Abstract
Five-membered 1,2,4-oxadiazole heterocyclic ring has received considerable attention because of its unique bioisosteric properties and an unusually wide spectrum of biological activities. Thus, it is a perfect framework for the novel drug development. After a century since the 1,2,4-oxadiazole have been discovered, the uncommon potential attracted medicinal chemists’ attention, leading to the discovery of a few presently accessible drugs containing 1,2,4-oxadiazole unit. It is worth noting that the interest in a 1,2,4-oxadiazoles’ biological application has been doubled in the last fifteen years. Herein, after a concise historical introduction, we present a comprehensive overview of the recent achievements in the synthesis of 1,2,4-oxadiazole-based compounds and the major advances in their biological applications in the period of the last five years as well as brief remarks on prospects for further development.
1. Introduction
Oxadiazoles are five-membered heterocyclic compounds containing one oxygen and two nitrogen atoms (historically, they were also known as furadiazoles). Depending on the position of nitrogen atoms, oxadiazoles may occur in the form of four different isomers: 1,2,3-oxadiazole, 1,2,4-oxadiazole, 1,2,5-oxadiazole and 1,3,4-oxadiazole (Figure 1). Amongst the isomers, the greatest interest is involved with 1,3,4-oxadiazoles. Their high importance is highlighted by a large number of applications in various scientific areas, e.g., pharmaceutical industry, drug discovery, scintillating materials as well as dyestuff industry [1]. It is also worth noting that compounds containing 1,3,4-oxadiazole unit exhibit a wide range of biological activities such as anticancer, antiparasitic, antifungal, antibacterial, antidepressant, anti-tubercular and anti-inflammatory [2,3,4,5].
Figure 1.
Chemical structures of oxadiazole isomers.
According to the Web of Science data the scientific attention of 1,3,4-oxadiazoles application is continuously rising since the year 2000 (Figure 2) [6]. On the other hand, 1,2,5-oxadiazole derivatives found application mainly as High Energy Density Materials (HEDMs) as well as biologically active compounds with cytotoxic properties [7,8,9]. Due to the instability and ring-opening of 1,2,3-oxadiazole heterocycle, resulting in substituted diazomethanes formation, this isomer of oxadiazole is least of all explored [10].
Figure 2.
Number of publications containing the keywords: “1,2,4-oxadiazole” (red), “1,2,5-oxadiazole” (blue) and “1,3,4-oxadiazole” (green) in their title since 1980 [6].
2. Historical Remarks—1,2,4-Oxadiazole
The 1,2,4-oxadiazole heterocycle was synthesized for the very first time in 1884 by Tiemann and Krüger and was originally classified as azoxime or furo[ab1]diazole [11]. The heterocycle finally caught the attention of chemists almost 80 years after its discovery when photochemical rearrangement of it to the other heterocyclic systems was noted [12,13]. Biological activity studies of 1,2,4-oxadiazole derivatives started in the early 1940s and 20 years later First-In-Class commercial drug containing 1,2,4-oxadiazole ring—Oxolamine (Figure 3)—was described and introduced to the pharmaceutical market as a cough suppressant [14,15,16].
Figure 3.
Chemical structures of commercial drugs based on a 1,2,4-oxadiazole scaffold.
In the last 40 years, 1,2,4-oxadiazole heterocycle has been widely explored bringing a vast number of compounds exhibiting diverse biological activities such as anticancer, anti-inflammatory, anticonvulsant, antiviral, antibacterial, antifungal, antidepressant, antiangiogenic, analgesic, anti-insomnia, anti-oedema, antiparasitic, and anti-Alzheimer. It was proved that they also show inhibitory potency against Human Deacetylase Sirtuin 2 (HDSirt2), Carbonic Anhydrase (CA), Histone Deacetylase (HDAC), Rearranged during Transfection (RET) kinase, Penicillin-Binding Protein (PBP2a), efflux pump, cyclooxygenases (COX-1 and COX-2) and butyrylcholinesterase (BChE) as well as affinity to σ1, σ2, orexin, kappa opioid (KOR) and estradiol (ER) receptors (see sections below). Furthermore, 1,2,4-oxadiazole derivatives also found application as supramolecular liquid crystals and HEDMs [7,17,18,19]. Importantly, the heterocycle demonstrates bioisosteric equivalence with ester and amide moieties due to the possibility of creation specific interaction (e.g., hydrogen bonding). It is a particularly useful alternative when the instability of those groups is observed (e.g., when the hydrolysis may appear) [20,21]. Nowadays, there are a few commercially available drugs containing 1,2,4-oxadiazole nucleus such as Oxolamine, Prenoxdiazine (cough suppressant, Figure 3) Butalamine (vasodilator, Figure 3), Fasiplon (nonbenzodiazepine anxiolytic drug, Figure 3), Pleconaril (antiviral drug, Figure 3), Ataluren (Duchenne muscular dystrophy treatment drug, Figure 3) and Proxazole (a drug used for functional gastrointestinal disorders, Figure 3) [22,23,24]. It is worth noting that 1,2,4-oxadiazole ring, as the only one of all oxadiazole isomers, occurs in the structures of natural products. For example, in 2011 Carbone M. et al. isolated two indole alkaloids Phidianidine A and Phidianidine B (Figure 4) from sea slug Opisthobranch Phidiana militaris [25].
Figure 4.
Chemical structures of naturally occurring 1,2,4-oxadiazole-containing compounds.
It was revealed that both Phidianidines exhibit in vitro cytotoxic activity against tumor and non-tumor mammalian cell lines (rat glial—C6, human cervical—HeLa, colon adenocarcinoma—CaCo-2, mouse embryo—3T3-L1 and rat heart myoblast—H9c2) as well as selective agonist properties against protein-tyrosine phosphatase 1B (PTP1B) and chemokine receptor type 4 (CXCR4) [26,27]. Quisqualic acid (Figure 4), obtained from seeds of Quisqualis indica, is another example of naturally occurring compound bearing 1,2,4-oxadiazole. This alanine-derivative exhibits affinity to metabotropic glutamate receptor type II and IV—attractive molecular targets for the treatment of stroke, epilepsy and neurodegenerative disorders [28,29].
3. Methods of 1,2,4-Oxadiazole Synthesis
To date, several methods for synthesis of 1,2,4-oxadiazole derivatives have been developed. Most of them are based on amidoxime and carboxylic acid derivatives heterocyclization or 1,3-dipolar cycloaddition of nitrile and nitrile oxide.
The first approach, proposed by Tiemann and Krüger, uses amidoximes and acyl chlorides and results in the formation of two products (Entry 1, Table 1) [11]. The use of TBAF or pyridine as a catalyst in the aforementioned reaction improves the synthesis efficacy (Entry 2, Table 1) [30]. Reaction between an amidoxime and carboxylic acid esters, particularly methyl and ethyl esters, activated carboxylic acid (with coupling reagents such as EDC, DCC, CDI, TBTU or T3P) or carboxylic acid anhydrides has been also utilized (Entry 3–5, Table 1) [31,32,33,34,35]. Despite the simplicity of the above-described methods, unsatisfactory yields, purification difficulties and inapplicability due to the harsh conditions were usually observed.
Table 1.
Methods of synthesis of 1,2,4-oxadiazole derivatives.
It is worth noting that the microwave irradiation (MWI) has been also applied in the heterocyclization of amidoximes and acyl chlorides/carboxylic acid esters in the presence of NH4F/Al2O3 or K2CO3. This synthetic approach allowed to obtain 3,5-disubstituted-1,2,4-oxadiazoles within extremely short reaction time and with good yields (Entry 6, Table 1) [36,37]. Moreover, a microwave-assisted reaction of aryl-nitrile with hydroxylamine hydrochloride to aryl-amidoxime in the presence of a catalyst (MgO or CH3COOH or KF) was also described. This method allowed to obtain 1,2,4-oxadiazoles in a simple two-step procedure (Entry 7, Table 1) [38,39,40]. Interestingly, the application of MWI demonstrated several advantages in comparison with the classical synthetic strategies, e.g., remarkably short reaction time, high yields and simple purification. Furthermore, volumes of volatile organic solvents were highly reduced, which is presently desired and environmentally friendly synthetic approach.
The second method of 1,2,4-oxadiazole formation involves 1,3-dipolar cycloaddition of nitrile oxides and nitriles. Despite the accessibility of starting materials and reagents, this synthetic procedure is usually unfavorable due to the non-reactivity of -CN triple bond and the possibility to formation of 1,2,5-oxadiazole-2-oxides and 1,2,4-oxadiazole-4-oxides through nitrile oxide dimerization [41,42]. However, in 2003 Bokach N. et al. presented a study of 1,3-dipolar cycloaddition of nitrile oxides with nitriles in the presence of platinum(IV) catalyst resulting in the formation of 1,2,4-oxadiazole under mild conditions. However, difficulties such as poor solubility of starting materials, poor yields and expensive catalyst make this synthetic approach still troublesome (Entry 8, Table 1) [43].
Recently, new synthetic approaches in the formation of 1,2,4-oxadiazoles have been reported. In 2017 Baykov et al. published a study on the first one-pot synthetic procedure for the synthesis of 3,5-disubstituted-1,2,4-oxadiazoles at room temperature (RT) from corresponding amidoximes and carboxylic acids methyl or ethyl esters in the superbase medium NaOH/DMSO (Scheme 1) [44]. This synthetic approach led to obtain diverse oxadiazole analogs isolable via simple purification protocol, although in moderate to long reaction time (4–24h) with poor to excellent yields (11–90%). Moreover, the presence of –OH or –NH2 groups in the structure of carboxylic acid ester limited the formation of desired compounds.
Scheme 1.
Synthesis of 1,2,4-oxadiazole analogs in the superbase medium (R1 = 4-methylphenyl, R2 = methyl or phenyl, X = methoxy or ethoxy).
Another interesting, one-pot synthetic procedure of 3,5-disubstituted-1,2,4-oxadiazoles from the corresponding amidoximes and carboxylic acids employing the –COOH group activation via reaction with Vilsmeier reagent (Scheme 2) was reported by Zarei M. [45]. Good to excellent yields (61–93%), a simple purification protocol, an application of readily available starting materials and one-pot synthesis approach highlighted the benefits of using this procedure.
Scheme 2.
Synthesis of 1,2,4-oxadiazoles with Vilsmeier reagent as a carboxylic acid group activator (R1, R2 = phenyl, 4-methoxyphenyl, 4-nitrophenyl, 4-chlorophenyl, 2-methoxyphenyl, methyl, 2-thiophenyl and others).
In 2019, Vinaya K. et al. reported an efficient one-pot synthesis of 3,5-diarylsubstituted-1,2,4-oxadiazoles via a two-component reaction of gem-dibromomethylarenes with amidoximes (Scheme 3) [46]. Accessibility of various gem-dibromomethylarene derivatives and excellent yields (∼90%) were the main advantages of this method. However, long reaction time and complicated purification protocol diminished its wide application.
Scheme 3.
Synthesis of 3,5-substituted-1,2,4-oxadiazoles using gem-dibromomethylarenes (R1 = phenyl, 4-chlorophenyl, 4-bromophenyl, 4-fluorophenyl, 2-chloro-4-fluorophenyl, 4-cyanophenyl or 4-methoxyphenyl, R2 = H, methyl or methoxy).
Recently, Golushko A. et al. developed a novel synthetic method of 1,2,4-oxadiazoles based on tandem reaction of nitroalkenes with arenes and nitriles in the presence of TfOH (Scheme 4) [47]. Despite the excellent yields (∼90% in most cases) and short reaction time (10 min), the usage of a superacid requires resistant starting materials, which can be a serious limitation.
Scheme 4.
The reaction of nitrostyrenes with arenes and nitriles in the presence of TfOH leading to 1,2,4-oxadiazoles (R1 = methyl, ethyl, chloromethyl, phenyl or cyclopropyl, Ar1 = phenyl, 4-mehtylphenyl, 4-fluorophenyl, 4-chlorophenyl, 4-bromophenyl, Ar2 = phenyl, p-ksylene, o-ksylene).
In 2019, Cai B. et al. presented a study on [3+2]-cycloaddition reaction of disubstituted-2H-azirines with nitrosoarenes under irradiation of visible light and in the presence of organic dye photoredox catalyst—9-mesityl-10-methylacridinium perchlorate (PC), resulting in the formation of 2,3,5-trisubstituted-1,2,4-oxadiazoles (Scheme 5) [48]. This synthetic strategy provided a “green chemistry” and efficient synthetic method of 1,2,4-oxadiazole synthesis. Despite promising and environmentally friendly conditions, moderate yields (35–50%) limit the wide application of this type of transformation. However, further studies for improving this rational method are still ongoing.
Scheme 5.
[3+2]-cycloaddition of 2H-azirines and nitrosoarenes (R1, R2, Ar = phenyl, 4-methylphenyl, 4-chlorophenyl, 4-bromophenyl, 2-methylphenyl or 2-pyridinyl).
Despite quite a large number of synthetic methods of 1,2,4-oxadiazoles, low yields, long reaction times, an usage of volatile and toxic organic solvents, purification difficulties and a presence of active groups in the structure of reagents (e.g., –NH2, –OH) often limit their application. For that reason, novel, effective and green chemistry-based synthetic methods of 1,2,4-oxadiazoles are still sought-after. Very recently, mechanochemistry—which refers to the reaction in the solid-state induced by the mechanical energy (e.g., grinding or milling)—became much more intensely explored, due to the increased reaction rate and quantitative yields in the absence of solvents (or only in minimal volumes), though none article has been published on the 1,2,4-oxadiazole formation via mechanochemistry [49]. Therefore, we hope that this kind of synthetic approach, due to its advantages, will find application in the efficient and environmentally friendly synthesis of the 1,2,4 oxadiazole based compounds in the near future.
4. Anticancer Agents
Every year cancer impacts about 20 million people all over the world resulting in deaths counting in millions (Figure 5). Unfortunately, a number of new cancer cases is still rising and almost 30 million people will be diagnosed with carcinoma by 2040 in high-developed countries [50]. For that reason, finding new cancer treatments or effective drugs is one of the greatest needs of the current community and a challenge for modern medicine. Biological evaluation of 1,2,4-oxadiazoles revealed that some of their derivatives are potent anticancer agents. The greatest breakthrough came with the discovery of 3,5-diarylsubstituted derivatives of 1,2,4-oxadiazole as a new series of apoptosis inducers [51]. Since then, exploration of the anticancer activity of 1,2,4-oxadiazole derivatives has been started resulting in a creation of a wide library of compounds [52,53].
Figure 5.
Estimated number of cancer incidences and cancer-related deaths in 2018.
Recently, Maftei C. V. et al. reported the synthesis of 4-(3-(tert-butyl)-1,2,4-oxadiazol-5-yl)aniline (1, Figure 6), which exhibits moderate activity with a mean IC50 value of approximately 92.4 M against panel of 11 cancer cell lines (human colon adenocarcinoma—CXF HT-29, human gastric carcinoma—GXF 251, human lung adenocarcinoma—LXFA 629, human non-small cell lung carcinoma—LXFL 529, breast cancer-derived from athymic mice’ lung metastatic site—MAXF 401, human melanoma—MEXF 462, human ovarian adenocarcinoma—OVXF 899, human pancreatic cancer—PAXF 1657, human pleuramesothelioma cancer—PXF 1752, human renal cancer—RXF 486, human uterus carcinoma—UXF 1138). Importantly, compound 1 became a precursor for synthesis of novel compounds with greater antiproliferative activities [54].
Figure 6.
Chemical structure of 4-(3-(tert-butyl)-1,2,4-oxadiazol-5-yl)aniline 1.
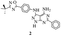
Further modification of 1 led to the discovery of its derivative 2 (Table 2) exhibiting significantly greater antitumor activity evaluated against a panel of 12 human tumor cell lines (CXF HT-29, GXF 251, LXFA 629, LXFL 529, MAXF 401, MEXF 462, OVXF 899, PAXF 1657, human prostate cancer—PRXF 22Rv1, PXF 1752, RXF 486 and UXF 1138), especially toward OVXF 899 and PXF 1752 cell lines with the IC50 values of 2.76 and 9.27 M, respectively. Moreover, compound 2 showed high selectivity against renal cancer cell line with the IC50 = 1.143 M [55]. In addition, the same research team reported new gold(I) complexes with 1,2,4-oxadiazole-containing N-heterocyclic carbene ligands. Obtained results clearly revealed impressive potency of imidazolium salts. The most active derivative 3 (Table 2) showed extremely low IC50 values from 0.003 to 0.595 M against the same panel of 12 cancer cell lines with highest activity in an in vitro assays with LXFA 629 and MAXF 401 cells (IC50 = 0.003 M for both of them) [56]. Thus, 3 seems to be an ideal candidate for further evaluation. More advanced in vivo studies may reveal some additional features, although no information has been published up to date.
Table 2.
1,2,4-oxadiazole derivatives with antitumor activity.
In a study reported by Challa K., Krishna C. and coworkers C28-modified Betulinic Acid (Figure 7) bearing 1,2,4-oxadiazole ring connected via ester or amide linker have been synthesized and evaluated against human colon carcinoma (Colo 205), human liver cancer (Hep G2) and HeLa cell lines [57,58]. Performed screening revealed moderate potential of all obtained derivatives with the highest biological activities for analogs 4a–4d (Table 2) (the IC50 values in a range of 26.1–34.3 M). However, the obtained compounds turned out to be still weaker than reference compound—etoposide (the IC50 values of 0.42–22.5 M), a topoisomerase II enzyme inhibitor, which is currently used as medication in the treatment of cancer diseases (e.g., lung, ovarian, testicular cancers, leukemia, neuroblastoma and lymphoma) [59]. Interestingly, the impact on the biological activity of compounds by switching the ester moiety with amide was negligible.
Figure 7.
Chemical structure of Betulinic Acid and Lambertianic Acid.
Mironov et al. carried out a synthesis of several derivatives of Lambertianic acid (Figure 7) by the introduction of substituted-1,2,4-oxadiazole heterocycle at the C16 position [60]. Obtained compounds were tested in comparison with doxorubicin—widely used anticancer agent in the treatment of breast, bladder carcinomas, lymphoma, and acute lymphocytic leukemia [61,62]. Obtained outcomes by Mironov et al. revealed that 5a–b (Table 2) exhibited more favorable biological activity than Lambertianic Acid itself with the GI50 values at sub-micromolar concentration against human childhood and adult T acute lymphoblastic leukemia (CEM-13), MT-4, and human adult acute monocytic leukemia (U-937) cancer cell lines. It is worth noting that 5a–b demonstrated greater cytotoxic activity than doxorubicin. Additional biological studies indicated that activities of 5a–b against human breast adenocarcinoma—MCF-7, MDA-MB-231 and human melanoma—MEL-8 cancer cell lines were slightly lower than the reference compound. Interestingly, flow cytometry assay revealed that the above-mentioned compounds are potent inducers of apoptosis in MCF-7, MDA-MB-231 and MEL-8 cell lines and are acting in a dose-dependent manner.
In the study of Kucukoglu K. et al. a series of Schiff bases fused with 1,2,4-oxadiazole heterocycle has been synthesized and evaluated in vitro against a panel of 8 cancer cell lines [63]. Results revealed that 6a–c (Table 2) exhibited higher biological potency (CC50 = 137.3, 79.0 and 140.3 M, respectively) against Ca9-22 cell line than 5-fluorouracil (a multi-acting agent used in the treatment of colon, esophageal, stomach, breast and pancreatic cancers) applied as a reference (CC50 = 214.3 M). On the other hand, the cytotoxic potency of obtained compounds occurred to be far weaker than doxorubicin. For this reason, modifications of chemical structure including a different substitution of terminal aromatic rings or an introduction of additional pharmacophores are worth of consideration to improve biological activity.
Moniot S., Forgione M. et al. reported a study of about 40 novel substituted 3-aryl-5-alkyl-1,2,4-oxadiazole derivatives as selective inhibitors of HDSirt2—NAD+ lysine deacetylase—an attractive target for treating neurodegenerative disorders, metabolic dysfunctions, age-related diseases and cancer [64]. The biological activity of obtained derivatives was assessed in a continuous assay using an -tubulin-acetylLys40 peptide as a substrate. Based on the detailed structure-activity relationship (SAR) studies, compounds 7a and 7b (Table 2) emerged as the most potent HDSirt2 inhibitors when tested against human leukemia cell lines (U-937, NB4, HL-60, and K562) and MDA-MB-231 cell line. Analog 7a was able to induce apoptotic death in over 80% of NB4, K562 and MDA-MB-231 cancer cell at the concentration of 25 M. Moreover, 7b achieved the same effect at 10 M. According to the western blot analyses, the involvement of HDSirt2 inhibition for apoptotic death induction has been confirmed. In addition, the crystal structure of 1,2,4-oxadiazole derivatives in complex with HDSirt2 revealed yet unexplored subcavity, which may be extremely useful for further inhibitors development [64].
In 2017, Avanzo R. E. and coworkers synthesized 9 novel diheterocyclic-ribose fused derivatives containing 5-substituted-1,2,4-oxadiazole framework. Their previous study suggested that 5-deoxy-5-S-(1,2,4-triazol-3-yl)-2,3-O-cyclopentylidene--D-ribofuranoside derivatives are moderate antitumor agents. It turned out that the introduction of 5-substituted-1,2,4-oxadiazole heterocycle into the ribose-derivative structure improved anticancer activity [65,81]. Obtained compounds were tested against human lung (A549), SW1573, HeLa, human breast (HBL-100), T-47D, and human colon (WiDr) cancer cell lines. Among them, compound 8 (Table 2) showed the highest antiproliferative potency and selectivity against WiDr with the GI50 value of 4.5 M. It was noticed that the presence of electron withdrawing group (EWG) at the para position of the aromatic ring occurred to be crucial to ensure high biological activity.
Recently, Abd el hameid M. K. reported 15 novel 1,2,4-oxadiazole derivatives as analogs of Terthiopene, Terpyridine, and Prodigiosin (Figure 8)—naturally occurring compounds with potent cytotoxic and pro-apoptotic properties against various types of carcinoma [66]. Obtained compounds were preliminary evaluated against MCF-7 cancer cell line and the most potent were selected for further evaluation toward human colon cancer—HCT-116 cell line. Obtained results revealed that 9a–c (Table 2) exhibited the highest activity with the IC50 values of 0.48, 0.78, 0.19 M and 5.13, 1.54, 1.17 M against MCF-7 and HCT-116, respectively. In addition, their biological activities were comparable or greater than reference Prodigiosin (the IC50 values of 1.93 and 2.84 M against MCF-7 and HCT-116 cell line, respectively). Interestingly, flow cytometry analysis revealed that the above-mentioned compounds were able to arrest cell proliferation at G1 phase in MCF-7 cells and were triggering apoptosis via increasing of caspase3/7 activity, thus are suitable for further development as potent anticancer agents.
Figure 8.
Chemical structure of Terthiopene, Terpyridine, and Prodigiosin.
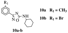
In 2018, de Oliveira V. N. M. and collaborators synthesized a series of substituted N-cyclohexyl-3-aryl-1,2,4-oxadiazole-5-amines from corresponding arylamidoximes and DCC under MWI and determined their antitumor activity against HCT-116, human prostate (PC-3) and human astrocytoma (SNB-19) cancer cell lines [67]. Compounds 10a and 10b (Table 2) exhibited the highest activity and were further evaluated against five cell lines—HCT-116, PC-3, SNB-19, mouse melanoma (B16F10) and mouse adipose (L929). Their activity expressed by the IC50 values ranged from 13.6 to 48.37 M, nonetheless, the levels of inhibition were still far from reference compound—doxorubicin, thus additional modifications of a chemical structure are required for improvement of the activity.
Kumar P. S. et al. synthesized a novel series of bis-1,2,4-oxadiazole-fused-benzothiazole derivatives and examined their biological activity against A549, MCF-7, human amelanotic melanoma (A375) and HT-29 cancer cell lines [68]. Most of the obtained analogs exhibited moderate activity except for 11a and 11b (Table 2), which demonstrated comparable or slightly lower potency than combretastatin-A4 (reference compound, which is phosphate-based anticancer drug used in the treatment of many carcinomas, as microtubule destabilizing agent, designed to interrupt the blood vessels formation in cancer tissue and cause central necrosis). Analog 11a showed the highest activity toward A549 cell line with the IC50 value of 0.11 M, although 11b turned out to exhibit higher activity against MCF-7, A375 and HT-29 cell lines (the IC50 values of 0.2, 2.09 and 0.76 M, respectively). In addition, the SAR studies revealed that the presence of electron donating groups (EDG) greatly improved activity. In comparison, the introduction of EWG was related with decreasing of antiproliferative potency.
In the study of Pervaram S. a synthesis and biological evaluation of 10 new compounds based on 1,2,4-oxadiazole derivatives containing benzofuran group have been carried out. Antiproliferative potency of obtained compounds was estimated in MTT assay against MCF-7, A375, and HT-29 cancer cell lines. Compounds 12a–d (Table 2) showed promising cytotoxic activity at sub-micromolar concentrations (comparable or higher than the reference compound—combretastatin-A4). Interestingly, the replacement of EDG or EWG with halogen atoms in the phenyl ring was related with drastic decrease of biological activity [69].
In 2018, Chakrapani B. et al. published an article regarding the synthesis and examination of cytotoxic activity of 1,2,4-oxadiazole-fused-imidazothiadiazole derivatives against human cancer cell lines (A375, MCF-7, and ACHN), where doxorubicin has been used as a reference compound. Two of the obtained compounds 13a–b (Table 2) showed good antitumor activity with the IC50 values between 0.11–1.47 M against the aforementioned cancer cell lines. Interestingly, the reference compound exhibited similar or slightly lower anticancer activity (the IC50 values in the range of 0.79 to 5.51 M) [70].
Srinivas M. et al. synthesized a series of 1,2,4-oxadiazoles linked with benzimidazole derivatives and evaluated their antitumor activities against MCF-7, A549, A375 cancer cell lines [71]. Compounds 14a–d (Table 2) exhibited higher biological activity than doxorubicin with the IC50 values in a range of 0.12–2.78 M against MCF-7, A549, A375. In addition, the replacement of EDG or EWG with halogen atoms in the phenyl ring decreased the antiproliferative activities of tested compounds. Further evaluation of 1,2,4-oxadiazole-benzimidazole derivatives based on comprehensive in vivo studies should reveal their clinical potential, however, none article has been published in this area up to date.
Tamoxifen (Figure 9) is sold under the brand name Nolvadex, Tamifen, Genox, and many others. It is a drug used as a Selective Estrogen-Receptor Modulator (SERM) and has been applied in early hormone-dependent breast cancer treatment and prevention for over 40 years [82]. Unfortunately, long-term treatment with SERMs often led to many undesirable side effects such as blood clots, strokes, cataracts, bone loss, mood swings, depression, risk of heart attack and failure, loss of libido and high probability of cancer recurrence or even formation of new ones—endometrial and uterine [83,84,85,86]. For that reason, further development of Tamoxifen derivatives are still of special significance.
Figure 9.
Chemical structure of Tamoxifen.
A new series of 3,4-diaryl-1,2,4-oxadiazolidin-5-ones have been synthesized as analogs of Tamoxifen and their biological potential and ability to activate apoptosis were determined in vitro against MCF-7 cancer cell line [72]. Received outcomes showed that compound 15 (Table 2) exhibited the highest cytotoxic effect against MCF-7 cell line with the IC50 value of 15.63 M, which was similar to that of Tamoxifen—reference compound (the IC50 value of 10.38 M). Western blot analysis revealed that the above-described compound increased p53 expression level and caspase-3 cleavage in MCF-7 cells leading to activation of the apoptotic death. Additionally, molecular docking studies using the crystal structure of ER suggested strong hydrophobic interactions between aromatic rings of 1,2,4-oxadiazolidin-5-ones and amino-acid residues of the receptor, which were similar to those that Tamoxifen creates. Despite promising activities of presented derivatives, chemical structure modification is still required to find new Tamoxifen analogs based on 1,2,4-oxadiazole core with better activity and pharmacological profile.
In the recent study performed by Krasavin M. et al. a novel series of substituted 1,2,4-oxadiazole-arylsulfonamides has been discovered as selective CA inhibitors with potential application in the cancer therapies [73,74]. An extensive research (conducted by the same research group) exploring various substituted heterocyclic compounds (including 1,3-oxazole, isoxazole, imidazoline and pyrazole) with sulfonamide moiety indicated that 1,2,4-oxadiazol-5-yl-benzene sulfonamides were able to demonstrate extremely high biological activity and selectivity [87,88,89,90]. Inhibitory potency of synthesized compounds was measured with the use of CO2 hydration stopped-flow biochemical assay against two cytosolic Human Carbonic Anhydrases (hCA I and II) and two membrane-bound cancer related (hCA IX and XII) CA. It turned out that fourteen out of sixty obtained compounds were able to selectively inhibit hCA at nanomolar, sub-nanomolar and even picomolar concentrations range [73,74]. The most active compound 16a (Table 2) showed Ki values of 89 pM (hCA IX) and 0.75 nM (hCA II). Further in vitro evaluation of 1,2,4-oxadiazol-5-yl sulfonamides against non-cancerous human retinal pigment epithelial cell line (ARPE-19) and cancerous cell lines (pancreas ductal adenocarcinoma—PANC-1 and melanoma—SK-MEL-2 cell line) under normoxic and hypoxic conditions indicated that 16a and 16b (Table 2) were the most promising compounds. Analog 16a showed the highest selectivity and activity against SK-MEL-2, while 16b was the most effective toward PANC-1. Further exploration of 1,2,4-oxadiazol-5-yl benzene sulfonamides may lead to the discovery of potent small-molecule membrane-bound CA inhibitors as a therapeutic intervention in cancer.
New analogs of nortopsentin—a marine natural product—in which 1,2,4-oxadiazole framework replaced the central imidazole heterocycle have been synthesized and examined against HCT-116 cancer cell line [75]. Compounds 17a and 17b (Table 2) showed the highest cytotoxic activity reaching the IC50 values in the micromolar range. Further in vitro evaluation against MCF-7, HeLa and CaCo-2 cancer cell lines were performed. Analogs 17a and 17b exhibited the highest biological activity toward MCF-7 with the IC50 values of 0.65 and 2.41 M, respectively. On the other hand, the rest of synthesized nortopsentin derivatives showed approximately 100 times lower anticancer activity. Additionally, flow cytometry analysis revealed that 17a and 17b were able to arrest cell cycle at G0-G1 phase. The exact mechanism of drug’s activity is still unknown, however, it is potentially related to the disruption of the cell machinery promoting DNA duplication. Surprisingly, the above-mentioned compounds did not affect the viability of normal-like cells at 10 M. Therefore, further development of nortopsentin analogs containing 1,2,4-oxadiazole ring may lead to the discovery of new small-molecule anticancer agent. Due to the moderate antitumor activity their structural modification is still necessary.
Recently, Polothi R. et al. published an article about 1,2,4-oxadiazole-1,3,4-oxadiazole-fused derivatives synthesis and their biological evaluation against MCF-7, A549 and MDA MB-231 cancer cell lines [76]. Obtained compounds showed from moderate to excellent anticancer potency. The most active derivatives 18a–c (Table 2) exhibited the IC50 values at sub-micromolar concentration. Obtained results clearly showed that the introduction of EWG in the structure of 5-aryl-1,2,4-oxadiazole aromatic ring caused an increase of antitumor activity. Additionally, the introduction of a nitro group at the meta position turned out to be more favorable than para substitution. Furthermore, molecular docking studies revealed that compound 18b is a strong tubulin-binding agent and exhibit a high affinity to target protein epidermal growth factor receptor. It seems that further development of 1,2,4-oxadiazole linked 1,3,4-oxadiazole derivatives may lead to novel, potent anticancer agents.
In the study of Yang F., Shan P. and collaborators a new series of 1,2,4-oxadiazole hydroxamate-based derivatives have been described as HDAC inhibitors [77,78]. Four obtained compounds 19a–d (Figure 10) were studied against HDAC-1 for evaluation of their inhibitory ability at 20 nM concentration and compared to reference compound—suberanilohydroxamic acid. Suberanilohydroxamic acid (SAHA, also known as Vorinostat) marketed under the name Zolinza, approved by Food and Drug Administration (FDA) agency in 2006 in the treatment of cutaneous T cell lymphoma. It was proved that compounds 19a–d were less active than SAHA and were capable of inhibiting HDAC-1 action only up to 50%. Also, the presence of a five-methylene linker turned out to be more effective than six-methylene, which was the basis for further modification. Intriguingly, the substitution of 1,2,4-oxadiazole heterocycle was crucial to ensure high HDAC-1 inhibitory activity. Despite the minuscule structural difference, it turned out that 3-aryl-5-alkyl-1,2,4-oxadiazole derivatives 20a–c (Table 2) exhibited much higher inhibitory potency than that of 5-aryl-3-alkyl-1,2,4-oxadiazole derivatives (19a–d) and were capable of stopping HDAC-1 action up to 90% at remarkably low concentration of 20 nM [77].
Figure 10.
Chemical structures of hydroxamate-based 1,2,4-oxadiazoles.
Additionally, influence of EWGs and EDGs as well as optimal substitution position were investigated. SAR studies revealed that the introduction of a substituent only slightly affected the inhibitory potency. Compounds 20a–c exhibited the most favorable IC50 values against HDAC-1 (8.2, 10.5 and 12.1 nM) and slightly higher than that of SAHA (the IC50 value of 15.0 nM). Subsequently, the afore-described derivatives were additionally examined in vitro for their anticancer activity toward human hepatocellular (HCCLM3) and HepG2 cancer cell lines. Compounds 20a and 20b showed the highest anticancer activity in the micromolar range (comparable to that of SAHA). Furthermore, flow cytometry analysis revealed that 20a and 20b were able to greatly induce cell apoptosis. Generally, novel 1,2,4-oxadiazole HDAC inhibitors may be a very promising agent for hepatic carcinoma treatment.
Recently, Yang Z. and coworkers reported a series of HDAC inhibitors containing 1,2,4-oxadiazole heterocycle [79]. Amongst synthesized derivatives, compound 21 (Table 2) showed the most potent HDAC inhibitory activity, particularly against HDAC-1, -2 and -3, with the IC50 values of 1.8, 3.6 and 3.0 nM, respectively. Detailed SAR studies revealed that the presence of the linker between hydroxamic acid moiety and pyrimidine heterocycle (e.g., methylene, ethylene, vinyl linker) as well as shifting or replacement of p-methyl group in the structure of terminal aromatic ring were responsible for decreasing of the inhibitory potency. Moreover, in vitro studies against a panel of 12 cancer cell line (colon, ovarian, breast, liver, myeloma, lymphoma) for compound 21 showed its extremely high activity against all of the evaluated cancer cell lines with the IC50 values in a range from 9.8 to 44.9 nM (in comparison, the IC50 values for SAHA were determined between 0.514–5.541 M). In addition, the antiproliferative activity of 21 was also evaluated against primary Acute Myeloid Leukemia (AML) cell line derived from three diverse patients (the IC50 values of 22.2–77.4 nM). Yang Z. et al. performed in vivo studies based on Burkitt’s lymphoma Daudi xenograft model and showed that 21 was able to remarkably reduce tumor growth, up to 53.8% when administered orally at 20 mg/kg with no significant side effects. The research group of Yang Z. led to the discovery of extremely potent HDAC inhibitors as anticancer agents, perfectly suitable for further clinical studies.
Han M. et al. synthesized a novel class of compounds as analogs of Ponatinib (Figure 11) [80], which is a multi-targeted tyrosine-kinase inhibitor used in the treatment of chronic myelogenous leukemia (in 2013 its clinical application has been suspended, due to the life-threatening blood clots, and many other adverse effects, including hypertension, headache, fatigue, abdominal pain, dry skin and many more) [91,92]. The applied strategy was based on the replacement of the alkynyl linker between imidazopirydazine and benzamide moiety present in the Ponatinib structure with different five-membered heterocycle rings—1,3,4-oxadiazole, 1,2,4-oxadiazole, and oxazole. In the course of the investigation, 1,2,4-oxadiazole-Ponatinib analogs exhibited the highest activity in enzyme-linked immunosorbent assay (ELISA). Further SAR analysis revealed that the presence of chlorine atom attached to the benzamide aromatic ring is crucial for high RET inhibitory activity and its replacement diminished the activity. Compound 22 (Table 2) inhibited RET enzyme in an ELISA assay with the IC50 value of 7.3 nM. Additionally, western blot analysis proved that 22 was able to greatly block the RET signaling pathway and showed similar potency to Ponatinib against the proliferation of gatekeeper mutant V804 M-driven cell with an IC50 value of 441.8 nM. Summarizing, alkynyl linker replacement with 1,2,4-oxadiazole heterocycle enhanced the biological activity of derivatives against the RET enzyme, thus their further development may lead to the discovery of novel Ponatinib-like drugs with no adverse effects.
Figure 11.
Chemical structure of Ponatinib.
5. Antimicrobial Agents
So far literature have listed over 1400 different species of microbials (including bacteria, viruses, protozoa, fungi and helminthes) able to elicit illnesses in human body which very often leads to death. Surprisingly, only 20 of them (mainly bacteria) are responsible for approximately two thirds of the fatal cases [93]. Estimated deaths from infections is continuously falling, from 16 million in 1990 to approximately 15 million to forecasting 13 million in 2050 in high-developed countries. However, people are still suffering an enormous burden dint of pneumonia, HIV/AIDS, tuberculosis, malaria, diarrhea and many other diseases [94,95]. In light of the numerous pandemic threats in European countries and the world, including the recent infections with the SARS-CoV-2 virus causing COVID-19, discovering new, effective antibacterial/antiviral drugs and the development of modern therapies are two challenges of paramount importance.
In 2014 O’Daniel P. I., Mobashery S., and Chang M. et al. from the University of Notre Dame in the United States put a great effort into the development of 1,2,4-oxadiazole as new antibiotics and discovered a new class of non--lactam drugs that were able to inhibit PBP2a of Methicillin-Resistant Staphylococcus aureus (MRSA) [96]. Detailed computer screening allowed to select 29 compounds from 1.2 million compounds (ZINC database), which were tested for their antibacterial activity against ESKAPE pathogens and agent 23 (Table 3) emerged as the most promising. Its further evaluation brought an enormous number of derivatives and led to the discovery of 24 (Table 3), which exhibited superior antibacterial activity against Vancomycin-Resistant S. aureus (VRSA), Vancomycin-Resistant Enterococcus faecium (VRE) as well as MRSA with the MIC values ranging from 1 to 2 g/mL. Moreover, rapid-time kill kinetics studies revealed that 24 was able to cause instant cell death of VRE and Daptomycin-non-Susceptible isolates at 4 mg/L in 1 h resulting in better outcomes than reference compound—daptomycin [97]. Further modifications of 24 and very detailed SAR analysis allowed to obtain a wide library of its analogs (counting in hundreds of derivatives) and resulting in discovery of 5-(1H-indol-5-yl)-3-(4-(4-(trifluoromethyl)phenoxy)phenyl)-1,2,4-oxadiazole (also called as ND-421, Table 3). ND-421 exhibited longer half-time, a high volume of distribution, low clearance, excellent bioavailability, 3 times longer postantibiotic effect than linezolid without inoculum effect with unaltered biological activity [98,99,100]. Additionally, in vitro studies against S. aureus, which exhibits two- and four-fold increased resistance, revealed first-time-reported, unique resistance mechanism to 1,2,4-oxadiazoles in MRSA. Moreover, those pathogen mutants did not show increased resistance to ampicillin, imipenem, linezolid, and vancomycin antibiotics (which are last drug-based defense against MRSA and VRSA) which made ND-421 a perfect alternative drug for refractory microorganisms [101]. It is also worth pointing out that ND-421 showed high synergy with other -lactams (oxacillin, piperacillin, imipenem, meropenem and cefepime) unlike to non--lactam antibiotics (vancomycin, linezolid, gentamicin, doxycycline and azithromycin). Recently, the same research team performed additional in vitro studies of ND-421 against 210 different MRSA and VRE, which exhibited the MIC50 values of 4 g/mL in all examined strains. Moreover value of MIC50 were consistently lowered when studied compound was used in combination with oxacillin [102,103]. In summary, 1,2,4-oxadiazoles 23, 24 and ND-421 are extremely potent and very promising non--lactam bactericidal antibiotics against Gram-positive multi-resistant bacteria suitable for further in vivo evaluation and clinical studies, although no information has been published up to date.
Table 3.
1,2,4-oxadiazole derivatives and their antimicrobial activity.
In the recent study of Krolenko K. et al. a new series of 5-(1H-1,2,3-triazol-4-yl)-1,2,4-oxadiazole derivatives as antimicrobial agents have been synthesized and examined by agar diffusion test against Gram-positive (S. aureus, B. subtilis, E. coli) and Gram-negative bacteria (P. vulgaris, P. aeruginosa) as well as fungi (C. albicans). Amongst three different series, compound 25 (Table 3) exhibited the highest biological activity with grow inhibition zone in a range of 20–25 mm, better than reference compounds—metronidazole and syntomycin—commonly used antibiotics (grow inhibition zone of 14–17 mm) [104]. Despite the high potential of 5-(1H-1,2,3-triazol-4-yl)-1,2,4-oxadiazole derivatives, no further work has been published.
In 2018 Cunha F. S. et al. synthesized a series of 3,5-diarylsubstitued-1,2,4-oxadiazole derivatives and determined their biological activity against E. coli, P. aeruginosa, E. faecalis, P. mirabilis and S. aureus using agar diffusion method [105]. Received results showed that some of the obtained compounds were able to inhibit P. mirabilis, E. faecalis and E. coli growth, however, activities against S. aureus and P. aeruginosa were not observed. Derivative 26 (Table 3) was the most potent with the MIC value of 60 M against E. coli. Additionally, the replacement of nitro group or chlorine atom attached to aromatic rings diminished antimicrobial activity. It turned out that the presence of a nitro group is crucial for the activity, because it promotes the formation of radicals via bioreduction, which leads to peroxidation of proteins and biological membranes or inhibition of crucial enzymes [113].
In 2016, Shi G. et al. reported a synthesis and biological evaluation of 3′,4′-diaryl-4′H-spiro[indoline-3,5′-[1′,2′,4′]-oxadiazol]-2-one derivatives against S. epidermidis, S. aureus, E. coli and K. pneumoniae using Broth microdilution method [106]. During in vitro studies 27 (Table 3) emerged as the most active derivative with the MIC value of 64 g/mL against S. epidermidis exhibiting comparable activity to reference compounds—chloramphenicol and ciprofloxacin and far better than ampicillin. Moreover, the introduction of halogen atoms (chlorine or iodine) into the 5-position of indole ring increased antibacterial activity towards S. aureus. Regrettably, all of the tested compounds exhibited significantly lower activity than levofloxacin (used as a reference).
Recently, Shetnev A. and collaborators discovered novel 1,2,4-oxadiazole-2-imidazole hybrids as analogs of new class of efflux pump inhibitors presented by Haynes K. M. et al. [107,114]. Unfortunately, during the in vivo test, the instability of amide moiety of the aforementioned efflux pump inhibitors has been observed. For that reason, it was postulated that the replacement of amide moiety with 1,2,4-oxadiazole might lead to an increase of hydrolysis resistance. Antimicrobial activities of novel compounds were evaluated against Gram-positive bacteria S. aureus and B. subtilis as well as Gram-negative bacteria E. coli and P. fluorescent. Compound 28 (Table 3) emerged as the most potent derivative with the MIC values in a range from 8 to 16 g/mL (the MIC values for reference compound—pefloxacin—ranged from 0.008 to 0.5 g/mL). SAR studies revealed that the introduction of alkyl chains into the structure of terminal aromatic ring or the removal of chlorine atoms were related with a decrease of activity. Unfortunately, the influence of other halogen atoms was not evaluated. It is worth emphasizing that 28 exhibited activity against the human pancreas (PANC-1) cancer cell line, leading to growth inhibition up to 80% in a dose-dependent manner. The same research group presented a study of the biological evaluation of 3,5-disubstituted-1,2,4-oxadiazoles containing vinyl moiety in their structure, although the most active compound 29 (Table 3) showed a few hundred-fold lower activity than pefloxacin and fluconazole—used as reference compounds [108].
In 2019, Upare A. A. and coworkers reported the synthesis and biological evaluation of novel 1,2,4-oxadiazole derivatives inspired by the structure of cinnamic acid as antitubercular agents [109]. It has been proved that cinnamic acid and its derivatives exhibited good biological activity against Mycobacterium tuberculosis, thus introducing 1,2,4-oxadiazole moiety into the cinnamic acid seemed reasonable in order to improve antitubercular properties [115]. Obtained compounds were examined against M. tuberculosis (H37Ra). Outcomes indicated that compound 30 (Table 3) exhibited the highest antitubercular activity with the IC50 value of 0.045 g/mL, higher than cinnamic acid itself (IC50 = 0.06 g/mL), however 25-fold times lower than reference compounds—isoniazid and rifampicin (IC50 = 0.0019 and 0.0018 g/mL, respectively). For that reason structural modification to improve biological activity is still required.
Recently, 21 new substituted 1,2,4-oxadiazol-3-ylmethyl-piperazin-1-ylquinolone derivatives have been synthesized as a potent agent against M. tuberculosis. In vitro evaluation against H37Rv strain, revealed that analog 31 (Table 3) was the most potent and exhibited the MIC value of 0.5 g/mL, however, isoniazid and rifampicin turned out to be slightly more active (MIC = 0.015 and 0.03 g/mL, respectively) [110]. Also, compound 31 showed high oral bioavailability and elimination time thus it represents a potent framework for further development as an antitubercular drug.
In 2016, dos Santos Filho J. M. and collaborators synthesized and examined the biological activity of a novel series of 1,2,4-oxadiazole-N-acylhydrazone-fused derivatives as potent antimalarial drugs [111]. Biological screening against chloroquine-resistant W2 strain of blood-stage Plasmodium falciparum identified compound 32 (Table 3) as the most potent derivative capable of inhibiting growth of microorganisms up to 72% at 10 g/mL. Moreover, 1,2,4-oxadiazole-N-acylhydrazone derivatives exhibited anti-Trypanosoma cruzi activity [116,117]. Further in vitro evaluation revealed that 32 demonstrated values of IC50 against P. falciparum (0.02 M) and CC50 against HepG2 (16.9 M) similar to those determined for reference compound (mefloquine). Despite potent in vitro activity, in vivo experiments failed because none of the mice survived the test of infection with Plasmodium berghei (NK65 strains) and no parasitemia reduction has been observed within 30 days of treatment with 32 at 100 mg/kg/day dose. Thus, it seems that 1,2,4-oxadiazole-N-acylhydrazones are not suitable for treating malaria, however modification of their chemical structure at both aromatic rings may lead to enhancement of in vivo activity.
Kim J. et al. described 3-aryl-1,2,4-oxadiazole derivatives with human rhinovirus (hRV) activity. Their previous work led to the identification of antiviral compound based on isopropyl benzo[b]tiophene-2-carboxylate-derivative exhibiting excellent efficacy against hRVA and hRVB. This study highlighted that metabolic stabilities of tested compounds were unsatisfactory, due to the hydrolysis of ester moiety, thus its replacement with 1,2,4-oxadiazole core have been performed [112,118]. Consequently, a number of 3-aryl-1,2,4-oxadiazole-based derivatives has been synthesized and evaluated against three different human rhinoviruses by cytopathic effect reduction assay. Compound 33 (Table 3) turned out to be the most potent among the series with the IC50 values of 66.0, 22.0 and 3.7 nM against hRV-B14, hRV-A21, and hRV-A71, respectively. The reference compound—pleconaril—was less active (IC50 = 92.0, 73.0 and 94.0 nM against the same panel of rhinoviruses). Additionally, 33 demonstrated low systemic clearance, moderate oral bioavailability and long half-time in Sprague-Dawley male rats, hence it is an interesting candidate for the development of new antiviral lead compounds.
6. Anti-Inflammatory Agents
Inflammation is a complex and natural biological response of body tissues to the injuries and infections. Its function is based on initial cell injury elimination, clearance of necrotic cells or damaged tissues of the body and speeds repair up. Nevertheless, the presence of uncontrolled inflammation may lead to diverse diseases including inflammatory bowel disease, diabetic neuropathy, tumor initiation and progression, osteoarthritis and rheumatoid [119,120,121]. Non-Steroidal Anti-Inflammatory Drugs (NSAIDs)—the most frequently used pain relievers and anti-inflammatory agents—are inhibitors of cyclooxygenases COX-1 and COX-2 (enzymes crucial for the inflammatory process). While COX-1 is produced by kidneys and gastrointestinal tract and its inhibition may lead to many side effects, COX-2 is generated directly during the inflammation process, which is important from the clinical point of view. Nowadays, many traditional NSAIDs, including naproxen, ibuprofen, diclofenac, and aspirin, are non-selective COX inhibitors and many side effects are the consequence of their application. For that reason, the development of new, selective COX-inhibitors is presently ongoing.
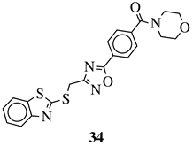
Recently, Yatam S. et al. reported synthesis, in vitro and in vivo evaluation of 2-mercapto-benzothiazole-linked 1,2,4-oxadiazoles as potent inflammatory agents [122]. Among obtained derivatives compound 34 (Table 4) occurred to be the most active and selective against COX-2 (the IC50 value of 5.0 M), however, its activity was far weaker than reference compounds—indomethacin and celecoxib—commonly used NSAIDs (the IC50 values of 0.36 and 0.038 M, respectively). Interestingly, in vivo studies of 34 proved its higher activity than that of ibuprofen in carrageenan-induced rat paw edema assay (81% of inflammation inhibition for 34 and 72% of inhibition for ibuprofen, 3h after carrageenan injection).
Table 4.
1,2,4-oxadiazole derivatives and their antimicrobial activity.
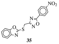
The same research group disclosed biological activity of benzoxazole derivatives containing 1,2,4-oxadiazole heterocycle as COX inhibitors [123]. Analog 35 (Table 4) exhibited the highest selectivity and activity in in vitro assay (the IC50 value against COX-2 is 4.83 M), but still weaker than reference compounds (indomethacin and celecoxib, the IC50 values of 13 and 0.34 M, respectively). However, in vivo activity of 35 in carrageenan-induced rat paw edema assay was higher than that of ibuprofen (85% and 64% of inhibition for 35 and ibuprofen, respectively, 5h after injection). It is also worth emphasizing that the above-mentioned derivatives showed antioxidant properties in DPPH radical antioxidant assay.
In 2018, a series of 1,2,4-oxadiazol-sulfonamide derivatives was synthesized as selective COX-2 inhibitors [124]. Obtained compounds were tested in vivo in carrageenan-induced rat paw edema assay. Additionally, hot plate and tail immersion methods on rats have been performed. Compound 36 (Table 4) showed the highest anti-inflammatory (55% inhibition of acute inflammation, 3 h after injection at 40 mg/kg single dose) and analgesic activity (5.7 to 14.3 and 4.5 to 8.0 s in hot plate and tail immersion assay, respectively, at a single dose of 40 mg/kg). Unfortunately, the activity of 36 was lower than those observed for reference compounds—aspirin (6.7 to 23.2 and 4.5 to 11.3 s in hot plate and tail immersion assay, respectively, at dose of 10 mg/kg) and indomethacin (71% of inhibition of inflammation, 3h after injection at dose 10 mg/kg), thus improving the activity by structure modification is required.
7. Anti-Allodynic Agents
Neuropathic pain is a serious worldwide problem. Nowadays, anti-depressants based on tricyclic structure, anticonvulsants and opioids have been used for chronic pain treatment. Nonetheless, some of them are not effective in all cases, and may cause sever undesirable side effects (even life-threatening addiction and abuses) during long-term treatment [130,131]. Recently, sigma receptors (σ1 and σ2), initially improperly recognized as opioid receptors (though still their function is not completely understood), have been identified as potential targets in the treatment of central nervous system (CNS) disorders and drug-resistant tumors [132,133].
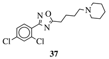
In 2018, Cao X. et al. synthesized and evaluated a series of 3-phenyl-1,2,4-oxadiazole derivatives as potent anti-allodynic agents possessing affinity to σ1 and σ1 receptors with poor activity to other CNS receptors at the same time [125]. Based on their previous study, the synthesis of hybrids of compounds based on 1,2,4-oxadiazole framework with six-membered heterocyclic rings of pyrimidine and pyridazinone as pharmacophore resulted in improvement of activity [134,135]. Synthesized compounds were evaluated in vitro in primary σ1 and σ2 binding assay using radiolabelled ligands [3H]-(+)-pentazocine and [3H]-di-o-tolylguanidine, respectively. 3-(2,4-Dichlorophenyl)-5-(4-(piperidin-1-yl)butyl)-1,2,4-oxadiazole 37 (Table 4) showed the highest affinity and selectivity to σ1 receptor with Ki values of 0.28 nM and 164 nM for σ1 and σ2, respectively. Surprisingly, 37 activity was higher than reference compound S1RA (Figure 12)—σ1 and σ2 agonist, currently entered into phase II clinical trials (11, and >2000 nM for σ1 and σ2, respectively). Additionally, SAR studies revealed that hydrophobic pharmacophore as well as the presence of halogen atoms in the structure of phenyl ring, were crucial for maintaining high biological activity and selectivity. Furthermore, the replacement of chlorine atoms with other halogens or exchanging the piperidine heterocycle drastically decreased activity. Moreover, in vivo studies of 37 in rat formalin test and Chronic Constriction Injury (CCI) pain model assay proved its astonishing potential as a drug against neuropathic pain with good safety profile (LD50 = 957 mg/kg). Thus, 37 seems to be an ideal candidate for further in vivo and clinical evaluation, however, no information has been published up to date.
Figure 12.
Chemical structure of S1RA.
8. Anticonvulsant Agents
Epilepsy is a neurological disorder characterized by frequent and unpredictable seizures and affects over 50 million people of all ages worldwide. Unfortunately, the cause of epilepsy occurrence is still unknown, although some incidents are the results of a stroke, brain injury, tumors, infections, or birth defects [136,137]. Nowadays, there are many examples of market-available drugs (including carbamazepine, phenobarbital, phenytoin, diazepam, etc.), nevertheless, approximately for 30% of patients those drugs are ineffective and the occurrence of some undesirable side effects such as dizziness, somnolence and gastrointestinal problems have been observed [138]. For that reason, the development of new, safe and effective anti-epilepsy agents is necessary.
Recently, Mohammadi-Khanaposhtani M. and coworkers presented a number of acridone- and coumarin-based 1,2,4-oxadiazoles, which were tested against pentylenetetrazole (PTZ)- and maximal electroshock (MES)-induced seizures in mice as potent anticonvulsant agents [126,127]. Examined compounds based on acridone as well as coumarin derivatives showed promising anti-epilepsy properties in PTZ and MES assays (with exception of coumarin derivatives in MES assay). It turned out that compound 38 (Table 4) (the ED50 values of 2.08 and 3.71 mg/kg in PTZ and MES, respectively) and 39 (Table 4) (100% of seizures protection in mice at 7 mg/kg dose in MES test) showed the highest anti-seizure activity. However, anticonvulsant potency was lower than that of diazepam as a reference (0.68 and 0.98 mg/kg in PTZ and MES assay, respectively, and 100% of seizures protection at 2 mg/kg dose in MES test). For that reason, structural modification (e.g., substitution of the aromatic ring) may show unrevealed features of acridone- and coumarin-fused 1,2,4-oxadiazoles in further development.
9. Anti-Alzheimer Agents
Alzheimer’s disease (AD) is a chronic neurodegenerative disease that usually slowly and continuously worsens over time leading to dementia, language-disorders, disorientation, mood swings and behavioral issues, resulting usually in death within 3 to 9 years after diagnosis. Importantly, all over the world AD impacts more than 40 million people leading to death of approximately 2 million people every year. Although, over 100 years have passed since the first AD case has been described, to date the cause of this disease is still poorly understood [139]. Acetylcholinesterase (AChE) and butyrylcholinoesteraze (BChE) are enzymes responsible for the hydrolysis of neurotransmitter in brain tissues—acetylcholine (ACh)—leading to a decrease of its concentration, which is characteristic feature of AD [140]. Nowadays, AChE inhibitors such as galantamine, donepezil, and rivastigmine are used for treating AD, however, their application leads only to a slowdown in the disease development or reduction of AD symptoms, but the progress cannot be stopped or reversed. Therefore, the development of new, effective treatment methods is of special significance.
Recently, Zhang J. et al. performed the synthesis and biological evaluation of coumarin-1,2,4-oxadiazole-fused hybrids as selective BChE and AChE antagonists with potent neuroprotective activity [128]. The previous study of Phidianidine B modifications led to the discovery of neuroprotectants against A25-35-induced neurotoxicity in human neuroblastoma (SH-SY5Y) cancer cell line [141,142]. Obtained 1,2,4-oxadiazole-coumarin derivatives were evaluated against AChE and BChE. All tested compounds exhibited moderate activity toward AChE with the IC50 values ranging from 89.7 to 45.6 M. Compound 40 (Table 4) turned out to be the most selective BChE inhibitor exhibiting the IC50 values of 8.2 and 77.6 M against BChE and AChE, respectively. Interestingly, the second enantiomer of 40 showed similar activity (IC50 = 9.6 and 72.5 M against BChE and AChE, respectively). Moreover, compound 40 demonstrated significant neuroprotective activity against A25-35-induced neurotoxicity in SH-SY5Y cell line (18.8% cell viability increases at 1 M, compared with A25-35 treated cells). Discovering the 1,2,4-oxadiazole/coumarin derivatives may lead to a new molecular framework for developing dual-AChE-BChE inhibitors as anti-Alzheimer agents.
10. Anti-Insomnia Agents
Insomnia is a health disruption associated with unsatisfactory or insufficient length of sleep which usually results in a lack of rest, concentration, and ability to learn, bad mood, irritability and sometimes may even lead to cardiovascular diseases, hypertension, dementia or depression. It is estimated that insomnia affects up to 70% of the general adult population making it an enormous public health problem [143]. For many years insomnia was predominantly treated with GABA antagonists, however, high risk of addiction and reduced next-day frame of mind encouraged further development of new anti-insomnia agents. In 1998 the discovery of orexin A and orexin B neuropeptides took place, and since then its antagonists, e.g., almorexant, lemborexant have reached clinical trials [144,145,146,147]. In 2014 the FDA agency approved Suvorexant (Figure 13) as the first Dual-Orexin Receptor Antagonist (DORA) for the insomnia treatment sold under the brand name Belsomra [148]. However, next-morning somnolence, muscle weakness, weird dreams, sleepwalking are common side effects, thus more potent compounds with better pharmacological profile and safety are still of demand [149].
Figure 13.
Chemical structures of Suvorexant and clinically tested 41.
In the recent study by Brotschi C. and Boss C. the development of new 1,2,4-oxadiazole derivatives as DORAs has been performed [129]. This work is a continuation of the considerable research in the discovery of a potent drug for primary insomnia treatment. In addition, compound 41 (Figure 13), obtained by the above-mentioned research group, entered phase I clinical trials [150,151,152].
Structural hybrids of Suvorexant and previously reported piperidine-containing orexin antagonist have been used as starting scaffold [151]. Extensive SAR studies led to the discovery of 42 (Table 4)—an extremely potent DORA, exhibiting the IC50 values of 28 and 4 nM against orexin receptors 1 and 2, respectively in FLIPR® calcium release assay. In vivo study on freely moving male Wistar rats revealed that 42, when administrated per os (P.O.) at 100 mg/kg significantly decreased the time spent in active-wake and increased the time spent in non-REM and REM sleep (−24%, +14.3%, and +35.2%, respectively) when compared to vehicle. Moreover, obtained results indicated that compound 42 was more effective than Suvorexant (time spent in active-weak, non-REM and REM, −17%, +21.6%, and +21.6%, respectively, when compared with the vehicle). Interestingly, 42 showed analogous results at a lower dose of 30 mg/kg. In summary, further development of 1,2,4-oxadiazole-based DORA agents hold great promise for the discovery of new potent anti-insomnia drugs.
11. Other Biological Activities
Kappa-Opioid Receptors play a pivotal role in modulation of dopamine, serotonin and glutamate release in CNS. Recent studies have suggested the KOR involvement in diverse neuropsychiatric or neurological disorders, e.g., epilepsy, addictions, alcohol abuse, depression, schizophrenia and anxiety, therefore the development of novel, efficient KOR antagonist with high selectivity and medication-like profile attracted the medicinal chemists’ interest [153,154,155].
In 2019, Guerrero et al. discovered novel and selective KOR inhibitors demonstrating potential application in migraine and stress-related mood disorders (e.g., anxiety, depression and drug abuse) treatment [156]. High-throughput screening campaign of the Molecular Libraries-Small Molecule Repository led to identification of hit compound 43 (Figure 14) exhibiting moderate KOR inhibition (the IC50 value of 410 nM) with low selectivity against other opioid receptors. Modifications of 43 led to the discovery of highly potent 44 (Figure 14) demonstrating greater selectivity and inhibitory properties [157]. Regrettably, 44 inhibited CYP2D6 and sodium channel site 2 at 10 M, which increases the probability of cardiovascular liabilities. For that reason, further structural modifications have been made and according to the extensive SAR studies, the selectivity and pharmacological properties were optimized, leading to discovery of the most promising derivative 45 (Figure 14). Analog 45 exhibited high activity against KOR (the IC50 value of 0.8 nM) and selectivity over Mu-Opioid Receptor (MOR) (the IC50 value of 110 nM) and Delta-Opioid Receptor (DOR) (the IC50 value of 6500 nM) [156]. Additionally, 45 was examined against a broad panel of 500 off-targets (inducing kinases, ion channels and other receptors or transporters) and no hits were identified. In vivo pharmacokinetic studies revealed good tissue-distribution and high plasma clearance (105 mL/min kg) after 1 mg/kg single-dose. Encouraged by such promising results, Guerrero and coworkers directed compound 45 into phase I clinical trials for the treatment of neuropsychiatric disorders.
Figure 14.
Chemical structures of KOR inhibitors 43–45 and Nrf2-ARE activators 46–49.
Nuclear Factor Erythroid 2-related factor (Nrf2) signaling pathway plays a crucial role in cells protecting from exogenous and endogenous stresses, e.g., oxidants, xenobiotics, carcinogens and excessive nutrient/metabolite supply. It has been proved that activation of Nrf2 defense response showed protective activity against neurodegenerative diseases (e.g., Alzheimer’s disease), aging, photo-oxidative stress, inflammation, pulmonary fibrosis, pulmonary injury, cardiovascular disease and cancer [158,159,160,161]. Therefore, Nrf2 signaling pathway is an attractive therapeutic target for chemoprevention and chemotherapy drug development as well as for discovery of agents preventing from chronic and neurodegenerative diseases.
In 2015, Xu L. et al. discovered novel, 1,2,4-oxadiazole-based derivatives as active Nrf2 activators—potent anti-inflammatory agents, which is a continuation of their previous work in Nrf2/ARE (Antioxidant Responsive Element) pathway activators development [162,163,164]. Preliminary screening of 7500 in-house compound collection via ARE-luciferase reporter assay using HepG2-ARE-C8 cells revealed moderate Nrf2 activator 46 (Figure 14). However, subsequent molecular similarity search from Chemdiv collection using 2D molecular fingerprint FCFC_6 method and Discovery Studio 3.0 for 3D shape-based similarity search identified 47 (Figure 14) with higher activity (12.41-fold increased ARE level at 40 M when compared with vehicle sample in luciferase reporter assay). Compound 47 demonstrated no cell toxicity against HCT-116 cell line with dose-dependently proliferative inductivity at remarkably high concentration of 40 M. Moreover, in vitro studies revealed that 47 was able to maximize the expression of several phase II antioxidant enzymes (HO-1, NQO1) and to enhance Nrf2 expression in a dose-dependent manner. Further structure modification based on SAR studies led to the discovery of 48 (Figure 14) exhibiting the most promising ARE inductivity and physicochemical properties, and therefore, it has been chosen as a lead compound for detailed evaluation [162]. In summary, 48 showed dose-dependent induction of the expression level of Nrf2 in qRT-PCR and Western-blot analysis. Moreover, in vivo studies in C57BL/6 female mice showed a great reduction of proinflammatory cytokines with no bodyweight affection after 48 administration.
The same research group developed novel derivatives of 48 applicable in the treatment of liver diseases. Broad structural modification emerged novel, lead compound 49 (Figure 14) possessing enhanced ARE-inducing activity and more favorable physicochemical properties when compared with previously evaluated 48 [165]. It has been proved that 49 promoted nuclear translocation of Nrf2 and increased its expression in normal liver cells L02 without hepatotoxicity. In addition, hepatocytes-protecting properties have been observed in vivo in APAP-induced acute liver damage. It is also worth emphasizing that 49 showed an ideal therapeutic effect on MPTP-induced Parkinson’s disease in mice, improving behavioral abnormalities and reducing chemically induced dopaminergic neuron loss and secretion of inflammatory factors [166]. Summarizing, Xu L. et al. discovered multipotent drugs which are able to activate the Nrf2 pathway with potential application in the treatment of neurodegenerative diseases and APAP-induced liver injury.
12. Conclusions
1,2,4-Oxadiazole nucleus and its derivatives seem to be an auspicious framework in the discovery and development of drugs exhibiting immense bioactivities. It has been revealed from foregoing considerations that several 1,2,4-oxadiazole-based compounds may have significant importance in the synthesis of novel agents potentially useful in the treatment of cancer, inflammation, insomnia, Alzheimer’s disease, and abuses or addictions. Some of compounds described in this paper are suitable for clinical studies and their evaluation is still ongoing, holding great promise for the development of novel drugs. Moreover, one of them has recently entered into phase I of clinical trials.
Recently, the proteolysis-targeting chimeras (PROTACs) strategy, based on bifunctional molecules designed to recruit an E3 ubiquitin ligase to a specific target protein, has become very popular. Recent reports indicate that the E3 complex and target protein facilitates the processive transfer of ubiquitin from the E3 complex to the target protein, thereby tagging the pathological protein for degradation via the proteasome [167]. To date, only a few bifunctional compounds have been successfully designed based on PROTACs technology. Considering the universality of oxadiazole based compounds, their broad spectrum of biological activities as well as simplicity of chemical modifications, their application in such technologies should be invaluable in the near future.
The ever-growing interest in this class of compounds is forcing scientists to develop new, efficient and environmentally friendly methods of synthesis. One of the latest synthetic approaches is the application of mechanochemistry. These techniques (grinding or milling) are a powerful strategy for the rapid, clean, and solvent-free synthesis of many biologically active compounds [168]. These reactions are usually performed in a mixer ball mill or mortar grinder and are of great value due to the possibility of reducing or completely eliminating the use of solvents, enhancing the conversion of substrates or even obtaining products that were unavailable with the previously used methods [169]. In addition, in many cases, the use of the above techniques allows for a significant reduction of reaction time and saving of synthesis costs. In the future the synthetic strategy may contribute in obtaining many new drug candidates, including very promising derivatives based on 1,2,4-oxadiazole scaffold.
Funding
This research received no external funding.
Conflicts of Interest
The authors declare no conflict of interest.
Abbreviations
The following abbreviations are used in this manuscript:
| AChE | Acetylcholinesterase |
| AD | Alzheimer Disease |
| AIDS | Acquired Immunodeficiency Syndrome |
| APAP | Acetaminophen |
| AMF | Acute Myeloid Leukemia |
| ARE | Antioxidant Responsive Element |
| BChE | Butyrylcholinoesterase |
| CCI | Chronic Constriction Injury |
| CDI | 1,1′-Carbonyldiimidazole |
| CNS | Central Nervous System |
| COX | Cyclooxygenase |
| CXCR4 | Chemokine Receptor Type 4 |
| DCC | N,N’-Dicyclohexylcarbodiimide |
| DOR | Delta-Opioid Receptor |
| DORA | Dual-Orexin Receptor Antagonist |
| EDC | 1-Ethyl-3-(3-dimethylaminopropyl)carbodiimide |
| EDG | Electron Donating Group |
| ELISA | Enzyme-Linked Immunosorbent Assay |
| ER | Estrogen Receptor |
| Et | Ethyl |
| EWG | Electron Withdrawing Group |
| FDA | Food and Drug Administration |
| GABA | gamma-Aminobutyric Acid |
| hCA | Human Carbonic Anhydrase |
| HDAC | Human Deacetylase |
| HDSirt2 | Human Deacetylase Sirtuin 2 |
| HEDMs | High Energy Density Materials |
| HIV | Human Immunodeficiency Virus |
| hRV | Human Rhinovirus |
| KOR | Kappa-Opioid Receptor |
| Me | Methyl |
| MES | Maximal Electroshock |
| MOR | Mu-Opioid Receptor |
| MPTP | 1-Methyl-4-phenyl-1,2,3,6-tetrahydropyridine |
| MRSA | Methicillin-Resistant Staphylococcus aureus |
| MWI | Microwave Irradiation |
| NAD+ | Oxidized Nicotinamide Adenine Dinucleotide |
| Nrf2 | Nuclear Factor Erythroid 2 |
| NSAIDs | NON-Steroidal Anti-Inflammatory Drugs |
| PBP2 | Penicillin-Binding Protein 2 |
| Ph | Phenyl |
| P.O. | per os |
| PROTACs | Proteolysis-targeting chimeras |
| PTP1B | Protein-Tyrosine Phosphate 1B |
| PTZ | Pentylenetetrazole |
| RT | Room Temperature |
| REM | Rapid-Eye Movement |
| RET | Rearranged During Transfection |
| SAR | Structural-Activity Relationship |
| T3P | Propylphosphonic anhydride |
| TBTU | 2-(1H-Benzotriazole-1-yl)-1,1,3,3-tetramethylaminiumtetrafluoroborate |
| TBAF | Tetra-n-butylammonium fluoride |
| TEA | Triethylamine |
| TfOH | Trifluoromethanesulfonic acid |
| THF | Tetrahydrofuran |
| VRE | Vancomycin-Resistant Enterococcus faecium |
| VRSA | Vancomycin-Resistant Staphylococcus aureus |
References
- Salahuddin; Mazumder, A.; Yar, M.S.; Mazumder, R.; Chakraborthy, G.S.; Ahsan, M.J.; Rahman, M.U. Updates on synthesis and biological activities of 1,3,4-oxadiazole: A review. Synth. Commun. 2017, 47, 1805–1847. [Google Scholar] [CrossRef]
- Bajaj, S.; Asati, V.; Singh, J.; Roy, P.P. 1,3,4-Oxadiazoles: An emerging scaffold to target growth factors, enzymes and kinases as anticancer agents. Eur. J. Med. Chem. 2015, 97, 124–141. [Google Scholar] [CrossRef]
- Bala, S.; Saini, V.; Kamboj, S.; Prasad, D.N. Review Exploring Antiinflammatory Potential of 1,3,4-Oxadiazole Derivatives as Promising Lead. Int. J. Pharm. Sci. Rev. Res. 2012, 17, 84–89. [Google Scholar]
- Khalilullah, H.J.; Ahsan, M.; Hedaitullah, M.; Khan, S.; Ahmed, B. 1,3,4-Oxadiazole: A Biologically Active Scaffold. Mini-Rev. Med. Chem. 2012, 12, 789–801. [Google Scholar] [CrossRef] [PubMed]
- Bajaj, S.; Roy, P.P.; Singh, J. 1,3,4-Oxadiazoles as Telomerase Inhibitor: Potential Anticancer Agents. Anti-Cancer Agents Med. Chem. 2018, 17, 1869–1883. [Google Scholar] [CrossRef] [PubMed]
- WebOfScience. Available online: http://www.webofknowledge.com./ (accessed on 16 December 2019).
- Wei, H.; He, C.; Zhang, J.; Shreeve, J.M. Combination of 1,2,4-Oxadiazole and 1,2,5-Oxadiazole Moieties for the Generation of High-Performance Energetic Materials. Angew. Chem. 2015, 127, 9499–9503. [Google Scholar] [CrossRef]
- Boiani, M. 1,2,5-Oxadiazole N-oxide derivatives as potential anti-cancer agents: Synthesis and biological evaluation. Part IV. Eur. J. Med. Chem. 2001, 36, 771–782. [Google Scholar] [CrossRef]
- Fershtat, L.L.; Makhova, N.N. 1,2,5-Oxadiazole-Based High-Energy-Density Materials: Synthesis and Performance. ChemPlusChem 2020, 85, 13–42. [Google Scholar] [CrossRef]
- Nguyen, M.T.; Hegarty, A.F.; Elguero, J. Can 1,2,3-Oxadiazole be Stable? Angew. Chem. Int. Ed. Engl. 1985, 24, 713–715. [Google Scholar] [CrossRef]
- Tiemann, F.; Krüger, P. Ueber Amidoxime und Azoxime. Berichte Der Dtsch. Chem. Ges. 1884, 17, 1685–1698. [Google Scholar] [CrossRef]
- Newman, H. Photochemistry of 3,5-diphenyl-1,2,4-oxadiazole II. Photolysis in protic media. Tetrahedron Lett. 1968, 9, 2421–2424. [Google Scholar] [CrossRef]
- Newman, H. Photochemistry of 3,5-diphenyl-1,2,4-oxadiazole I. Photolysis in aprotic media. Tetrahedron Lett. 1968, 9, 2417–2420. [Google Scholar] [CrossRef]
- Anderson, G.W.; Faith, H.E.; Marson, H.W.; Winnek, P.S.; Roblin, R.O. Studies in Chemotherapy. VI. Sulfanilamido Heterocycles. J. Am. Chem. Soc. 1942, 64, 2902–2905. [Google Scholar] [CrossRef]
- Silvestrini, B.; Catanese, B. Ricerche sul metabolismo del 5-beta-dietilamino-3-alfa -fenilpropil-1,2,4-oxadiazolo. Bollettino Chimico Farmaceutico 1964, 103, 447–450. [Google Scholar]
- Silvestrini, B. Un antitosse-antinfiammatorio, l’Oxolamina (Perebron). Minerva Medica 1960, 51, 4091–4094. [Google Scholar]
- Parra, M.; Hidalgo, P.; Alderete, J. New supramolecular liquid crystals induced by hydrogen bonding between pyridyl-1,2,4-oxadiazole derivatives and 2,5-thiophene dicarboxylic acid. Liq. Cryst. 2005, 32, 449–455. [Google Scholar] [CrossRef]
- Xiong, H.; Yang, H.; Lei, C.; Yang, P.; Hu, W.; Cheng, G. Combinations of furoxan and 1,2,4-oxadiazole for the generation of high performance energetic materials. Dalton Trans. 2019, 48, 14705–14711. [Google Scholar] [CrossRef]
- Yan, T.; Cheng, G.; Yang, H. 1,2,4-Oxadiazole-Bridged Polynitropyrazole Energetic Materials with Enhanced Thermal Stability and Low Sensitivity. ChemPlusChem 2019, 84, 1567–1577. [Google Scholar] [CrossRef]
- Pitasse-Santos, P.; Sueth-Santiago, V.; Lima, M. 1,2,4- and 1,3,4-Oxadiazoles as Scaffolds in the Development of Antiparasitic Agents. J. Braz. Chem. Soc. 2017, 29, 435–456. [Google Scholar] [CrossRef]
- Rosa, M.F.; Morcelli, A.C.T.; Lobo, V.S. 1,2,4-Oxadiazole: A Brief Review From The Literature About the Synthesis and Pharmacological Applications. Vis ao Acadêmica Curitiba 2015, 16, 130–157. [Google Scholar] [CrossRef]
- Coupar, I.M.; Hedges, A.; Metcalfe, H.L.; Turner, P. Effect of aminophylline, butalamine and imolamine on human isolated smooth muscle. J. Pharm. Pharmacol. 1969, 21, 474–475. [Google Scholar] [CrossRef] [PubMed]
- Rotbart, H.A.; Webster, A.D. Treatment of Potentially Life-Threatening Enterovirus Infections with Pleconaril. Clin. Infect. Dis. 2001, 32, 228–235. [Google Scholar] [CrossRef] [PubMed]
- McDonald, C.M.; Campbell, C.; Torricelli, R.E.; Finkel, R.S.; Flanigan, K.M.; Goemans, N.; Heydemann, P.; Kaminska, A.; Kirschner, J.; Muntoni, F.; et al. Ataluren in patients with nonsense mutation Duchenne muscular dystrophy (ACT DMD): A multicentre, randomised, double-blind, placebo-controlled, phase 3 trial. Lancet 2017, 390, 1489–1498. [Google Scholar] [CrossRef]
- Carbone, M.; Li, Y.; Irace, C.; Mollo, E.; Castelluccio, F.; Di Pascale, A.; Cimino, G.; Santamaria, R.; Guo, Y.W.; Gavagnin, M. Structure and Cytotoxicity of Phidianidines A and B: First Finding of 1,2,4-Oxadiazole System in a Marine Natural Product. Org. Lett. 2011, 13, 2516–2519. [Google Scholar] [CrossRef] [PubMed]
- Vitale, R.M.; Gatti, M.; Carbone, M.; Barbieri, F.; Felicità, V.; Gavagnin, M.; Florio, T.; Amodeo, P. A minimalist hybrid ligand/receptor-based pharmacophore model for CXCR4 applied to a small-library of marine natural products led to the identification of Phidianidine A as a new CXCR4 ligand exhibiting antagonist activity. ACS Chem. Biol. 2013, 8, 2762–2770. [Google Scholar] [CrossRef] [PubMed]
- Zhang, L.; Jiang, C.S.; Gao, L.X.; Gong, J.X.; Wang, Z.H.; Li, J.Y.; Li, J.; Li, X.W.; Guo, Y.W. Design, synthesis and in vitro activity of phidianidine B derivatives as novel PTP1B inhibitors with specific selectivity. Bioorg. Med. Chem. Lett. 2016, 26, 778–781. [Google Scholar] [CrossRef]
- Hermit, M.B.; Greenwood, J.R.; Bräuner-Osborne, H. Mutation-induced Quisqualic Acid and Ibotenic Acid Affinity at the Metabotropic Glutamate Receptor Subtype 4. J. Biol. Chem. 2004, 279, 34811–34817. [Google Scholar] [CrossRef]
- Kozikowski, A.P.; Steensma, D.; Varasi, M.; Pshenichkin, S.; Surina, E.; Wroblewski, J.T. α-substituted quisqualic acid analogs: New metabotropic glutamate receptor group II selective antagonists. Bioorg. Med. Chem. Lett. 1998, 8, 447–452. [Google Scholar] [CrossRef]
- Gangloff, A.R.; Litvak, J.; Shelton, E.J.; Sperandio, D.; Wang, V.R.; Rice, K.D. Synthesis of 3,5-disubstituted-1,2,4-oxadiazoles using tetrabutylammonium fluoride as a mild and efficient catalyst. Tetrahedron Lett. 2001, 42, 1441–1443. [Google Scholar] [CrossRef]
- Amarasinghe, K.K.; Maier, M.B.; Srivastava, A.; Gray, J.L. One-pot synthesis of 1,2,4-oxadiazoles from carboxylic acid esters and amidoximes using potassium carbonate. Tetrahedron Lett. 2006, 47, 3629–3631. [Google Scholar] [CrossRef]
- Rauf, A.; Sharma, S.; Gangal, S. An efficient, one-pot synthesis of novel 3,5-disubstituted-1,2,4- oxadiazoles from long-chain carboxylic acid derivatives. Acta Chim. Slov. 2009, 56, 369–372. [Google Scholar]
- Sureshbabu, V.V.; Hemantha, H.P.; Naik, S.A. Synthesis of 1,2,4-oxadiazole-linked orthogonally urethane-protected dipeptide mimetics. Tetrahedron Lett. 2008, 49, 5133–5136. [Google Scholar] [CrossRef]
- Augustine, J.K.; Vairaperumal, V.; Narasimhan, S.; Alagarsamy, P.; Radhakrishnan, A. Propylphosphonic anhydride (T3P®): An efficient reagent for the one-pot synthesis of 1,2,4-oxadiazoles, 1,3,4-oxadiazoles, and 1,3,4-thiadiazoles. Tetrahedron 2009, 65, 9989–9996. [Google Scholar] [CrossRef]
- Kaboudin, B.; Malekzadeh, L. Organic reactions in water: An efficient method for the synthesis of 1,2,4-oxadiazoles in water. Tetrahedron Lett. 2011, 52, 6424–6426. [Google Scholar] [CrossRef]
- de Freitas, J.J.R.; de Freitas, J.C.R.; da Silva, L.P.; de Freitas Filho, J.R.; Kimura, G.Y.; Srivastava, R.M. Microwave-induced one-pot synthesis of 4-[3-(aryl)-1,2,4-oxadiazol-5-yl]-butan-2-ones under solvent free conditions. Tetrahedron Lett. 2007, 48, 6195–6198. [Google Scholar] [CrossRef]
- Kaboudin, B.; Saadati, F. Novel method for the synthesis of 1,2,4-oxadiazoles using alumina supported ammonium fluoride under solvent-free condition. J. Heterocycl. Chem. 2005, 42, 699–701. [Google Scholar] [CrossRef]
- Rostamizadeh, S.; Ghaieni, H.R.; Aryan, R.; Amani, A.M. Clean one-pot synthesis of 1,2,4-oxadiazoles under solvent-free conditions using microwave irradiation and potassium fluoride as catalyst and solid support. Tetrahedron 2010, 66, 494–497. [Google Scholar] [CrossRef]
- Kaboudin, B.; Saadati, F. Magnesia-supported hydroxylamine hydrochloride in the presence of sodium carbonate as an efficient reagent for the synthesis of 1,2,4-oxadiazoles from nitriles. Tetrahedron Lett. 2007, 48, 2829–2832. [Google Scholar] [CrossRef]
- Adib, M.; Jahromi, A.H.; Tavoosi, N.; Mahdavi, M.; Bijanzadeh, H.R. Microwave-assisted efficient, one-pot, three-component synthesis of 3,5-disubstituted 1,2,4-oxadiazoles under solvent-free conditions. Tetrahedron Lett. 2006, 47, 2965–2967. [Google Scholar] [CrossRef]
- Rajagopalan, P. Dipolar addition reactions of nitrile oxides. VII. A new general method of synthesis of 3,5-disubstituted 1,2,4-oxadiazoles. Tetrahedron Lett. 1969, 10, 311–312. [Google Scholar] [CrossRef]
- Quadrelli, P.; Invernizzi, A.G.; Falzoni, M.; Caramella, P. Cycloadditions of nitrile oxides to amidoximes. A general synthesis of 3,5-disubstituted 1,2,4-oxadiazole-4-oxides. Tetrahedron 1997, 53, 1787–1796. [Google Scholar] [CrossRef]
- Bokach, N.A.; Khripoun, A.V.; Kukushkin, V.Y.; Haukka, M.; Pombeiro, A.J.L. A Route to 1,2,4-Oxadiazoles and Their Complexes via Platinum-Mediated 1,3-Dipolar Cycloaddition of Nitrile Oxides to Organonitriles. Inorg. Chem. 2003, 42, 896–903. [Google Scholar] [CrossRef]
- Baykov, S.; Sharonova, T.; Shetnev, A.; Rozhkov, S.; Kalinin, S.; Smirnov, A.V. The first one-pot ambient-temperature synthesis of 1,2,4-oxadiazoles from amidoximes and carboxylic acid esters. Tetrahedron 2017, 73, 945–951. [Google Scholar] [CrossRef]
- Zarei, M. A Mild and Efficient One-Pot Preparation of 1,2,4-Oxadiazoles from Nitriles and Carboxylic Acids Using Vilsmeier Reagent. ChemistrySelect 2018, 3, 11273–11276. [Google Scholar] [CrossRef]
- Vinaya, K.; Chandrashekara, G.K.; Shivaramu, P.D. One-pot synthesis of 3,5-diaryl substituted-1,2,4-oxadiazoles using gem -dibromomethylarenes. Can. J. Chem. 2019, 97, 690–696. [Google Scholar] [CrossRef]
- Golushko, A.A.; Khoroshilova, O.V.; Vasilyev, A.V. Synthesis of 1,2,4-Oxadiazoles by Tandem Reaction of Nitroalkenes with Arenes and Nitriles in the Superacid TfOH. J. Org. Chem. 2019, 84, 7495–7500. [Google Scholar] [CrossRef]
- Cai, B.G.; Chen, Z.L.; Xu, G.Y.; Xuan, J.; Xiao, W.J. [3 + 2]-Cycloaddition of 2H -Azirines with Nitrosoarenes: Visible-Light-Promoted Synthesis of 2,5-Dihydro-1,2,4-oxadiazoles. Org. Lett. 2019, 21, 4234–4238. [Google Scholar] [CrossRef]
- James, S.L.; Adams, C.J.; Bolm, C.; Braga, D.; Collier, P.; Friščić, T.; Grepioni, F.; Harris, K.D.M.; Hyett, G.; Jones, W.; et al. Mechanochemistry: Opportunities for new and cleaner synthesis. Chem. Soc. Rev. 2012, 41, 413–447. [Google Scholar] [CrossRef]
- Bray, F.; Ferlay, J.; Soerjomataram, I.; Siegel, R.L.; Torre, L.A.; Jemal, A. Global cancer statistics 2018: GLOBOCAN estimates of incidence and mortality worldwide for 36 cancers in 185 countries. CA Cancer J. Clin. 2018, 68, 394–424. [Google Scholar] [CrossRef]
- Zhang, H.Z.; Kasibhatla, S.; Kuemmerle, J.; Kemnitzer, W.; Ollis-Mason, K.; Qiu, L.; Crogan-Grundy, C.; Tseng, B.; Drewe, J.; Cai, S.X. Discovery and Structure-Activity Relationship of 3-Aryl-5-aryl-1,2,4-oxadiazoles as a New Series of Apoptosis Inducers and Potential Anticancer Agents. J. Med. Chem. 2005, 48, 5215–5223. [Google Scholar] [CrossRef]
- Pace, A.; Buscemi, S.; Piccionello, A.P.; Pibiri, I. Recent Advances in the Chemistry of 1,2,4-Oxadiazoles. In Advances in Heterocyclic Chemistry; Academic Press Inc.: Cambridge, MA, USA, 2015; Volume 116, pp. 85–136. [Google Scholar] [CrossRef]
- Rasool, I.; Ahmad, M.; Khan, Z.A.; Mansha, A.; Maqbool, T.; Zahoor, A.F.; Aslam, S. Recent advancements in oxadiazole-based anticancer agents. Trop. J. Pharm. Res. 2017, 16, 723. [Google Scholar] [CrossRef]
- Maftei, C.V.; Fodor, E.; Jones, P.G.; Franz, M.H.; Kelter, G.; Fiebig, H.; Neda, I. Synthesis and characterization of novel bioactive 1,2,4-oxadiazole natural product analogs bearing the N-phenylmaleimide and N-phenylsuccinimide moieties. Beilstein J. Org. Chem. 2013, 9, 2202–2215. [Google Scholar] [CrossRef] [PubMed]
- Maftei, C.V.; Fodor, E.; Jones, P.G.; Daniliuc, C.G.; Franz, M.H.; Kelter, G.; Fiebig, H.H.; Tamm, M.; Neda, I. Novel 1,2,4-oxadiazoles and trifluoromethylpyridines related to natural products: Synthesis, structural analysis and investigation of their antitumor activity. Tetrahedron 2016, 72, 1185–1199. [Google Scholar] [CrossRef]
- Maftei, C.V.; Fodor, E.; Jones, P.G.; Freytag, M.; Franz, M.H.; Kelter, G.; Fiebig, H.H.; Tamm, M.; Neda, I. N -heterocyclic carbenes (NHC) with 1,2,4-oxadiazole-substituents related to natural products: Synthesis, structure and potential antitumor activity of some corresponding gold(I) and silver(I) complexes. Eur. J. Med. Chem. 2015, 101, 431–441. [Google Scholar] [CrossRef] [PubMed]
- Krishna, C.; Bhargavi, M.V.; Krupadanam, G.L.D. Design, Synthesis, and Cytotoxicity of Semisynthetic Betulinic Acid-1,2,4-Oxadiazole Amide Derivatives. Russ. J. Gen. Chem. 2018, 88, 312–318. [Google Scholar] [CrossRef]
- Challa, K.; Bhargavi, M.V.; Krupadanam, G.L.D. Design, semisynthesis and cytotoxic activity of novel ester derivatives of betulinic acid-1,2,4 oxadiazoles. J. Asian Nat. Prod. Res. 2016, 18, 1158–1168. [Google Scholar] [CrossRef]
- Hande, K. Etoposide: Four decades of development of a topoisomerase II inhibitor. Eur. J. Cancer 1998, 34, 1514–1521. [Google Scholar] [CrossRef]
- Mironov, M.E.; Pokrovsky, M.A.; Kharitonov, Y.V.; Shakirov, M.M.; Pokrovsky, A.G.; Shults, E.E. Furanolabdanoid-based 1,2,4-oxadiazoles: Synthesis and cytotoxic activity. ChemistrySelect 2016, 1, 417–424. [Google Scholar] [CrossRef]
- Guest, J.F.; Panca, M.; Sladkevicius, E.; Gough, N.; Linch, M. Cost Effectiveness of First-Line Treatment with Doxorubicin/Ifosfamide Compared to Trabectedin Monotherapy in the Management of Advanced Soft Tissue Sarcoma in Italy, Spain, and Sweden. Sarcoma 2013, 2013, 1–19. [Google Scholar] [CrossRef]
- Carvalho, C.; Santos, R.; Cardoso, S.; Correia, S.; Oliveira, P.; Santos, M.; Moreira, P. Doxorubicin: The Good, the Bad and the Ugly Effect. Curr. Med. Chem. 2009, 16, 3267–3285. [Google Scholar] [CrossRef]
- Kucukoglu, K.; Tugrak, M.; Demirtas, A.; Sakagami, H.; Gul, H.I. Synthesis and Cytotoxic Activity of (4-Substituted-benzylidene)-(3-Phenyl-1,2,4-Oxadiazol-5-YL)Methylamines. Pharm. Chem. J. 2016, 50, 234–238. [Google Scholar] [CrossRef]
- Moniot, S.; Forgione, M.; Lucidi, A.; Hailu, G.S.; Nebbioso, A.; Carafa, V.; Baratta, F.; Altucci, L.; Giacché, N.; Passeri, D.; et al. Development of 1,2,4-Oxadiazoles as Potent and Selective Inhibitors of the Human Deacetylase Sirtuin 2: Structure–Activity Relationship, X-ray Crystal Structure, and Anticancer Activity. J. Med. Chem. 2017, 60, 2344–2360. [Google Scholar] [CrossRef] [PubMed]
- Avanzo, R.E.; Padrón, J.M.; D’Accorso, N.B.; Fascio, M.L. Synthesis and in vitro antiproliferative activities of (5-aryl-1,2,4-oxadiazole-3-yl) methyl D-ribofuranosides. Bioorg. Med. Chem. Lett. 2017, 27, 3674–3677. [Google Scholar] [CrossRef] [PubMed]
- Abd el hameid, M.K.; Mohammed, M.R. Design, synthesis, and cytotoxicity screening of 5-aryl-3-(2-(pyrrolyl) thiophenyl)-1, 2, 4-oxadiazoles as potential antitumor molecules on breast cancer MCF-7 cells. Bioorg. Chem. 2019, 86, 609–623. [Google Scholar] [CrossRef]
- de Oliveira, V.N.M.; dos Santos, F.G.; Ferreira, V.P.G.; Araújo, H.M.; do Ó Pessoa, C.; Nicolete, R.; de Oliveira, R.N. Focused microwave irradiation-assisted synthesis of N-cyclohexyl-1,2,4-oxadiazole derivatives with antitumor activity. Synth. Commun. 2018, 48, 2522–2532. [Google Scholar] [CrossRef]
- Sateesh Kumar, P.; Umadevi, P. Novel Bis(1,2,4-oxadiazolyl) Fused Thiazole Derivatives: Synthesis and Anticancer Activity. Russ. J. Gen. Chem. 2018, 88, 2611–2615. [Google Scholar] [CrossRef]
- Pervaram, S.; Ashok, D.; Sarasija, M.; Reddy, C.V.R.; Sridhar, G. Synthesis and Anticancer Activity of 1,2,4-Oxadiazole Fused Benzofuran Derivatives. Russ. J. Gen. Chem. 2018, 88, 1219–1223. [Google Scholar] [CrossRef]
- Chakrapani, B.; Ramesh, V.; Pourna Chander Rao, G.; Ramachandran, D.; Madhukar Reddy, T.; Kalyan Chakravarthy, A.; Sridhar, G. Synthesis and Anticancer Evaluation of 1,2,4-Oxadiazole Linked Imidazothiadiazole Derivatives. Russ. J. Gen. Chem. 2018, 88, 1020–1024. [Google Scholar] [CrossRef]
- Srinivas, M.; Satyaveni, S.; Ram, B. Synthesis and Anticancer Activity of 1,2,4-Oxadiazol Linked Benzimidazole Derivatives. Russ. J. Gen. Chem. 2018, 88, 2653–2657. [Google Scholar] [CrossRef]
- Chiacchio, M.A.; Legnani, L.; Campisi, A.; Paola, B.; Giuseppe, L.; Iannazzo, D.; Veltri, L.; Giofrè, S.; Romeo, R. 1,2,4-Oxadiazole-5-ones as analogues of tamoxifen: Synthesis and biological evaluation. Org. Biomol. Chem. 2019, 17, 4892–4905. [Google Scholar] [CrossRef]
- Krasavin, M.; Shetnev, A.; Sharonova, T.; Baykov, S.; Tuccinardi, T.; Kalinin, S.; Angeli, A.; Supuran, C.T. Heterocyclic periphery in the design of carbonic anhydrase inhibitors: 1,2,4-Oxadiazol-5-yl benzenesulfonamides as potent and selective inhibitors of cytosolic hCA II and membrane-bound hCA IX isoforms. Bioorg. Chem. 2018, 76, 88–97. [Google Scholar] [CrossRef] [PubMed]
- Krasavin, M.; Shetnev, A.; Sharonova, T.; Baykov, S.; Kalinin, S.; Nocentini, A.; Sharoyko, V.; Poli, G.; Tuccinardi, T.; Presnukhina, S.; et al. Continued exploration of 1,2,4-oxadiazole periphery for carbonic anhydrase-targeting primary arene sulfonamides: Discovery of subnanomolar inhibitors of membrane-bound hCA IX isoform that selectively kill cancer cells in hypoxic environment. Eur. J. Med. Chem. 2019, 164, 92–105. [Google Scholar] [CrossRef] [PubMed]
- Cascioferro, S.; Attanzio, A.; Di Sarno, V.; Musella, S.; Tesoriere, L.; Cirrincione, G.; Diana, P.; Parrino, B. New 1,2,4-Oxadiazole Nortopsentin Derivatives with Cytotoxic Activity. Mar. Drugs 2019, 17, 35. [Google Scholar] [CrossRef] [PubMed]
- Polothi, R.; Raolji, G.S.B.; Kuchibhotla, V.S.; Sheelam, K.; Tuniki, B.; Thodupunuri, P. Synthesis and biological evaluation of 1,2,4-oxadiazole linked 1,3,4-oxadiazole derivatives as tubulin binding agents. Synth. Commun. 2019, 49, 1603–1612. [Google Scholar] [CrossRef]
- Yang, F.; Shan, P.; Zhao, N.; Ge, D.; Zhu, K.; Jiang, C.s.; Li, P.; Zhang, H. Development of hydroxamate-based histone deacetylase inhibitors containing 1,2,4-oxadiazole moiety core with antitumor activities. Bioorg. Med. Chem. Lett. 2019, 29, 15–21. [Google Scholar] [CrossRef] [PubMed]
- Yang, F.; Zhang, T.; Wu, H.; Yang, Y.; Liu, N.; Chen, A.; Li, Q.; Li, J.; Qin, L.; Jiang, B.; et al. Design and Optimization of Novel Hydroxamate-Based Histone Deacetylase Inhibitors of Bis-Substituted Aromatic Amides Bearing Potent Activities against Tumor Growth and Metastasis. J. Med. Chem. 2014, 57, 9357–9369. [Google Scholar] [CrossRef]
- Yang, Z.; Shen, M.; Tang, M.; Zhang, W.; Cui, X.; Zhang, Z.; Pei, H.; Li, Y.; Hu, M.; Bai, P.; et al. Discovery of 1,2,4-oxadiazole-Containing hydroxamic acid derivatives as histone deacetylase inhibitors potential application in cancer therapy. Eur. J. Med. Chem. 2019, 178, 116–130. [Google Scholar] [CrossRef]
- Han, M.; Li, S.; Ai, J.; Sheng, R.; Hu, Y.; Hu, Y.; Geng, M. Discovery of 4-chloro-3-(5-(pyridin-3-yl)-1,2,4-oxadiazole-3-yl)benzamides as novel RET kinase inhibitors. Bioorg. Med. Chem. Lett. 2016, 26, 5679–5684. [Google Scholar] [CrossRef]
- Avanzo, R.E.; Anesini, C.; Fascio, M.L.; Errea, M.I.; D’Accorso, N.B. 1,2,4-Triazole D-ribose derivatives: Design, synthesis and antitumoral evaluation. Eur. J. Med. Chem. 2012, 47, 104–110. [Google Scholar] [CrossRef]
- authors listed, N. Tamoxifen for early breast cancer: An overview of the randomised trials. Lancet 1998, 351, 1451–1467. [Google Scholar] [CrossRef]
- Eckermann, S.D.; Martin, A.J.; Stockier, M.R.; Simes, R.J. The benefits and costs of tamoxifen for breast cancer prevention. Aust. N. Z. J. Public Health 2003, 27, 34–40. [Google Scholar] [CrossRef] [PubMed]
- Vogel, V.G. Effects of Tamoxifen vs Raloxifene on the Risk of Developing Invasive Breast Cancer and Other Disease Outcomes: The NSABP Study of Tamoxifen and Raloxifene (STAR) P-2 Trial. JAMA 2006, 295, 2727–2741. [Google Scholar] [CrossRef] [PubMed]
- Fisher, B.; Costantino, J.P.; Wickerham, D.L.; Redmond, C.K.; Kavanah, M.; Cronin, W.M.; Vogel, V.; Robidoux, A.; Dimitrov, N.; Atkins, J.; et al. Tamoxifen for Prevention of Breast Cancer: Report of the National Surgical Adjuvant Breast and Bowel Project P-1 Study. JNCI J. Natl. Cancer Inst. 1998, 90, 1371–1388. [Google Scholar] [CrossRef] [PubMed]
- Gorin, M.B.; Day, R.; Costantino, J.P.; Fisher, B.; Redmond, C.K.; Wickerham, L.; Gomolin, J.E.; Margolese, R.G.; Mathen, M.K.; Bowman, D.M.; et al. Long-term tamoxifen citrate use and potential ocular toxicity. Am. J. Ophthalmol. 1998, 125, 493–501. [Google Scholar] [CrossRef]
- Krasavin, M.; Korsakov, M.; Dorogov, M.; Tuccinardi, T.; Dedeoglu, N.; Supuran, C.T. Probing the ‘bipolar’ nature of the carbonic anhydrase active site: Aromatic sulfonamides containing 1,3-oxazol-5-yl moiety as picomolar inhibitors of cytosolic CA I and CA II isoforms. Eur. J. Med. Chem. 2015, 101, 334–347. [Google Scholar] [CrossRef] [PubMed]
- Krasavin, M.; Korsakov, M.; Zvonaryova, Z.; Semyonychev, E.; Tuccinardi, T.; Kalinin, S.; Tanç, M.; Supuran, C.T. Human carbonic anhydrase inhibitory profile of mono- and bis-sulfonamides synthesized via a direct sulfochlorination of 3- and 4-(hetero)arylisoxazol-5-amine scaffolds. Bioorg. Med. Chem. 2017, 25, 1914–1925. [Google Scholar] [CrossRef] [PubMed]
- Supuran, C.T.; Kalinin, S.; Tanç, M.; Sarnpitak, P.; Mujumdar, P.; Poulsen, S.A.; Krasavin, M. Isoform-selective inhibitory profile of 2-imidazoline-substituted benzene sulfonamides against a panel of human carbonic anhydrases. J. Enzym. Inhib. Med. Chem. 2016, 31, 197–202. [Google Scholar] [CrossRef]
- Krasavin, M.; Korsakov, M.; Ronzhina, O.; Tuccinardi, T.; Kalinin, S.; Tanç, M.; Supuran, C.T. Primary mono- and bis-sulfonamides obtained via regiospecific sulfochlorination of N-arylpyrazoles: Inhibition profile against a panel of human carbonic anhydrases. J. Enzym. Inhib. Med. Chem. 2017, 32, 920–934. [Google Scholar] [CrossRef]
- De Falco, V.; Buonocore, P.; Muthu, M.; Torregrossa, L.; Basolo, F.; Billaud, M.; Gozgit, J.M.; Carlomagno, F.; Santoro, M. Ponatinib (AP24534) Is a Novel Potent Inhibitor of Oncogenic RET Mutants Associated With Thyroid Cancer. J. Clin. Endocrinol. Metab. 2013, 98, E811–E819. [Google Scholar] [CrossRef]
- Mologni, L.; Redaelli, S.; Morandi, A.; Plaza-Menacho, I.; Gambacorti-Passerini, C. Ponatinib is a potent inhibitor of wild-type and drug-resistant gatekeeper mutant RET kinase. Mol. Cell. Endocrinol. 2013, 377, 1–6. [Google Scholar] [CrossRef]
- Woolhouse, M.E.; Gowtage-Sequeria, S. Host Range and Emerging and Reemerging Pathogens. Emerg. Infect. Dis. 2005, 11, 1842–1847. [Google Scholar] [CrossRef] [PubMed]
- Dye, C. After 2015: Infectious diseases in a new era of health and development. Philos. Trans. R. Soc. B Biol. Sci. 2014, 369, 20130426. [Google Scholar] [CrossRef] [PubMed]
- Lozano, R.; Naghavi, M.; Foreman, K.; Lim, S.; Shibuya, K.; Aboyans, V.; Abraham, J.; Adair, T.; Aggarwal, R.; Ahn, S.Y.; et al. Global and regional mortality from 235 causes of death for 20 age groups in 1990 and 2010: A systematic analysis for the Global Burden of Disease Study 2010. Lancet 2012, 380, 2095–2128. [Google Scholar] [CrossRef]
- O’Daniel, P.I.; Peng, Z.; Pi, H.; Testero, S.A.; Ding, D.; Spink, E.; Leemans, E.; Boudreau, M.A.; Yamaguchi, T.; Schroeder, V.A.; et al. Discovery of a New Class of Non-β-lactam Inhibitors of Penicillin-Binding Proteins with Gram-Positive Antibacterial Activity. J. Am. Chem. Soc. 2014, 136, 3664–3672. [Google Scholar] [CrossRef]
- Carter, G.P.; Harjani, J.R.; Li, L.; Pitcher, N.P.; Nong, Y.; Riley, T.V.; Williamson, D.A.; Stinear, T.P.; Baell, J.B.; Howden, B.P. 1,2,4-Oxadiazole antimicrobials act synergistically with daptomycin and display rapid kill kinetics against MDR Enterococcus faecium. J. Antimicrob. Chemother. 2018, 73, 1562–1569. [Google Scholar] [CrossRef]
- Ding, D.; Boudreau, M.A.; Leemans, E.; Spink, E.; Yamaguchi, T.; Testero, S.A.; O’Daniel, P.I.; Lastochkin, E.; Chang, M.; Mobashery, S. Exploration of the structure–activity relationship of 1,2,4-oxadiazole antibiotics. Bioorg. Med. Chem. Lett. 2015, 25, 4854–4857. [Google Scholar] [CrossRef]
- Spink, E.; Ding, D.; Peng, Z.; Boudreau, M.A.; Leemans, E.; Lastochkin, E.; Song, W.; Lichtenwalter, K.; O’Daniel, P.I.; Testero, S.A.; et al. Structure–Activity Relationship for the Oxadiazole Class of Antibiotics. J. Med. Chem. 2015, 58, 1380–1389. [Google Scholar] [CrossRef]
- Leemans, E.; Mahasenan, K.V.; Kumarasiri, M.; Spink, E.; Ding, D.; O’Daniel, P.I.; Boudreau, M.A.; Lastochkin, E.; Testero, S.A.; Yamaguchi, T.; et al. Three-Dimensional QSAR Analysis and Design of New 1,2,4-Oxadiazole Antibacterials. Bioorg. Med. Chem. Lett. 2016, 26, 1011–1015. [Google Scholar] [CrossRef]
- Xiao, Q.; Vakulenko, S.; Chang, M.; Mobashery, S. Mutations in mmpL and in the Cell Wall Stress Stimulon Contribute to Resistance to Oxadiazole Antibiotics in Methicillin-Resistant Staphylococcus aureus. Antimicrob. Agents Chemother. 2014, 58, 5841–5847. [Google Scholar] [CrossRef]
- Janardhanan, J.; Chang, M.; Mobashery, S. The oxadiazole antibacterials. Curr. Opin. Microbiol. 2016, 33, 13–17. [Google Scholar] [CrossRef]
- Ceballos, S.; Kim, C.; Ding, D.; Mobashery, S.; Chang, M.; Torres, C. Activities of Oxadiazole Antibacterials against Staphylococcus aureus and Other Gram-Positive Bacteria. Antimicrob. Agents Chemother. 2018, 62. [Google Scholar] [CrossRef] [PubMed]
- Krolenko, K.Y.; Vlasov, S.V.; Zhuravel, I.A. Synthesis and antimicrobial activity of 5-(1H-1,2,3-triazol-4-yl)-1,2,4-oxadiazole derivatives. Chem. Heterocycl. Compd. 2016, 52, 823–830. [Google Scholar] [CrossRef]
- Cunha, F.; Nogueira, J.; de Aguiar, A. Synthesis and Antibacterial Evaluation of 3,5-Diaryl-1,2,4-oxadiazole Derivatives. J. Braz. Chem. Soc. 2018, 29, 2405–2416. [Google Scholar] [CrossRef]
- Shi, G.; He, X.; Shang, Y.; Xiang, L.; Yang, C.; Han, G.; Du, B. Synthesis of 3′,4′-Diaryl-4′H -spiro[indoline-3,5′-[1′,2′,4′]oxadiazol]-2-ones via DMAP-catalyzed Domino Reactions and Their Antibacterial Activity. Chin. J. Chem. 2016, 34, 901–909. [Google Scholar] [CrossRef]
- Shetnev, A.; Baykov, S.; Kalinin, S.; Belova, A.; Sharoyko, V.; Rozhkov, A.; Zelenkov, L.; Tarasenko, M.; Sadykov, E.; Korsakov, M.; et al. 1,2,4-Oxadiazole/2-Imidazoline Hybrids: Multi-target-directed Compounds for the Treatment of Infectious Diseases and Cancer. Int. J. Mol. Sci. 2019, 20, 1699. [Google Scholar] [CrossRef] [PubMed]
- Tarasenko, M.; Sidneva, V.; Belova, A.; Romanycheva, A.; Sharonova, T.; Baykov, S.; Shetnev, A.; Kofanov, E.; Kuznetsov, M. An efficient synthesis and antimicrobial evaluation of 5-alkenyl- and 5-styryl-1,2,4-oxadiazoles. Arkivoc 2018, 2018, 458–470. [Google Scholar] [CrossRef]
- Atmaram Upare, A.; Gadekar, P.K.; Sivaramakrishnan, H.; Naik, N.; Khedkar, V.M.; Sarkar, D.; Choudhari, A.; Mohana Roopan, S. Design, synthesis and biological evaluation of (E)-5-styryl-1,2,4-oxadiazoles as anti-tubercular agents. Bioorg. Chem. 2019, 86, 507–512. [Google Scholar] [CrossRef]
- Shruthi, T.; Eswaran, S.; Shivarudraiah, P.; Narayanan, S.; Subramanian, S. Synthesis, antituberculosis studies and biological evaluation of new quinoline derivatives carrying 1,2,4-oxadiazole moiety. Bioorg. Med. Chem. Lett. 2019, 29, 97–102. [Google Scholar] [CrossRef]
- dos Santos Filho, J.M.; de Queiroz e Silva, D.M.A.; Macedo, T.S.; Teixeira, H.M.P.; Moreira, D.R.M.; Challal, S.; Wolfender, J.L.; Queiroz, E.F.; Soares, M.B.P. Conjugation of N-acylhydrazone and 1,2,4-oxadiazole leads to the identification of active antimalarial agents. Bioorg. Med. Chem. 2016, 24, 5693–5701. [Google Scholar] [CrossRef]
- Kim, J.; Shin, J.S.; Ahn, S.; Han, S.B.; Jung, Y.S. 3-Aryl-1,2,4-oxadiazole Derivatives Active Against Human Rhinovirus. ACS Med. Chem. Lett. 2018, 9, 667–672. [Google Scholar] [CrossRef]
- Rozenski, J.; De Ranter, C.J.; Verplanken, H. Quantitative Structure-Activity Relationships for Antimicrobial Nitroheterocyclic Drugs. Quant. Struct.-Act. Relatsh. 1995, 14, 134–141. [Google Scholar] [CrossRef]
- Haynes, K.M.; Abdali, N.; Jhawar, V.; Zgurskaya, H.I.; Parks, J.M.; Green, A.T.; Baudry, J.; Rybenkov, V.V.; Smith, J.C.; Walker, J.K. Identification and Structure–Activity Relationships of Novel Compounds that Potentiate the Activities of Antibiotics in Escherichia coli. J. Med. Chem. 2017, 60, 6205–6219. [Google Scholar] [CrossRef] [PubMed]
- Cardona, P.J. Understanding Tuberculosis—New Approaches to Fighting against Drug Resistance; InTech: London, UK, 2012. [Google Scholar] [CrossRef]
- dos Santos Filho, J.M.; Leite, A.C.L.; de Oliveira, B.G.; Moreira, D.R.M.; Lima, M.S.; Soares, M.B.P.; Leite, L.F.C. Design, synthesis and cruzain docking of 3-(4-substituted-aryl)-1,2,4-oxadiazole-N-acylhydrazones as anti-Trypanosoma cruzi agents. Bioorg. Med. Chem. 2009, 17, 6682–6691. [Google Scholar] [CrossRef] [PubMed]
- dos Santos Filho, J.M.; Moreira, D.R.M.; de Simone, C.A.; Ferreira, R.S.; McKerrow, J.H.; Meira, C.S.; Guimarães, E.T.; Soares, M.B.P. Optimization of anti-Trypanosoma cruzi oxadiazoles leads to identification of compounds with efficacy in infected mice. Bioorg. Med. Chem. 2012, 20, 6423–6433. [Google Scholar] [CrossRef] [PubMed]
- Kim, J.; Jung, Y.K.; Kim, C.; Shin, J.S.; Scheers, E.; Lee, J.Y.; Han, S.B.; Lee, C.K.; Neyts, J.; Ha, J.D.; et al. A Novel Series of Highly Potent Small Molecule Inhibitors of Rhinovirus Replication. J. Med. Chem. 2017, 60, 5472–5492. [Google Scholar] [CrossRef] [PubMed]
- Navarro-González, J.F.; Mora-Fernández, C.; de Fuentes, M.M.; García-Pérez, J. Inflammatory molecules and pathways in the pathogenesis of diabetic nephropathy. Nat. Rev. Nephrol. 2011, 7, 327–340. [Google Scholar] [CrossRef]
- Mantovani, A.; Allavena, P.; Sica, A.; Balkwill, F. Cancer-related inflammation. Nature 2008, 454, 436–444. [Google Scholar] [CrossRef]
- Vitale, P.; Panella, A.; Scilimati, A.; Perrone, M.G. COX-1 Inhibitors: Beyond Structure Toward Therapy. Med. Res. Rev. 2016, 36, 641–671. [Google Scholar] [CrossRef]
- Yatam, S.; Gundla, R.; Jadav, S.S.; reddy Pedavenkatagari, N.; Chimakurthy, J.; Rani B, N.; Kedam, T. Focused library design and synthesis of 2-mercapto benzothiazole linked 1,2,4-oxadiazoles as COX-2/5-LOX inhibitors. J. Mol. Struct. 2018, 1159, 193–204. [Google Scholar] [CrossRef]
- Yatam, S.; Jadav, S.S.; Gundla, R.; Gundla, K.P.; Reddy, G.M.; Ahsan, M.J.; Chimakurthy, J. Design, Synthesis and Biological Evaluation of 2 (((5-aryl-1,2,4-oxadiazol-3-yl)methyl)thio)benzo[d]oxazoles: New Antiinflammatory and Antioxidant Agents. ChemistrySelect 2018, 3, 10305–10310. [Google Scholar] [CrossRef]
- Vijaya Bhargavi, M.; Shashikala, P.; Sumakanth, M.; Krishna, C. Synthesis, Molecular Docking, Analgesic, and Anti-Inflammatory Activities of New 1,2,4-Oxadiazolo-Sulfonamides. Russ. J. Gen. Chem. 2018, 88, 804–811. [Google Scholar] [CrossRef]
- Cao, X.; Yao, Z.; Dou, F.; Zhang, Y.; Qiu, Y.; Zhao, S.; Xu, X.; Liu, X.; Liu, B.; Chen, Y.; et al. Synthesis and Biological Evaluation of Sigma-1 (σ1) Receptor Ligands Based on Phenyl-1,2,4-oxadiazole Derivatives. Chem. Biodivers. 2019, 16, e1800599. [Google Scholar] [CrossRef] [PubMed]
- Mohammadi-Khanaposhtani, M.; Shabani, M.; Faizi, M.; Aghaei, I.; Jahani, R.; Sharafi, Z.; Shamsaei Zafarghandi, N.; Mahdavi, M.; Akbarzadeh, T.; Emami, S.; et al. Design, synthesis, pharmacological evaluation, and docking study of new acridone-based 1,2,4-oxadiazoles as potential anticonvulsant agents. Eur. J. Med. Chem. 2016, 112, 91–98. [Google Scholar] [CrossRef] [PubMed]
- Mohammadi-Khanaposhtani, M.; Saeedi, M.; Zafarghandi, N.S.; Mahdavi, M.; Sabourian, R.; Razkenari, E.K.; Alinezhad, H.; Khanavi, M.; Foroumadi, A.; Shafiee, A.; et al. Potent acetylcholinesterase inhibitors: Design, synthesis, biological evaluation, and docking study of acridone linked to 1,2,3-triazole derivatives. Eur. J. Med. Chem. 2015, 92, 799–806. [Google Scholar] [CrossRef]
- Zhang, J.; Li, J.C.; Song, J.L.; Cheng, Z.Q.; Sun, J.Z.; Jiang, C.S. Synthesis and evaluation of coumarin/1,2,4-oxadiazole hybrids as selective BChE inhibitors with neuroprotective activity. J. Asian Nat. Prod. Res. 2019, 21, 1090–1103. [Google Scholar] [CrossRef]
- Brotschi, C.; Roch, C.; Gatfield, J.; Treiber, A.; Williams, J.T.; Sifferlen, T.; Heidmann, B.; Jenck, F.; Bolli, M.H.; Boss, C. Oxadiazole Derivatives as Dual Orexin Receptor Antagonists: Synthesis, Structure–Activity Relationships, and Sleep-Promoting Properties in Rats. ChemMedChem 2019, 14, 1257–1270. [Google Scholar] [CrossRef]
- Van Zee, A. The Promotion and Marketing of OxyContin: Commercial Triumph, Public Health Tragedy. Am. J. Public Health 2009, 99, 221–227. [Google Scholar] [CrossRef]
- Ji, R.R.; Xu, Z.Z.; Gao, Y.J. Emerging targets in neuroinflammation-driven chronic pain. Nat. Rev. Drug Discov. 2014, 13, 533–548. [Google Scholar] [CrossRef]
- Huang, Y.S.; Lu, H.L.; Zhang, L.J.; Wu, Z. Sigma-2 Receptor Ligands and Their Perspectives in Cancer Diagnosis and Therapy. Med. Res. Rev. 2014, 34, 532–566. [Google Scholar] [CrossRef]
- Hayashi, T.; Su, T.P. σ-1 Receptor Ligands Potential in the Treatment of Neuropsychiatric Disorders. CNS Drugs 2004, 18, 269–284. [Google Scholar] [CrossRef]
- Lan, Y.; Chen, Y.; Cao, X.; Zhang, J.; Wang, J.; Xu, X.; Qiu, Y.; Zhang, T.; Liu, X. Synthesis and Biological Evaluation of Novel Sigma-1 Receptor Antagonists Based on Pyrimidine Scaffold As Agents for Treating Neuropathic Pain. J. Med. Chem. 2014, 57, 10404–10423. [Google Scholar] [CrossRef] [PubMed]
- Cao, X.; Chen, Y.; Zhang, Y.; Lan, Y.; Zhang, J.; Xu, X.; Qiu, Y.; Zhao, S.; Liu, X.; Liu, B.F.; et al. Synthesis and Biological Evaluation of Novel σ1 Receptor Ligands for Treating Neuropathic Pain: 6-Hydroxypyridazinones. J. Med. Chem. 2016, 59, 2942–2961. [Google Scholar] [CrossRef] [PubMed]
- Goldberg, E.M.; Coulter, D.A. Mechanisms of epileptogenesis: A convergence on neural circuit dysfunction. Nat. Rev. Neurosci. 2013, 14, 337–349. [Google Scholar] [CrossRef] [PubMed]
- Löscher, W. New visions in the pharmacology of anticonvulsion. Eur. J. Pharmacol. 1998, 342, 1–13. [Google Scholar] [CrossRef]
- Cramer, J.A.; Mintzer, S.; Wheless, J.; Mattson, R.H. Adverse effects of antiepileptic drugs: A brief overview of important issues. Expert Rev. Neurother. 2010, 10, 885–891. [Google Scholar] [CrossRef] [PubMed]
- Querfurth, H.W.; LaFerla, F.M. Alzheimer’s Disease. N. Engl. J. Med. 2010, 362, 329–344. [Google Scholar] [CrossRef]
- Sterling, J.; Herzig, Y.; Goren, T.; Finkelstein, N.; Lerner, D.; Goldenberg, W.; Miskolczi, I.; Molnar, S.; Rantal, F.; Tamas, T.; et al. Novel Dual Inhibitors of AChE and MAO Derived from Hydroxy Aminoindan and Phenethylamine as Potential Treatment for Alzheimer’s Disease. J. Med. Chem. 2002, 45, 5260–5279. [Google Scholar] [CrossRef]
- Jiang, C.S.; Fu, Y.; Zhang, L.; Gong, J.X.; Wang, Z.Z.; Xiao, W.; Zhang, H.Y.; Guo, Y.W. Synthesis and biological evaluation of novel marine-derived indole-based 1,2,4-oxadiazoles derivatives as multifunctional neuroprotective agents. Bioorg. Med. Chem. Lett. 2015, 25, 216–220. [Google Scholar] [CrossRef]
- Mei, W.; Ji, S.; Xiao, W.; Wang, X.D.; Jiang, C.S.; Ma, W.Q.; Zhang, H.Y.; Gong, J.; Guo, Y. Synthesis and biological evaluation of benzothiazol-based 1,3,4-oxadiazole derivatives as amyloid β-targeted compounds against Alzheimer’s disease. Monatshefte Für Chem. Chem. Mon. 2017, 148, 1807–1815. [Google Scholar] [CrossRef]
- Ge, L.; Guyatt, G.; Tian, J.; Pan, B.; Chang, Y.; Chen, Y.; Li, H.; Zhang, J.; Li, Y.; Ling, J.; et al. Insomnia and risk of mortality from all-cause, cardiovascular disease, and cancer: Systematic review and meta-analysis of prospective cohort studies. Sleep Med. Rev. 2019, 48, 101215. [Google Scholar] [CrossRef]
- de Lecea, L.; Kilduff, T.S.; Peyron, C.; Gao, X.B.; Foye, P.E.; Danielson, P.E.; Fukuhara, C.; Battenberg, E.L.F.; Gautvik, V.T.; Bartlett, F.S.; et al. The hypocretins: Hypothalamus-specific peptides with neuroexcitatory activity. Proc. Natl. Acad. Sci. USA 1998, 95, 322–327. [Google Scholar] [CrossRef]
- Sakurai, T.; Amemiya, A.; Ishii, M.; Matsuzaki, I.; Chemelli, R.M.; Tanaka, H.; Williams, S.; Richardson, J.A.; Kozlowski, G.P.; Wilson, S.; et al. Orexins and Orexin Receptors: A Family of Hypothalamic Neuropeptides and G Protein-Coupled Receptors that Regulate Feeding Behavior. Cell 1998, 92, 573–585. [Google Scholar] [CrossRef]
- Brisbare-Roch, C.; Dingemanse, J.; Koberstein, R.; Hoever, P.; Aissaoui, H.; Flores, S.; Mueller, C.; Nayler, O.; van Gerven, J.; de Haas, S.L.; et al. Promotion of sleep by targeting the orexin system in rats, dogs and humans. Nat. Med. 2007, 13, 150–155. [Google Scholar] [CrossRef] [PubMed]
- Yoshida, Y.; Naoe, Y.; Terauchi, T.; Ozaki, F.; Doko, T.; Takemura, A.; Tanaka, T.; Sorimachi, K.; Beuckmann, C.T.; Suzuki, M.; et al. Discovery of (1R,2S)-2-{[(2,4-Dimethylpyrimidin-5-yl)oxy]methyl}-2-(3-fluorophenyl)-N-(5-fluoropyridin-2-yl)cycloprop anecarboxamide (E2006): A Potent and Efficacious Oral Orexin Receptor Antagonist. J. Med. Chem. 2015, 58, 4648–4664. [Google Scholar] [CrossRef]
- Dubey, A.; Handu, S.; Mediratta, P. Suvorexant: The first orexin receptor antagonist to treat insomnia. J. Pharmacol. Pharmacother. 2015, 6, 118. [Google Scholar] [CrossRef] [PubMed]
- Jacobson, L.H.; Callander, G.E.; Hoyer, D. Suvorexant for the treatment of insomnia. Expert Rev. Clin. Pharmacol. 2014, 7, 711–730. [Google Scholar] [CrossRef] [PubMed]
- Boss, C.; Roch-Brisbare, C.; Steiner, M.A.; Treiber, A.; Dietrich, H.; Jenck, F.; von Raumer, M.; Sifferlen, T.; Brotschi, C.; Heidmann, B.; et al. Structure-Activity Relationship, Biological, and Pharmacological Characterization of the Proline Sulfonamide ACT-462206: A Potent, Brain-Penetrant Dual Orexin 1/Orexin 2 Receptor Antagonist. ChemMedChem 2014, 9, 2486–2496. [Google Scholar] [CrossRef]
- Heidmann, B.; Gatfield, J.; Roch, C.; Treiber, A.; Tortoioli, S.; Brotschi, C.; Williams, J.T.; Bolli, M.H.; Abele, S.; Sifferlen, T.; et al. Discovery of Highly Potent Dual Orexin Receptor Antagonists via a Scaffold-Hopping Approach. ChemMedChem 2016, 11, 2132–2146. [Google Scholar] [CrossRef]
- Sifferlen, T.; Boller, A.; Chardonneau, A.; Cottreel, E.; Gatfield, J.; Treiber, A.; Roch, C.; Jenck, F.; Aissaoui, H.; Williams, J.T.; et al. Substituted pyrrolidin-2-ones: Centrally acting orexin receptor antagonists promoting sleep. Part 2. Bioorg. Med. Chem. Lett. 2015, 25, 1884–1891. [Google Scholar] [CrossRef]
- Van’t Veer, A.; Carlezon, W.A. Role of kappa-opioid receptors in stress and anxiety-related behavior. Psychopharmacology 2013, 229, 435–452. [Google Scholar] [CrossRef]
- Clark, S.D.; Abi-Dargham, A. The Role of Dynorphin and the Kappa Opioid Receptor in the Symptomatology of Schizophrenia: A Review of the Evidence. Biol. Psychiatry 2019, 86, 502–511. [Google Scholar] [CrossRef] [PubMed]
- Tejeda, H.A.; Bonci, A. Dynorphin/Kappa-opioid receptor control of dopamine dynamics: Implications for negative affective states and psychiatric disorders. Brain Res. 2019, 1713, 91–101. [Google Scholar] [CrossRef] [PubMed]
- Guerrero, M.; Urbano, M.; Kim, E.K.; Gamo, A.M.; Riley, S.; Abgaryan, L.; Leaf, N.; Van Orden, L.J.; Brown, S.J.; Xie, J.Y.; et al. Design and Synthesis of a Novel and Selective Kappa Opioid Receptor (KOR) Antagonist (BTRX-335140). J. Med. Chem. 2019, 62, 1761–1780. [Google Scholar] [CrossRef]
- Urbano, M.; Guerrero, M.; Rosen, H.; Roberts, E. Antagonists of the kappa opioid receptor. Bioorg. Med. Chem. Lett. 2014, 24, 2021–2032. [Google Scholar] [CrossRef] [PubMed]
- Kensler, T.W.; Wakabayashi, N.; Biswal, S. Cell Survival Responses to Environmental Stresses Via the Keap1-Nrf2-ARE Pathway. Annu. Rev. Pharmacol. Toxicol. 2007, 47, 89–116. [Google Scholar] [CrossRef] [PubMed]
- Dai, X.; Yan, X.; Wintergerst, K.A.; Cai, L.; Keller, B.B.; Tan, Y. Nrf2: Redox and Metabolic Regulator of Stem Cell State and Function. Trends Mol. Med. 2020, 26, 185–200. [Google Scholar] [CrossRef]
- Jaramillo, M.C.; Zhang, D.D. The emerging role of the Nrf2-Keap1 signaling pathway in cancer. Genes Dev. 2013, 27, 2179–2191. [Google Scholar] [CrossRef]
- Lu, M.C.; Ji, J.A.; Jiang, Z.Y.; You, Q.D. The Keap1-Nrf2-ARE Pathway As a Potential Preventive and Therapeutic Target: An Update. Med. Res. Rev. 2016, 36, 924–963. [Google Scholar] [CrossRef]
- Xu, L.L.; Zhu, J.F.; Xu, X.L.; Zhu, J.; Li, L.; Xi, M.Y.; Jiang, Z.Y.; Zhang, M.Y.; Liu, F.; Lu, M.C.; et al. Discovery and Modification of in Vivo Active Nrf2 Activators with 1,2,4-Oxadiazole Core: Hits Identification and Structure–Activity Relationship Study. J. Med. Chem. 2015, 58, 5419–5436. [Google Scholar] [CrossRef]
- Jiang, Z.Y.; Lu, M.C.; Xu, L.L.; Yang, T.T.; Xi, M.Y.; Xu, X.L.; Guo, X.K.; Zhang, X.J.; You, Q.D.; Sun, H.P. Discovery of Potent Keap1–Nrf2 Protein–Protein Interaction Inhibitor Based on Molecular Binding Determinants Analysis. J. Med. Chem. 2014, 57, 2736–2745. [Google Scholar] [CrossRef]
- Xi, M.Y.; Sun, Z.Y.; Sun, H.P.; Jia, J.M.; Jiang, Z.Y.; Tao, L.; Ye, M.; Yang, X.; Wang, Y.J. Synthesis and bioevaluation of a series of α-pyrone derivatives as potent activators of Nrf2/ARE pathway (part I). Eur. J. Med. Chem. 2013, 66, 364–371. [Google Scholar] [CrossRef] [PubMed]
- Xu, L.L.; Wu, Y.F.; Wang, L.; Li, C.C.; Li, L.; Di, B.; You, Q.D.; Jiang, Z.Y. Structure-activity and structure-property relationships of novel Nrf2 activators with a 1,2,4-oxadiazole core and their therapeutic effects on acetaminophen (APAP)-induced acute liver injury. Eur. J. Med. Chem. 2018, 157, 1376–1394. [Google Scholar] [CrossRef] [PubMed]
- Xu, L.L.; Wu, Y.F.; Yan, F.; Li, C.C.; Dai, Z.; You, Q.D.; Jiang, Z.Y.; Di, B. 5-(3,4-Difluorophenyl)-3-(6-methylpyridin-3-yl)-1,2,4-oxadiazole (DDO-7263), a novel Nrf2 activator targeting brain tissue, protects against MPTP-induced subacute Parkinson’s disease in mice by inhibiting the NLRP3 inflammasome and protects PC12 cells aga. Free Radic. Biol. Med. 2019, 134, 288–303. [Google Scholar] [CrossRef] [PubMed]
- Coleman, K.G.; Crews, C.M. Proteolysis-Targeting Chimeras: Harnessing the Ubiquitin-Proteasome System to Induce Degradation of Specific Target Proteins. Annu. Rev. Cancer Biol. Online 2018, 2, 41–58. [Google Scholar] [CrossRef]
- Tong, M.L.; Chen, X.M. Modern Inorganic Synthetic Chemistry, 2nd ed.; Elsevier B.V.: Amsterdam, The Netherlands, 2017; p. 808. [Google Scholar]
- Kozak, W.; Demkowicz, S.; Daśko, M.; Rachon, J.; Rak, J. Modifications at the C(5) position of pyrimidine nucleosides. Russ. Chem. Rev. 2020, 89, 281–310. [Google Scholar] [CrossRef]
© 2020 by the authors. Licensee MDPI, Basel, Switzerland. This article is an open access article distributed under the terms and conditions of the Creative Commons Attribution (CC BY) license (http://creativecommons.org/licenses/by/4.0/).



















































































































