Next Article in Journal
Experimental Determination of Bending Resonances of Millimeter Size PVF2 Cantilevers
Previous Article in Journal
Development of a Surface Acoustic Wave Sensor for In-Situ Monitoring of Volatile Organic Compounds
 
 
Font Type:
Arial Georgia Verdana
Font Size:
Aa Aa Aa
Line Spacing:
Column Width:
Background:
Article

The Influence of the Enzyme Membrane Thickness on the Response of Amperometric Biosensors

by
Romas Baronas
1,*,
Feliksas Ivanauskas
1,2 and
Juozas Kulys
3
1
Faculty of Mathematics and Informatics, Vilnius University, Naugarduko 24, 2600 Vilnius, Lithuania
2
Institute of Mathematics and Informatics, Akademijos 4, 2600 Vilnius, Lithuania
3
Institute of Biochemistry, Mokslininku 12, 2600 Vilnius, Lithuania
*
Author to whom correspondence should be addressed.
Sensors 2003, 3(7), 248-262; https://doi.org/10.3390/s30700248
Submission received: 22 May 2003 / Accepted: 10 July 2003 / Published: 27 July 2003

Abstract

:
A mathematical model of amperometric biosensors has been  developed.  The model is based on non-stationary diffusion equations containing a non-linear term related to Michaelis-Menten kinetics of the enzymatic reaction. Using digital simulation, the influence of the thickness of enzyme membrane on the biosensor  response  was  investigated.  The digital simulation of the biosensor operation showed the non-monotonous change of the maximal biosensor current versus the membrane thickness at the various maximal enzymatic rates. Digital simulation was carried out using the finite difference technique. Results of the numerical simulation was compared with known analytical solutions. This paper presents a framework for selection of the membrane thickness, ensuring the sufficiently stable sensitivity of a biosensor in a required range of the maximal enzymatic rate.

Introduction

Biosensors are analytical devices that are based on the direct coupling of an immobilised biologically active compound with a signal transducer and an electronic amplifier [1,2,3]. Starting from the publication of Clark and Lyons in 1962 [1], the amperometric biosensors became one of the popular and perspective trends of biosensorics [2]. The amperometric biosensors measure the changes of the current of indicator electrode by direct electrochemical oxidation or reduction of the products of the biochemical reaction [4,5,6]. In amperometric biosensors the potential at the electrode is held constant while the current is measured. The amperometric biosensors are known to be reliable, cheap and highly sensitive for environment, clinical and industrial purposes.
The understanding of the kinetic peculiarities of the biosensors is of crucial importance for their design. Because it is not generally possible to measure the concentration of substrate inside enzyme membranes, starting from seventies various mathematical models of amperometric biosensors have been developed and used as an important tool to study and optimise analytical characteristics of actual biosensors [7,8,9]. A comprehensive study of the mathematical modelling of amperometric biosensors is given in [10]. The goal of this investigation is to make a model allowing an effective computer simulation of membrane biosensor as well as to investigate the influence of the physical and kinetic parameters on the response of the biosensors. The developed model is based on non-stationary diffusion equations, containing a non-linear term related to the enzymatic reaction [11,12,13].
One of the most critical characteristic of biosensors is their stability [14]. The operational stability of a biosensor response may vary considerably depending on geometry and method of sensor preparation, a transducer use and some other parameters. Furthermore it is strongly depend upon the response rate limiting factor, i.e. substrate diffusion and enzymatic reaction rate. In this paper the influence of the biosensor geometry on the biosensor stability is investigated. A framework for selection of the enzyme membrane thickness, ensuring the sufficiently stable biosensor response in a required range of the enzymatic rate has been described.
In this investigation, digital simulation of the biosensor response was carried out using the implicit finite difference scheme [15,16,17,18]. The software has been programmed in C language [19]. The program built was employed to investigate the influence of the enzyme membrane thickness, the substrate concentration as well as the maximal enzymatic rate on the biosensor response. The program was used also for the numerical investigation of the kinetics of the biosensors response taking place during phenols detection in waste waters [20].

Mathematical Model

Consider an enzyme-catalysed reaction
S E P .
In this scheme the substrate (S) binds to the enzyme (E) and converts to the product (P).
The biosensor can be considered as an enzyme electrode, having a layer of enzyme immobilised onto the surface of the probe. Let us assume the symmetrical geometry of the electrode and homogeneous distribution of immobilised enzyme in the enzyme membrane. Coupling the enzyme-catalysed reaction in enzyme layer with the one-dimensional-in-space diffusion, described by Fick’s law, leads to the following equations:
Sensors 03 00248 i001
Sensors 03 00248 i002
where x and t stand for space and time, respectively, S(x, t) is the substrate concentration function, P(x, t) is the reaction product concentration function, Vmax is the maximal enzymatic rate attainable with that amount of enzyme when the enzyme is fully saturated with substrate, KM is the Michaelis constant, d is the thickness of enzyme layer, T is full time of biosensor operation to be analysed, DS and DP are diffusion coefficients of the substrate and product, respectively.
Let x = 0 represents the electrode surface, while x = d represents the bulk solution/membrane interface. The operation of biosensor starts when some substrate appears over the surface of the enzyme layer. The initial conditions (t = 0) are
S(x, 0) = 0, 0 ≤ x < d,    S(d,0) = S0,
P(x, 0) = 0, 0 ≤ xd,
where S0 is the concentration of substrate in the bulk solution.
In case of amperometric biosensors, due to electrode polarisation the concentration of the reaction product at the electrode surface is being permanently reduced to zero. The substrate does not react at the electrode surface. If the substrate is well-stirred and in powerful motion, then the diffusion layer (0 < x < d) will remain at a constant thickness. Consequently, the concentration of substrate as well as product over the enzyme surface (bulk solution/membrane interface) remains constant during the biosensor operation. This is used in the boundary conditions (0 < tT) given by
Sensors 03 00248 i003
P(0,t) = P(d,t) = 0.
The measured current is accepted as a response of a biosensor in a physical experiment. The current depends upon the flux of the reaction product at the electrode surface, i.e. at border x = 0. Consequently, the density i(t) of the anodic current at time t can be obtained explicitly from Faraday’s law and Fick’s low using the flux of the product concentration at the surface of the electrode
Sensors 03 00248 i004
where ne is a number of electrons, involved in charge transfer at the electrode surface, and F is Faraday constant, F = 96485 C/mol.

Digital Simulation

Definite problems arise when solving analytically the non-linear partial differential equations with complex boundary conditions [12,16]. To obtain an approximate analytical solution, approximation and classification of each different condition are usually needed. On the other hand, the digital simulation to obtain a numerical solution can be applied almost to any case. Consequently, the problem (2)-(7) was solved numerically.
The finite difference technique was applied for discretization of the mathematical model [15]. We introduced an uniform discrete grid in both: x and t directions [21]. An implicit linear finite difference scheme has been built as a result of the difference approximation of Eqs. (2)-(7). The resulting system of linear algebraic equations was solved efficiently because of the tridiagonality of the matrices of the systems. Having a numerical solution of the problem (2)-(7), the density of the biosensor current i(t) can be calculated easily.
The mathematical model as well as the numerical solution of the problem was evaluated for different values of the maximal enzymatic rate Vmax, substrate concentration S0, as well as the membrane thickness d. The following values of the parameters were constant in the numerical simulation of all the experiments:
DS = DP = 3.0 × 10−6 cm2/s,
KM = 1.0 × 10−7 mol/cm3 ,ne = 2.
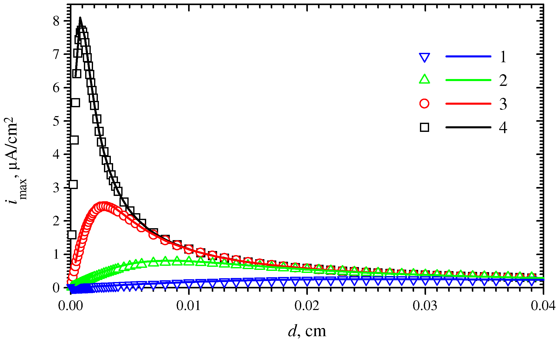
The evolution of the biosensor current at the maximal enzymatic rate Vmax of 10-7 mol/cm3s is presented in Fig. 1. The biosensor response was modelled for biosensors having four different membrane thickness d: 0.001, 0.0015, 0.01, 0.015 cm. One can see in Fig. 1 the biosensor current appears with some delay at relatively thick enzyme layers. This delay increases with the increase of the enzyme membrane thickness. Comparing the evolution of the biosensor current (Fig. 1) in two cases of relatively thin (d = 0.001 and 0.0015 cm) membrane, one can see that the biosensor response is notable higher at thicker membrane (d = 0.0015 cm) than at thinner one (d = 0.001 cm). However, comparing the biosensor responses in other two cases of ten times thicker (d = 0.01 and 0.015 cm) membranes, we see the opposite tendency: the biosensor of thicker (d = 0.015 cm) membrane generates lower response than thinner one (d = 0.01 cm). We discuss the effect of the membrane thickness on the biosensor response in details.
The maximal biosensor current imax (the biosensor response) as well as the time moment of occurrence of the maximal current (response time) were assumed and analyzed as ones of the most important characteristics of a biosensor.
Figure 1. The dynamics of the biosensor current i at the maximal enzymatic rate Vmax = 10-7 mol/cm3s and four membrane thickness d: 0.001 (1), 0.0015 (2), 0.01 (3), 0.015 (4) cm, S0 = 2×10-8 mol/cm3.
Figure 1. The dynamics of the biosensor current i at the maximal enzymatic rate Vmax = 10-7 mol/cm3s and four membrane thickness d: 0.001 (1), 0.0015 (2), 0.01 (3), 0.015 (4) cm, S0 = 2×10-8 mol/cm3.
Sensors 03 00248 g001
In digital simulation, the biosensor response time was assumed as the time when the absolute current slope value falls below a given small value normalised with the current value. In other words, the time needed to achieve a given dimensionless decay rate ε is used
Sensors 03 00248 i005
Consequently, the maximal biosensor current imax was assumed as the current at the biosensor response time TR. We employed ε = 10-6. However, the response time TR as an approximate steady-state time is very sensitive to the decay rate ε, i.e. TR → ∞, when ε → 0. Because of this we investigate the change of a half of steady-state time [12]. The resultant relative output signal function i*(t) can be expressed as:
Sensors 03 00248 i006
where i(t) is the output current density at time t as defined in (8), iR is assumed as the steady-state current. Let us notice, that 0 ≤ i*(t) ≤ 1 at all t ≥ 0, i*(0) = 1 and i*(TR) = 0. Let T0.5 be the time at which the reaction-diffusion process reaches the medium, called half time of steady-state or, particularly, half of the time moment of occurrence of the maximal current, i.e. i*(T0.5) = 0.5.

Results and Discussion

Using computer simulation we have investigated the dependence of the maximal biosensor current on the thickness of the enzyme membrane. The maximal biosensor current imax was assumed as steady-state current i, calculated at the response TR time defined by formula (10), imax = i = iR. The investigation was carried out at the following values of Vmax: 10-9, 10-8, 10-7 and 10-6 mol/cm3s to get results for a wide range of values of the maximal enzymatic rate. Fig. 2 shows the maximal current while Fig. 3 presents the half time T0.5 of the maximal current versus the thickness d of the enzyme membrane. Fig. 2 presents also values of the stationary current i [22],
Sensors 03 00248 i007
where σ dimensionless diffusion modulus, Damkoehler number,
Sensors 03 00248 i008
Formula (12) is valid at substrate concentrations significantly lower than Michaelis constant, S0 << KM. In Fig. 2, values of i obtained by (12) are depicted as a function of the membrane thickness d. Due to the assumption of imax = i = iR and substrate concentration S0 = 0.2KM < KM, employed in the calculations above, the analytical solution (12) compares sufficiently well with the numerical solution of the model (2)-(7) at different enzymatic rates Vmax and membrane thickness d.
Figure 2. The dependence of the maximal biosensor current imax on the thickness d of the enzyme membrane at four maximal enzymatic rates Vmax: 10-9 (1), 10-8 (2), 10-7 (3) and 10-6 (4) mol/cm3s, S0 = 2×10-8 mol/cm3. Symbols are numerical solutions, while lines are analytical ones (formula 12).
Figure 2. The dependence of the maximal biosensor current imax on the thickness d of the enzyme membrane at four maximal enzymatic rates Vmax: 10-9 (1), 10-8 (2), 10-7 (3) and 10-6 (4) mol/cm3s, S0 = 2×10-8 mol/cm3. Symbols are numerical solutions, while lines are analytical ones (formula 12).
Sensors 03 00248 g002
One can see (Fig. 2) that the maximal biosensor current imax is a non-monotonous function of d at all values of the maximal enzymatic rate Vmax. The higher maximal enzymatic rate Vmax corresponds to the greater maximal value of imax.
From the results, obtained by digital simulation, we determine, that the maximum of imax equals to about 7.72 μA/cm2 at Vmax = 10-6 mol/cm3s, while imax ≈ 2.45 μA/cm2 at Vmax = 10-7 mol/cm3s. The higher maximum of imax corresponds to thinner enzyme membrane. In the case of Vmax = 10-6 mol/cm3s, the maximum of imax(d) is gained at d ≈ 0.0009 cm, while in the case of Vmax = 10-7 mol/cm3s, the maximum of imax is gained at d ≈ 0.0028 cm.
Using (12) we find analytically the membrane thickness d, at which the state-state current i gains the maximum at given ne, DS, S0, Vmax, KM and S0 << KM. At first, we calculate a derivative of i(d) with the respect to the thickness d
Sensors 03 00248 i009
Then we look for σ at which that derivative gets zero
−cosh2(σ) + cosh(σ) + σ sinh(σ) = 0.
Eq. (15) was solved numerically. A single solution σ = σmax ≈ 1.5055 was obtained. Consequentially, i gains the maximum at the membrane thickness dmax, where
Sensors 03 00248 i010
Accepting (9), we find, that dmax ≈ 0.000825, imax ≈ 8.1 at Vmax = 10-6; dmax ≈ 0.00261 cm, imax ≈ 2.56 μA/cm2 at Vmax = 10-7 mol/cm3s etc. These values compare sufficiently well with the corresponding values obtained by the numerical simulation of the biosensor operation. Corresponding values of the maximal current imax as well as thickness d varies by about 5%. That variation in values appears because of substrate concentration S0 = 0.2KM. The analytical solution (12) is valid at S0 << KM only, while the numerical one does not have such kind of restrictions at all. Because of this, values of dmax, calculated using the model (2)-(7) are more accurate than analytical ones at S0 = 20 nmol/cm3 and (9).
Using formula (12) we find that the maximal biosensor current as a function of the membrane thickness d gains the maximum when the diffusion modulus σ equals to σmax = 1.5055. According to (13) and (15) σmax does not depend on the substrate concentration S0. Nevertheless, using the numerical simulation we have calculated values of σmax at some more values of S0. We obtained the following values: σmax ≈ 1.51 at S0 = 2×10-11, σmax ≈ 1.55 at S0 = 2×10-9 mol/cm3 and σmax ≈ 2.5 at S0 = 2×10-7 mol/cm3. The modulus σmax is approximately constant at S0 << KM, so that it is about coincident with the value obtained from the analytical solution (12). σmax increases with increase of substrate concentration S0. The increase is especially notable at substrate concentrations S0 > KM. The dependence of σmax on Vmax is practically insignificant: σmax varies by less than 3.5% while Vmax changes from 10-9 to 10-6 mol/cm3s at any concrete S0.
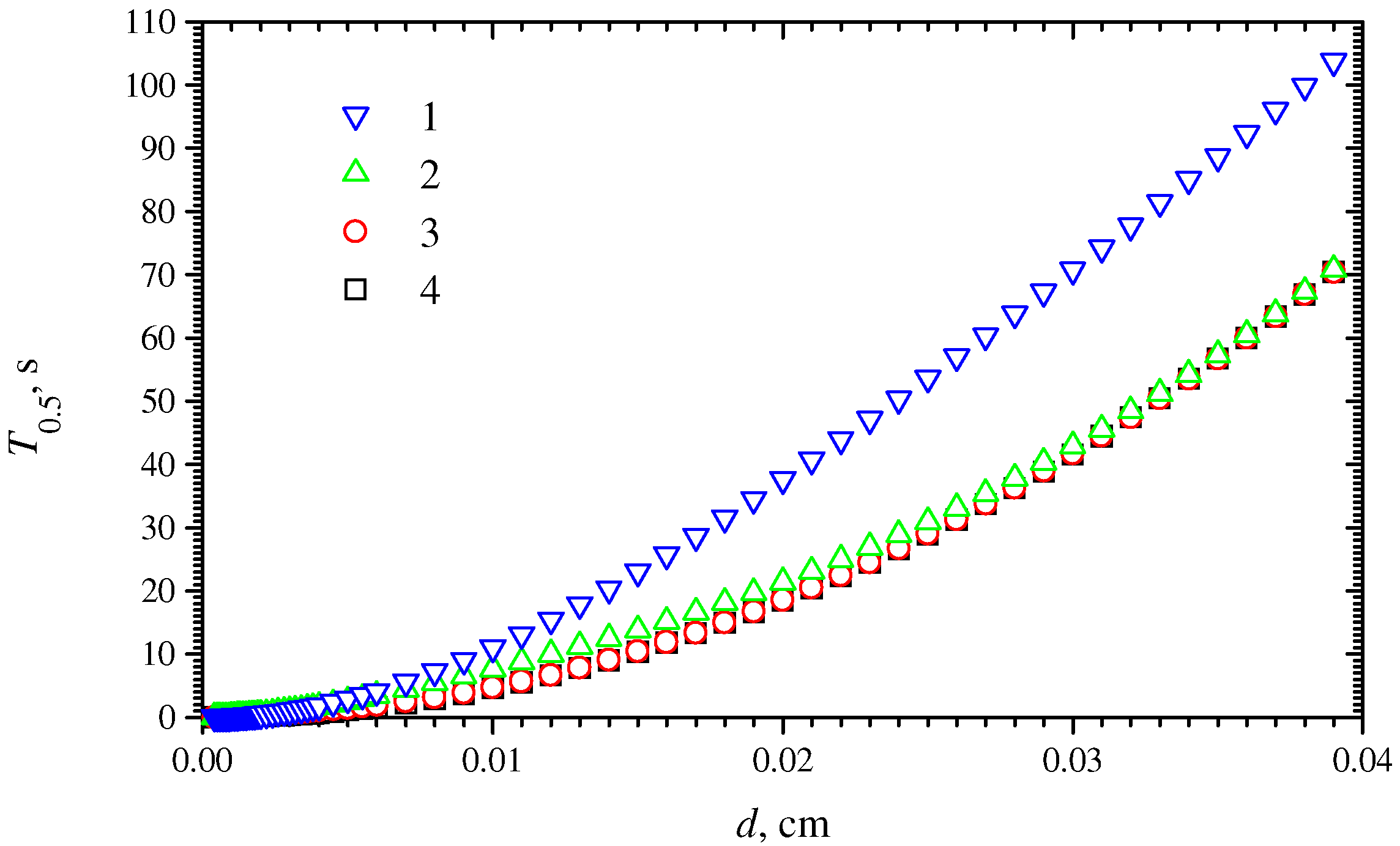
The stability of the response is one of the most critical characteristics of biosensors [14]. It is very important to have biosensors keeping their analytical capability for a long period. Usually the maximal enzymatic rate Vmax decreases permanently due to enzyme inactivation. In general, the biosensor response is sensitive to changes of Vmax. Fig. 2 shows, that the maximal biosensor current can differ by some dozens, changing Vmax. The variation is especially notable in cases of relatively thin enzyme membranes. In case of relatively thick enzyme membrane, imax practically does not vary by changing Vmax. Consequently, a biosensor containing thicker enzyme layer gives more stable response than a biosensor with thinner layer. However, the thick membrane-based biosensors have very durable response time (Fig. 3). It is possible to notice (Fig. 3), that the half time T0.5 of the maximal biosensor current is about 18.5 s when the membrane thickness d equals to 0.02 cm and Vmax = 10-6 mol/cm3s. The half time is even more durable at thicker enzyme membrane as well as lower enzymatic rate, so that biosensors of such thickness is of limited applicability in flow injection systems, which are widely used for determination of various compounds [23].
Thus, a problem of the membrane thickness optimisation arises. The task is to find the thickness of membrane so small as possible, ensuring the stability of the biosensor response at a range of Vmax as wide as possible. Let V1 and V2 be two values of the maximal enzymatic rate (V1 < V2) such as we need to have stable biosensor response to substrate of concentration of S0. Then we describe the minimal membrane thickness dδ(V1, V2, S0), at which the relative difference R(d, V1, V2, S0) between the biosensor response (the maximal biosensor current imax) at d = dδ, Vmax = V1 and another one response at d = dδ, Vmax = V2 is less than dimensionless decay rate δ
Sensors 03 00248 i011
Sensors 03 00248 i012
where imax(d, Vmax, S0) is the maximal biosensor current at the membrane thickness of d, maximal enzymatic rate Vmax and substrate concentration S0.
Figure 3. The dependence of the half time T0.5 of the maximal biosensor current on the membrane thickness d at four maximal enzymatic rates Vmax: 10-9 (1), 10-8 (2), 10-7 (3) and 10-6 (4) mol/cm3s, S0 = 2×10-8 mol/cm3.
Figure 3. The dependence of the half time T0.5 of the maximal biosensor current on the membrane thickness d at four maximal enzymatic rates Vmax: 10-9 (1), 10-8 (2), 10-7 (3) and 10-6 (4) mol/cm3s, S0 = 2×10-8 mol/cm3.
Sensors 03 00248 g003
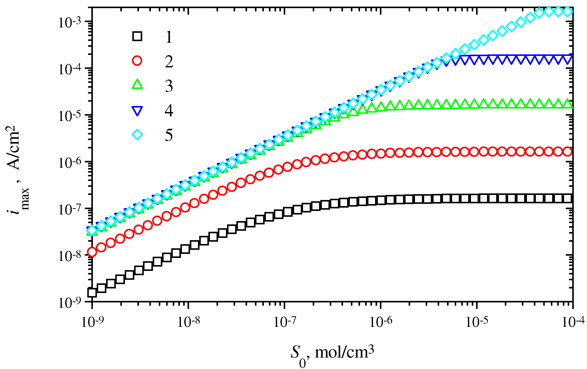
Figure 4. The dependence of the maximal biosensor current imax on the substrate concentration S0 at five maximal enzymatic rates Vmax: 10-10 (1), 10-9 (2), 10-8 (3), 10-7 (4) and 10-6 (5) mol/cm3s, d = dδ(10-7, 10-6, 2 × 10-8) = 0.008 cm, calculated by formula (18) assuming δ = 0.02.
Figure 4. The dependence of the maximal biosensor current imax on the substrate concentration S0 at five maximal enzymatic rates Vmax: 10-10 (1), 10-9 (2), 10-8 (3), 10-7 (4) and 10-6 (5) mol/cm3s, d = dδ(10-7, 10-6, 2 × 10-8) = 0.008 cm, calculated by formula (18) assuming δ = 0.02.
Sensors 03 00248 g004
Let us assume S0 = 20 nmol/cm3s, V1 = 10-7, V2 = 10-6 mol/cm3s and δ = 0.02. From the numerical results, presented in Fig. 2, we found dδ ≈ 0.008 cm. We have calculated the response of a biosensor, based on the membrane of thickness d = dδ(V1, V2, S0) = 0.008 cm, at wide range of the substrate concentration S0 to evaluate the biosensor stability at that range. Fig. 4 shows imax versus S0 at five values of Vmax: 10-10, 10-9, 10-8, 10-7 and 10-6 mol/cm3s. No notable difference (Fig. 4) is observed between values of imax, calculated at two values of Vmax: 10-7 and 10-6 mol/cm3s, when the substrate concentration S0 is less than about 10-6 mol/cm3. Fig. 4 expressively shows the stable response of the biosensor, based on the enzyme membrane of thickness d = 0.008 cm, when the maximal enzymatic rate reduces ten times: from 10-6 to 10-7 mol/cm3s. Although the membrane thickness dδ was calculated at the substrate concentration S0 = 2×10-8 mol/cm3, the biosensor response is sufficiently stable to the substrate of concentration being up to about 10-6 mol/cm3. The dependence of dδ on the substrate concentration was noticed before. The biosensor response is very sensitive to changes of Vmax at high concentration of substrate. Fig. 4 shows that the response of the biosensor of thickness of 0.008 cm is approximately constant at the concentration higher than about 10-5 mol/cm3. Because of this, such biosensor is practically unuseful to determinate larger substrate concentration.
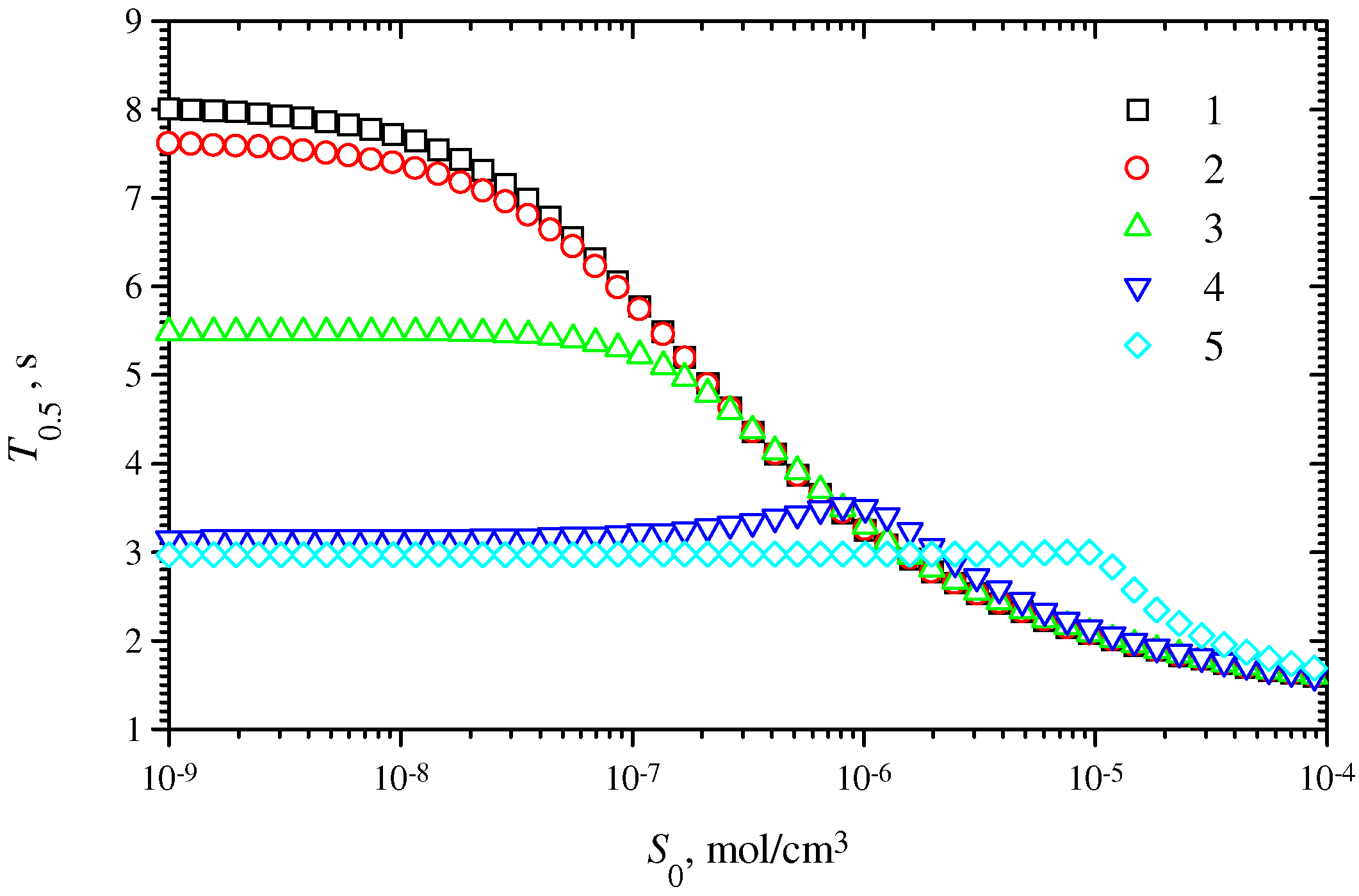
Fig. 5 presents an effect of substrate concentration S0 on the half time T0.5 of the maximal biosensor current. The thickness d of the enzyme membrane is the same as above, i.e. d = dδ = 0.008 cm. One can see in Fig. 5, T0.5 is a monotonous decreasing function of S0 at Vmax = 10-10, 10-9 and 10-8 mol/cm3s, and T0.5 is a non-monotonic function of S0 at Vmax = 10-7 and 10-6 mol/cm3s. The effect of non-monotonous behaviour of the half time of maximal biosensor current versus substrate concentration has been discussed recently for the cases when the biosensor response is under diffusion control [21]. However, the most important feature for this investigation is the sufficiently short time of the biosensor response. One can see, T0.5 does not exceed 8 s. The biosensor, based on enzyme membrane of thickness of 0.008, gives very stable response in a sufficiently short time when Vmax is between 10-7 and 10-6 mol/cm3s as well as the substrate concentration S0 is less than about 10-6 mol/cm3.
Figure 5. The dependence of halftime T0.5 of the maximal biosensor current on the substrate concentration S0 at five maximal enzymatic rates Vmax: 10-10 (1), 10-9 (2), 10-8 (3), 10-7 (4) and 10-6 (5) mol/cm3s, other parameters are the same as in Fig. 4.
Figure 5. The dependence of halftime T0.5 of the maximal biosensor current on the substrate concentration S0 at five maximal enzymatic rates Vmax: 10-10 (1), 10-9 (2), 10-8 (3), 10-7 (4) and 10-6 (5) mol/cm3s, other parameters are the same as in Fig. 4.
Sensors 03 00248 g005
The concept of the minimal membrane thickness dδ(V1, V2, S0), at which the relative difference R(d, V1, V2, S0) of the biosensor response is less than the decay rate δ, can be considered as a framework to be used for determination of the membrane thickness in a design of biosensors producing highly stable response to the substrate of concentration S0 while the enzymatic rate changes from V1 to V2. In this case the minimal thickness dδ needs to be calculated at the concrete characteristics of biosensor operation: the diffusion coefficients DS, DP, number of electrons ne, Michaelis constant KM and the substrate concentration S0 approximate to expected one. Rather often the concentration of analyte to be analysed varies within a known interval. Since the biosensor response is usually more stable at lower concentrations of the substrate (Fig. 4) than at higher concentrations, a larger value of the range of expected concentrations should be employed in calculation of dδ to ensure the stable response in the entire interval of the expected concentrations. In cases when S0 << KM, the imax may be calculated analytically from (12), otherwise the model (2)-(7) is preferable for calculation of imax(d, Vmax, S0), used in the framework, expressed by formulas (17), (18).
To be sure, that the framework, based on definition (17) and (18), really helps to find the membrane thickness at which the biosensor gives relatively stable response, we calculate the biosensor response also in a case of significantly thinner membrane. Fig. 6 shows imax versus S0 at the same values of Vmax as in Fig. 4, however the enzyme membrane is eight times thinner, d = 0.001cm. One can see in Fig. 6, the biosensor response is very sensitive to changes of Vmax. For example, in a case of S0 = 10-9 mol/cm3, the maximal current imax at Vmax = 10-6 mol/cm3s is about 4.7 times higher than imax at Vmax = 10-7 mol/cm3s (Fig. 6), while the corresponding values of imax are approximately the same in the case when the membrane is of thickness dδ(10-7, 10-6, 2×10-8) = 0.008 cm (Fig. 4).
Figure 6. The dependence of the maximal biosensor current imax on the substrate concentration S0 at five maximal enzymatic rates Vmax: 10-10 (1), 10-9 (2), 10-8 (3), 10-7 (4) and 10-6 (5) mol/cm3s, d = 0.001cm.
Figure 6. The dependence of the maximal biosensor current imax on the substrate concentration S0 at five maximal enzymatic rates Vmax: 10-10 (1), 10-9 (2), 10-8 (3), 10-7 (4) and 10-6 (5) mol/cm3s, d = 0.001cm.
Sensors 03 00248 g006
Let us notice (Fig. 4), that at d = 0.008 cm, the relative difference R (formula 17) between imax at Vmax = 10-8 and another one imax at Vmax = 10-7 mol/cm3s is about 0.86 when S0 = 2×10-8 mol/cm3. This difference keeps approximately unchanged at all S0 less than about 10-7 mol/cm3. Let us reduce that difference. Using definition (18) and results, presented in Fig. 4, we find dδ(V1, V2, 2×10-8) to be equal to about 0.017 cm when V1 = 10-8, V2 = 10-6 mol/cm3s, assuming δ = 0.1.
Fig. 7 plots imax versus S0 at d = 0.017 and the same values of Vmax as above. No notable difference is observed between values of imax, calculated at three values of Vmax: 10-8, 10-7 and 10-6 mol/cm3s, when the substrate concentration S0 is less than about 5×10-7 mol/cm3. Fig. 7 presents the stable response of the biosensor, based on the enzyme membrane of thickness d = 0.017 cm, when the maximal enzymatic rate reduces 100 times: from 10-6 to 10-8 mol/cm3s while analysing substrate of concentration less than 5×10-7 mol/cm3.
Figure 7. The dependence of the maximal biosensor current imax on the substrate concentration S0 at five maximal enzymatic rates Vmax: 10-10 (1), 10-9 (2), 10-8 (3), 10-7 (4) and 10-6 (5) mol/cm3s, d = dδ(10-8, 10-6, 2 × 10-8) = 0.017 cm, calculated by formula (18) accepting δ = 0.1.
Figure 7. The dependence of the maximal biosensor current imax on the substrate concentration S0 at five maximal enzymatic rates Vmax: 10-10 (1), 10-9 (2), 10-8 (3), 10-7 (4) and 10-6 (5) mol/cm3s, d = dδ(10-8, 10-6, 2 × 10-8) = 0.017 cm, calculated by formula (18) accepting δ = 0.1.
Sensors 03 00248 g007
In the high substrate concentration case, S0 >> KM, the stationary current can be expressed as follows [25],
Sensors 03 00248 i013
In the all cases of the investigation of the effect of the substrate concentration on the biosensor response, values of imax, obtained by digital simulation at S0 =10-4 mol/cm3, were compared with the corresponding values, calculated by formula (19). The difference between two corresponding values varies less than 0.1%. Consequentially, in the high substrate concentration case, S0 >> KM, the maximal biosensor current can be successfully calculated from formula (19), while (12) may be used in the low substrate concentration case, S0 << KM. However, the digital simulation, based on the model (2)-(7), may be successfully applied in the entire domain of substrate concentration, and the simulation is especially reasonable in the middle substrate concentration case, S0KM.
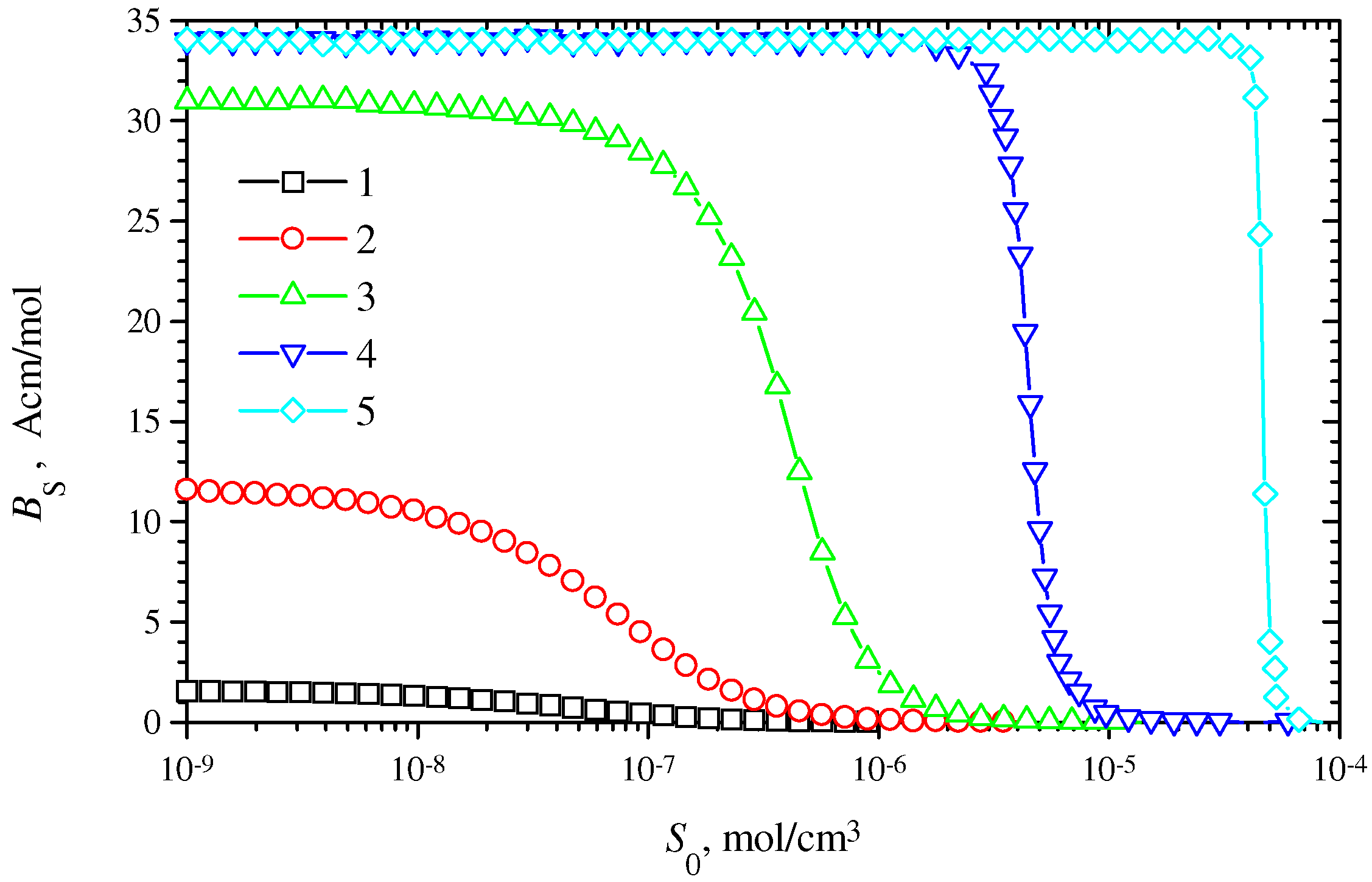
The sensitivity is one of the most important characteristic of biosensors. The sensitivity BS (Acm/mol) of a biosensor can be expressed as a gradient of the maximal biosensor current density imax (A/cm2) with respect to the substrate concentration S0 (mol/cm3)
Sensors 03 00248 i014
Fig. 8 shows the biosensor sensitivity BS versus the substrate concentration S0 at the same five maximal enzymatic rates as above in the case of membrane thickness d of 0.017 cm. No notable difference is observed between the sensitivity BS, calculated at two values of Vmax: 10-7 and 10-6 mol/cm3s, when the substrate concentration is less than about 2×10-6 mol/cm3. The biosensor sensitivity at Vmax = 10-8 mol/cm3 is about 10% less than in two cases of higher Vmax: 10-7 and 10-6 mol/cm3s. Let us remind, that the membrane thickness of 0.017 cm has been calculated requiring the relative difference R(d, 10-8, 10-6, 2×10-8) be less than δ = 0.1, i.e. 10%. Because of a large scale that minimal difference (0.1) is not practically notable in Fig. 7. However, this easy seems in Fig. 8, which represents the biosensor sensitivity. Comparing Fig. 7 and Fig. 8 we see direct relation between the maximal biosensor current imax as a function of S0 and the function BS of S0.
Figure 8. The dependence of the biosensor sensitivity BS (formula 20) on the substrate concentration S0 at five maximal enzymatic rates Vmax: 10-10 (1), 10-9 (2), 10-8 (3), 10-7 (4) and 10-6 (5) mol/cm3s. Other parameters are the same as in Fig. 7.
Figure 8. The dependence of the biosensor sensitivity BS (formula 20) on the substrate concentration S0 at five maximal enzymatic rates Vmax: 10-10 (1), 10-9 (2), 10-8 (3), 10-7 (4) and 10-6 (5) mol/cm3s. Other parameters are the same as in Fig. 7.
Sensors 03 00248 g008
Using formula (12) we can calculate also the derivative of the stationary current i with respect to S0. In that way we obtain a constant biosensor sensitivity BS for S0 << KM. This stagnancy of BS can be also noticed in Fig. 8. One can see in Fig. 8, at high enzymatic rates, e.g. Vmax = 10-7 and 10-6 mol/cm3s, the biosensor sensitivity remains approximately constant even at S0 greater than KM. However at low enzymatic rates (Vmax = 10-10 and 10-9 mol/cm3s), the sensitivity starts to decrease notable already at S0 < KM.
In the high substrate concentration case, S0 >> KM, value of BS can be obtained also from the formula (19) as BS = 0, which compares favourably with the results of digital simulation (Fig. 8).
Fig. 2 shows the significant influence of the membrane thickness on the biosensor response. However, the significance of the influence is different at the different membrane thickness. We introduce a resistance BR of the membrane-based biosensors to changes of membrane thickness. The resistance BR (A/cm3) of a biosensor is expressed as a gradient of the maximal biosensor current density imax (A/cm2) with respect to the membrane thickness d (cm)
Sensors 03 00248 i015
Fig. 9 plots the biosensor resistance BR versus the membrane thickness d. The substrate concentration S0 as well as other parameters are the same as in Fig. 2. Since the resistance BR varies in orders of magnitude, BR was normalised with Vmax. So, Fig. 9 shows the resistance BR divided by Vmax. versus the membrane thickness d. In Fig. 9, symbols are numerical solutions of the model (2)-(7), while lines are analytical ones (formula 14). One can see (Fig. 9) the interval (from –2.5 to 19.2 mAs/mol) of variation of BR/Vmax is approximately the same at all four values of the maximal enzymatic rate Vmax. It means that the maximal as well as minimal biosensor resistance BR is directly proportional to Vmax. Since the shape of curves of the normalised resistance considerably differs (Fig. 9), the dependence of BR on Vmax is non-linear in entire domain of d. The relative difference between numerical solutions and analytical ones reaches about 20%. The largest difference is notable at thinnest enzyme membranes.
Figure 9. The biosensor resistance BR (formula 21), normalised with the maximal enzymatic rate Vmax, versus the membrane thickness d. Symbols are numerical solutions, while lines are analytical ones (formula 14). All parameters are the same as in Fig. 2.
Figure 9. The biosensor resistance BR (formula 21), normalised with the maximal enzymatic rate Vmax, versus the membrane thickness d. Symbols are numerical solutions, while lines are analytical ones (formula 14). All parameters are the same as in Fig. 2.
Sensors 03 00248 g009

Conclusions

The mathematical model (2)-(7) of amperometric biosensor operation can be successfully used to investigate the kinetic regularities of enzyme membrane-based sensors.
The maximal biosensor current imax is a non-monotonous function of membrane thickness d at various values of the maximal enzymatic rate (Fig. 2). When the substrate concentration S0 is significantly less than the Michaelis constant KM, S0 << KM, the function imax(d) gains the maximum at the membrane thickness d of which the diffusion modulus σ equals to 1.5055. The diffusion modulus, maximising imax(d), increases with increase of S0. Consequently, the maximal current imax increases with increase of the membrane thickness d when the enzyme kinetics predominate in the biosensor response, while imax decreases when the response is significantly under diffusion control. The higher maximal enzymatic rate Vmax corresponds to a greater maximum of imax(d).
In the high substrate concentration case, S0 >> KM, the maximal biosensor current can be successfully calculated from formula (19), while formula (12) may be used in the low substrate concentration case, S0 << KM. However, the digital simulation, may be successfully applied in the entire domain of substrate concentration. The simulation is especially reasonable in the intermediate case of the substrate concentration, S0KM.
The mathematical model (2)-(7) together with definition (17) and (18) describe a way for selection of the membrane thickness, ensuring the stable biosensor response. In cases when S0 << KM, the maximal current imax to be used in formula (17), may be calculated analytically from (12), otherwise the model (2)-(7) is preferable for the calculation.

Acknowledgements

This work was supported by European Commission funded RTD project, contract No. QLK3-CT-2000-01481.

References

  1. Clarc, L.C.; Loys, C. Electrode system for continuous monitoring in cardiovascular surgery. Ann. N.Y. Acad. Sci. 1962, 102, 29–45. [Google Scholar] [CrossRef]
  2. Turner, A.P.F.; Karube, I.; Wilson, G.S. Biosensors: Fundamentals and Applications; Oxford University Press: Oxford, 1987. [Google Scholar]
  3. Scheller, F.; Schubert, F. Biosensors; Elsevier: Amsterdam; Vol. 7, 1992. [Google Scholar]
  4. Rogers, K.R. Biosensors for environmental applications. Biosens. Bioelectron. 1995, 10, 533–541. [Google Scholar] [CrossRef]
  5. Wollenberger, U.; Lisdat, F.; Scheller, F.W. Frontiers in Biosensorics 2. Practical Applications; Birkhauser Verlag: Basel, 1997. [Google Scholar]
  6. Chaubey, A.; Malhotra, B.D. Mediated biosensors. Biosens. Bioelectron. 2002, 17, 441–456. [Google Scholar] [CrossRef]
  7. Guilbault, G.G.; Nagy, G. An improved urea electrode. Anal. Chem. 1973, 45, 417–419. [Google Scholar]
  8. Mell, C.D.; Maloy, J.T. A model for the amperometric enzyme electrode obtained through digital simulation and applied to the glucose oxidase system. Anal. Chem. 1975, 47, 299–307. [Google Scholar] [CrossRef]
  9. Mell, C.D.; Maloy, J.T. Amperometric response enhancement of the immobilized glucose oxidase enzyme electrode. Anal. Chem. 1976, 48, 1597. [Google Scholar] [CrossRef] [PubMed]
  10. Schulmeister, T. Mathematical modelling of the dynamic behaviour of amperometric enzyme electrodes. Selective Eletrode Rev. 1990, 12, 203–260. [Google Scholar]
  11. Aris, R. The Mathematical Theory of Diffusion and Reaction in Permeable Catalysts. The Theory of the Steady State; Clarendon Press: Oxford, 1975. [Google Scholar]
  12. Crank, J. The Mathematics of Diffusion, 2nd ed.; Clarendon Press: Oxford, 1975. [Google Scholar]
  13. Kernévez, J.P. Enzyme Mathematics. Studies in Mathematics and its Applications; Vol. 10; North-Holland Press: Amsterdam, 1980. [Google Scholar]
  14. Pickup, J.C.; Thévenot, D.R. Advances in Biosensors, Supplement 1; Turner, A.P.F., Ed.; JAI Press Ltd: London, 1993; pp. 201–225. [Google Scholar]
  15. Ames, W.F. Numerical Methods for Partial Differential Equations, 2nd ed.; Academic Press: New York, 1977. [Google Scholar]
  16. Britz, D. Digital simulation in electrochemistry, 2nd ed.; Springer−Verlag: Berlin, 1988. [Google Scholar]
  17. Bartlett, P.N.; Pratt, K.F.E. Modelling of processes in enzyme electrodes. Biosens. Bioelectron. 1993, 8, 451–462. [Google Scholar] [CrossRef]
  18. Yokoyama, K.; Kayanuma, Y. Cyclic voltammetric simulation for electrochemically mediated enzyme reaction and determination of enzyme kinetic constants. Anal. Chem. 1998, 70, 3368–3376. [Google Scholar] [CrossRef] [PubMed]
  19. Press, W.H; Flannery, B.P.; Teukolsky, S.A.; Vetterling, W.T. Numerical Recipes in C: The Art of Scientific Computing; Cambridge University Press: Cambridge, 1993. [Google Scholar]
  20. INTELLISENS: intelligent signal processing of biosensor arrays using pattern recognition for characterisation of wastewater: aiming towards alarm systems, 2000–2003, EC RTD project.
  21. Baronas, R.; Ivanauskas, F.; Kulys, J. Modelling dynamics of amperometric biosensors in batch and flow injection analysis. J. Math. Chem. 2002, 32, 225–237. [Google Scholar] [CrossRef]
  22. Kulys, J. Development of new analytical systems based on biocatalysts. Enzyme Microbiol. Technol. 1981, 3, 344–352. [Google Scholar] [CrossRef]
  23. Ruzicka, J.; Hansen, E.H. Flow Injection Analysis, 2nd ed.; Wiley-Interscience: New York, 1988. [Google Scholar]
  24. Carr, P.W.; Bowers, L.D. Immobilized Enzymes in Analytical and Clinical Chemistry: Fundamentals and Applications; John Wiley: New York, 1980. [Google Scholar]
  • Samples Availability: Available from the authors.

Share and Cite

MDPI and ACS Style

Baronas, R.; Ivanauskas, F.; Kulys, J. The Influence of the Enzyme Membrane Thickness on the Response of Amperometric Biosensors. Sensors 2003, 3, 248-262. https://doi.org/10.3390/s30700248

AMA Style

Baronas R, Ivanauskas F, Kulys J. The Influence of the Enzyme Membrane Thickness on the Response of Amperometric Biosensors. Sensors. 2003; 3(7):248-262. https://doi.org/10.3390/s30700248

Chicago/Turabian Style

Baronas, Romas, Feliksas Ivanauskas, and Juozas Kulys. 2003. "The Influence of the Enzyme Membrane Thickness on the Response of Amperometric Biosensors" Sensors 3, no. 7: 248-262. https://doi.org/10.3390/s30700248

APA Style

Baronas, R., Ivanauskas, F., & Kulys, J. (2003). The Influence of the Enzyme Membrane Thickness on the Response of Amperometric Biosensors. Sensors, 3(7), 248-262. https://doi.org/10.3390/s30700248

Article Metrics

Back to TopTop