Redefining Prosthetic Needs: Insights from Individuals with Upper Limb Loss—A Systematic Review
Abstract
1. Introduction
2. Background
2.1. Anatomy and Function of the Human Hand
2.2. Prostheses Classification
3. Methods
3.1. Search Strategy
3.2. Selection Criteria
- Research focused on UL prosthesis users, addressing aspects such as comfort, utility, and appearance.
- Studies involving users of both passive and active prostheses.
- Research detailing user preferences regarding specific features, priorities for prosthetic design, and tasks users aim to perform in daily life with the prosthesis.
3.3. Search Results
4. Results
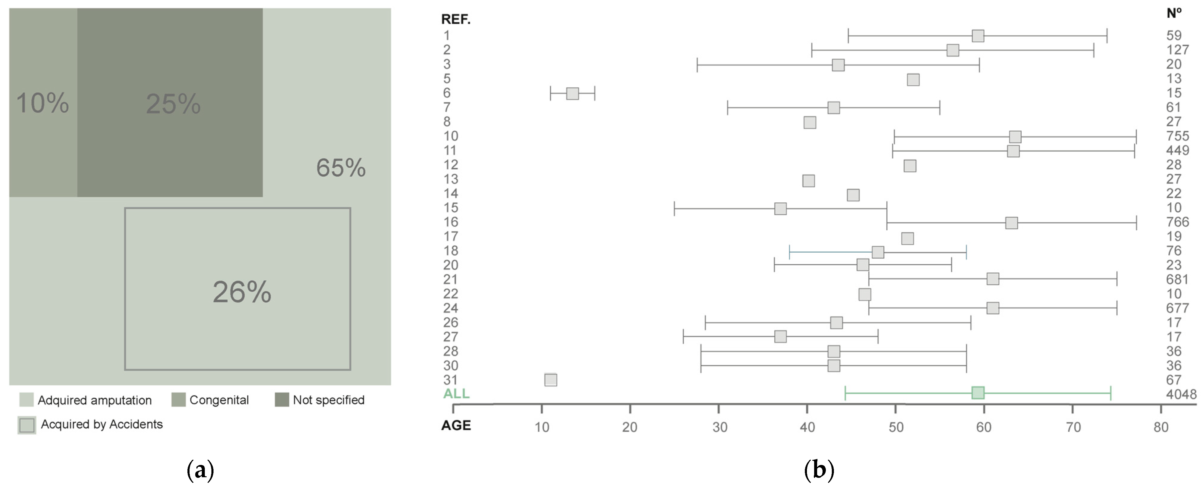
4.1. Demographics
4.2. Adaptation and Usability
4.3. Functionality and Performance
4.4. Psychological and Psychosocial Impact
5. Discussion
6. Conclusions
Author Contributions
Funding
Data Availability Statement
Conflicts of Interest
References
- Yuan, B.; Hu, D.; Gu, S.; Xiao, S.; Song, F. The global burden of traumatic amputation in 204 countries and territories. Front. Public Health 2023, 11, 1258853. [Google Scholar] [CrossRef]
- McDonald, C.L.; Westcott-Mccoy, S.; Weaver, M.R.; Haagsma, J.; Kartin, D. Global prevalence of traumatic non-fatal limb amputation. Prosthet. Orthot. Int. 2021, 45, 105–114. [Google Scholar] [CrossRef]
- World Health Organization. Prosthetics for Orthotics: Standards & Implementation Guide Part 2. 2017. Available online: https://qualityhealthservices.who.int/quality-toolkit/qt-catalog-item/standards-for-prosthetics-and-orthotics---part-2-implementation-manual (accessed on 9 September 2023).
- Phillips, B.; Zingalis, G.; Ritter, S.; Mehta, K. A review of current upper-limb prostheses for resource constrained settings. In Proceedings of the 2015 IEEE Global Humanitarian Technology Conference (GHTC), Seattle, WA, USA, 8–11 October 2015; pp. 52–58. [Google Scholar] [CrossRef]
- Cordella, F.; Ciancio, A.L.; Sacchetti, R.; Davalli, A.; Cutti, A.G.; Guglielmelli, E.; Zollo, L. Literature review on needs of upper limb prosthesis users. Front. Neurosci. 2016, 10, 209. [Google Scholar] [CrossRef] [PubMed]
- Matos, J.P.; Carolino, E.; Ramos, R. Dados Epidemiológicos sobre amputações realizadas em Portugal entre 2000 e 2015. Lisbon. 2018. Available online: https://repositorio.ipl.pt/entities/publication/d2cb2aec-5051-4b55-8098-605d611d57c8 (accessed on 9 September 2023).
- De Putter, C.E.; Selles, R.W.; Haagsma, J.A.; Polinder, S.; Panneman, M.J.M.; Hovius, S.E.R.; Burdorf, A.; Van Beeck, E.F. Health-related quality of life after upper extremity injuries and predictors for suboptimal outcome. Injury 2014, 45, 1752–1758. [Google Scholar] [CrossRef]
- Trent, L.; Intintoli, M.; Prigge, P.; Bollinger, C.; Walters, L.S.; Conyers, D.; Miguelez, J.; Ryan, T. A narrative review: Current upper limb prosthetic options and design. Disabil. Rehabil. Assist. Technol. 2020, 15, 604–613. [Google Scholar] [CrossRef] [PubMed]
- Abdulrazaq, A.S.; Shlash, A.M.J.; Hrefish, Z.A.; Mohammed, M.A.; Obaid, A.F.; Abdulrasol, Z.A. Body Image and Its Association with Self-esteem Among Amputation Cases at Prosthetics Center in Hilla City, Iraq. Iran. Rehabil. J. 2022, 20, 237–243. [Google Scholar] [CrossRef]
- NHS. Amputation. 2023. Available online: https://www.nhs.uk/conditions/amputation/ (accessed on 10 November 2023).
- Seren, R.; De Tilio, R. As vivências do luto e seus estágios em pessoas amputadas. Rev. SPAGESP 2014, 15, 64–78. [Google Scholar]
- Ghadage, D.; Bagde, R.; Jha, S.; Mohini, D.; Barhate, C. A Review On Current Technological Advancements in Prosthetic Arms. In Proceedings of the 2023 3rd International Conference on Advances in Computing, Communication, Embedded and Secure Systems (ACCESS), Kalady, Ernakulam, India, 18–20 May 2023; pp. 328–333. [Google Scholar] [CrossRef]
- Semasinghe, C.L.; Madusanka, D.G.K.; Ranaweera, R.K.P.S.; Gopura, R.A.R.C. Transradial prostheses: Trends in development of hardware and control systems. Int. J. Med. Robot. Comput. Assist. Surg. 2018, 15, e1960. [Google Scholar] [CrossRef]
- Salminger, S.; Stino, H.; Pichler, L.H.; Gstoettner, C.; Sturma, A.; Mayer, J.A.; Szivak, M.; Aszmann, O.C. Current rates of prosthetic usage in upper-limb amputees–have innovations had an impact on device acceptance? Disabil. Rehabil. 2022, 44, 3708–3713. [Google Scholar] [CrossRef]
- Biddiss, E.; Chau, T. Upper limb prosthesis use and abandonment: A survey of the last 25 years. Prosthet. Orthot. Int. 2007, 31, 236–257. [Google Scholar] [CrossRef]
- Peterson, J.K.; Prigge, P. Early upper-limb prosthetic fitting and brain development: Considerations for success. J. Prosthet. Orthot. 2020, 32, 229–235. [Google Scholar] [CrossRef]
- Cheng, K.Y.; Rehani, M.; Hebert, J.S. A scoping review of eye tracking metrics used to assess visuomotor behaviours of upper limb prosthesis users. J. Neuroeng. Rehabil. 2023, 20, 49. [Google Scholar] [CrossRef]
- Brack, R.; Amalu, E.H. A review of technology, materials and R & D challenges of upper limb prosthesis for improved user suitability. J. Orthop. 2021, 23, 88–96. [Google Scholar] [CrossRef]
- Smail, L.C.; Neal, C.; Wilkins, C.; Packham, T.L.; Smail, L.C.; Neal, C.; Wilkins, C.; Packham, T.L. Comfort and function remain key factors in upper limb prosthetic abandonment: Findings of a scoping review. Disabil. Rehabil. Assist. Technol. 2021, 16, 821–830. [Google Scholar] [CrossRef] [PubMed]
- Marinelli, A.; Boccardo, N.; Tessari, F.; Di Domenico, D.; Caserta, G.; Canepa, M.; Gini, G.; Barresi, G.; Laffranchi, M.; De Michieli, L.; et al. Active upper limb prostheses: A review on current state and upcoming breakthroughs. Prog. Biomed. Eng. 2023, 5, 012001. [Google Scholar] [CrossRef] [PubMed]
- Xu, K.; Qin, S. An Interdisciplinary Approach and Advanced Techniques for Enhanced 3D-Printed Upper Limb Prosthetic Socket Design: A Literature Review. Actuators 2023, 12, 223. [Google Scholar] [CrossRef]
- Kumar, D.K.; Jelfs, B.; Sui, X.; Arjunan, S.P. Prosthetic hand control: A multidisciplinary review to identify strengths, shortcomings, and the future. Biomed. Signal Process. Control 2019, 53, 101588. [Google Scholar] [CrossRef]
- Beasley, R.W. General considerations in managing upper limb amputations. Orthop. Clin. N. Am. 1981, 12, 743–749. [Google Scholar] [CrossRef]
- Carrozza, M.C.; Vecchit, E.; Sebastianit, E.; Cappiellot, G.; Roccellat, S.; Zecca’t, M.; Lazzarini’t, R.; Dario’, P. Experimental analysis of an innovative prosthetic hand with proprioceptive sensors. In Proceedings of the 2003 IEEE International Conference on Robotics and Automation (Cat. No.03CH37422), Taipei, Taiwan, 14–19 September 2003; Volume 2, pp. 2230–2235. [Google Scholar]
- Tanrıkulu, S.; Bekmez, Ş.; Üzümcügil, A.; Leblebicioğlu, G. Anatomy and Biomechanics of the Wrist and Hand. In Sports Injuries; Springer: Berlin/Heidelberg, Germany, 2014; pp. 1–9. [Google Scholar] [CrossRef]
- Elkoura, G.; Singh, K. Handrix: Animating the Human Hand. In Proceedings of the 2003 ACM SIGGRAPH/Eurographics Symposium on Computer Animation, San Diego, CA, USA, 26–27 July 2003. [Google Scholar]
- Drake, R.L.; Vogl, A.W.; Mitchell, A.; Gray, H. Gray’s Anatomy for Students, 2nd ed.; Churchill Livingstone/Elsevier: Philadelphia, PA, USA, 2010. [Google Scholar]
- Segura, D.; Romero, E.; Abarca, V.E.; Elias, D.A. Upper Limb Prostheses by the Level of Amputation: A Systematic Review. Prosthesis 2024, 6, 277–300. [Google Scholar] [CrossRef]
- Grushko, S.; Spurný, T.; Cerný, M. Control Methods for Transradial Prostheses Based on Remnant Muscle Activity and Its Relationship with Proprioceptive Feedback. Sensors 2020, 20, 4883. [Google Scholar] [CrossRef]
- Jones, H.; Dupan, S.; Dyson, M.; Krasoulis, A.; Kenney, L.P.J.; Donovan-Hall, M.; Memarzadeh, K.; Day, S.; Coutinho, M.; Nazarpour, K. Co-creation and User Perspectives for Upper Limb Prosthetics. Front. Neurorobot. 2021, 15, 6897717. [Google Scholar] [CrossRef]
- Carey, S.L.; Lura, D.J.; Highsmith, M.J. Differences in myoelectric and body-powered upper-limb prostheses: Systematic literature review. J. Rehabil. Res. Dev. 2015, 52, 247–262. [Google Scholar] [CrossRef]
- Ju, N.; Lee, K.-H.; Kim, M.-O.; Choi, Y.; Sala, C.A. A User-Driven Approach to Prosthetic Upper Limb Development in Korea. Healthcare 2021, 9, 839. [Google Scholar] [CrossRef]
- Walker, M.J.; Goddard, E.; Fripp, B.S.; Alici, G. Towards Including End—Users in the Design of Prosthetic Hands: Ethical Analysis of a Survey of Australians with Upper—Limb Difference. Sci. Eng. Ethics 2020, 26, 981–1007. [Google Scholar] [CrossRef]
- Resnik, L.; Borgia, M.; Heinemann, A.W.; Clark, M.A. Prosthesis satisfaction in a national sample of Veterans with upper limb amputation. Prosthet. Orthot. Int. 2020, 44, 81–91. [Google Scholar] [CrossRef]
- Stephens-fripp, B.; Walker, M.J.; Goddard, E.; Alici, G.; Walker, M.J.; Goddard, E.; Alici, G. A survey on what Australian ’ s with upper limb difference want in a prosthesis: Justification for using soft robotics and additive manufacturing for customized prosthetic hands. Disabil. Rehabil. Assist. Technol. 2020, 15, 342–349. [Google Scholar] [CrossRef] [PubMed]
- Resnik, L.J.; Borgia, M.L.; Clark, M.A. A National Survey of Prosthesis Use in Veterans with Major Upper Limb Amputation: Comparisons by Gender. PM&R 2020, 12, 1086–1098. [Google Scholar] [CrossRef] [PubMed]
- Kim, J.J.; Kim, J.; Lee, J.; Shin, J. Influence of lifestyle pattern on preference for prosthetic hands: Understanding the development pathway for 3D-printed prostheses. J. Clean. Prod. 2022, 379, 134599. [Google Scholar] [CrossRef]
- Einfeldt, A.E.; Rebmann, F.; Yao, D.; Stukenborg-, C.; Hurschler, C.; Windhagen, H.; Id, E.J. What do users and their aiding professionals want from future devices in upper limb prosthetics? A focus group study. PLoS ONE 2023, 18, e0295516. [Google Scholar] [CrossRef]
- Sahinol, M. 3D printed children’s prostheses as enabling technology? The experience of children with upper limb body differences. J. Enabling Technol. 2022, 16, 204–218. [Google Scholar] [CrossRef]
- Hussaini, A.; Kyberd, P.; Mulindwa, B.; Ssekitoleko, R.; Keeble, W.; Kenney, L.; Howard, D. 3D Printing in LMICs: Functional Design for Upper Limb Prosthetics in Uganda. Prosthesis 2023, 5, 130–147. [Google Scholar] [CrossRef]
- Nagaraja, V.H.; Moulic, S.G.; D’souza, J.V.; Limesh, M.; Walters, P.; Bergmann, J.H.M. A Novel Respiratory Control and Actuation System for Upper-Limb Prosthesis Users: Clinical Evaluation Study. IEEE Access 2022, 10, 128764–128778. [Google Scholar] [CrossRef]
- Kristjansdottir, F.; Bsc, O.T.; Dahlin, L.B.; Rosberg, H.-E.; Carlsson, I.K. Social participation in persons with upper limb amputation receiving an esthetic prosthesis. J. Hand Ther. 2019, 33, 520–527. [Google Scholar] [CrossRef]
- Zhang, X.; Baun, K.S.; Trent, L.; Miguelez, J.; Kontson, K. Understanding the Relationship Between Patient-Reported Function and Actual Function in the Upper Limb Prosthesis User Population: A Preliminary Study. Arch. Rehabil. Res. Clin. Transl. 2021, 3, 100148. [Google Scholar] [CrossRef]
- Johansen, H.; Dammann, B.; Andersen, L.O.; Andresen, I.-L. Children with congenital limb deficiency in Norway: Issues related to school life and health-related quality of life. A cross-sectional study. Disabil. Rehabil. 2016, 38, 1803–1810. [Google Scholar] [CrossRef] [PubMed]
- Jones, H.; Webb, L.; Dyson, M.; Nazarpour, K. Towards User-Centred Prosthetics Research Beyond the Laboratory. Front. Neurosci. 2022, 16, 863833. [Google Scholar] [CrossRef]
- Resnik, L.; Borgia, M.; Cancio, J.; Heckman, J.; Highsmith, J.; Levy, C.; Phillips, S.; Webster, J. Dexterity, activity performance, disability, quality of life, and independence in upper limb Veteran prosthesis users: A normative study. Phys. Med. Rehabil. Serv. 2022, 44, 2470–2481. [Google Scholar] [CrossRef]
- Kannenberg, A.; Lundstrom, R.; Hibler, K.D.; Johnson, S.S. Differences in Two Multiarticulating Myoelectric Hands for Facilitating Activities of Daily Living in Individuals with Transradial Amputation: A Cross-Sectional Study. J. Prosthet. Orthot. 2023, 35, 12–14. [Google Scholar] [CrossRef]
- Sears, H.H.; Doolan, K.; Keenan, D.D. A Small-Scale Survey of Bilateral Upper-Limb Loss Individuals. J. Prosthet. Orthot. 2022, 34, 95–107. [Google Scholar] [CrossRef]
- Resnik, L.J.; Stevens, P.M.; Ni, P.; Borgia, M.L.; Clark, M.A. Assessment of Patient-Reported Physical Function in Persons with Upper Extremity Amputation: Comparison of Short Form instruments drawn from the PROMIS v2.0 Upper Extremity item. Am. J. Phys. Med. Rehabil. 2023, 102, 120–129. [Google Scholar] [CrossRef]
- Resnik, L.; Borgia, M.; Clark, M. Function and Quality of Life of Unilateral Major Upper Limb Amputees: Effect of Prosthesis Use and Type. Arch. Phys. Med. Rehabil. 2020, 101, 1396–1406. [Google Scholar] [CrossRef]
- Davidson, M.; Bodine, C.; Weir, R.F. User surveys support designing a prosthetic wrist that incorporates the Dart Thrower’s Motion. Disabil. Rehanil Assist. Technol. 2019, 14, 312–315. [Google Scholar] [CrossRef]
- Touillet, A.; Peultier-Celli, L.; Nicol, C.; Jarrasse, N.; Loiret, I.; Martinet, N.; Paysant, J.; De Graaf, J.B. Characteristics of phantom upper limb mobility encourage phantom-mobility-based prosthesis control. Sci. Rep. 2018, 8, 15459. [Google Scholar] [CrossRef] [PubMed]
- Jabban, L.; Metcalfe, B.W.; Raines, J.; Zhang, D.; Ainswoth, B. Experience of adults with upper-limb difference and their views on sensory feedback for prostheses: A mixed methods study. J. Neuroeng. Rehabil. 2022, 19, 80. [Google Scholar] [CrossRef]
- Resnik, L.; Acluche, F.; Borgia, M.; Cancio, J.; Latlief, G.; Sasson, N. Function, quality of life, and community integration of DEKA Arm users after discharge from prosthetic training: Impact of home use experience. Prosthet. Orthot. Int. 2018, 42, 571–582. [Google Scholar] [CrossRef] [PubMed]
- Resnik, L.; Acluche, F.; Lieberman Klinger, S.; Borgia, M. Does the DEKA Arm substitute for or supplement conventional prostheses. Prosthet. Orthot. Int. 2018, 42, 534–543. [Google Scholar] [CrossRef]
- Resnik, L.; Acluche, F.; Borgia, M.; Latlief, G.; Phillips, S. EMG Pattern Recognition Control of the DEKA Arm: Impact on User Ratings of Satisfaction and Usability. IEEE J. Transl. Eng. Heal. Med. 2019, 7, 2100113. [Google Scholar] [CrossRef] [PubMed]
- Resnik, L.J.; Acluche, F.; Borgia, M.; Cancio, J.; Latlief, G.; Phillips, S.; Sasson, N. EMG pattern recognition compared to foot control of the DEKA Arm. PLoS ONE 2018, 13, e0204854. [Google Scholar] [CrossRef] [PubMed]
- Bretschneider, M.; Meyer, B.; Asbrock, F. The impact of bionic prostheses on users’ self-perceptions: A qualitative study. Acta Psychol. 2023, 241, 104085. [Google Scholar] [CrossRef]
- Hutchison, A.; D’Cruz, K.; Keeves, J.; Ross, P.; Anderson, S. Barriers and facilitators to community reintegration in adults following traumatic upper limb amputation: An exploratory study. Disabil. Rehabil. 2024, 46, 3691–3701. [Google Scholar] [CrossRef] [PubMed]
- Ramirez, D.Z.M.; Nakandi, B.; Ssekitoleko, R.; Ackers, L.; Mwaka, E.; Kenney, L.; Holloway, C.; Donovan-Hall, M. The lived experience of people with upper limb absence living in Uganda: A qualitative study. Afr. J. Disabil. 2022, 11, a890. [Google Scholar] [CrossRef]
- Resnik, L.J.; Borgia, M.L.; Clark, M.A.; Graczyk, E.; Segil, J.; Ni, P. Structural validity and reliability of the patient experience measure: A new approach to assessing psychosocial experience of upper limb prosthesis users. PLoS ONE 2021, 16, e0261865. [Google Scholar] [CrossRef] [PubMed]
- Ragni, F.; Archetti, L.; Roby-Brami, A.; Amici, C.; Saint-Bauzel, L. Intention prediction and human health condition detection in reaching tasks with machine learning techniques. Sensors 2021, 21, 5253. [Google Scholar] [CrossRef] [PubMed]
- Rajan, A.P.; Chanu, A.R.; Venkataraman, S.; Singh, U. Prosthesis Usage and Functional Status in Upper Limb Amputees: A Prospective Cross-Sectional Study. Cureus 2024, 16, e65677. [Google Scholar] [CrossRef]
- Resnik, L.J.; Borgia, M.; Graczyk, E.L.; Id, J.B.; Ni, P. Prosthesis usability experience is associated with extent of upper limb prosthesis adoption: A Structural Equation Modeling (SEM) analysis. PLoS ONE 2024, 19, e0299155. [Google Scholar] [CrossRef] [PubMed]
- Pickard, N.; Mulindwa, B.; Granat, M.; Chadwell, A.; Curtin, S. Introducing an adjustable upper limb prosthesis into a Ugandan clinical service: Impacts on free living behaviour and prosthetic use. Sci. Rep. 2025, 15, 11585. [Google Scholar] [CrossRef]
- Barattini, C.; Dimauro, L.; Vella, A.D.; Vigliani, A. Dynamic Analysis of a High-Performance Prosthetic Leg: Experimental Characterisation and Numerical Modelling. Appl. Sci. 2023, 13, 11566. [Google Scholar] [CrossRef]







| User Needs | References | Sample Size | |
|---|---|---|---|
| Ergonomic Needs | Comfort (i.e., easy to fit/detach, sweating, chafing, rubbing…) | [32,33,35,36,38,39,40,41,44,48,51,53,55,56,58,59,61] | 1902 |
| Reduce pain/fatigue | [32,35,36,38,39,44,48,52,54,56,58,59] | 1166 | |
| Reduce weight | [30,32,33,34,35,36,37,38,39,40,41,46,48,53,54,55,56,59] | 1805 | |
| Security | [33,35,38,40,42,45,48,53,58,59,61] | 900 | |
| Functional Needs | Daily activities (i.e., eating, cooking, dressing, picking up objects, handling utensils…) Work/School (i.e., income-generating activities, writing, typing, driving, playground games…) Leisure and recreative activities (i.e., leisure, sporting, gardening…) | [30,32,33,35,36,37,38,39,40,41,42,43,44,45,47,48,49,50,51,53,54,55,56,57,58,59,60,61] | 4233 |
| Sensory Feedback | [33,35,38,47,48,53,59] | 168 | |
| Better dexterity (i.e., wrist flexion, clumsiness…) | [30,33,35,37,38,40,46,48,51,52,54,55,56,57,60] | 1205 | |
| Fine motor skills (i.e., grip fine control, delicacy…) | [33,35,38,39,41,46,53,58,61] | 975 | |
| Easy to learn/use (i.e., intuitive) | [35,36,41,47,51,53,61] | 1575 | |
| Independence | [38,39,40,48,58,59,60] | 158 | |
| Psychological Needs | Acceptability (of the device and appearance) | [33,35,38,39,40,41,53,58,59,61] | 210 |
| Design personalization (i.e., natural hand or a superhero’s) | [30,35,37,38,39,40,44,45,59,61] | 1600 | |
| Social interactions/Draw lower attention. | [33,38,39,41,42,45,46,53,58,59,60,61] | 1002 | |
| Embodiment/Confidence/Better mental health/Safety | [38,40,42,45,53,58,59,61] | 2340 | |
| Clinical Services (i.e., Lack of training, appropriate psychological support, and personalizing care of effective rehabilitation) | [32,34,35,36,37,38,40,41,48,50,53,54,59,60] | 2915 | |
| Other Needs | Reduce Price (accessibility) | [32,33,34,35,37,38,39,40,41,48,51,53] | 1459 |
| Reduce Noise | [33,34,35,41,48,53,59] | 593 | |
| Durability, repairs, and replacements (i.e., grew break, unreliable…) | [32,33,34,35,36,37,38,39,40,44,48,51,53] | 2287 | |
| Battery life (i.e., operating lifetime) | [33,35,38,56] | 110 | |
| Water and weatherproof Ease of cleaning | [38,40,48,55] | 523 |
Disclaimer/Publisher’s Note: The statements, opinions and data contained in all publications are solely those of the individual author(s) and contributor(s) and not of MDPI and/or the editor(s). MDPI and/or the editor(s) disclaim responsibility for any injury to people or property resulting from any ideas, methods, instructions or products referred to in the content. |
© 2026 by the authors. Licensee MDPI, Basel, Switzerland. This article is an open access article distributed under the terms and conditions of the Creative Commons Attribution (CC BY) license.
Share and Cite
Caldas, A.; Matos, D.; de Eyto, A.; Martins, N. Redefining Prosthetic Needs: Insights from Individuals with Upper Limb Loss—A Systematic Review. Sensors 2026, 26, 734. https://doi.org/10.3390/s26020734
Caldas A, Matos D, de Eyto A, Martins N. Redefining Prosthetic Needs: Insights from Individuals with Upper Limb Loss—A Systematic Review. Sensors. 2026; 26(2):734. https://doi.org/10.3390/s26020734
Chicago/Turabian StyleCaldas, Andreia, Demétrio Matos, Adam de Eyto, and Nuno Martins. 2026. "Redefining Prosthetic Needs: Insights from Individuals with Upper Limb Loss—A Systematic Review" Sensors 26, no. 2: 734. https://doi.org/10.3390/s26020734
APA StyleCaldas, A., Matos, D., de Eyto, A., & Martins, N. (2026). Redefining Prosthetic Needs: Insights from Individuals with Upper Limb Loss—A Systematic Review. Sensors, 26(2), 734. https://doi.org/10.3390/s26020734

