Modeling Potential Distribution and Carbon Dynamics of Natural Terrestrial Ecosystems: A Case Study of Turkey
Abstract
:1. Introduction
2. Materials and Methods
2.1. Description of Study Region
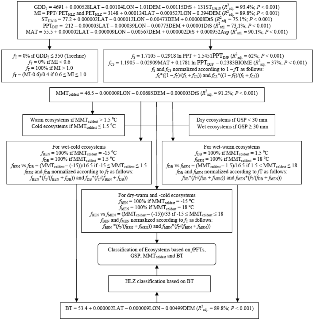
2.2. Derivation of Bioclimatic Indices
2.3. Mapping Biogeoclimate Zones and Potential Natural Plant Functional Types
2.4. Quantifying Total Net Primary Productivity and Soil Organic Carbon Density
3. Results
3.1. Biogeoclimate Zones
3.2. Potential Natural Land Cover and Plant Functional Types
3.3. Total Net Primary Production under Growth-Limiting and Optimal Conditions
3.4. Soil Organic Carbon Density
4. Discussion
Acknowledgments
References
- Behrenfeld, M.J.; Randerson, J.T.; McClain, C.R.; Feldman, G.C.; Los, S.O.; Tucker, C.J.; Falkowski, P.G.; Field, C.B.; Frouin, R.; Esaias, W.E.; Kolber, D.D.; Pollack, N.H. Biospheric primary production during an ENSO transition. Science 2001, 291, 2594–2597. [Google Scholar]
- Hicke, J.A.; Asner, G.P.; Randerson, J.T.; Tucker, C.J.; Los, S.; Birdsey, R.; Jenkins, J.C.; Field, C. Trends in North American net primary productivity derived from satellite observations, 1982–1998. Global Biogeochemical Cycles 2002, 16, 1018. [Google Scholar] [CrossRef]
- Nemani, R.R.; Keeling, C.D.; Hashimoto, H.; Jolly, W.M.; Piper, S.C.; Tucker, C.J.; Myneni, R.B.; Running, S.W. Climate-driven increases in global terrestrial net primary production from 1982 to 1999. Science 2003, 300, 1560–1563. [Google Scholar]
- Potter, C.; Klooster, S.; Myneni, R.; Genovese, V.; Tan, P.; Kumar, V. Continental scale comparisons of terrestrial carbon sinks estimated from satellite data and ecosystem modeling 1982-98. Global Planetary Change 2003, 39, 201–213. [Google Scholar]
- Hashimoto, H.; Nemani, R.R.; White, M.A.; Jolly, W.M.; Piper, S.C.; Keeling, C.D.; Myneni, R.B.; Running, S.W. El Niño–Southern Oscillation–induced variability in terrestrial carbon cycling. Journal of Geophysical Research 2004, 109, D23110. [Google Scholar] [CrossRef]
- Field, C.B.; Behrenfeld, M.J.; Randerson, J.T.; Falkowski, P.G. Primary production of the biosphere: integrating terrestrial and oceanic components. Science 1998, 281, 237–240. [Google Scholar]
- Adams, B.; White, A.; Lenton, T.M. An analysis of some diverse approaches to modelling terrestrial net primary productivity. Ecological Modelling 2004, 177, 353–391. [Google Scholar]
- Evrendilek, F.; Wali, M.K. Changing global climate: historical carbon and nitrogen budgets and projected responses of Ohio's cropland ecosystems. Ecosystems 2004, 7, 381–392. [Google Scholar]
- Wali, M.K.; Evrendilek, F.; West, T.; Watts, S.; Pant, D.; Gibbs, H.; McClead, B. Assessing terrestrial ecosystem sustainability: usefulness of regional carbon and nitrogen models. Nature & Resources 1999, 35, 20–33. [Google Scholar]
- Pan, Y.; Li, X.; Gong, P.; He, C.; Shi, P.; Pu, R. An integrative classification of vegetation in China based on NOAA AVHRR and vegetation–climate indices of the Holdridge life zone. International Journal of Remote Sensing 2003, 24, 1009–1027. [Google Scholar]
- Zheng, D.; Prince, S.; Wright, R. Terrestrial net primary production estimates for 0.5° grid cells from field observations—a contribution to global biogeochemical modeling. Global Change Biology 2003, 9, 46–64. [Google Scholar]
- Wilson, M.F.; Henderson-Sellers, A. A global archive of land cover and soils data for use in general circulation climate models. Journal of Climatology 1985, 5, 119–143. [Google Scholar]
- DeFries, R.S.; Townshend, J.R.G. NDVI-derived land cover classification at a global scale. International Journal of Remote Sensing 1994, 15, 3567–3586. [Google Scholar]
- Köppen, W. Das geographische system der klimate. In Handbuch der Klimatologie; Koppen, W., Geiger, R., Eds.; Borntrager: Berlin, 1936; pp. 1–40. [Google Scholar]
- Holdridge, L.R. Determination of world plant formations from simple climate data. Science 1947, 105, 367–368. [Google Scholar]
- Box, E.O. Factors determining distributions of tree species and plant functional types. Vegetation 1995, 121, 101–116. [Google Scholar]
- Krajina, V.J. Biogeoclimatic zones and biogeocoenoses of British Columbia. Ecology of Western North America 1965, 1, 1–17. [Google Scholar]
- Box, E.O. Predicting physiognomic vegetation types with climate variables. Vegetatio 1981, 45, 127–139. [Google Scholar]
- Bailey, R.G. Delineation of ecosystem regions. Environmental Management 1983, 7, 365–373. [Google Scholar]
- Ollinger, S.V.; Aber, J.D.; Federer, C.A. Estimating regional forest productivity and water yield using an ecosystem model linked to a GIS. Landscape Ecology 1998, 13, 323–334. [Google Scholar]
- Running, S.W.; Coughlan, J.C. A general model of forest ecosystem processes for regional applications, I. hydrologic balance, canopy gas exchange and primary production processes. Ecological Modelling 1988, 42, 125–154. [Google Scholar]
- Burke, I.C.; Schimel, D.S.; Yonker, C.M.; Parton, W.J.; Joyce, L.A.; Lauenroth, W.K. Regional modeling of grassland biogeochemistry using GIS. Landscape Ecology 1990, 4, 45–54. [Google Scholar]
- Raich, J.W.; Rastetter, E.B.; Melillo, J.M.; Kicklighter, D.W.; Steudler, P.A.; Peterson, B.J.; Grace, A.L.; Moore, B., III; Vorosmarty, C.J. Potential net primary productivity in South-America-application of a global-model. Ecological Applications 1991, 1, 399–429. [Google Scholar]
- Daly, C.; Neilson, R.P.; Phillips, D.L. A statistical-topographical model for mapping climatological precipitation over mountainous terrain. Journal of Applied Meteorology 1994, 33, 140–158. [Google Scholar]
- Aber, J.D.; Ollinger, S.V.; Federer, C.A.; Reich, P.B.; Goulden, M.L.; Kicklighter, D.W.; Melillo, J.M.; Lathrop, J.R.G. Predicting the effects of climate change on water yield and forest production in the northeastern US. Climate Research 1995, 5, 207–222. [Google Scholar]
- Kicklighter, D.W.; Bondeau, A.; Schloss, A.L.; Kaduk, J.; McGuire, A.D. the Participants of the Potsdam NPP Model Intercomparison. Comparing global models of terrestrial net primary productivity (NPP): Global pattern and differentiation by major biomes. Global Change Biology 1999, 5, 16–24. [Google Scholar]
- Evrendilek, F.; Wali, M.K. Modelling long-term C dynamics in croplands in the context of climate change: a case study from Ohio. Environmental Modelling & Software 2001, 16, 361–375. [Google Scholar]
- Stanley, D.J.; Wezel, F.-C. Geological evolution of the Mediterranean Basin; Springer-Verlag: New York, 1985. [Google Scholar]
- GDRS (General Directorate of Rural Services). Digital soil map; Soil and Water Resources National Information Centre: Ankara, 2006. [Google Scholar]
- Oakes, H. The soils of Turkey.; Ministry of Agriculture, Soil Conservation and Farm Irrigation Division Ministry of Agriculture Publishers: Ankara, 1958. [Google Scholar]
- Soil Survey Staff. Soil classification: a comprehensive system, 7th Approximation; U.S. Governmental Print Office: Washington, D.C., 1960. [Google Scholar]
- TSMS (Turkish State Meteorological Service). Monthly climate data between 1968 and 2004.; Turkish State Meteorological Service: Ankara, 2005. [Google Scholar]
- Woodward, F.I. Climate and plant distribution.; Cambridge University Press: New York, 1987. [Google Scholar]
- Loveland, T.R.; Reed, B.C.; Brown, J.F.; Ohlen, D.O.; Zhu, Z.; Yang, L.; Merchant, J.W. Development of a global land cover characteristics database and IGBP DISCover from 1-km AVHRR data. International Journal of Remote Sensing 2000, 6, 1303–1330. [Google Scholar]
- Paruelo, J.M.; Lauenroth, W.K. Climatic controls of the distribution of plant functional types in grasslands and shrublands of North America. Ecological Applications 1996, 6, 1212–1224. [Google Scholar]
- ESRI Inc. ArcGIS 8.2.; ESRI Inc.: Redlands, 2002. [Google Scholar]
- Monteith, J.L. Solar radiation and productivity in tropical ecosystems. Journal of Applied Ecology 1972, 9, 747–766. [Google Scholar]
- Monteith, J.L. Climate and the efficiency of crop production in Britain. Philosophical Transactions of the Royal Society B-Biological Sciences 1977, 281, 277–294. [Google Scholar]
- Kumar, M.; Monteith, J.L. Remote sensing of crop growth. In Plants and the Daylight Spectrum; Smith, H., Ed.; Academic Press: London, 1981; pp. 133–144. [Google Scholar]
- Ruimy, A.; Saugier, B.; Dedieu, G. Methodology for the estimation of terrestrial primary production from remotely sensed data. Journal of Geophysical Research 1994, 99, 5263–5283. [Google Scholar]
- McCree, K.J. Test of current definitions of photosynthetically active radiation against leaf photosynthesis data. Agricultural Meteorology 1972, 10, 443–453. [Google Scholar]
- Friedlingstein, P.; Delire, C.; Muller, J.F.; Gerard, J.C. The climate induced variation of the continental biosphere: a model simulation of the Last Glacial Maximum. Geophysical Research Letters 1992, 19, 897–900. [Google Scholar]
- Leith, H. Modeling the primary productivity of the world. In Primary productivity of the Biosphere; Leith, H., Whittaker, R.H., Eds.; Springer-Verlag: New York, 1975; pp. 237–262. [Google Scholar]
- Dai, A.; Fung, I.Y. Can climate variability contribute to the ‘missing’ CO2 sink? Global Biogeochemical Cycles 1993, 7, 599–609. [Google Scholar]
- Jenny, H. Factors of soil formation; McGraw-Hill: New York, 1941. [Google Scholar]
- Zinke, P.J.; Stangenberger, A.G.; Post, W.P.; Emanual, W.R.; Olson, J.S. Worldwide organic soil carbon and nitrogen data.; ORNL/NDP–018, Oak Ridge National Laboratory: Oak Ridge, Tennessee, 1986. [Google Scholar]
- Yang, X.; Wang, M.; Huang, Y.; Wang, Y. A one-compartment model to study soil carbon decomposition rate at equilibrium situation. Ecological Modelling 2002, 151, 63–73. [Google Scholar]
- Post, W.M.; Pastor, J.; Zinke, P.J.; Stangenberger, A.G. Global patterns of soil nitrogen storage. Nature 1985, 317, 613–616. [Google Scholar]
- Running, S.W.; Ramakrishna, R.N.; Heinsch, F.A.; Zhao, M.; Reeves, M.; Hashimotoa, H. Continuous satellite-derived measure of global terrestrial primary production. BioScience 2004, 54, 547–560. [Google Scholar]
- Kucharik, C.J.; Foley, J.A.; Delire, C.; Fisher, V.A.; Coe, M.T.; Lenters, J.D.; Young-Molling, C.; Ramankutty, N.; Norman, J.M.; Gower, S.T. Testing the performance of a dynamic global ecosystem model: water balance, carbon balance, and vegetation structure. Global Biogeochemical Cycles 2000, 14, 795–825. [Google Scholar]
- Potter, C.S.; Randerson, J.T.; Field, C.B.; Matson, P.A.; Vitousek, P.M.; Mooney, H.A.; Klooster, S.A. Terrestrial ecosystem production: A process model based on global satellite and surface data. Global Biogeochemical Cycles 1993, 7, 811–841. [Google Scholar]
- Kaduk, J.; Heimann, M. Assessing the climate sensitivity of the global terrestrial carbon cycle model SILVAN. Physics and Chemistry of the Earth 1996, 21, 529–535. [Google Scholar]
- Kaya, Z.; Raynal, D.J. Biodiversity and conservation of Turkish forests. Biological Conservation 2001, 97, 131–141. [Google Scholar]
- Yue, T.X.; Fan, Z.M.; Liu, J.Y. Changes of major terrestrial ecosystems in China since 1960. Global Planetary Change 2005, 48, 287–302. [Google Scholar]
- Zheng, Y.; Xie, Z.; Jiang, L.; Shimizu, H.; Drake, S. Changes in Holdridge Life Zone diversity in the Xinjiang Uygur Autonomous Region (XUAR) of China over the past 40 years. Journal of Arid Environments 2006, 66, 113–126. [Google Scholar]
- Berberoglu, S.; Evrendilek, F.; Ozkan, C.; Donmez, C. Modeling forest productivity using Envisat MERIS data. Sensors 2007, 7(10), 2115–2127. [Google Scholar]







| PFT | NPPB:NPPA ratio | LUET (g DM MJ-1) | ||
|---|---|---|---|---|
| min | mean | max | ||
| B ENF | 0.29-0.44 | 0.73 | 1.57 | 1.69 |
| CT ENF | 0.29-0.44 | 0.73 | 1.57 | 1.69 |
| WT DBF | 0.29-0.37 | 0.31 | 1.01 | 2.72 |
| M ENF | 0.17-0.25 | 0.24 | 0.37 | 1.71 |
| CT ENW/S | 0.29-0.44 | 0.73 | 1.57 | 1.69 |
| WT DBW/S | 0.29-0.37 | 0.31 | 1.01 | 2.72 |
| M ENW/S | 0.17-0.25 | 0.24 | 0.37 | 1.71 |
| CT steppe | 0.24-0.50 | 0.6 | 1.26 | 2.71 |
| WT steppe | 0.24-0.50 | 0.6 | 1.26 | 2.71 |
| M steppe | 0.24-0.50 | 0.6 | 1.26 | 2.71 |
| Biogeoclimate zone | Mean elevation (m) | Total area (km2) | GSP (mm month-1) | BT (°C) | PER | Dryness / coldness | Area(km2) |
|---|---|---|---|---|---|---|---|
| (Sub)nival | 3104 ± 258 | 1447 | 60 ± 31 | 0.6 ± 0.9 | 0.27 ± 0.14 | Dry cold | 664 |
| Moist cold | 783 | ||||||
| Alpine | 2831 ± 220 | 4997 | 42 ± 28 | 2.3 ± 0.4 | 0.33 ± 0.10 | Dry cold | 2073 |
| Moist cold | 2924 | ||||||
| Boreal | 2391 ± 264 | 43246 | 32 ± 20 | 4.8 ± 0.8 | 0.52 ± 0.14 | Dry cold | 24658 |
| Moist cold | 18588 | ||||||
| Cool Temperate | 1423 ± 413 | 403664 | 22 ± 14 | 9.6 ± 1.5 | 1.11 ± 0.35 | Dry cold | 328840 |
| Moist warm | 10662 | ||||||
| Moist cold | 64162 | ||||||
| Warm Temperate | 663 ± 371 | 264563 | 19 ± 17 | 13.5 ± 1.1 | 1.40 ± 0.41 | Dry warm | 222015 |
| Moist warm | 42239 | ||||||
| Moist cold | 309 | ||||||
| Mediterranean | 303 ± 211 | 62679 | 10 ± 7 | 17.3 ± 1.0 | 1.59 ± 0.45 | Dry warm | 61625 |
| Moist warm | 1054 | ||||||
| Total | 1141 ± 655 | 780595 | 21 ± 16 | 11.3 ± 3.3 | 1.21 ± 0.44 | 100 |
| Biogeoclimate zone | PFT | EN (%) | DB (%) | Area (km2) | Percent of total land (%) |
|---|---|---|---|---|---|
| Forest (fT ≥ 60%) | |||||
| Boreal | EN | 70-90 | 10-30 | 27900 | 3.6 |
| DB, EN-DB mix | 20-70 | 30-80 | 13127 | 1.7 | |
| Cool temperate | EN-DB mix | <70 | >30 | 172184 | 22.1 |
| EN | ≥70 | ≤30 | 59690 | 7.6 | |
| DB | ≤30 | ≥70 | 8459 | 1.1 | |
| Warm temperate | DB, EN-DB mix | <70 | >30 | 45591 | 5.8 |
| DB | ≤30 | ≥70 | 30451 | 3.9 | |
| EN-DB mix | 30-50 | 50-70 | 3034 | 0.4 | |
| Mediterranean | EN | ≥70 | ≤30 | 10441 | 1.3 |
| DB | ≤30 | ≥70 | 101 | 0.01 | |
| EN-DB mix | 30-50 | 50-70 | 119 | 0.02 | |
| Total | 371097 | 47.5 | |||
| Shrubland/Woodland (30% ≤ fT < 60%) | |||||
| Cool temperate | DB | ≤30 | ≥70 | 6078 | 0.7 |
| EN-DB mix | 30-40 | 60-70 | 530 | 0.1 | |
| EN | 70-80 | 20-30 | 1205 | 0.2 | |
| DB, EN-DB mix | 20-70 | 30-80 | 60404 | 7.7 | |
| Warm temperate | DB | ≤30 | ≥70 | 6738 | 0.9 |
| EN, EN-DB mix | 30-80 | 20-70 | 62260 | 8.0 | |
| Mediterranean | EN, EN-DB mix | 30-80 | 20-70 | 13392 | 1.7 |
| Total | 150608 | 19.3 | |||
| Grassland (Steppe) (10% ≤ fT < 30%) | |||||
| Cool temperate | C3 | 43068 | 5.5 | ||
| Warm temperate | C3 | 39837 | 5.1 | ||
| Mediterranean | C3 | 13629 | 1.7 | ||
| Total | 96533 | 12.4 | |||
| Barren/Sparsely Vegetated (fT < 10%) | |||||
| Alpine | 4997 | 0.6 | |||
| Boreal | 2218 | 0.3 | |||
| Cool temperate | 52045 | 6.7 | |||
| Warm temperate | 76653 | 9.8 | |||
| Mediterranean | 24997 | 3.2 | |||
| Total | 160910 | 20.6 | |||
| Snow/Ice | |||||
| (Sub)nival | 1447 | 0.2 | |||
| Grand total | 780595 | 100 | |||
| PFTs | Area (km2) (% of total) | TNPP under optimum conditions (g C m-2 yr-1) | TNPP under environmental limitations (g C m-2 yr-1) | ||||
|---|---|---|---|---|---|---|---|
| min | mean | max | min | mean | max | ||
| Forest | |||||||
| B EN tree (IGBP) | 38236(4.9) | 147.4 ± 41 | 317.0 ± 89 | 758.4 ± 215 | 35.3 ± 14 | 76.0 ± 31 | 81.9 ± 33 |
| B EN shrub | 221(0.03) | 45.6 ± 8 | 98.0 ± 17 | 105.5 ± 19 | 23.9 ± 14 | 51.3 ± 31 | 55.2 ± 33 |
| B grass | 38236(4.9) | < 1 | < 1 | < 1 | < 1 | < 1 | < 1 |
| Total | 193 ± 49 | 415 ± 106 | 864 ± 234 | 59 ± 28 | 127 ± 62 | 137 ± 66 | |
| CT EN tree (IGBP) | 226215(29.0) | 280.1 ± 69 | 602.5 ± 148 | 1441.2 ± 355 | 45.0 ± 19 | 96.8 ± 41 | 104.2 ± 45 |
| CT EN shrub | 41210(5.3) | 97.2 ± 25 | 209.1 ± 53 | 225.1 ± 57 | 11.5 ± 4 | 24.7 ± 8 | 26.7 ± 9 |
| CT grass | 226215(29.0) | < 1 | < 1 | 1.9 ± 3 | < 1 | < 1 | < 1 |
| Total | 377 ± 94 | 812 ± 201 | 1668 ± 415 | 57 ± 23 | 122 ± 49 | 131 ± 54 | |
| WT DB tree (IGBP) | 74975(9.6) | 175.9 ± 36 | 573.2 ± 118 | 3430.7 ± 709 | 25.9 ± 11 | 84.3 ± 36 | 227.2 ± 97 |
| WT DB shrub | 23023(2.9) | 60.6 ± 13 | 197.6 ± 43 | 532.0 ± 116 | 7.6 ± 2 | 24.8 ± 8 | 66.8 ± 21 |
| WT grass | 74975(9.6) | < 1 | 1.5 ± 2 | 3.3 ± 4 | < 1 | < 1 | < 1 |
| Total | 237 ± 49 | 772 ± 163 | 3966 ± 829 | 34 ± 13 | 109 ± 44 | 294 ± 118 | |
| M EN tree (IGBP) | 9658(1.2) | 195.5 ± 34 | 301.4 ± 52 | 3096.3 ± 539 | 33.6 ± 8 | 51.8 ±13 | 239.7 ± 62 |
| M EN shrub | 3771(0.5) | 72.2 ± 14 | 111.3 ± 21 | 514.5 ± 98 | 11.0 ± 2 | 17.0 ± 3 | 78.5 ± 15 |
| M grass | 9658(1.2) | 1.0 ± 1 | 2.1 ± 2 | 4.6 ± 4 | < 1 | < 1 | < 1 |
| Total | 269 ± 49 | 415 ± 75 | 3615 ± 641 | 45 ± 10 | 69 ± 16 | 318 ± 77 | |
| Woodland/Shrubland | |||||||
| CT EN W/S (IGBP) | 64824(8.3) | 151.9 ± 34 | 326.8 ± 74 | 781.7 ± 178 | 16.2 ± 5 | 35.0 ± 11 | 37.7 ± 12 |
| CT EN shrub | 67461(8.6) | 179.8 ± 40 | 386.8 ± 86 | 416.3 ± 93 | 19.0 ± 5 | 40.9 ± 11 | 43.9 ± 12 |
| CT grass | 64824(8.3) | 3.2 ± 1 | 6.8 ± 1 | 14.6 ± 3 | < 1 | < 1 | 1.5 ± 0.3 |
| Maximum total | 183 ± 41 | 394 ± 87 | 796 ± 181 | 19 ± 5 | 41 ± 11 | 45 ± 12 | |
| WT DB W/S (IGBP) | 65610(8.4) | 86.6 ± 19 | 282.1 ± 62 | 1688.7 ± 371 | 9.4 ± 3 | 30.9 ± 10 | 83.2 ± 28 |
| WT DB shrub | 67866(8.7) | 108.6 ± 23 | 353.8 ± 74 | 952.8 ± 200 | 11.8 ± 3 | 38.6 ± 11 | 103.8 ± 30 |
| WT grass | 65610(8.4) | 3.4 ± 1 | 7.2 ± 1 | 15.4 ± 2 | < 1 | < 1 | 1.7 ± 0.4 |
| Maximum total | 112 ± 24 | 361 ± 75 | 1704 ± 373 | 12 ± 3 | 39 ± 11 | 106 ± 30 | |
| M EN W/S (IGBP) | 12153(1.6) | 102.9 ± 21 | 158.6 ± 33 | 1629.5 ± 343 | 13.6 ± 3 | 21.0 ± 5 | 97.4 ± 27 |
| M EN shrub | 13043(1.7) | 125.0 ± 20 | 192.7 ± 31 | 890.6 ± 141 | 16.3 ± 3 | 25.2 ± 4 | 116.3 ± 18 |
| M grass | 12153(1.6) | 3.7 ± 1 | 7.8 ± 1 | 16.8 ± 3 | < 1 | 1.0 ± 0.1 | 2.2 ± 0.2 |
| Maximum total | 129 ± 21 | 201 ± 32 | 1646 ± 346 | 16 ± 3 | 26 ± 4 | 119 ± 18 | |
| Grassland (Steppe) | |||||||
| CT grassland (IGBP) | 40981(5.3) | 57.3 ± 17 | 120.5 ± 36 | 576.0 ± 175 | 5.3 ± 2 | 11.3 ± 4 | 24.3 ± 9 |
| CT shrub | 42594(5.5) | 276.3 ± 38 | 594.2 ± 82 | 639.7 ± 88 | 25.6 ± 5 | 55.2 ± 11 | 59.3 ± 13 |
| CT grass | 40981(5.3) | 4.7 ± 1 | 9.8 ± 1 | 21.0 ± 3 | < 1 | < 1 | 1.9 ± 0.2 |
| Maximum total | 334 ± 55 | 715 ± 118 | 1216 ± 263 | 31 ± 7 | 67 ± 15 | 84 ± 22 | |
| WT grassland (IGBP) | 37202(4.8) | 84.6 ± 24 | 117.7 ± 51 | 849.4 ± 247 | 8.8 ± 3 | 18.5 ± 6 | 39.9 ± 13 |
| WT shrub | 39149(5.0) | 168.1 ± 23 | 547.7 ± 75 | 1475.1 ± 202 | 17.5 ± 4 | 56.8 ± 11 | 153.0 ± 29 |
| WT grass | 37202(4.8) | 4.9 ± 1 | 10.3 ± 1 | 22.2 ± 2 | < 1 | 1.0 ± 0.2 | 2.3 ± 0.3 |
| Maximum total | 253 ± 47 | 665 ± 126 | 2325 ± 449 | 26 ± 7 | 75 ± 17 | 193 ± 42 | |
| M grassland (IGBP) | 12439(1.6) | 101.8 ± 31 | 213.9 ± 66 | 1022.5 ± 319 | 11.3 ± 4 | 23.9 ± 8 | 51.4 ± 18 |
| M shrub | 13201(1.7) | 175.8 ± 22 | 271.1 ± 34 | 1252.8 ± 157 | 19.5 ± 3 | 30.0 ± 5 | 138.7 ± 19 |
| M grass | 12439(1.6) | 5.2 ± 0.4 | 11.0 ± 1 | 23.7 ± 2 | < 1 | 1.2 ± 0.1 | 2.6 ± 0.2 |
| Maximum total | 277 ± 53 | 485± 100 | 2275± 476 | 31 ± 7 | 54 ± 13 | 190 ± 37 | |
| Barren/Sparsely Vegetated Land | |||||||
| Sub(nival) shrub | 1428(0.2) | 25.7 ± 8 | 55.2 ± 18 | 59.4 ± 19 | 13.3 ± 9 | 28.7 ± 18 | 30.9 ± 20 |
| Sub(nival) grass | 1361(0.2) | 2.7 ± 1 | 5.6 ± 3 | 12.0 ± 6 | 1.4 ± 1 | 2.9 ± 2 | 6.3 ± 5 |
| Total | 28 ± 9 | 61 ± 21 | 71 ± 25 | 15 ± 10 | 32 ± 20 | 37 ± 25 | |
| Alpine shrub | 4855(0.6) | 45.5 ± 23 | 97.9 ± 50 | 105.4 ± 54 | 18.7 ± 15 | 40.2 ± 33 | 43.3 ± 36 |
| Alpine grass | 4684(0.6) | 3.1 ± 2 | 6.6 ± 4 | 14.2 ± 10 | 1.3 ± 1 | 2.7 ± 3 | 6.0 ± 6 |
| Total | 49 ± 25 | 105 ± 54 | 130 ± 64 | 20 ± 16 | 43 ± 36 | 49 ± 42 | |
| B shrub | 2064(0.3) | 62.6 ± 28 | 134.7 ± 59 | 145.0 ± 64 | 24.0 ± 15 | 51.6 ± 33 | 55.5 ± 35 |
| B grass | 2066(0.3) | 3.1 ± 2 | 6.5 ± 4 | 14.0 ± 10 | 1.2 ± 1 | 2.5 ± 2 | 5.6 ± 5 |
| Total | 66 ± 30 | 141 ± 63 | 159 ± 74 | 25 ± 16 | 54 ± 35 | 61 ± 40 | |
| CT shrub | 51494(6.6) | 355.9 ± 33 | 765.4 ± 72 | 823.9 ± 77 | 28.9 ± 4 | 62.3 ± 9 | 67.2 ± 10 |
| CT grass | 49423(6.3) | 5.6 ± 1 | 11.8 ± 1 | 25.4 ± 2 | < 1 | 0.9 ± 0.1 | 2.1 ± 0.2 |
| Total | 402 ± 34 | 777 ± 73 | 849 ± 79 | 29 ± 4 | 63 ± 9 | 69 ± 10 | |
| WT shrub | 75665(9.7) | 192.6 ± 28 | 627.5 ± 90 | 1689.9 ± 242 | 15.4 ± 4 | 50.1 ± 14 | 134.7 ± 36 |
| WT grass | 71814(9.2) | 6.1 ± 0.5 | 12.8 ± 1 | 27.4 ± 2 | 0.5 ± 0.1 | 1.0 ± 0.2 | 2.2 ± 0.4 |
| Total | 199 ± 29 | 640 ± 91 | 1717 ± 244 | 16 ± 4 | 51 ± 14 | 137 ± 36 | |
| M shrub | 24396(3.1) | 206.4 ± 17 | 318.1 ± 26 | 1470.3 ± 121 | 17.4 ± 3 | 26.9 ± 5 | 124.1 ± 21 |
| M grass | 22572(2.9) | 6.5 ± 0.4 | 13.6 ± 1 | 29.2 ± 2 | < 1 | 1.1 ± 0.2 | 2.5 ± 0.4 |
| Total | 213 ± 17 | 332 ± 27 | 1500 ± 123 | 17 ± 3 | 28 ± 5 | 127 ± 21 | |
| Grand total (Tg C yr-1) of mutually exclusive PFTs | |||||||
| IGBP forest | 349084(44.7) | 84 ± 20 | 194 ± 46 | 642 ± 147 | 14 ± 6 | 32 ± 14 | 46 ± 19 |
| IGBP W/S | 142587(18.3) | 17 ± 4 | 42 ± 9 | 181 ± 40 | 2 ± 1 | 5 ± 2 | 9 ± 3 |
| IGBP grassland | 90622(11.6) | 7 ± 2 | 14 ± 4 | 68 ± 20 | 0.7 ± 0.2 | 1.5 ± 0.5 | 3 ± 1 |
| Grand total IGBP | 582293(74.6) | 108 ± 26 | 250 ± 60 | 891 ± 207 | 16 ± 7 | 38 ± 16 | 58 ± 23 |
| Total shrub | 471440(60.0) | 86 ± 13 | 212 ± 33 | 437 ± 67 | 8 ± 2 | 20 ± 5 | 41 ± 10 |
| Total grass | 734212(94.0) | 1.9 ± 0.3 | 3.8 ± 0.6 | 8.7 ± 1.3 | 0.2 ± 0.1 | 0.4 ± 0.1 | 0.9 ± 0.3 |
| Grand total (Tg C yr-1) of mutually inclusive PFTs | |||||||
| Total forest | 349084(44.7) | 90 ± 22 | 208 ± 50 | 666 ± 153 | 15 ± 6 | 33 ± 14 | 49 ± 20 |
| Total W/S | 148370(19) | 22 ± 5 | 54 ± 11 | 184 ± 40 | 2 ± 1 | 6 ± 2 | 12 ± 3 |
| Total grassland | 94944(12.2) | 27 ± 5 | 65 ± 11 | 170 ± 34 | 3 ± 1 | 6 ± 1 | 13 ± 3 |
| Total BSVL | 159904(20.5) | 39 ± 5 | 97 ± 12 | 211 ± 26 | 3 ± 1 | 8 ± 2 | 17 ± 4 |
| Grand total | 178 ± 36 | 424 ± 84 | 1231 ± 253 | 23 ± 8 | 54 ± 19 | 92 ± 31 | |
| Biogeoclimate zone | Area (km2) (% of total) | TNPP (g C m-2 yr-1) | SOC (kg C m-3) | |
|---|---|---|---|---|
| Forest | ||||
| Boreal | 41027(5.3) | 426.6 ± 100 | 12.4 ± 7.8 | |
| Cool temperate | 240333(30.8) | 455.1 ± 97 | 9.5 ± 3.8 | |
| Warm temperate | 79075(10.1) | 569.4 ± 90 | 11.6 ± 3.3 | |
| Mediterranean | 10660(1.4) | 652.8 ± 49 | 13.1 ± 1.0 | |
| Total | 371097(48) | 780.8 ± 124 Tg C | 17.3 ± 5 Pg C | |
| Woodland/Shrubland | ||||
| Cool temperate | 68217(8.7) | 358.8 ± 30 | 8.1 ± 0.6 | |
| Warm temperate | 68998(8.8) | 456.0 ± 27 | 10.4 ± 0.5 | |
| Mediterranean | 13392(1.7) | 564.2 ± 30 | 12.8 ± 0.6 | |
| Total | 150608(19) | 207.7 ± 13 Tg C | 4.7 ± 0.3 Pg C | |
| Grassland (Steppe) | ||||
| Cool temperate | 43068(5.5) | 334.5 ± 20 | 7.9 ± 0.4 | |
| Warm temperate | 39837(5.1) | 425.9 ± 29 | 10.1 ± 0.6 | |
| Mediterranean | 13629(1.7) | 498.8 ± 28 | 11.9 ± 0.6 | |
| Total | 96533(12) | 121.6 ± 7 Tg C | 2.9 ± 0.2 Pg C | |
| Barren/Sparsely Vegetated Land | ||||
| Sub(nival) | 1447(0.2) | 583.5 ± 200 | 32.6 ± 20.5 | |
| Alpine | 4997(0.6) | 480.4 ± 154 | 21.7 ± 16.1 | |
| Boreal | 2218(0.3) | 451.6 ± 116 | 18.3 ± 11.5 | |
| Cool temperate | 52045(6.7) | 306.0 ± 19.6 | 7.6 ± 0.3 | |
| Warm temperate | 76653(9.8) | 326.0 ± 52 | 8.4 ± 1.0 | |
| Mediterranean | 24997(3.2) | 380.4 ± 51 | 10.0 ± 0.8 | |
| Total | 162357(21) | 410.4 ± 96 Tg C | 16.0 ± 8 Pg C | |
| Grand Total (Pg C yr-1) | 780595(100) | 1.5 ± 0.2 | 40.9 ± 14 | |
| Biogeoclimate zone | Area (km2) (% of total) | SOC under optimal conditions (kg C m-3) | SOC under limiting conditions (kg C m-3) | ||||
|---|---|---|---|---|---|---|---|
| min | mean | max | min | mean | max | ||
| Forest | |||||||
| Boreal | 38236(4.9) | 4.0 ± 1.4 | 8.6 ± 3.1 | 9.2 ± 3.4 | 1.0 ± 0.9 | 2.2 ± 1.9 | 2.4 ± 2.1 |
| Cool temperate | 226215(29.0) | 5.7 ± 1.5 | 12.4 ± 3.3 | 13.3 ± 3.6 | 0.9 ± 0.5 | 2.0 ± 1.2 | 2.1 ± 1.3 |
| Warm temperate | 74975(9.6) | 3.5 ± 0.7 | 11.5 ± 2.4 | 31.1 ± 6.5 | 0.5 ± 0.2 | 1.7 ± 0.8 | 4.6 ± 2.2 |
| Mediterranean | 9658(1.2) | 3.8 ± 0.4 | 6.0 ± 0.7 | 27.7 ± 3.5 | 0.6 ± 0.1 | 1.0 ± 0.2 | 4.7 ± 0.9 |
| Total (Pg C) | 349084(44.7) | 5.9 ± 1.4 | 13.4 ± 3.3 | 28.4 ± 5.9 | 1.1 ± 0.7 | 2.4 ± 1.5 | 4.9 ± 2.3 |
| Woodland/Shrubland | |||||||
| Cool temperate | 64824(8.3) | 3.4 ± 0.7 | 7.4 ± 1.6 | 8.0 ± 1.7 | 0.3 ± 0.1 | 0.7 ± 0.2 | 0.8 ± 0.2 |
| Warm temperate | 65610(8.4) | 1.9 ± 0.4 | 6.4 ± 1.3 | 17.3 ± 3.6 | 0.2 ± 0.07 | 0.7 ± 0.2 | 1.8 ± 0.6 |
| Mediterranean | 12153(1.6) | 2.3 ± 0.4 | 3.6 ± 0.7 | 16.6 ± 3.3 | 0.3 ± 0.08 | 0.4 ± 0.1 | 2.2 ± 0.6 |
| Total (Pg C) | 142587(18.3) | 1.1 ± 0.2 | 2.5 ± 0.5 | 6.0 ± 1.2 | 0.1 ± 0.04 | 0.3 ± 0.1 | 0.7 ± 0.2 |
| Grassland (Steppe) | |||||||
| Cool temperate | 40981(5.3) | 1.3 ± 0.4 | 2.8 ± 0.8 | 6.1 ± 1.8 | 0.1 ± 0.04 | 0.2 ± 0.09 | 0.5 ± 0.2 |
| Warm temperate | 37202(4.8) | 2.0 ± 0.5 | 4.2 ± 1.1 | 9.0 ± 2.5 | 0.2 ± 0.07 | 0.4 ± 0.1 | 0.9 ± 0.3 |
| Mediterranean | 12439(1.6) | 2.4 ± 0.7 | 5.1 ± 1.5 | 10.9 ± 3.3 | 0.2 ± 0.09 | 0.5 ± 0.1 | 1.2 ± 0.4 |
| Total (Pg C) | 90622(11.6) | 0.5 ± 0.1 | 1.1 ± 0.3 | 2.4 ± 0.7 | 0.1 ± 0.02 | 0.1 ± 0.04 | 0.2 ± 0.1 |
| Grand Total (Pg C) | 582293(74.6) | 7.5 ± 1.8 | 17.0 ± 4.1 | 36.7 ± 7.8 | 1.3 ± 0.7 | 2.8 ± 1.6 | 5.8 ± 2.6 |
© 2007 by MDPI ( http://www.mdpi.org). Reproduction is permitted for noncommercial purposes.
Share and Cite
Evrendilek, F.; Berberoglu, S.; Gulbeyaz, O.; Ertekin, C. Modeling Potential Distribution and Carbon Dynamics of Natural Terrestrial Ecosystems: A Case Study of Turkey. Sensors 2007, 7, 2273-2296. https://doi.org/10.3390/s7102273
Evrendilek F, Berberoglu S, Gulbeyaz O, Ertekin C. Modeling Potential Distribution and Carbon Dynamics of Natural Terrestrial Ecosystems: A Case Study of Turkey. Sensors. 2007; 7(10):2273-2296. https://doi.org/10.3390/s7102273
Chicago/Turabian StyleEvrendilek, Fatih, Suha Berberoglu, Onder Gulbeyaz, and Can Ertekin. 2007. "Modeling Potential Distribution and Carbon Dynamics of Natural Terrestrial Ecosystems: A Case Study of Turkey" Sensors 7, no. 10: 2273-2296. https://doi.org/10.3390/s7102273
APA StyleEvrendilek, F., Berberoglu, S., Gulbeyaz, O., & Ertekin, C. (2007). Modeling Potential Distribution and Carbon Dynamics of Natural Terrestrial Ecosystems: A Case Study of Turkey. Sensors, 7(10), 2273-2296. https://doi.org/10.3390/s7102273
