Peptide-Based Soft Hydrogels Modified with Gadolinium Complexes as MRI Contrast Agents
Abstract
1. Introduction
2. Results and Discussion
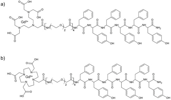
2.1. Synthesis and Structural Characterization
2.2. Scanning Electron Microscopy
2.3. Relaxivity Study
2.4. Cytotoxicity Assays
3. Materials and Methods
3.1. Synthesis of Peptide Derivatives
3.2. DOTA-PEG8-(FY)3 Characterization
3.3. DTPA-PEG8-(FY)3 Characterization
3.4. Preparation of Gadolinium Complexes
3.5. Preparation of Peptide Conjugate Solutions and Hydrogels
3.6. Fluorescence Studies
3.7. Circular Dichroism
3.8. Scanning Electron Microscopy (SEM)
3.9. Fourier Transform Infrared Spectroscopy (FTIR)
3.10. Congo Red Spectroscopic Assay
3.11. Water Proton Relaxation Measurements
3.12. Cytotoxicity Studies
4. Conclusions
Supplementary Materials
Author Contributions
Funding
Conflicts of Interest
References
- Terreno, E.; Aime, S. MRI contrast agents for pharmacological research. Front. Pharmacol. 2015, 6, 290. [Google Scholar] [CrossRef][Green Version]
- Canese, R.; Palombelli, G.; Chirico, M.; Sestili, P.; Bagnoli, M.; Canevari, S.; Mezzanzanica, D.; Podo, F.; Iorio, E. Integration of MRI and MRS approaches to monitor molecular imaging and metabolomic effects of trabectedin on a preclinical ovarian cancer model. NMR Biomed. 2019, 32, e4016. [Google Scholar] [CrossRef] [PubMed]
- Nikolaou, K.; Alkadhi, H.; Bamberg, F.; Leschka, S.; Wintersperger, B.J. MRI and CT in the diagnosis of coronary artery disease: Indications and applications. Ins. Imag. 2011, 2, 9–24. [Google Scholar] [CrossRef] [PubMed]
- Xiao, Y.D.; Paudel, R.; Liu, J.; Ma, C.; Zhang, Z.S.; Zhou, S.K. MRI contrast agents: Classification and application. Int. J. Mol. Med. 2016, 38, 1319–1326. [Google Scholar] [CrossRef] [PubMed]
- Pierre, V.C.; Allen, M.J. Contrast Agents for MRI: Experimental Methods; The Royal Society of Chemistry, CPI group (UK) Ltd.: Croydon, UK, 2018. [Google Scholar]
- Aime, S.; Gianolio, E.; Viale, A. Paramagnetism in Experimental Biomolecular NMR; Luchinat, C., Parigi, G., Ravera, E., Eds.; Royal Society of Chemistry: Cambridge, UK, 2018; pp. 189–218. [Google Scholar]
- McDonald, R.J.; Levine, D.; Weinreb, J.; Kanal, E.; Davenport, M.S.; Ellis, J.H.; Jacobs, P.M.; Lenkinski, R.E.; Maravilla, K.R.; Prince, M.R.; et al. Gadolinium Retention: A Research Roadmap from the 2018 NIH/ACR/RSNA Workshop on Gadolinium Chelates. Radiology 2018, 289, 517–534. [Google Scholar] [CrossRef]
- Lancelot, E.; Desche, P. Gadolinium Retention as a Safety Signal Experience of a Manufacturer. Invest. Radiol. 2020, 55, 20–24. [Google Scholar] [CrossRef]
- Ladd, L.D.; Hollister, R.; Peng, X.; Wei, D.; Wu, G.; Delecki, D.; Snow, R.A.; Toner, J.L.; Kellar, K.; Eck, J.; et al. Polymeric gadolinium chelate Magnetic Resonance Imaging contrast agents: design, synthesis, and properties. Biocon. Chem. 1999, 10, 361–370. [Google Scholar] [CrossRef]
- Yon, M.; Billotey, C.; Marty, J.-D. Gadolinium-based contrast agents: From gadolinium complexes to colloidal systems. Int. J. Pharm. 2019, 569, 118577. [Google Scholar] [CrossRef]
- Cao, Y.; Zu, G.; Kuang, Y.; He, Y.; Mao, Z.; Liu, M.; Xiong, D.; Pei, R. Biodegradable nanoglobular Magnetic Resonance Imaging contrast agent constructed with host-guest self-assembly for tumor-targeted imaging. ACS Appl. Mater. Interfaces 2018, 10, 26906–26916. [Google Scholar] [CrossRef]
- Martinelli, J.; Thangavel, K.; Tei, L.; Botta, M. Dendrimeric β-Cyclodextrin/GdIII chelate supramolecular host-guest adducts as high-relaxivity MRI probes. Chem. Eur. J. 2014, 20, 10944–10952. [Google Scholar] [CrossRef]
- Kunjachan, S.; Ehling, J.; Storm, G.; Kiessling, F.; Lammers, T. Noninvasive imaging of nanomedicines and nanotheranostics: Principles, progress, and prospects. Chem. Rev. 2015, 115, 10907–10937. [Google Scholar] [CrossRef] [PubMed]
- Accardo, A.; Tesauro, D.; Aloj, L.; Pedone, C.; Morelli, G. Supramolecular aggregates containing lipophilic Gd(III) complexes as contrast agents in MRI. Coord. Chem. Rev. 2009, 253, 2193–2213. [Google Scholar] [CrossRef]
- Babic, A.; Vorobiev, V.; Trefalt, G.; Crowe, L.A.; Helm, L.; Vallee, J.-P.; Allemann, E. MRI micelles self-assembled from synthetic gadolinium-based nano building blocks. Chem. Commun. 2019, 55, 945–948. [Google Scholar] [CrossRef] [PubMed]
- Langereis, S.; Hijnen, N.; Strijkers, G.; Nicolay, K.; Gruell, H. Multifunctional liposomes for MRI and image-guided drug delivery. Ther. Deliv. 2014, 5, 21–24. [Google Scholar] [CrossRef]
- Ringhieri, P.; Mannucci, S.; Conti, G.; Nicolato, E.; Fracasso, G.; Marzola, P.; Morelli, G.; Accardo, A. Liposomes derivatized with multimeric copies of KCCYSL peptide as targeting agents for HER-2-overexpressing tumor cells. Intern. J. Nanomed. 2017, 12, 501–514. [Google Scholar] [CrossRef]
- Sun, W.; Thies, S.; Zhang, J.; Peng, C.; Tang, G.; Shen, M.; Pich, A.; Shi, X. Gadolinium-loaded poly(n-vinylcaprolactam) nanogels: Synthesis, characterization, and application for enhanced tumor MR Imaging. ACS Appl. Mater. Interfaces 2017, 9, 3411–3418. [Google Scholar] [CrossRef]
- Gheran, C.V.; Rigaux, G.; Callewaert, M.; Berquand, A.; Molinari, M.; Chuburu, F.; Voicu, S.N.; Dinischiotu, A. Biocompatibility of Gd-loaded chitosan-hyaluronic acid nanogels as contrast agents for magnetic resonance cancer imaging. Nanomaterials 2018, 8, 201. [Google Scholar] [CrossRef]
- Sitharaman, B.; Wilson, L.J. Gadofullerenes and gadonanotubes: A new paradigm for high-performance magnetic resonance imaging contrast agent probes. J. Biomed. Nanotechnol. 2007, 3, 342–352. [Google Scholar] [CrossRef]
- Sethi, R.; Mackeyev, Y.; Wilson, L.J. The gadonanotubes revisited: A new frontier in MRI contrast agent design. Inorg. Chimica Acta 2012, 393, 165–172. [Google Scholar] [CrossRef]
- Diaferia, C.; Gianolio, E.; Palladino, P.; Arena, F.; Boffa, C.; Morelli, G.; Accardo, A. Peptide materials obtained by aggregation of polyphenylalanine conjugates as gadolinium-based Magnetic Resonance Imaging contrast agents. Adv. Funct. Mater. 2015, 25, 7003–7016. [Google Scholar] [CrossRef]
- Diaferia, C.; Gianolio, E.; Accardo, A. Peptide-based building blocks as structural elements for supramolecular Gd-containing MRI contrast agents. J. Pept. Sci. 2019, 25, e3157. [Google Scholar] [CrossRef] [PubMed]
- Diaferia, C.; Gianolio, E.; Sibillano, T.; Mercurio, F.A.; Leone, M.; Giannini, C.; Balasco, N.; Vitagliano, L.; Morelli, G.; Accardo, A. Cross-beta nanostructures based on dinaphthylalanine Gd-conjugates loaded with doxorubicin. Sci. Rep. 2017, 7, 307. [Google Scholar] [CrossRef]
- Kim, I.; Han, E.H.; Ryu, J.; Min, Y.-J.; Ahn, H.; Chung, Y.-H.; Lee, E. One-dimensional supramolecular nanoplatforms for theranostics based on co-assembly of peptide amphiphiles. Biomacromolecules 2016, 17, 3234–3243. [Google Scholar] [CrossRef]
- Diaferia, C.; Balasco, N.; Sibillano, T.; Ghosh, M.; Adler-Abramovich, L.; Giannini, C.; Vitagliano, L.; Morelli, G.; Accardo, A. Amyloid-like fibrillary morphology originated by tyrosine-containing aromatic hexapeptides. Chem. Eur. J. 2018, 24, 6804–6817. [Google Scholar] [CrossRef]
- Greenfield, N.J. Using circular dichroism spectra to estimate protein secondary structure. Nat. Protoc. 2006, 1, 2876–2890. [Google Scholar] [CrossRef] [PubMed]
- Kong, J.; Yu, S. Fourier transform infrared spectroscopic analysis of protein secondary structures. Acta Biochim. Biophys. Sin. 2007, 39, 549–559. [Google Scholar] [CrossRef] [PubMed]
- Howie, A.J.; Brewer, D.B. Optical properties of amyloid stained by Congo Red: History and mechanisms. Micron 2009, 40, 285–301. [Google Scholar] [CrossRef] [PubMed]
- Aime, S.; Fasano, M.; Terreno, E.; Botta, M. Protein-Bound Metal Chelates. In The Chemistry of Contrast Agents in Medical Magnetic Resonance Imaging; Chap., 5, Merbach, A.E., Toth, E., Eds.; John Wiley & Sons, LTD: Chichester, UK, 2001; pp. 193–241. [Google Scholar]
- Blombergen, N. Proton relaxation times in paramagnetic solutions. J. Chem. Phys. 1957, 27, 572. [Google Scholar] [CrossRef]
- Solomon, I. Relaxation processes in a system of two spins. Phys. Rev. 1955, 99, 559–565. [Google Scholar] [CrossRef]
- Battistini, E.; Gianolio, E.; Gref, R.; Couvreur, P.; Fuzerova, S.; Othman, M.; Aime, S.; Badet, B.; Durand, P. High-relaxivity magnetic resonance imaging (MRI) contrast agent based on supramolecular assembly between a gadolinium chelate, a modified dextran, and poly-beta-cyclodextrin. Chem. Eur. J. 2008, 14, 4551–4561. [Google Scholar] [CrossRef]
- Tei, L.; Gugliotta, G.; Baranyai, Z.; Botta, M. A new bifunctional Gd-III complex of enhanced efficacy for MR-molecular imaging applications. Dalton Trans. 2009, 9712–9714. [Google Scholar] [CrossRef] [PubMed]
- Tei, L.; Barge, A.; Geninatti Crich, S.; Pagliarin, R.; Negri, V.; Ramella, D.; Cravotto, G.; Aime, S. Target visualization by MRI using the avidin/biotin amplification route: Synthesis and testing of a biotin-Gd-DOTA monoamide trimer. Chem. Eur. J. 2010, 16, 8080–8087. [Google Scholar] [CrossRef]
- Lipari, G.; Szabo, A. Model-free approach to the interpretation of nuclear magnetic resonance relaxation in macromolecules. 1. Theory and range of validity. J. Am. Chem. Soc. 1982, 104, 4546–4559. [Google Scholar] [CrossRef]
- Lipari, G.; Szabo, A. Model-free Approach to the interpretation of nuclear magnetic resonance relaxation in macromolecules. 2. Analysis of experimental results. J. Am. Chem. Soc. 1982, 104, 4559–4570. [Google Scholar] [CrossRef]
- Fattah, A.R.A.; Mishriki, S.; Kammann, T.; Sahu, R.P.; Geng, F.; Puri, I.K. Gadopentatic acid affects in vitro proliferation and doxorubicin response in human breast adenocarcinoma cells. Biometals 2018, 31, 605–616. [Google Scholar] [CrossRef] [PubMed]
- Heinrich, M.C.; Kuhlmann, M.K.; Kohlbacher, S.; Scheer, M.; Grgic, A.; Heckmann, M.B.; Uder, M. Cytotoxicity of iodinated and gadolinium-based contrast agents in renal tubular cells at angiographic concentrations: In vitro study. Radiology 2007, 242, 425–434. [Google Scholar] [CrossRef]
- Bower, D.V.; Richter, J.K.; von Tengg-Kobligk, H.; Heverhagen, J.T.; Runge, V.M. Gadolinium-Based MRI Contrast Agents Induce Mitochondrial Toxicity and Cell Death in Human Neurons, and Toxicity Increases With Reduced Kinetic Stability of the Agent. Invest. Radiol. 2019, 54, 453–463. [Google Scholar] [CrossRef]
- Diaferia, C.; Gosh, M.; Sibillano, T.; Gallo, E.; Stornaiuolo, M.; Giannini, C.; Morelli, G.; Adler-Abramovich, L.; Accardo, A. Fmoc-FF and hexapeptide-based multicomponent hydrogels as scaffold materials. Soft Matter 2019, 15, 487–496. [Google Scholar] [CrossRef]
- Diaferia, C.; Gianolio, E.; Accardo, A.; Morelli, G. Gadolinium containing telechelic PEG-polymers end-capped by di-phenylalanine motives as potential supramolecular MRI contrast agents. J. Pept. Sci. 2017, 23, 122–130. [Google Scholar] [CrossRef]
- Arena, F.; Singh, J.B.; Gianolio, E.; Stefania, R.; Aime, S. Beta-Gal gene expression MRI reporter in melanoma tumor cells. design, synthesis, and in vitro and in vivo testing of a Gd (III) Containing Probe Forming a High Relaxivity, Melanin-Like Structure upon Beta-Gal enzymatic activation. Bioconj. Chem. 2011, 22, 2625–2635. [Google Scholar] [CrossRef] [PubMed]
- Nanni, P.; De Giovanni, C.; Lollini, P.L.; Nicoletti, G.; Prodi, G. TS/A: A new metastasizing cell line from a BALB/c spontaneous mammary adenocarcinoma. Clin. Exp. Metastasis 1983, 1, 373–380. [Google Scholar] [CrossRef] [PubMed]







| System | r1 (mM−1s−1) at 21.5 MHz, 25 °C | Δ2(s−2) [a] | τV (ps) [b] | τRl (ps) [c] | τRg (ps) [c] | S2 [d] |
|---|---|---|---|---|---|---|
| DTPA(Gd)-PEG8-(FY)3 | 10.5 | 8.75 × 1018 | 51 | 76 | 1718 | 0.44 |
| 0.5 mg/mL, pH = 7 | ||||||
| DOTA(Gd)-PEG8-(FY)3 | 8.6 | 8.29 × 1018 | 45 | 45 | 2060 | 0.36 |
| 0.5 mg/mL, pH = 7 | ||||||
| DTPA(Gd)-PEG8-(FY)3 | 12.0 | 1.32 × 1019 | 46 | 330 | 3378 | 0.32 |
| 5 mg/mL, pH = 7 | ||||||
| DOTA(Gd)-PEG8-(FY)3 | 12.1 | 9.60 × 1018 | 46 | 224 | 2690 | 0.40 |
| 10 mg/mL, pH = 7 | ||||||
| DTPA(Gd)-PEG8-(FY)3 | 13.1 | 7.97 × 1018 | 57 | 293 | 2270 | 0.44 |
| 0.5 mg/mL, pH = 3 | ||||||
| DTPA(Gd)-PEG8-(FY)3 | 13.5 | 8.15 × 1018 | 55 | 400 | 2480 | 0.41 |
| 0.5 mg/mL, pH = 11 |
© 2020 by the authors. Licensee MDPI, Basel, Switzerland. This article is an open access article distributed under the terms and conditions of the Creative Commons Attribution (CC BY) license (http://creativecommons.org/licenses/by/4.0/).
Share and Cite
Gallo, E.; Diaferia, C.; Di Gregorio, E.; Morelli, G.; Gianolio, E.; Accardo, A. Peptide-Based Soft Hydrogels Modified with Gadolinium Complexes as MRI Contrast Agents. Pharmaceuticals 2020, 13, 19. https://doi.org/10.3390/ph13020019
Gallo E, Diaferia C, Di Gregorio E, Morelli G, Gianolio E, Accardo A. Peptide-Based Soft Hydrogels Modified with Gadolinium Complexes as MRI Contrast Agents. Pharmaceuticals. 2020; 13(2):19. https://doi.org/10.3390/ph13020019
Chicago/Turabian StyleGallo, Enrico, Carlo Diaferia, Enza Di Gregorio, Giancarlo Morelli, Eliana Gianolio, and Antonella Accardo. 2020. "Peptide-Based Soft Hydrogels Modified with Gadolinium Complexes as MRI Contrast Agents" Pharmaceuticals 13, no. 2: 19. https://doi.org/10.3390/ph13020019
APA StyleGallo, E., Diaferia, C., Di Gregorio, E., Morelli, G., Gianolio, E., & Accardo, A. (2020). Peptide-Based Soft Hydrogels Modified with Gadolinium Complexes as MRI Contrast Agents. Pharmaceuticals, 13(2), 19. https://doi.org/10.3390/ph13020019

