A Hybrid Stochastic Approach for Self-Location of Wireless Sensors in Indoor Environments
Abstract
:1. Introduction
- Temporal variations: when the receiver remains in a fixed position, the signal level measured varies as time goes by.
- Small-Scale variations: the signal level changes when the device is moving over small distances (less than the wavelength). In IEEE 802.11 b/g technologies the wavelength is 12.5 cm.
- Large-Scale variations: the signal level varies with the distance due to the attenuation that the radio frequency (RF) signal suffers with the distance.
- Emergencies: When we want to locate an individual in the case of an emergency (injury or criminal attacks) or in a life-threatening situation. Both can be located using the positioning capability of the mobile device.
- Information: It can be used in public places such as swimming pools, museums, conferences, etc. in order to provide information service about this place to the user depending on his position.
- Navigation: When the user needs to meet the situation of addresses, positions, directions in an indoor places such as big supermarkets, commercial centers, etc.
- Discovery: When it is necessary to find or locate things or persons in indoor places. It is very useful to locate people with Alzheimer or to locate disabled people with very little motion.
- Security: It can be used to avoid theft, to move unwanted items, etc. Wireless sensors would be in specific places, when the sensors transfer a position threshold they send an alarm.
- Tracking: When it is required to track a device or person inside a building.
2. Related Works
2.1. Deductive Methods
2.2. Inductive Methods
2.3. Hybrid Methods
3. Hybrid Stochastic Approach to Location Estimation
3.1. Stochastic Approach for Location Estimation
3.2. Inductive Approach for Location Estimation
3.3. Deductive Approach for Location Estimation
3.4. Stochastic Hybrid Approach for Location Estimation
3.5. Implementation Details
4. Experimental Results
4.1. Test Bench
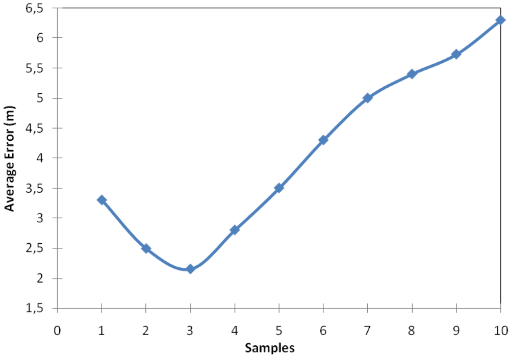
4.2. Error Measurement Based on the Number of Samples
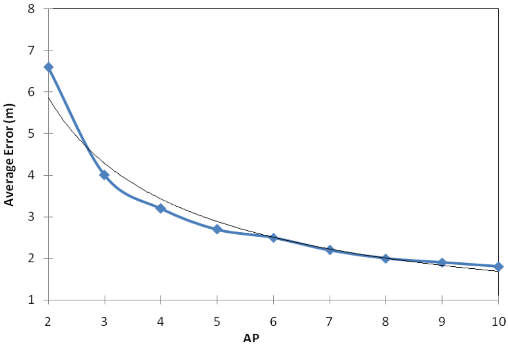
4.3. Error Measurement Based on the number of APs (Base Stations)
4.4. Comparative Measurement with others Existing Location Systems
- Inductive 1. This is an inductive location system which has enough a number of samples for an adequate training.
- Inductive 2. It is also an inductive location system, but in this case, the number of samples is very low.
- Deductive. This system uses the method based on the equation of spread that we have seen in subsection 4.3.
- The Hybrid method. This is our proposed method.
- Ekahau, which is the basis of many currently used location systems [38].
5. Hybrids Methods Comparison
6. Conclusions
References
- Akyildiz, I.F.; Su, W.; Sankarasubramaniam, Y.; Cayirci, E. Wireless sensor networks: a survey, Computer Networks. 2002, 38, 393–422. [Google Scholar]
- Hoffmann-Wellenhof, B.; Lichtenegger, H.; Collins, J. Global Positioning System: Theory and Practice, 4th Edition ed; Springer-Verlag: New York, 1997. [Google Scholar]
- Tekinay, S. Wireless Geolocation Systems and Services. IEEE Commun. Mag. 1998, 36, 28–28. [Google Scholar]
- Bahl, P.; Padmanabhan, V.N. Radar: An in-building user location and tracking system. In Proceedings of the IEEE Infocom; 2000; Volume 2, pp. 775–784. [Google Scholar]
- Ni, L.M.; Liu, Y.; Lau, Y.C.; Patil, A.P. Landmarc: Indoor location sensing using active RFID. Wireless Networks 2004, 10, 701–710. [Google Scholar]
- Shreve, G.; Kell, D. A precision location network using Ultra Wide Band WLAN radios. In Proc. of Third IEEE Workshop on Wireless LANs; 2001. [Google Scholar]
- Gonzalez-Castano, F.J.; Garcia-Reinoso, J.J. Bluetooth Location Networks. IEEE Globecom Int. Conference; 2002; 1, pp. 233–237. [Google Scholar]
- Park, W.; Yoon, M. The Implementation of Indoor Location System to Control ZigBee Home Network. SICEICASE. Int. Joint Conference; 2006; pp. 2158–2161. [Google Scholar]
- Harter, A.; Hopper, A. A distributed location system for the active office. IEEE Network 1994, 8, 62–70. [Google Scholar]
- Youssef, M.; Agrawala, A. Small-Scale Compensation for WLAN Location Determination Systems. Proc. of the 2003 ACM Workshop on Wireless Security 2003, 11–20. [Google Scholar]
- Garcia, M.; Tomas, J.; Boronat, F.; Lloret, J. The Development of Two Systems for Indoor Wireless Sensors Self-location. Ad Hoc Sens. Wireless Netw. in press.
- Li, B.; Salter, J.; Dempster, A.G.; Rizos, C. Indoor Positioning Techniques Based on Wireless LAN. First IEEE International Conference on Wireless Broadband and Ultra Wideband Communications, paper 113. Sydney, Australia, 13-16, March 2006.
- Mao, G.Q.; Fidan, B.; Anderson, B.D.O. Wireless sensor network localization techniques. Comput. Networks 2007, 51, 2529–2553. [Google Scholar]
- Patwari, N.; Ash, J.N.; Kyperountas, S.; Hero, A.O.; Moses, R.L.; Correal, N.S. Locating the nodes: cooperative localization in wireless sensor networks. IEEE Signal Process Mag. 2005, 22, 54–69. [Google Scholar]
- Schmidt, R. Multiple emitter location and signal parameter estimation. IEEE Trans. Antennas Propag. 1986, 34, 276–280. [Google Scholar]
- Roy, R.; Kailath, T. ESPRIT-estimation of signal parameters via rotational invariance techniques. IEEE Trans. Acoust. Speech Signal Process. 1989, 37, 984–995. [Google Scholar]
- Paulraj, A.; Roy, R.; Kailath, T. A subspace rotation approach to signal parameter estimation. Proceedings of the IEEE 74 1986, 1044–1046. [Google Scholar]
- Romer, K. The lighthouse location system for smart dust. Proceedings of MobiSys 2003 (ACM/USENIX Conferenceon Mobile Systems, Applications, and Services); 2003; pp. 15–30. [Google Scholar]
- Niculescu, D.; Nath, B. VOR base stations for indoor 802.11 positioning. Proc. of the 10th Annual international Conference on Mobile Computing and Networking. MobiCom ‘04. ACM, New York, NY, September 26-October 01, 2004; pp. 58–69, Philadelphia, PA, USA.
- Garcia, M.; Martinez, C.; Tomas, J.; Lloret, J. Wireless Sensors Self-Location in an Indoor WLAN Environment. International Conference on Sensor Technologies and Applications, SensorComm 2007, 14-20 Oct. 2007; pp. 146–151.
- Elnahrawy, E.; Li, X.Y.; Martin, R.P. The limits of localization using signal strength: a comparative study. First Annual IEEE Communications Society Conference on Sensor and Ad Hoc Communications and Networks, 2004. IEEE SECON 2004, 4-7 Oct. 2004; pp. 406–414.
- Krishnan, P.; Krishnakumar, A.; Ju, W.-H.; Mallows, C.; Gamt, S. A system for LEASE: location estimation assisted by stationary emitters for indoor RF wireless networks. IEEE Infocom 2004, 2, 1001–1011. [Google Scholar]
- Siddiqi, S.; Sukhatme, G.S.; Howard, A. Experiments in Monte-Carlo Localization using WiFi Signal Strength. Proceedings of the International Conference on Advanced Robotics, Coimbra, Portugal, Jul 2003.
- Gu, Z.; Gunawan, E. Radiolocation in CDMA cellular system based on joint angle and delay estimation. Wireless Personal Commun. 2002, 23, 297–309. [Google Scholar]
- McGuire, M.; Plataniotis, K.N.; Venetsanopoulos, A.N. Data Fusion of Power and Time Measurements for Mobile Terminal Location. IEEE Trans. Mob. Comput. 2005, 4, 142–153. [Google Scholar]
- Catovic, A.; Sahinoglu, Z. The Cramer-Rao bounds of hybrid TOA/RSS and TDOA/RSS location estimation schemes. IEEE Commun. Lett. 2004, 8, 626–628. [Google Scholar]
- Sahinoglu, Z.; Catovic, A. A hybrid location estimation scheme (H-LES) for partially synchronized wireless sensor networks. IEEE International Conference on Communications, 20-24 June 2004; 7, pp. 3797–3801.
- Wang, H.; Jia, F. A hybrid modeling for WLAN positioning system. International Conference on Wireless Communications, Networking and Mobile Computing, WiCOM 2007; 2007; pp. 2152–2155. [Google Scholar]
- Li, B.; Dempster, A.; Rizos, C.; Barnes, J. Hybrid Method for Localization Using WLAN. Proceedings of SSC 2005 Spatial Intelligence, Innovation and Praxis 2005. [Google Scholar]
- Roos, T.; Myllymäki, P.; Tirri, H.; Misikangas, P.; Sievänen, J. A Probabilistic Approach to WLAN User Location Estimation. Int. J. Wireless Inf. Networks 2002, 9, 155–164. [Google Scholar]
- Xiang, Z.; Song, S.; Chen, J.; Wang, H.; Huang, J.; Gao, X. A Wireless LAN-Based Indoor Positioning Technology. IBM J. Res. Dev. 2004, 48, 617–626. [Google Scholar]
- Xie, H.; Tanin, E.; Kulik, L. Distributed Histograms for Processing Aggregate Data from Moving Objects. International Conference on Mobile Data Management, 1-1 May 2007; pp. 152–157.
- Krishnamachari, B.; Iyengar, S. Distributed Bayesian algorithms for fault-tolerant event region detection in wireless sensor networks. IEEE Trans. Comput. 2004, 53, 241–250. [Google Scholar]
- Nguyen, X.; Jordan, M.; Sinopoli, B. A kernel-based learning approach to ad hoc sensor network localization. ACM Trans. Sensor Networks 2005, 1, 134–152. [Google Scholar]
- Alk, R.; Tummala, D.; li, X. Indoor Propagation Modeling at 2.4 Ghz for IEEE 802.11 Networks. The Sixth Lasted International Multi-Conference on Wireless and Optical Communication, Wireless Networks and Emerging Technologies, Banff, AB, Canada, July 3-5, 2006.
- Lloret, J.; Lopez, J.J.; Turro, C.; Flores, S. A fast design model for indoor radio coverage in the 2.4 GHz wireless LAN. 1st International Symposium on Wireless Communication Systems, 20-22 Sept. 2004; pp. 408–412.
- Hii, P.; Zaslavsky, A. Improving location accuracy by combining WLAN positioning and sensor technology. In Proceedings of the Workshop on Real-World Wireless Sensor Networks; Uppsala, Sweden, 2005. [Google Scholar]
- Ekahau. “Ekahau Positioning Engine 2.0: 802.11-based Wireless LAN positioning system”, An Ekahau Technology Document. Nov 2002. Available online: http://www.ekahau.com.
- Heinzelman, W.; Chandrakasan, A.; Balakrishnan, H. Energy-efficient communication protocol for wireless sensor networks. Proceeding of the Hawaii International Conference on System Sciences, Hawaii, January 2000.





| Parameter | Description | Parameter | Description |
|---|---|---|---|
| l | found location | lj | location of base-station j |
| o | current observation | d0 | reference distance for signal strength measured |
| b | number of base station | o0j | mean signal strength measured to d0 distance from base-station j |
| oj | signal strength from base-station j of o; j∈{1,…,b} | dj | Euclidian distance between l and lj |
| T | set of training data | n | attenuation variation index |
| t | number of training samples | Lwj | attenuation caused by the obstacles from base-station j |
| Ti | training sample i; i∈{1,…,t}; Ti = (li, oi) | w | number of wall crossed |
| li | location of training sample i | L0 | wall average attenuation |
| oi | observation of training sample i | Xσ | zero-mean normal distributed random variable with standard deviation σ. |
| oij | signal strength of training sample i from base-station j | dij | distance from li to lj |
| Bj | base-station j; j∈{1,…,b}; Bj = (lj, o0j) | Lwij | wall attenuation obtained from li to lj |
| Inductive 1 | Inductive 2 | Deductive | Hybrid | Ekahau | |
|---|---|---|---|---|---|
| Error (m) | 1.23▲ | 3.02▲ | 2.75▲ | 1.80 | 2.04Δ |
| Standard deviation | 0.62 | 2.12 | 1.73 | 0.74 | 1.61 |
| Gu et al. [24] | McGuire et al. [25] | Catovic et al. [26] | Sahinoglu et al. [27] | Wang et al. [28] | Li et al. [29] | Our system | |
|---|---|---|---|---|---|---|---|
| Analytical techniques | AOA/TOA | RSS/TDOA | TOA/RSS and TDOA/RSS | TDOA/RSS | RSS | RSS | RSS |
| Outdoor or indoor | Outdoor | Outdoor | Outdoor | Outdoor | Both | Indoor | Both |
| Is it used in WSNs? | No | No | Yes | Yes | No | No | Yes |
| Mean accuracy (m) | 122 | 60 | 2-3.3 | 2.1 | 1.86 | 1.83 | 1.8 |
| Stages | 1 | 1 | 1 | 1 | 3 | 2 | 2 |
| Extra messages | No | No | Yes | Yes | No | No | No |
| Centralized or distributed | Centralized | Centralized | Both | Distributed | Centralized | Centralized | Centralized |
| Recursively update | No | No | No | No | Yes | No | Yes |
© 2009 by the authors; licensee Molecular Diversity Preservation International, Basel, Switzerland. This article is an open access article distributed under the terms and conditions of the Creative Commons Attribution license (http://creativecommons.org/licenses/by/3.0/).
Share and Cite
Lloret, J.; Tomas, J.; Garcia, M.; Canovas, A. A Hybrid Stochastic Approach for Self-Location of Wireless Sensors in Indoor Environments. Sensors 2009, 9, 3695-3712. https://doi.org/10.3390/s90503695
Lloret J, Tomas J, Garcia M, Canovas A. A Hybrid Stochastic Approach for Self-Location of Wireless Sensors in Indoor Environments. Sensors. 2009; 9(5):3695-3712. https://doi.org/10.3390/s90503695
Chicago/Turabian StyleLloret, Jaime, Jesus Tomas, Miguel Garcia, and Alejandro Canovas. 2009. "A Hybrid Stochastic Approach for Self-Location of Wireless Sensors in Indoor Environments" Sensors 9, no. 5: 3695-3712. https://doi.org/10.3390/s90503695
APA StyleLloret, J., Tomas, J., Garcia, M., & Canovas, A. (2009). A Hybrid Stochastic Approach for Self-Location of Wireless Sensors in Indoor Environments. Sensors, 9(5), 3695-3712. https://doi.org/10.3390/s90503695

