Synthesis, Binding and Fluorescence Studies of Bis-2-amidopyrrole Receptors for Bis-carboxylate Anions
Abstract
:1. Introduction
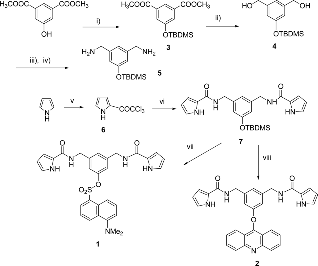
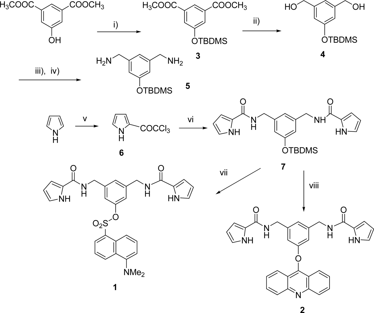
2. Results and Discussion
3. Conclusions
Supplementary material:
sensors-09-01534-s001.pdfAcknowledgments
References and Notes
- Sessler, J.L.; Gale, P.A.; Cho, W.S. Anion Receptor Chemistry; Royal Society of Chemistry: Cambridge, UK; 2006.
- Stryer, L. Biochemistry, 3rd Ed ed; Freeman: New York; 1988.
- Spichiger-Keller, U.E. Chemical Sensors and Biosensors for Medical and Biological Applications; Willey-VCH: Weinheim, Germany; 1998.
- Frontera, A.; Morey, J.; Oliver, A.; Pina, M.N.; Quiñonero, D.; Costa, A.; Ballester, P.; Deya, P.M.; Anslyn, E.V. Rational design, synthesis, and application of a new receptor for the molecular recognition of tricarboxylate salts in aqueous media. J. Org. Chem 2006, 71, 7185–7195. [Google Scholar]
- Gale, P.A. Amidopyrroles: from anion receptors to membrane transport agents. Chem. Commun 2005, 3761–3772. [Google Scholar]
- Zeng, Z.; He, Y.; Wu, J.; Wei, L.; Liu, X.; Meng, Z.; Yang, X. Synthesis of two branched fluorescent receptors and their binding properties for bis-carboxylate anions. Eur. J. Org. Chem 2004, 2888–2893. [Google Scholar]
- Valeur, B. Molecular Fluorescence, Principles and Applications; Willey-VCH, Verlag: Weinheim, Germany, 2002. [Google Scholar]
- Martínez-Máñez, R.; Sancenón, F. Fluorogenic and chromogenic chemosensors and reagents for anions. Chem. Rev 2003, 103, 4419–4476. [Google Scholar]
- de Silva, A.P.; Gunaratne, H.Q.N.; Gunnlaugsson, T.; Huxley, A.J.M.; McCoy, C.P.; Rademacher, J.T.; Rice, T.E. Signaling recognition events with fluorescent sensors and switches. Chem. Rev 1997, 97, 1515–1566. [Google Scholar]
- Callan, J.F.; de Silva, A.P.; Magri, D.C. Luminiscent sensors and switches in the early 21st century. Tetrahedron 2005, 61, 8551–8588. [Google Scholar]
- Chen, C.L.; Lin, T.P.; Chen, Y.S.; Sun, S.S. Probing receptor-anion interactions by ratiometric chemosensors containing pyrrolecarboxamide interacting sites. Eur. J. Org. Chem 2007, 3999–4010. [Google Scholar]
- Gale, A.P.; Camiolo, S.; Tizzard, G.J.; Chapman, C.P.; Light, M.E.; Coles, S.J.; Hursthouse, M.B. 2-Amidopyrroles and 2,5-diamidopyrroles as simple anion binding agents. J. Org. Chem 2001, 66, 7849–7853. [Google Scholar]
- Mitsounobu, O. The use of diethylazodicarboxylate and triphenylphosphine in synthesis and transformations of natural products. Synthesis 1981, 1–28. [Google Scholar]
- Hughes, D.L. Organic Reactions; John Wiley & Sons: New York, 1992; Volume 42, p. 335. [Google Scholar]
- Roush, W.R.; Straub, J.A.; Brown, R.J. Total synthesis of carbohydrates.5.Stereochemistry of the epoxidations of acyclic allylic amides- applications toward the synthesis of 2,3,6-trideoxy-3-aminohexoses. J. Org. Chem 1987, 52, 5127–5136. [Google Scholar]
- Fielding, L. Determination of association constants from solution NMR data. Tetrahedron 2000, 56, 6151–6170. [Google Scholar]
- Connors, K.A. Binding Constants: The Measurement of Molecular Complex Stability; John Willey&Sons: New York, 1987. [Google Scholar]
- Mei, M.H.; Wu, S.K. Fluorescence sensor for alfa, omega-dicarboxylate anions. New. J. Chem 2001, 25, 471–475. [Google Scholar]
- Gunnlaugsson, T.; Davis, P.A.; O’Brian, E.J.; Glynn, M. Fluorescent sensing of pyrophosphate and bis-carboxylates with charge neutral PET chemosensors. Org. Lett 2002, 4, 2449–2452. [Google Scholar]




| Guest | 1 Kass (M−1) | 2 Kass (M−1) |
|---|---|---|
| Succinate | 2.5×102 | 2.1×102 |
| Glutarate | 8.9×103 | 5.8×103 |
| Adipate | 8.2×103 | 3.9×103 |
| Pimelate | 5.3×103 | 3.1×103 |
| Suberate | 4.0×103 | 2.8×103 |
| Isophthalate | 4.2×104 | 1.7 ×104 |
| Terephthalate | 1.0×104 | 6.2×103 |
© 2009 by the authors; licensee MDPI, Basel, Switzerland This article is an open-access article distributed under the terms and conditions of the Creative Commons Attribution license (http://creativecommons.org/licenses/by/3.0/).
Share and Cite
Jiménez, B.; Calle, E.; Caballero, C. Synthesis, Binding and Fluorescence Studies of Bis-2-amidopyrrole Receptors for Bis-carboxylate Anions. Sensors 2009, 9, 1534-1540. https://doi.org/10.3390/s90301534
Jiménez B, Calle E, Caballero C. Synthesis, Binding and Fluorescence Studies of Bis-2-amidopyrrole Receptors for Bis-carboxylate Anions. Sensors. 2009; 9(3):1534-1540. https://doi.org/10.3390/s90301534
Chicago/Turabian StyleJiménez, Belén, Emilio Calle, and Cruz Caballero. 2009. "Synthesis, Binding and Fluorescence Studies of Bis-2-amidopyrrole Receptors for Bis-carboxylate Anions" Sensors 9, no. 3: 1534-1540. https://doi.org/10.3390/s90301534
APA StyleJiménez, B., Calle, E., & Caballero, C. (2009). Synthesis, Binding and Fluorescence Studies of Bis-2-amidopyrrole Receptors for Bis-carboxylate Anions. Sensors, 9(3), 1534-1540. https://doi.org/10.3390/s90301534
