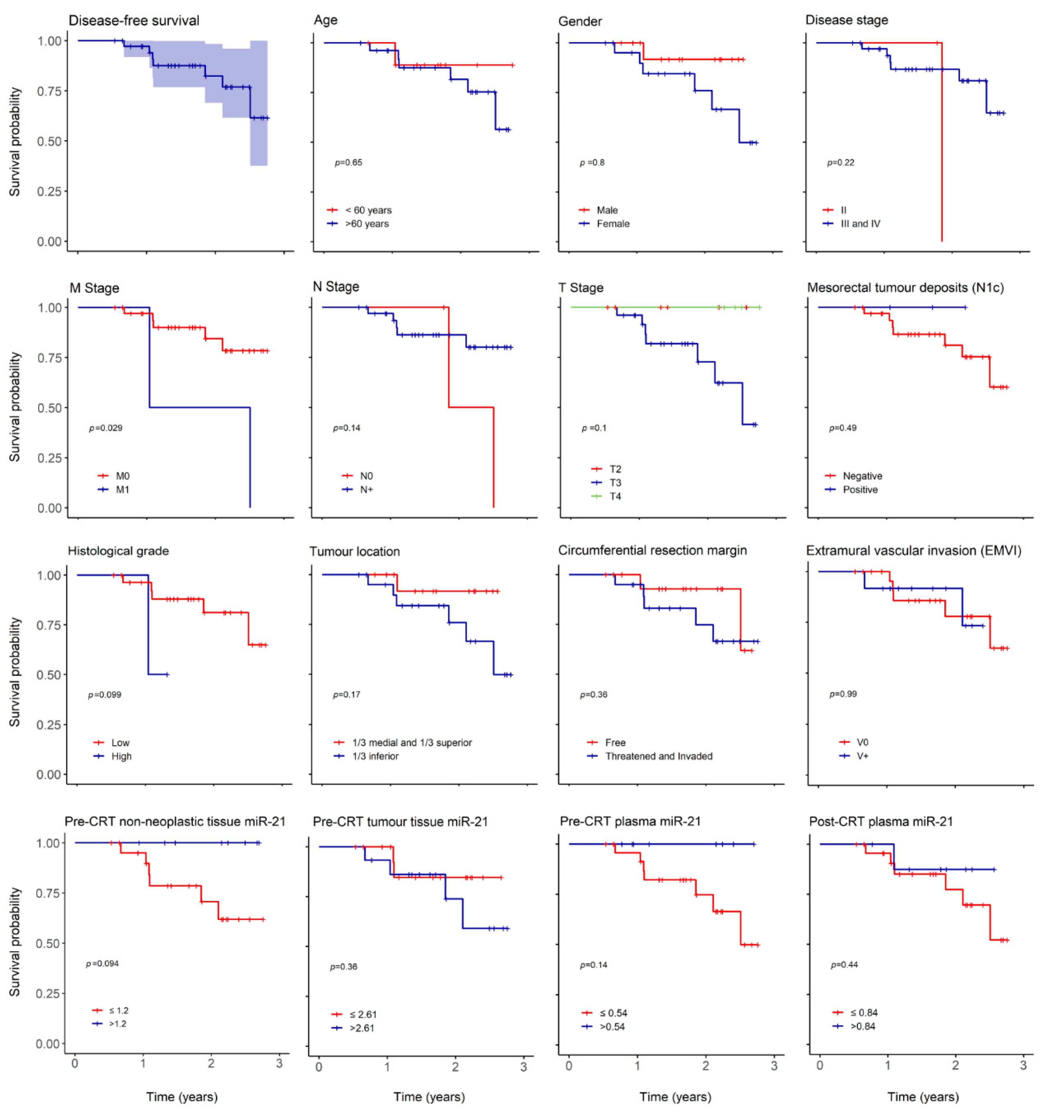
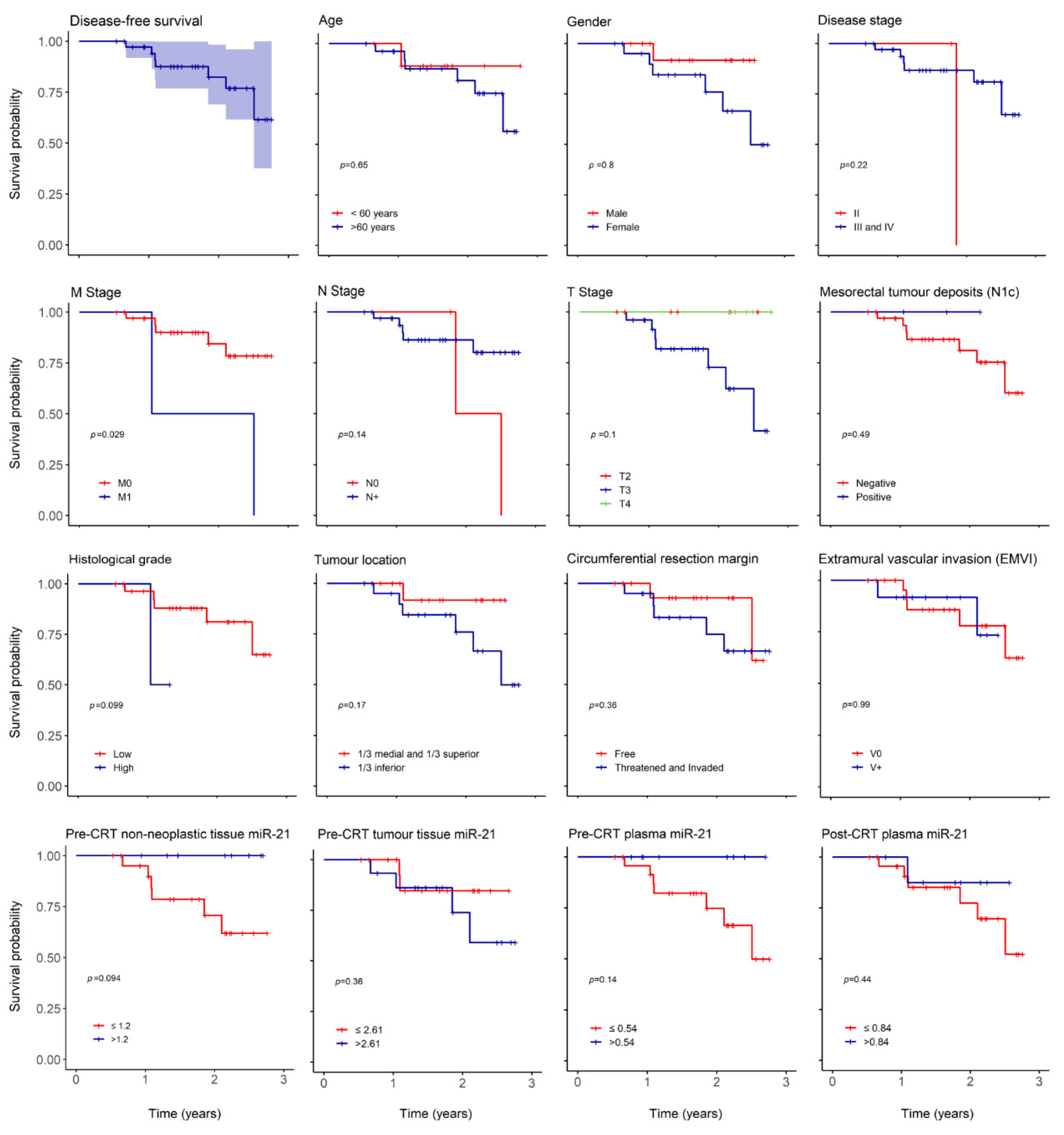
2.6. miR-21 Expression and Oncological Outcomes
3. Discussion
4. Materials and Methods
4.1. Patients and Tissue Samples
4.2. Neoadjuvant Treatment
4.3. Assessment of Pathological Response
4.4. Follow up
4.5. RNA Isolation from Fresh Frozen Tissues and Serum
4.6. cDNA Synthesis and Real-Time PCR (RT-PCR)
4.7. Statistical Analysis
5. Conclusions
Supplementary Materials
Author Contributions
Funding
Conflicts of Interest
References
- Siegel, R.L.; Miller, K.D.; Jemal, A. Cancer Statistics, 2019. CA Cancer J. Clin. 2019, 69, 7–34. [Google Scholar] [CrossRef] [PubMed]
- Glynne-Jones, R.; Wyrwicz, L.; Tiret, E.; Brown, G.; Rödel, C.; Cervantes, A.; Arnold, D. Rectal cancer: ESMO clinical practice guidelines for diagnosis, treatment and follow-up. Ann. Oncol. 2017, 28 (Suppl. 4), iv22–iv40. [Google Scholar] [CrossRef]
- Dossa, F.; Chesney, T.R.; Acuna, S.A.; Baxter, N.N. A Watch-and-wait approach for locally advanced rectal cancer after a clinical complete response following neoadjuvant chemoradiation: A systematic review and meta-analysis. Lancet Gastroenterol. Hepatol. 2017, 2, 501–513. [Google Scholar] [CrossRef]
- To, K.K.W.; Tong, C.W.S.; Mingxia, W.; Cho, W.C.S. MicroRNAs in the prognosis and therapy of colorectal cancer: From bench to bedside. World J. Gastroenterol. 2018, 24, 2949–2973. [Google Scholar] [CrossRef]
- Yu, W.; Wang, Z.; Shen, L.; Qichun, W. Circulating microRNA-21 as a potential diagnostic marker for colorectal cancer: A meta-analysis. Mol. Clin. Oncol. 2016, 4, 237–244. [Google Scholar] [CrossRef] [PubMed]
- Menéndez, P.; Padilla, D.; Villarejo, P.; Palomino, T.; Nieto, P.; Menéndez, J.M.; Rodríguez-Montes, J.A. Prognostic implications of serum microrna-21 in colorectal cancer. J. Surg. Oncol. 2013, 108, 369–373. [Google Scholar] [CrossRef]
- Shibuya, H.; Iinuma, H.; Shimada, R.; Horiuchi, A.; Watanabe, T. Clinicopathological and prognostic value of microRNA-21 and microRNA-155 in colorectal cancer. Oncology 2011, 79, 313–320. [Google Scholar] [CrossRef] [PubMed]
- Eslamizadeh, S.; Heidari, M.; Agah, S.; Faghihloo, E.; Ghazi, H.; Mirzaei, A.; Akbari, A. The role of microRNA signature as diagnostic biomarkers in different clinical stages of colorectal cancer. Cell J. 2018, 20, 220–230. [Google Scholar] [CrossRef]
- Kanaan, Z.; Rai, S.N.; Eichenberger, M.R.; Roberts, H.; Keskey, B.; Pan, J.; Galandiuk, S. Plasma miR-21: A potential diagnostic marker of colorectal cancer. Ann. Surg. 2012, 13, 544–551. [Google Scholar] [CrossRef]
- Kulda, V.; Pesta, M.; Topolcan, O.; Liska, V.; Treska, V.; Sutnar, A.; Rupert, K.; Ludvikova, M.; Babuska, V.; Holubec, L.; et al. Relevance of miR-21 and miR-143 expression in tissue samples of colorectal carcinoma and its liver metastases. Cancer Genet. Cytogenet. 2010, 200, 154–160. [Google Scholar] [CrossRef]
- Nielsen, B.S.; Jørgensen, S.; Fog, J.U.; Søkilde, R.; Christensen, I.J.; Hansen, U.; Brünner, N.; Baker, A.; Møller, S.; Nielsen, H.J. High levels of microRNA-21 in the stroma of colorectal cancers predict short disease-free survival in stage ii colon cancer patients. Clin. Exp. Metastasis 2011, 28, 27–38. [Google Scholar] [CrossRef]
- Nugent, M.; Miller, N.; Kerin, M.J. MicroRNAs in colorectal cancer: Function, dysregulation and potential as novel biomarkers. Eur. J. Surg. Oncol. 2011, 37, 649–654. [Google Scholar] [CrossRef] [PubMed]
- de Carvalho, T.I.; Novais, P.C.; Lizarte Neto, F.S.; Sicchieri, R.D.; Rosa, M.S.T.; De Carvalho, C.A.M.; Tirapelli, D.P.d.C.; Peria, F.M.; Da Rocha, J.J.R.; Féres, O. Analysis of gene expression egfr and kras, microRNA-21 and microRNA-203 in patients with colon and rectal cancer and correlation with clinical outcome and prognostic factors. Acta Cir. Bras. 2017, 32, 243–250. [Google Scholar] [CrossRef]
- Jin, X.H.; Lu, S.; Wang, A.F. Expression and clinical significance of miR-4516 and miR-21-5p in serum of patients with colorectal cancer. BMC Cancer 2020, 20, 241. [Google Scholar] [CrossRef] [PubMed]
- White, N.M.A.; Fatoohi, E.; Metias, M.; Jung, K.; Stephan, C.; Yousef, G.M. Metastamirs: A stepping stone towards improved cancer management. Nat. Rev. Clin. Oncol. 2011, 8, 75–84. [Google Scholar] [CrossRef]
- Eriksen, A.H.M.; Sørensen, F.B.; Andersen, R.F.; Jakobsen, A.; Hansen, T.F. Association between the expression of microRNAs and the response of patients with locally advanced rectal cancer to preoperative chemoradiotherapy. Oncol. Lett. 2017, 14, 201–209. [Google Scholar] [CrossRef][Green Version]
- Caramés, C.; Cristóbal, I.; Moreno, V.; del Puerto, L.; Moreno, I.; Rodriguez, M.; Marín, J.P.; Correa, A.V.; Hernández, R.; Zenzola, V.; et al. MicroRNA-21 predicts response to preoperative chemoradiotherapy in locally advanced rectal cancer. Int. J. Colorectal Dis. 2015, 30, 899–906. [Google Scholar] [CrossRef]
- Campayo, M.; Navarro, A.; Benítez, J.C.; Santasusagna, S.; Ferrer, C.; Monzó, M.; Cirera, L. MiR-21, miR-99b and miR-375 combination as predictive response signature for preoperative chemoradiotherapy in rectal cancer. PLoS ONE 2018, 13, e0206542. [Google Scholar] [CrossRef]
- Mourato, C.; Ourô, S.; Cardador, A.; Castro, R.E.; Albergaria, D.; Maio, R.; Rodrigues, C.M.P. miRNAs as molecular predictors of response to chemoradiotherapy in rectal cancer. UEG J. 2019, 7, 383A. [Google Scholar]
- Zen, K.; Zhang, C.-Y. Circulating microRNAs: A novel class of biomarkers to diagnose and monitor human cancers. Med. Res. Rev. 2012, 32, 326–348. [Google Scholar] [CrossRef] [PubMed]
- Lawrie, C.H.; Gal, S.; Dunlop, H.M.; Pushkaran, B.; Liggins, A.P.; Pulford, K.; Banham, A.H.; Pezzella, F.; Boultwood, J.; Wainscoat, J.S.; et al. Detection of elevated levels of tumour-associated micrornas in serum of patients with diffuse large b-cell lymphoma. Br. J. Haematol. 2008, 141, 672–675. [Google Scholar] [CrossRef]
- Reid, G.; Kirschner, M.B.; van Zandwijk, N. Circulating microRNAs: Association with disease and potential use as biomarkers. Crit. Rev. Oncol./Hematol. 2011, 80, 193–208. [Google Scholar] [CrossRef]
- Mitchell, P.S.; Parkin, R.K.; Kroh, E.M.; Fritz, B.R.; Wyman, S.K.; Pogosova-Agadjanyan, E.L.; Peterson, A.; Noteboom, J.; O’Briant, K.C.; Allen, A.; et al. Circulating microRNAs as stable blood-based markers for cancer detection. Proc. Natl. Acad. Sci. USA 2008, 105, 10513–10518. [Google Scholar] [CrossRef] [PubMed]
- Huang, Z.; Huang, D.; Ni, S.; Peng, Z.; Sheng, W.; Du, X. Plasma microRNAs are promising novel biomarkers for early detection of colorectal cancer. Int. J. Cancer 2010, 127, 118–126. [Google Scholar] [CrossRef]
- Ng, E.K.O.; Chong, W.W.S.; Jin, H.; Lam, E.K.Y.; Shin, V.Y.; Yu, J.; Poon, T.C.W.; Ng, S.S.M.; Sung, J.J.Y. Differential expression of micrornas in plasma of patients with colorectal cancer: A potential marker for colorectal cancer screening. Gut 2009, 58, 1375–1381. [Google Scholar] [CrossRef]
- Pu, X.X.; Huang, G.L.; Guo, H.Q.; Guo, C.C.; Li, H.; Ye, S.; Ling, S.; Jiang, L.; Tian, Y.; Lin, T.Y. Circulating miR-221 directly amplified from plasma is a potential diagnostic and prognostic marker of colorectal cancer and is correlated with p53 expression. J. Gastroenterol. Hepatol. 2010, 25, 1674–1680. [Google Scholar] [CrossRef] [PubMed]
- Bastaminejad, S.; Taherikalani, M.; Ghanbari, R.; Akbari, A.; Shabab, N.; Saidijam, M. Investigation of microRNA-21 expression levels in serum and stool as a potential non-invasive biomarker for diagnosis of colorectal cancer. Iran. Biomed. J. 2017, 21, 106–113. [Google Scholar] [CrossRef]
- Peng, Q.; Zhang, X.; Min, M.; Zou, L.; Shen, P.; Zhu, Y. The clinical role of microRNA-21 as a promising biomarker in the diagnosis and prognosis of colorectal cancer: A systematic review and meta-analysis. Oncotarget 2017, 8, 44893–44909. [Google Scholar] [CrossRef]
- Gmerek, L.; Martyniak, K.; Horbacka, K.; Krokowicz, P.; Scierski, W.; Golusinski, P.; Golusinski, W.; Schneider, A.; Masternak, M.M. MicroRNA regulation in colorectal cancer tissue and serum. PLoS ONE 2019, 14, e0222013. [Google Scholar] [CrossRef]
- Zhu, M.; Huang, Z.; Zhu, D.; Zhou, X.; Shan, X.; Qi, L.W.; Wu, L.; Cheng, W.; Zhu, J.; Zhang, L.; et al. A panel of microRNA signature in serum for colorectal cancer diagnosis. Oncotarget 2017, 8, 17081–17091. [Google Scholar] [CrossRef]
- Liu, H.N.; Liu, T.T.; Wu, H.; Chen, Y.J.; Tseng, Y.J.; Yao, C.; Weng, S.Q.; Dong, L.; Shen, X.Z. Serum microRNA signatures and metabolomics have high diagnostic value in colorectal cancer using two novel methods. Cancer Sci. 2018, 109, 1185–1194. [Google Scholar] [CrossRef]
- Liu, Q.; Yang, W.; Luo, Y.; Hu, S.; Zhu, L. Correlation between miR-21 and miR-145 and the incidence and prognosis of colorectal cancer. JBUON 2018, 23, 29–35. [Google Scholar]
- Liu, G.H.; Zhou, Z.G.; Chen, R.; Wang, M.J.; Zhou, B.; Li, Y.; Sun, X.F. Serum miR-21 and miR-92a as biomarkers in the diagnosis and prognosis of colorectal cancer. Tumor Biol. 2013, 34, 2175–2181. [Google Scholar] [CrossRef] [PubMed]
- Shan, L.; Ji, Q.; Cheng, G.; Xia, J.; Liu, D.; Wu, C.; Zhu, B.; Ding, Y. Diagnostic value of circulating miR-21 for colorectal cancer: A meta-analysis. Cancer Biomark. 2015, 15, 47–56. [Google Scholar] [CrossRef]
- Wang, B.; Zhang, Q. The expression and clinical significance of circulating microRNA-21 in serum of five solid tumors. J. Cancer Res. Clin. Oncol. 2012, 138, 1659–1666. [Google Scholar] [CrossRef]
- Ogata-Kawata, H.; Izumiya, M.; Kurioka, D.; Honma, Y.; Yamada, Y.; Furuta, K.; Gunji, T.; Ohta, H.; Okamoto, H.; Sonoda, H.; et al. Circulating exosomal microRNAs as biomarkers of colon cancer. PLoS ONE 2014, 9, e92921. [Google Scholar] [CrossRef]
- Toiyama, Y.; Takahashi, M.; Hur, K.; Nagasaka, T.; Tanaka, K.; Inoue, Y.; Kusunoki, M.; Boland, C.R.; Goel, A. Serum miR-21 as a diagnostic and prognostic biomarker in colorectal cancer. J. Natl. Cancer Inst. 2013, 105, 849–859. [Google Scholar] [CrossRef] [PubMed]
- Zhang, J.; Raju, G.S.; Chang, D.W.; Lin, S.H.; Chen, Z.; Wu, X. Global and Targeted Circulating microRNA profiling of colorectal adenoma and colorectal cancer. Cancer 2018, 124, 785–796. [Google Scholar] [CrossRef]
- Orosz, E.; Kiss, I.; Gyöngyi, Z.; Varjas, T. Expression of circulating miR-155, miR-21, miR-221, miR-30a, miR-34a and miR-29a: Comparison of colonic and rectal cancer. In Vivo (Brooklyn) 2018, 32, 1333–1337. [Google Scholar] [CrossRef]
- Jin, G.; Liu, Y.; Zhang, J.; Bian, Z.; Yao, S.; Fei, B.; Zhou, L.; Yin, Y.; Huang, Z. A panel of serum exosomal microRNAs as predictive markers for chemoresistance in advanced colorectal cancer. Cancer Chemother. Pharmacol. 2019, 84, 315–325. [Google Scholar] [CrossRef]


| Clinical Parameters | Patients (n = 37) | |
|---|---|---|
| Gender, n (%) | Male | 25 (68) |
| Female | 12 (32) | |
| Age, median | 62 (42–88) | |
| BMI, median | 25 (20–35) | |
| ASA score, n (%) | Not discriminated | 3 (8) |
| I | 0 (0) | |
| II | 22 (60) | |
| III | 12 (32) | |
| IV | 0 (0) | |
| Tumor grade | G1/G2 | 29 (78) |
| G3/G4 Not discriminated/determinable | 2 (6) 6 (16) | |
| Tumor location (%) | 1/3 superior | 1 (3) |
| 1/3 medium | 14 (38) | |
| 1/3 inferior | 22 (59) | |
| Tumor extension (mm), median | 55 (19–90) | |
| Distance to anal verge (mm), median | 50 (0–100) | |
| cT | 1 | 0 (0) |
| 2 | 7 (19) | |
| 3 | 25 (68) | |
| 4 | 5 (13) | |
| cN | 0 | 3 (8) |
| + | 34 (92) | |
| cM | 0 | 35 (95) |
| 1 | 2 (5) | |
| CRM, n (%) | Free | 17 (46) |
| Threatened Invaded | 4 (11) 16 (43) | |
| EMVI, n (%) | Negative | 25 (68) |
| Present | 12 (32) | |
| c Stage, n (%) | I | 0 (0) |
| II | 2 (5) | |
| III | 33 (90) | |
| IV | 2 (5) | |
| CEA (mg/mL), median | 1.7 (0.5–96) | |
| CRT | 5-FU based | 4 (11) |
| Capecitabine based | 33 (90) | |
| TRG (CAP), n (%) | 0 | 9 (24) |
| 1 | 7 (19) | |
| 2 | 5 (14) | |
| 3 | 16 (43) |
| Simple Logistic Regression | OR | 95% CI | p Value | |
|---|---|---|---|---|
| Continuous Variables | ||||
| BMI | 1.029 | 0.2649–3.993 | 0.968 | |
| Age | 0.392 | 0.0887–1.735 | 0.217 | |
| Categorical Variables | ||||
| Gender | Female | 0.542 | 0.1291–2.272 | 0.406 |
| Male | ||||
| Tumor Location | Superior 1/3 | |||
| Medium 1/3 | ||||
| Inferior 1/3 | 0.791 | 0.2107–2.972 | 0.732 | |
| ASA | 1 + 2 | |||
| 3 | 0.800 | 0.2114–3.028 | 0.746 | |
| CRM MR | Free | |||
| Threatened, invaded | 1.169 | 0.3162–4.320 | 0.817 | |
| Extramesorectal nodes | Negative | |||
| Positive | 0.542 | 0.1291–2.272 | 0.406 | |
| cT | T1-2 | |||
| T3-4 | 6.000 | 0.6421–56.062 | 0.090 | |
| cN | 0 | |||
| + | 0.350 | 0.0289–4.246 | 0.399 | |
| cM | 0 | |||
| 1 | 1.333 | 0.0770–23.085 | 0.845 | |
| Chemotherapy | Capecitabine | 0.342 | 0.0280–4.320 | 0.390 |
| 5-FU | ||||
| Variables | OR | 95% CI | p Value | |
|---|---|---|---|---|
| miR-21 pre-CRT non-neoplastic | ≤1.2 | |||
| >1.2 | 1.20 | 0.237–6.064 | 0.828 | |
| miR-21 pre-CRT tumor | ≤2.61 | |||
| >2.61 | 1.63 | 0.402–6.625 | 0.498 | |
| miR-21 pre-CRT plasma | ≤0.54 | |||
| >0.54 | 1.20 | 0.237–6.064 | 0.828 | |
| miR-21 post-CRT plasma | ≤0.84 | |||
| >0.84 | 1.09 | 0.276–4.330 | 0.900 |
| Variables | OR | 95% CI | p Value | |
|---|---|---|---|---|
| Age | <60 | |||
| ≥60 | 0.83 | 0.19–3.72 | 0.814 | |
| Sex | Male | |||
| Female | 2.1 | 0.49–8.99 | 0.322 | |
| BMI | Low weight + normal | |||
| Pre-obesity + obesity | 0.38 | 0.08–1.69 | 0.206 | |
| ASA score | 2 | |||
| 3 | 0.41 | 0.09–1.81 | 0.242 | |
| Stage pre-CRT | I + II | |||
| III + IV | 0.88 | 0.57–27.24 | 0.203 | |
| cT | T1 | |||
| T3 + 4 | 2.71 | 0.44–16.68 | 0.280 | |
| cN | 0 | |||
| 1 | 0.87 | 0.05–15.33 | 0.928 | |
| pTRG | TRG 0 + 1 + 2 | |||
| TRG 3 | 1.63 | 0.40–6.63 | 0.498 | |
| Distant recurrence | No | |||
| Yes | 2.73 | 0.42–17.65 | 0.289 | |
| Local recurrence | No | |||
| Yes | 1.14 | 0.07–20.02 | 0.928 |
| Variables | OR | 95% CI | p Value | |
|---|---|---|---|---|
| Age | <60 | |||
| ≥60 | 4.14 | 0.71–24.16 | 0.106 | |
| Sex | Male | |||
| Female | 1.73 | 0.40–7.46 | 0.465 | |
| BMI | Low weight + normal | |||
| Pre-obesity + obesity | 0.89 | 0.22–3.66 | 0.873 | |
| ASA score | 2 | |||
| 3 | 1.75 | 0.43–7.17 | 0.442 | |
| Stage pre-CRT | I + II | |||
| III + IV | 0.82 | 0.05–14.39 | 0.896 | |
| cT | T1 + T2 | |||
| T3 + T4 | 0.80 | 0.14–4.70 | 0.808 | |
| cN | N0 | |||
| N1 | 1.75 | 0.14–21.44 | 0.663 | |
| cM | M0 | |||
| M1 | 2.21 | 0.07–21.22 | 0.896 | |
| pTRG | TRG 0 + 1 + 2 | |||
| TRG 3 | 1.79 | 0.45–7.19 | 0.414 | |
| Distant recurrence | No | |||
| Yes | 0.40 | 0.07–2.45 | 0.320 |
| Variables | Total | DFS | r Mean | Simple Cox Proportional Hazard Model | ||
|---|---|---|---|---|---|---|
| HR | p Value | |||||
| Tumor location | Superior + medium | 15 | 1 | 2.53 | 4.027 | 0.199 |
| Inferior | 22 | 6 | 2.25 | |||
| Age | <60 | 10 | 1 | 2.54 | 1.637 | 0.651 |
| ≥60 | 27 | 6 | 2.38 | |||
| Gender | Male | 25 | 4 | 2.41 | 1.218 | 0.797 |
| Female | 12 | 3 | 2.39 | |||
| CRM | Free | 17 | 2 | 2.53 | 2.135 | 0.368 |
| Threatened/invaded | 20 | 5 | 2.30 | |||
| TRG | 0–2 | 21 | 2 | 2.57 | 3.950 | 0.108 |
| 3 | 16 | 5 | 2.21 | |||
| miR-21 pre-CRT tumor | ≤2.61 | 17 | 2 | 2.47 | 2.175 | 0.37 |
| >2.61 | 15 | 4 | 2.26 | |||
| miR-21 pre-CRT plasma | ≤0.54 | 18 | 5 | 2.27 | 0.464 | 0.36 |
| >0.54 | 15 | 2 | 2.45 | |||
© 2020 by the authors. Licensee MDPI, Basel, Switzerland. This article is an open access article distributed under the terms and conditions of the Creative Commons Attribution (CC BY) license (http://creativecommons.org/licenses/by/4.0/).
Share and Cite
Ourô, S.; Mourato, C.; Ferreira, M.P.; Albergaria, D.; Cardador, A.; Castro, R.E.; Maio, R.; Rodrigues, C.M.P. Evaluation of Tissue and Circulating miR-21 as Potential Biomarker of Response to Chemoradiotherapy in Rectal Cancer. Pharmaceuticals 2020, 13, 246. https://doi.org/10.3390/ph13090246
Ourô S, Mourato C, Ferreira MP, Albergaria D, Cardador A, Castro RE, Maio R, Rodrigues CMP. Evaluation of Tissue and Circulating miR-21 as Potential Biomarker of Response to Chemoradiotherapy in Rectal Cancer. Pharmaceuticals. 2020; 13(9):246. https://doi.org/10.3390/ph13090246
Chicago/Turabian StyleOurô, Susana, Cláudia Mourato, Marisa P. Ferreira, Diogo Albergaria, André Cardador, Rui E. Castro, Rui Maio, and Cecília M. P. Rodrigues. 2020. "Evaluation of Tissue and Circulating miR-21 as Potential Biomarker of Response to Chemoradiotherapy in Rectal Cancer" Pharmaceuticals 13, no. 9: 246. https://doi.org/10.3390/ph13090246
APA StyleOurô, S., Mourato, C., Ferreira, M. P., Albergaria, D., Cardador, A., Castro, R. E., Maio, R., & Rodrigues, C. M. P. (2020). Evaluation of Tissue and Circulating miR-21 as Potential Biomarker of Response to Chemoradiotherapy in Rectal Cancer. Pharmaceuticals, 13(9), 246. https://doi.org/10.3390/ph13090246

