Oral l-Cysteine Supplementation Enhances the Long Term-Effect of Topical Basic Fibroblast Growth Factor (bFGF) in Reducing the Corneal Haze after Photorefractive Keratectomy in Myopic Patients
Abstract
1. Introduction
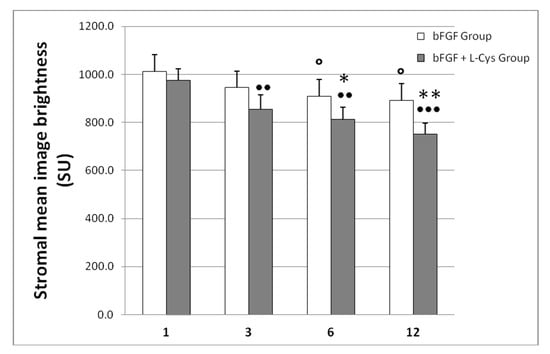
2. Results
3. Discussion
4. Materials and Methods
4.1. Patients
4.2. Ophthalmologic Examinations
4.3. Statistical Analysis
Author Contributions
Funding
Conflicts of Interest
References
- Tomás-Juan, J.; Larrañaga, A.M.-G.; Hanneken, L. Corneal Regeneration after Photorefractive Keratectomy: A Review. J. Optom. 2014, 8, 149–169. [Google Scholar] [CrossRef] [PubMed]
- Imanishi, J.; Kamiyama, K.; Iguchi, I.; Kita, M.; Sotozono, C.; Kinoshita, S. Growth factors: Importance in wound healing and maintenance of transparency of the cornea. Prog. Retin. Eye Res. 2000, 19, 113–129. [Google Scholar] [CrossRef]
- Ljubimov, A.; Saghizadeh, M. Progress in corneal wound healing. Prog. Retin. Eye Res. 2015, 49, 17–45. [Google Scholar] [CrossRef] [PubMed]
- Netto, M.V.; Mohan, R.R.; Ambrósio, R.; Hutcheon, A.E.; Zieske, J.D.; Wilson, S.E. Wound healing in the cornea: A review of refractive surgery complications and new prospects for therapy. Cornea 2005, 24, 509–522. [Google Scholar] [CrossRef]
- Fagerholm, P. Wound healing after photorefractive keratectomy. J. Cataract. Refract. Surg. 2000, 26, 432–447. [Google Scholar] [CrossRef]
- Spadea, L.; Giammaria, D.; Trabucco, P. Corneal wound healing after laser vision correction. Br. J. Ophthalmol. 2015, 100, 28–33. [Google Scholar] [CrossRef]
- Baldwin, H.C.; Marshall, J. Growth factors in corneal wound healing following refractive surgery: A review. Acta Ophthalmol. Scand. 2002, 80, 238–247. [Google Scholar] [CrossRef]
- Wilson, S.E.; Mohan, R.R.; Ambrósio, R.; Hong, J.; Lee, J. The corneal wound healing response: Cytokine-mediated interaction of the epithelium, stroma, and inflammatory cells. Prog. Retin. Eye Res. 2001, 20, 625–637. [Google Scholar] [CrossRef]
- Suzuki, K.; Jun, S.; Ryoji, Y.; Naoyuki, Y.; Tai-ichiro, C.; Keisuke, S.; Teruo, N. Cell-matrix and cell-cell interactions during corneal epithelial wound healing. Prog. Retin. Eye Res. 2003, 22, 113–133. [Google Scholar] [CrossRef]
- Anitua, E.; Muruzabal, F.J.; Alcalde, I.; Merayo-Lloves, J.; Orive, G. Plasma rich in growth factors (PRGF-Endoret) stimulates corneal wound healing and reduces haze formation after PRK surgery. Exp. Eye Res. 2013, 115, 153–161. [Google Scholar] [CrossRef]
- Kasetsuwan, N.; Wu, F.M.; Hsieh, F.; Sanchez, D.; McDonnell, P.J. Effect of topical ascorbic acid on free radical tissue damage and inflammatory cell influx in the cornea after excimer laser corneal surgery. Arch. Ophthalmol. 1999, 117, 649–652. [Google Scholar] [CrossRef] [PubMed]
- Esquenazi, S. Topical Combination of NGF and DHA Increases Rabbit Corneal Nerve Regeneration after Photorefractive Keratectomy. Investig. Opthalmol. Vis. Sci. 2005, 46, 3121–3127. [Google Scholar] [CrossRef] [PubMed]
- Bilgihan, K.; Ozdek, S.; Ozoǧul, C.; Gurelik, G.; Bilgihan, A.; Hasanreisoǧlu, B. Topical vitamin E and hydrocortisone acetate treatment after photorefractive keratectomy. Eye 2000, 14, 231–237. [Google Scholar] [CrossRef][Green Version]
- Rieck, P.; David, T.; Hartmann, C.; Renard, G.; Courtois, Y.; Pouliquen, Y. Basic fibroblast growth factor modulates corneal wound healing after excimer laser keratomileusis in rabbits. Ger. J. Ophthalmol. 1994, 3, 105–111. [Google Scholar] [PubMed]
- Assouline, M.; Hutchinson, C.; Morton, K.; Mascarelli, F.; Jeanny, J.-C.; Fayein, N.; Pouliquen, Y.; Courtois, Y. In Vivo Binding of Topically Applied Human bFGF on Rabbit Corneal Epithelial Wound. Growth Factors 1989, 1, 251–261. [Google Scholar] [CrossRef]
- Scorolli, L.; Meduri, A.; Morara, M.; Scalinci, S.; Meduri, R. Effect of Cytochrome c Peroxidase on the Corneal Epithelial Healing Process after Excimer Laser Photo-Ablation in Transgenic Mice. Eur. Surg. Res. 2007, 39, 82–87. [Google Scholar] [CrossRef]
- Meduri, A.; Scalinci, S.Z.; Morara, M.; Ceruti, P.; Zigiotti, G.L.; Scorolli, L.; Grenga, P.L. Effect of Basic Fibroblast Growth Factor in Transgenic Mice: Corneal Epithelial Healing Process after Excimer Laser Photoablation. Ophthalmologica 2008, 223, 139–144. [Google Scholar] [CrossRef]
- Scalinci, S.Z.; Scorolli, L.; Meduri, A.; Grenga, P.L.; Corradetti, G.; Metrangolo, C. Effect of basic fibroblast growth factor and cytochrome c peroxidase combination in transgenic mice corneal epithelial healing process after excimer laser photoablation. Clin. Ophthalmol. 2011, 5, 215–221. [Google Scholar] [CrossRef]
- Scorolli, L.; Meduri, A.; Morara, M.; Scalinci, S.; Meduri, R.; Colombati, S.; Greco, P. Effect of Cysteine in Transgenic Mice on Healing of Corneal Epithelium after Excimer Laser Photoablation. Ophthalmologica 2008, 222, 380–385. [Google Scholar] [CrossRef]
- Meduri, A.; Aragona, P.; Grenga, P.L.; Roszkowska, A.M. Effect of Basic Fibroblast Growth Factor on Corneal Epithelial Healing After Photorefractive Keratectomy. J. Refract. Surg. 2012, 28, 220–223. [Google Scholar] [CrossRef]
- Meduri, A.; Scorolli, L.; Ceruti, P.; Ferreri, G.; Grenga, P.L. Role of Cysteine in Corneal Wound Healing after Photorefractive Keratectomy. Ophthalmic Res. 2008, 41, 76–82. [Google Scholar] [CrossRef] [PubMed]
- Meduri, A.; Scorolli, L.; Scalinci, S.Z.; Grenga, P.L.; Lupo, S.; Rechichi, M.; Meduri, E. Effect of the combination of basic fibroblast growth factor and cysteine on corneal epithelial healing after photorefractive keratectomy in patients affected by myopia. Indian J. Ophthalmol. 2014, 62, 424–428. [Google Scholar] [CrossRef] [PubMed]
- Ho, Y.-J.; Sun, C.-C.; Chen, H.-C. Cataract surgery in patients with corneal opacities. BMC Ophthalmol. 2018, 18, 106. Available online: https://www.ncbi.nlm.nih.gov/pmc/articles/PMC5913879/ (accessed on 19 December 2019). [CrossRef]
- McLaren, J.W.; Wacker, K.; Kane, K.M.; Patel, S.V. Measuring Corneal Haze by Using Scheimpflug Photography and Confocal Microscopy. Investig. Ophthalmol. Vis. Sci. 2016, 57, 227–235. [Google Scholar] [CrossRef] [PubMed]
- Murueta-Goyena, A.; Cañadas, P. Visual outcomes and management after corneal refractive surgery: A review. J. Optom. 2018, 11, 121–129. [Google Scholar] [CrossRef] [PubMed]
- Stein, R. Photorefractive Keratectomy. Int. Ophthalmol. Clin. 2000, 40, 35–56. [Google Scholar] [CrossRef]
- Wilson, S.E.; Marino, G.K.; Medeiros, C.S.; Santhiago, M.R. Phototherapeutic Keratectomy: Science and Art. J. Refract. Surg. 2017, 33, 203–210. [Google Scholar] [CrossRef]
- King, N.; Lin, H.; Suleiman, M.-S. Cysteine protects freshly isolated cardiomyocytes against oxidative stress by stimulating glutathione peroxidase. Mol. Cell. Biochem. 2010, 343, 125–132. [Google Scholar] [CrossRef]
- Bilgihan, K.; Bilgihan, A.; Akata, F.; Hasanreisoğlu, B.; Türközkan, N. Excimer laser corneal surgery and free oxygen radicals. Jpn. J. Ophthalmol. 1996, 40, 154–157. [Google Scholar]
- Shimmura, S.; Masumizu, T.; Nakai, Y.; Urayama, K.; Shimazaki, J.; Bissen-Miyajima, H.; Kohno, M.; Tsubota, K. Excimer laser-induced hydroxyl radical formation and keratocyte death in vitro. Investig. Ophthalmol. Vis. Sci. 1999, 40, 1245–1249. [Google Scholar]
- Hayashi, S.; Ishimoto, S.-I.; Wu, G.-S.; Wee, W.R.; A Rao, N.; McDonnell, P.J. Oxygen free radical damage in the cornea after excimer laser therapy. Br. J. Ophthalmol. 1997, 81, 141–144. [Google Scholar] [CrossRef] [PubMed][Green Version]
- Yis, O.; Bilgihan, A.; Bilgihan, K.; Yis, N.; Hasanreisoglu, B. The effect of excimer laser keratectomy on corneal glutathione peroxidase activities and aqueous humor selenium levels in rabbits. Graefes Arch. Clin. Exp. Ophthalmol. 2002, 240, 499–502. [Google Scholar] [CrossRef] [PubMed]
- Bilgihan, K.; Adiguzel, U.; Sezer, C.; Yis, Ö.; Akyol, G.; Hasanreisoğlu, B.; Bilgihan, A. Keratocyte apoptosis and corneal antioxidant enzyme activities after refractive corneal surgery. Eye 2002, 16, 63–68. [Google Scholar] [CrossRef] [PubMed]
- Wilson, S.E.; He, Y.-G.; Weng, J.; Li, Q.; McDowall, A.W.; Vital, M.; Chwang, E.L. Epithelial Injury Induces Keratocyte Apoptosis: Hypothesized Role for the Interleukin-1 System in the Modulation of Corneal Tissue Organization and Wound Healing. Exp. Eye Res. 1996, 62, 325–338. [Google Scholar] [CrossRef]
- Brancato, R.; Schiavone, N.; Siano, S.; Lapucci, A.; Papucci, L.; Donnini, M.; Formigli, L.; Orlandini, S.Z.; Carella, G.; Carones, F.; et al. Prevention of corneal keratocyte apoptosis after argon fluoride excimer laser irradiation with the free radical scavenger ubiquinone Q10. Eur. J. Ophthalmol. 2000, 10, 32–38. [Google Scholar] [CrossRef]
- Song, Z.H.; Tong, G.; Xiao, K.; Jiao, L.F.; Ke, Y.L.; Hu, C. l-Cysteine protects intestinal integrity, attenuates intestinal inflammation and oxidant stress, and modulates NF-κB and Nrf2 pathways in weaned piglets after LPS challenge. Innate Immun. 2016, 22, 152–161. [Google Scholar] [CrossRef]
- Gong, J.; Guan, L.; Tian, P.; Li, C.; Zhang, Y. Rho Kinase Type 1 (ROCK1) Promotes Lipopolysaccharide-induced Inflammation in Corneal Epithelial Cells by Activating Toll-Like Receptor 4 (TLR4)-Mediated Signaling. Med. Sci. Monit. Int. Med. J. Exp. Clin. Res. 2018, 24, 3514–3523. [Google Scholar] [CrossRef]
- DiChiara, A.S.; Li, R.C.; Suen, P.H.; Hosseini, A.S.; Taylor, R.J.; Weickhardt, A.F.; Malhotra, D.; McCaslin, D.R.; Shoulders, M.D. A cysteine-based molecular code informs collagen C-propeptide assembly. Nat. Commun. 2018, 9, 4206. [Google Scholar] [CrossRef]
- Chen, S.; Birk, D.E. Focus on Molecules: Decorin. Exp. Eye Res. 2010, 92, 444–445. [Google Scholar] [CrossRef]
- Yang, L.; Shen, J.; He, S.; Hu, G.; Shen, J.; Wang, F.; Xu, L.; Dai, W.; Xiong, J.; Ni, J.; et al. l-Cysteine Administration Attenuates Pancreatic Fibrosis Induced by TNBS in Rats by Inhibiting the Activation of Pancreatic Stellate Cell. PLoS ONE 2012, 7, e31807. [Google Scholar] [CrossRef]
- Mohan, R.; Gupta, R.; Mehan, M.K.; Cowden, J.W.; Sinha, S. Decorin transfection suppresses profibrogenic genes and myofibroblast formation in human corneal fibroblasts. Exp. Eye Res. 2010, 91, 238–245. [Google Scholar] [CrossRef] [PubMed]
- Plaza, N.C.; García-Galbis, M.R.; Martínez-Espinosa, R.M. Effects of the Usage of l-Cysteine (l-Cys) on Human Health. Molecules 2018, 23, 575. Available online: https://www.ncbi.nlm.nih.gov/pmc/articles/PMC6017824/ (accessed on 16 December 2019). [CrossRef]
- Smith, A.G.; Kim, G.; Porzio, M.; Allen, B.; Koach, M.; Mifflin, M.; Digre, K.; Keung, B.M.; Singleton, J.R. Corneal confocal microscopy is efficient, well-tolerated, and reproducible. J. Peripher. Nerv. Syst. 2013, 18, 54–58. [Google Scholar] [CrossRef]
- Bilgihan, K.; Yesilirmak, N.; Altay, Y.; Tefon, A.B.; Ozdemir, H.B.; Ozdogan, S.; Kocamaz, M.F.; Gurelik, G. Evaluation of Long-Term Corneal Morphology After Photorefractive Keratectomy by In Vivo Confocal Microscopy and Specular Microscopy; 20-Year Follow-Up. Eye Contact Lens 2019, 45, 360–364. [Google Scholar] [CrossRef] [PubMed]
- McLaren, J.W.; Bourne, W.M.; Patel, S.V. Standardization of corneal haze measurement in confocal microscopy. Investig. Opthalmology Vis. Sci. 2010, 51, 5610–5616. [Google Scholar] [CrossRef] [PubMed]
- Spadea, L.; Maraone, G.; Verboschi, F.; Vingolo, E.M.; Tognetto, D. Effect of corneal light scatter on vision: A review of the literature. Int. J. Ophthalmol. 2016, 9, 459–464. [Google Scholar] [CrossRef] [PubMed]
- Heitzmann, J.; Binder, P.S.; Kassar, B.S.; Nordan, L.T. The Correction of High Myopia Using the Excimer Laser. Arch. Ophthalmol. 1993, 111, 1627–1634. [Google Scholar] [CrossRef]
- Fantes, F.E.; Hanna, K.D.; Waring, G.O.; Pouliquen, Y.; Thompson, K.P.; Savoldelli, M. Wound Healing After Excimer Laser Keratomileusis (Photorefractive Keratectomy) in Monkeys. Arch. Ophthalmol. 1990, 108, 665–675. [Google Scholar] [CrossRef]
- Faria-Correia, F.; Júnior, R.A. Clinical applications of the Scheimpflug principle in Ophthalmology. Rev. Bras. Oftalmol. 2016, 75, 160–165. [Google Scholar] [CrossRef][Green Version]



| Variables | bFGF Group (Group 1) before Treatment n = 20 | bFGF + l-cys Group (Group 2) before Treatment n = 20 | bFGF Group (Group 1) after 1 Month Treatment n = 20 | bFGF + l-cys Group (Group 2) after 1 Month Treatment n = 20 | |
|---|---|---|---|---|---|
| Gender | n.s. | ||||
| Male | 11 | 12 | 11 | 12 | |
| Female | 9 | 8 | 9 | 8 | |
| Age (years) | 34.09 ± 8 | 37.35 ± 11.5 | 34.09 ± 8 | 37.35 ± 11.5 | n.s. |
| Nationality | Italian | Italian | Italian | Italian | n.s. |
| Education | 0 | 0 | 0 | 0 | n.s. |
| Primary | 0 | 0 | 0 | 0 | |
| Secondary | 13 | 10 | 13 | 10 | |
| Higher | 7 | 10 | 7 | 10 | |
| Spherical Equivalent | 4.00 ± 1.50 D | 5.00 ± 1.50 D | −0.08 ± 0.3 D | −0.06 ± 0.2 D | n.s. |
| BVCA | 20/20 ± 5 | 20/20 ± 5 | 20/16 ± 4 | 20/16 ± 4 | n.s. |
© 2020 by the authors. Licensee MDPI, Basel, Switzerland. This article is an open access article distributed under the terms and conditions of the Creative Commons Attribution (CC BY) license (http://creativecommons.org/licenses/by/4.0/).
Share and Cite
Meduri, A.; Bergandi, L.; Perroni, P.; Silvagno, F.; Aragona, P. Oral l-Cysteine Supplementation Enhances the Long Term-Effect of Topical Basic Fibroblast Growth Factor (bFGF) in Reducing the Corneal Haze after Photorefractive Keratectomy in Myopic Patients. Pharmaceuticals 2020, 13, 67. https://doi.org/10.3390/ph13040067
Meduri A, Bergandi L, Perroni P, Silvagno F, Aragona P. Oral l-Cysteine Supplementation Enhances the Long Term-Effect of Topical Basic Fibroblast Growth Factor (bFGF) in Reducing the Corneal Haze after Photorefractive Keratectomy in Myopic Patients. Pharmaceuticals. 2020; 13(4):67. https://doi.org/10.3390/ph13040067
Chicago/Turabian StyleMeduri, Alessandro, Loredana Bergandi, Pietro Perroni, Francesca Silvagno, and Pasquale Aragona. 2020. "Oral l-Cysteine Supplementation Enhances the Long Term-Effect of Topical Basic Fibroblast Growth Factor (bFGF) in Reducing the Corneal Haze after Photorefractive Keratectomy in Myopic Patients" Pharmaceuticals 13, no. 4: 67. https://doi.org/10.3390/ph13040067
APA StyleMeduri, A., Bergandi, L., Perroni, P., Silvagno, F., & Aragona, P. (2020). Oral l-Cysteine Supplementation Enhances the Long Term-Effect of Topical Basic Fibroblast Growth Factor (bFGF) in Reducing the Corneal Haze after Photorefractive Keratectomy in Myopic Patients. Pharmaceuticals, 13(4), 67. https://doi.org/10.3390/ph13040067

