The Analytical Solutions to a Cation–Water Coupled Multiphysics Model of IPMC Sensors
Abstract
1. Introduction
2. Zhu’s Multiphysics Model of IPMC Sensors
2.1. Governing Equations
2.2. Linearized Governing Equations
2.3. Boundary Conditions and Output Equation for the Voltage-Output Case
2.4. Boundary Conditions and Output Equation for Current-Output Case
2.5. Brief Experimental Validations
3. Exact Analytical Solutions in the Frequency Domain and Transfer Functions
3.1. General Solution
3.2. The Special Solution and Transfer Functions
3.2.1. Voltage-Output Case
3.2.2. Current-Output Case
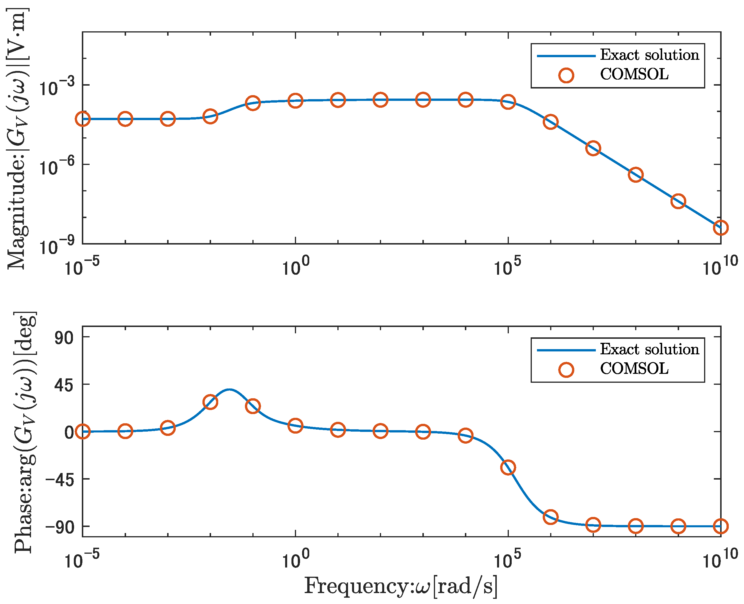
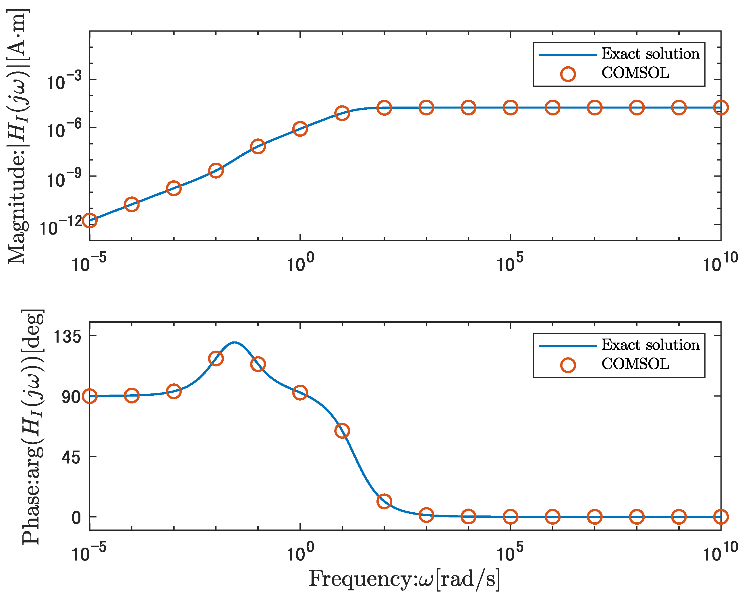
3.3. Validations and Numerical Examples
3.3.1. Method
3.3.2. Voltage-Output Case
3.3.3. Current-Output Case
4. Prediction of the Step Responses Using the Exact Transfer Functions
4.1. Predicting the Step Responses by the Approximate Transfer Functions
4.2. Approximations and Analysis of the Exact Transfer Functions
4.2.1. Voltage-Output Case
4.2.2. Current-Output Case
4.3. Relationship Between the Transfer Functions (Frequency Domain) and Step Responses (Time Domain)
4.3.1. Voltage-Output Case
4.3.2. Current-Output Case
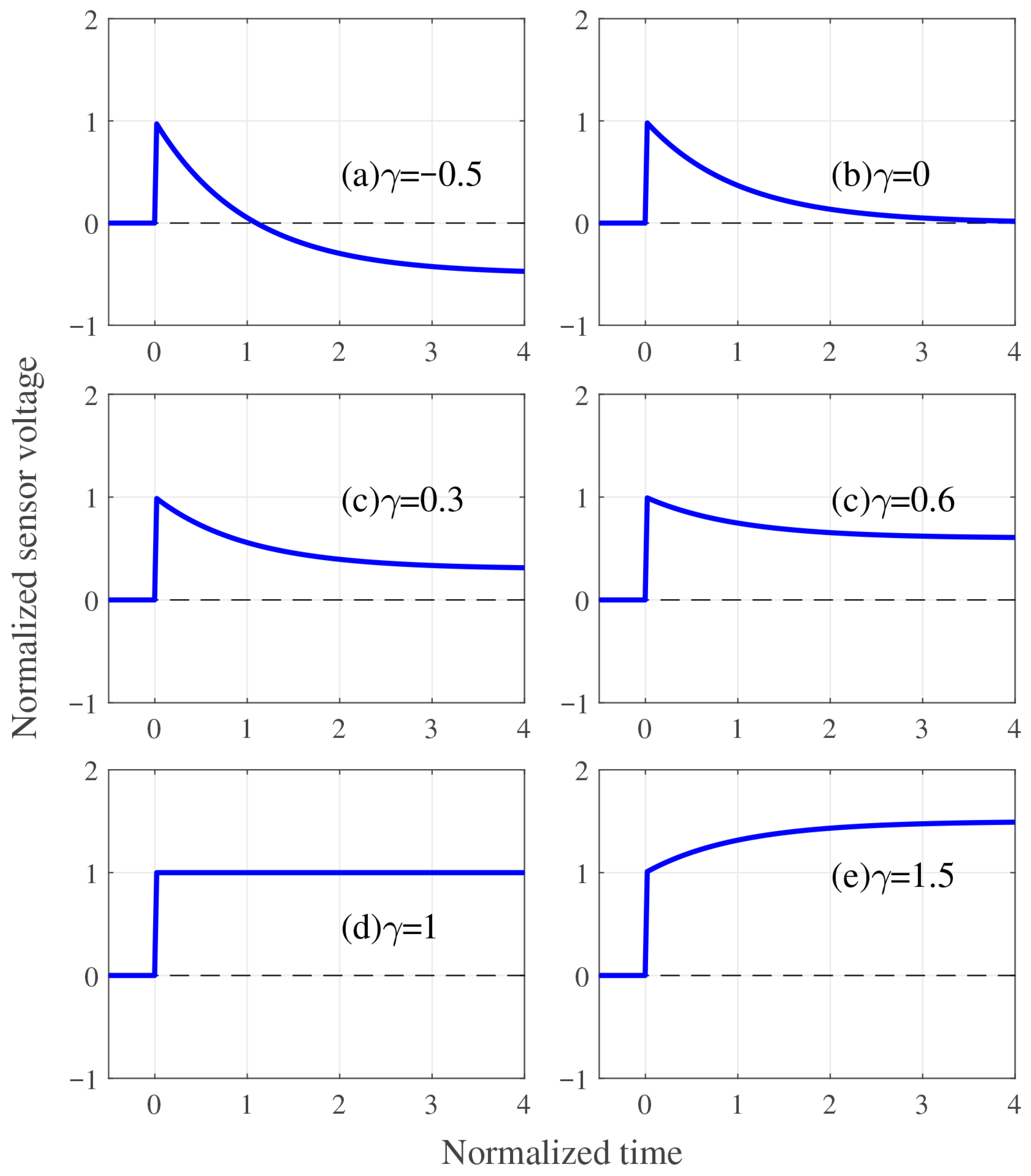
5. The Parameter and Physical Interpretation of the Relaxation Behavior of the Sensor Voltage
5.1. Cases of the Relaxation Behavior of the Sensor Voltage
5.2. Validation of the Predicted Value of with the Experimental Parameters
6. Conclusions
Author Contributions
Funding
Institutional Review Board Statement
Informed Consent Statement
Data Availability Statement
Acknowledgments
Conflicts of Interest
Abbreviations
| IPMC | Ionic polymer metal composite |
| PNP | Poisson-Nernst-Planck |
References
- Shahinpoor, M.; Kim, K.J. Ionic polymer-metal composites: I. Fundamentals. Smart Mater. Struct. 2001, 10, 819. [Google Scholar] [CrossRef]
- Bar-Cohen, Y. Electroactive Polymer (EAP) Actuators as Artificial Muscles: Reality, Potential, and Challenges, 2nd ed.; SPIE: Bellingham, WA, USA, 2004. [Google Scholar]
- Shahinpoor, M. Ionic Polymer Metal Composites (IPMCs): Smart Multi-Functional Materials and Artificial Muscles; Royal Society of Chemistry: London, UK, 2015. [Google Scholar]
- Carpi, F. Electromechanically Active Polymers: A Concise Reference; Polymers and Polymeric Composites: A Reference Series; Springer International Publishing: Berlin/Heidelberg, Germany, 2016. [Google Scholar]
- Asaka, K.; Okuzaki, H. Soft Actuators: Materials, Modeling, Applications, and Future Perspectives, 2nd ed.; Springer Nature: Berlin/Heidelberg, Germany, 2019. [Google Scholar]
- Yang, L.; Wang, H. High-performance electrically responsive artificial muscle materials for soft robot actuation. Acta Biomater. 2024, 185, 24–40. [Google Scholar] [CrossRef]
- Shahinpoor, M.; Bar-Cohen, Y.; Simpson, J.; Smith, J. Ionic polymer-metal composites (IPMCs) as biomimetic sensors, actuators and artificial muscles—A review. Smart Mater. Struct. 1998, 7, R15. [Google Scholar] [CrossRef]
- MohdIsa, W.; Hunt, A.; HosseinNia, S.H. Sensing and self-sensing actuation methods for ionic polymer–metal composite (IPMC): A review. Sensors 2019, 19, 3967. [Google Scholar] [CrossRef]
- Chen, H.; Fang, S.; Aw, K. Ionic polymer metallic composite as wearable impact sensor for sport science. Int. J. Biomechatron. Biomed. Robot. 2010, 1, 88–92. [Google Scholar] [CrossRef]
- Ming, Y.; Yang, Y.; Fu, R.P.; Lu, C.; Zhao, L.; Hu, Y.M.; Li, C.; Wu, Y.X.; Liu, H.; Chen, W. IPMC Sensor Integrated Smart Glove for Pulse Diagnosis, Braille Recognition, and Human–Computer Interaction. Adv. Mater. Technol. 2018, 3, 1800257. [Google Scholar] [CrossRef]
- Chattaraj, R.; Bhaumik, S.; Khan, S.; Chatterjee, D. Soft wearable ionic polymer sensors for palpatory pulse-rate extraction. Sens. Actuators A Phys. 2018, 270, 65–71. [Google Scholar] [CrossRef]
- Lee, J.H.; Chee, P.S.; Lim, E.H.; Tan, C.H. Artificial intelligence-assisted throat sensor using ionic polymer–metal composite (IPMC) material. Polymers 2021, 13, 3041. [Google Scholar] [CrossRef]
- Ostretsov, K.I.; Orekhov, Y.D.; Khmelnitskiy, I.K.; Aivazyan, V.M.; Testov, O.A.; Gareev, K.G.; Testov, D.O.; Karelin, A.M.; Bagrets, V.S. Heart rate monitor based on IPMC sensor. In Proceedings of the 2021 International Conference on Electrical Engineering and Photonics (EExPolytech), Nanjing, China, 3–5 December 2021; IEEE: Piscataway, NJ, USA, 2021; pp. 139–142. [Google Scholar]
- Cha, Y.; Verotti, M.; Walcott, H.; Peterson, S.D.; Porfiri, M. Energy harvesting from the tail beating of a carangiform swimmer using ionic polymer–metal composites. Bioinspir. Biomim. 2013, 8, 036003. [Google Scholar] [CrossRef]
- Cha, Y.; Abdolhamidi, S.; Porfiri, M. Energy harvesting from underwater vibration of an annular ionic polymer metal composite. Meccanica 2015, 50, 2675–2690. [Google Scholar] [CrossRef]
- Brunetto, P.; Fortuna, L.; Giannone, P.; Graziani, S.; Pagano, F. A resonant vibrating tactile probe for biomedical applications based on IPMC. IEEE Trans. Instrum. Meas. 2010, 59, 1453–1462. [Google Scholar] [CrossRef]
- Park, K.; Lee, B.; Kim, H.M.; Choi, K.S.; Hwang, G.; Byun, G.S.; Lee, H.K. IPMC based biosensor for the detection of biceps brachii muscle movements. Int. J. Electrochem. Sci. 2013, 8, 4098–4109. [Google Scholar] [CrossRef]
- Lei, H.; Sharif, M.A.; Paley, D.A.; McHenry, M.J.; Tan, X. Performance improvement of IPMC flow sensors with a biologically-inspired cupula structure. In Proceedings of the Electroactive Polymer Actuators and Devices (EAPAD) 2016, Las Vegas, NV, USA, 21–24 March 2016; SPIE: Bellingham, WA, USA, 2016; Volume 9798, pp. 418–426. [Google Scholar]
- Zhu, Z.; Horiuchi, T.; Takagi, K.; Takeda, J.; Chang, L.; Asaka, K. Effects of cation on electrical responses of ionic polymer-metal composite sensors at various ambient humidities. J. Appl. Phys. 2016, 120, 084906. [Google Scholar] [CrossRef]
- Farinholt, K.; Leo, D.J. Modeling of electromechanical charge sensing in ionic polymer transducers. Mech. Mater. 2004, 36, 421–433. [Google Scholar] [CrossRef]
- Bahramzadeh, Y.; Shahinpoor, M. Dynamic curvature sensing employing ionic-polymer–metal composite sensors. Smart Mater. Struct. 2011, 20, 094011. [Google Scholar] [CrossRef]
- Yang, L.; Yang, Y.; Wang, H. Modeling and control of ionic polymer metal composite actuators: A review. Eur. Polym. J. 2023, 186, 111821. [Google Scholar] [CrossRef]
- Mallavarapu, K.; Leo, D.J. Feedback control of the bending response of ionic polymer actuators. J. Intell. Mater. Syst. Struct. 2001, 12, 143–155. [Google Scholar] [CrossRef]
- Richardson, R.C.; Levesley, M.C.; Brown, M.D.; Hawkes, J.A.; Watterson, K.; Walker, P.G. Control of ionic polymer metal composites. IEEE/ASME Trans. Mechatron. 2003, 8, 245–253. [Google Scholar] [CrossRef]
- Kang, S.; Shin, J.; Kim, S.J.; Kim, H.J.; Kim, Y.H. Robust control of ionic polymer–metal composites. Smart Mater. Struct. 2007, 16, 2457. [Google Scholar] [CrossRef]
- Newbury, K.M.; Leo, D.J. Linear electromechanical model of ionic polymer transducers-Part I: Model Development. J. Intell. Mater. Syst. Struct. 2003, 14, 333–342. [Google Scholar] [CrossRef]
- Newbury, K.M.; Leo, D.J. Linear electromechanical model of ionic polymer transducers-Part II: Experimental validation. J. Intell. Mater. Syst. Struct. 2003, 14, 343–357. [Google Scholar] [CrossRef]
- Bonomo, C.; Fortuna, L.; Giannone, P.; Graziani, S.; Strazzeri, S. A model for ionic polymer metal composites as sensors. Smart Mater. Struct. 2006, 15, 749. [Google Scholar] [CrossRef]
- De Gennes, P.; Okumura, K.; Shahinpoor, M.; Kim, K.J. Mechanoelectric effects in ionic gels. EPL Europhys. Lett. 2000, 50, 513. [Google Scholar] [CrossRef]
- McGee, J.D. Mechano-Electrochemical Response of Ionic Polymer-Metal Composites; University of California: San Diego, CA, USA, 2002. [Google Scholar]
- Tadokoro, S.; Yamagami, S.; Takamori, T.; Oguro, K. Modeling of Nafion-Pt composite actuators (ICPF) by ionic motion. Proc. SPIE-Int. Soc. Opt. Eng. 2000, 3987, 92–102. [Google Scholar] [CrossRef]
- Yamaue, T.; Mukai, H.; Asaka, K.; Doi, M. Electrostress Diffusion Coupling Model for Polyelectrolyte Gels. Macromolecules 2005, 38, 1349–1356. [Google Scholar] [CrossRef]
- Zhu, Z.; Chen, H.; Chang, L.; Li, B. Dynamic model of ion and water transport in ionic polymer-metal composites. AIP Adv. 2011, 1, 040702. [Google Scholar] [CrossRef]
- Nemat-Nasser, S. Micromechanics of actuation of ionic polymer-metal composites. J. Appl. Phys. 2002, 92, 2899–2915. [Google Scholar] [CrossRef]
- Wallmersperger, T.; Kröplin, B.; Gülch, R.W. Coupled chemo-electro-mechanical formulation for ionic polymer gels—Numerical and experimental investigations. Mech. Mater. 2004, 36, 411–420. [Google Scholar] [CrossRef]
- Wallmersperger, T.; Leo, D.J.; Kothera, C.S. Transport modeling in ionomeric polymer transducers and its relationship to electromechanical coupling. J. Appl. Phys. 2007, 101, 024912. [Google Scholar] [CrossRef]
- Wallmersperger, T.; Akle, B.J.; Leo, D.J.; Kröplin, B. Electrochemical response in ionic polymer transducers: An experimental and theoretical study. Compos. Sci. Technol. 2008, 68, 1173–1180. [Google Scholar] [CrossRef]
- Pugal, D.; Kim, K.J.; Aabloo, A. An explicit physics-based model of ionic polymer-metal composite actuators. J. Appl. Phys. 2011, 110, 084904. [Google Scholar] [CrossRef]
- Pugal, D. Physics Based Model of Ionic Polymer-Metal Composite Electromechanical and Mechanoelectrical Transduction. Ph.D. Thesis, University of Nevada, Reno, NV, USA, 2012. [Google Scholar] [CrossRef]
- Porfiri, M. An electromechanical model for sensing and actuation of ionic polymer metal composites. Smart Mater. Struct. 2008, 18, 015016. [Google Scholar] [CrossRef]
- Cha, Y.; Porfiri, M. Mechanics and electrochemistry of ionic polymer metal composites. J. Mech. Phys. Solids 2014, 71, 156–178. [Google Scholar] [CrossRef]
- Cha, Y.; Porfiri, M. A physics-based model for actuation and sensing of ionic polymer metal composites. In Electroactive Polymer Actuators and Devices (EAPAD) 2015; Bar-Cohen, Y., Ed.; International Society for Optics and Photonics, SPIE: Bellingham, WA, USA, 2015; Volume 9430, p. 94300G. [Google Scholar] [CrossRef]
- Chen, Z.; Tan, X. A Control-Oriented and Physics-Based Model for Ionic Polymer–Metal Composite Actuators. IEEE/ASME Trans. Mechatron. 2008, 13, 519–529. [Google Scholar] [CrossRef]
- Porfiri, M. Sensing mechanical deformation via ionic polymer metal composites: A primer. IEEE Instrum. Meas. Mag. 2019, 22, 5–12. [Google Scholar] [CrossRef]
- Chen, Z.; Tan, X.; Will, A.; Ziel, C. A dynamic model for ionic polymer–metal composite sensors. Smart Mater. Struct. 2007, 16, 1477. [Google Scholar] [CrossRef]
- Aureli, M.; Porfiri, M. Nonlinear sensing of ionic polymer metal composites. Contin. Mech. Thermodyn. 2013, 25, 273–310. [Google Scholar] [CrossRef]
- Lei, H.; Lim, C.; Tan, X. Humidity-dependence of IPMC sensing dynamics: Characterization and modeling from a physical perspective. Meccanica 2015, 50, 2663–2673. [Google Scholar] [CrossRef]
- Zhu, Z.; Asaka, K.; Chang, L.; Takagi, K.; Chen, H. Multiphysics of ionic polymer-metal composite actuator. J. Appl. Phys. 2013, 114, 084902. [Google Scholar] [CrossRef]
- Zhu, Z.; Chang, L.; Horiuchi, T.; Takagi, K.; Aabloo, A.; Asaka, K. Multi-physical model of cation and water transport in ionic polymer-metal composite sensors. J. Appl. Phys. 2016, 119, 124901. [Google Scholar] [CrossRef]
- Olsen, Z.J.; Kim, K.J. A hyperelastic porous media framework for ionic polymer-metal composite actuators and sensors: Thermodynamically consistent formulation and nondimensionalization of the field equations. Smart Mater. Struct. 2021, 30, 095024. [Google Scholar] [CrossRef]
- Bardella, L.; Panteghini, A. Electrochemo-poromechanics of ionic polymer metal composites: Identification of the model parameters. Smart Mater. Struct. 2023, 32, 115031. [Google Scholar] [CrossRef]
- Panteghini, A.; Bardella, L. Electrochemo-poromechanics of ionic polymer metal composites: Towards the accurate finite element modelling of actuation and sensing. J. Elast. 2023, 153, 299–358. [Google Scholar] [CrossRef]
- Kondo, K.; Takagi, K.; Zhu, Z.; Asaka, K. Symbolic finite element discretization and model order reduction of a multiphysics model for IPMC sensors. Smart Mater. Struct. 2020, 29, 115037. [Google Scholar] [CrossRef]
- Ishikawa, K.; Zhu, Z.; Asaka, K.; Hiruta, T.; Takagi, K. Physics-based irrational transfer function of IPMC sensor output voltage. IFAC-PapersOnLine 2023, 56, 7516–7522. [Google Scholar] [CrossRef]
- Ishikawa, K.; Zhu, Z.; Asaka, K.; Hiruta, T.; Takagi, K. On the time response properties predicted from the exact transfer function of a multiphysics model of IPMC sensors. In Proceedings of the Electroactive Polymer Actuators and Devices (EAPAD) XXVI, Long Beach, CA, USA, 25–28 March 2024; SPIE: Bellingham, WA, USA, 2024; Volume 12945, pp. 114–119. [Google Scholar]
- Porfiri, M. Charge dynamics in ionic polymer metal composites. J. Appl. Phys. 2008, 104, 104915. [Google Scholar] [CrossRef]
- Levinger, B.W. The Square Root of a 2 × 2 Matrix. Math. Mag. 1980, 53, 222–224. [Google Scholar] [CrossRef]
- Ljung, L. System Identification: Theory for the User, 2nd ed.; Prentice Hall PTR: Paramus, NJ, USA, 1999. [Google Scholar]
- Stenina, I.; Sistat, P.; Rebrov, A.; Pourcelly, G.; Yaroslavtsev, A. Ion mobility in Nafion-117 membranes. Desalination 2004, 170, 49–57. [Google Scholar] [CrossRef]
- Suresh, G.; Scindia, Y.; Pandey, A.; Goswami, A. Self-diffusion coefficient of water in Nafion-117 membrane with different monovalent counterions: A radiotracer study. J. Membr. Sci. 2005, 250, 39–45. [Google Scholar] [CrossRef]
- The Chemours Company FC, LLC. Product Bulletin P-12, Nafion N115, N117, N1110 Ion Exchange Materials, Extrusion Cast Membranes, 2016. Available online: https://fuelcellearth.com/pdf/nafion-N115-N117-N1110.pdf (accessed on 21 February 2025).












| Independent variables | |
| t | Time |
| z | Coordinate in the thickness direction |
| Dependent variables | |
| Cation flux | |
| Water flux | |
| Cation concentration | |
| Water concentration | |
| Electric potential | |
| Local volume fraction of water | |
| P | Total pressure |
| Curvature | |
| V | Open-circuit voltage |
| I | Short-circuit current |
| Material constants | |
| Elastic modulus of the dry polymer | |
| Elastic modulus of the wet polymer | |
| K | Hydraulic permeability coefficient |
| Effective relative dielectric constant | |
| Valence of cation | |
| Diffusion coefficient of cation | |
| Density of water | |
| Molar weight of water | |
| Diffusion coefficient of water | |
| Drag coefficient of water | |
| Concentration of the anion fixed to the polymer | |
| Geometric constants | |
| h | Thickness (half of the thickness) |
| S | Surface area |
| Universal constants | |
| Permittivity of vacuum | |
| F | Faraday constant |
| Gas constant | |
| Environment constant | |
| T | Absolute temperature |
| Constants | Unit | Numerical Values |
|---|---|---|
| Material constants | ||
| [Pa] | ||
| [Pa] | ||
| K | [] | |
| [-] | ||
| [-] | 1 | |
| [] | ||
| [] | ||
| [kg/mol] | ||
| [] | ||
| [-] | 3 | |
| [] | ||
| [-] | ||
| Geometric parameters | ||
| h | [m] | |
| S | [] | |
| Universal constants | ||
| [F/m] | ||
| F | [C/mol] | |
| [] | ||
| Environment constant | ||
| T | [K] | 300 |
| Directly proportional to: | |
| Inversely proportional to: |
| Directly proportional to: |
| (a) | (b) | (c) | (d) | (e) | |
|---|---|---|---|---|---|
| Relaxation behavior | ↘ | ↘ | ↘ | None | ↗ |
| Sign of the steady-state voltage | − | 0 | + | + | + |
| Max. voltage (per unit curvature) |
| Constants | Unit | , Water | , Water | , RH30% |
|---|---|---|---|---|
| [Pa] | ← | ← | ||
| K | [] | ← | ← | |
| [] | ||||
| [] | ||||
| [-] | ||||
| [] | ← | ← | ||
| / | [-] | ← | ← | |
| / | [-] | |||
| [-] | ||||
| [-] | ||||
| [-] | (<1) | (<1) | (>1) | |
| [-] | (>1) | (<1) | (<1) | |
| (Predicted) | [-] | |||
| (Experimental) | [-] |
Disclaimer/Publisher’s Note: The statements, opinions and data contained in all publications are solely those of the individual author(s) and contributor(s) and not of MDPI and/or the editor(s). MDPI and/or the editor(s) disclaim responsibility for any injury to people or property resulting from any ideas, methods, instructions or products referred to in the content. |
© 2026 by the authors. Licensee MDPI, Basel, Switzerland. This article is an open access article distributed under the terms and conditions of the Creative Commons Attribution (CC BY) license.
Share and Cite
Ishikawa, K.; Asaka, K.; Zhu, Z.; Hiruta, T.; Takagi, K. The Analytical Solutions to a Cation–Water Coupled Multiphysics Model of IPMC Sensors. Sensors 2026, 26, 695. https://doi.org/10.3390/s26020695
Ishikawa K, Asaka K, Zhu Z, Hiruta T, Takagi K. The Analytical Solutions to a Cation–Water Coupled Multiphysics Model of IPMC Sensors. Sensors. 2026; 26(2):695. https://doi.org/10.3390/s26020695
Chicago/Turabian StyleIshikawa, Kosetsu, Kinji Asaka, Zicai Zhu, Toshiki Hiruta, and Kentaro Takagi. 2026. "The Analytical Solutions to a Cation–Water Coupled Multiphysics Model of IPMC Sensors" Sensors 26, no. 2: 695. https://doi.org/10.3390/s26020695
APA StyleIshikawa, K., Asaka, K., Zhu, Z., Hiruta, T., & Takagi, K. (2026). The Analytical Solutions to a Cation–Water Coupled Multiphysics Model of IPMC Sensors. Sensors, 26(2), 695. https://doi.org/10.3390/s26020695

