Enhanced Room-Temperature Optoelectronic NO2 Sensing Performance of Ultrathin Non-Layered Indium Oxysulfide via In Situ Sulfurization
Abstract
1. Introduction
2. Experimental Section
2.1. Synthesis of Two-Dimensional In2O3 and In2SxO3−x
2.2. Characterization
2.3. Sensor Fabrication and Measurement
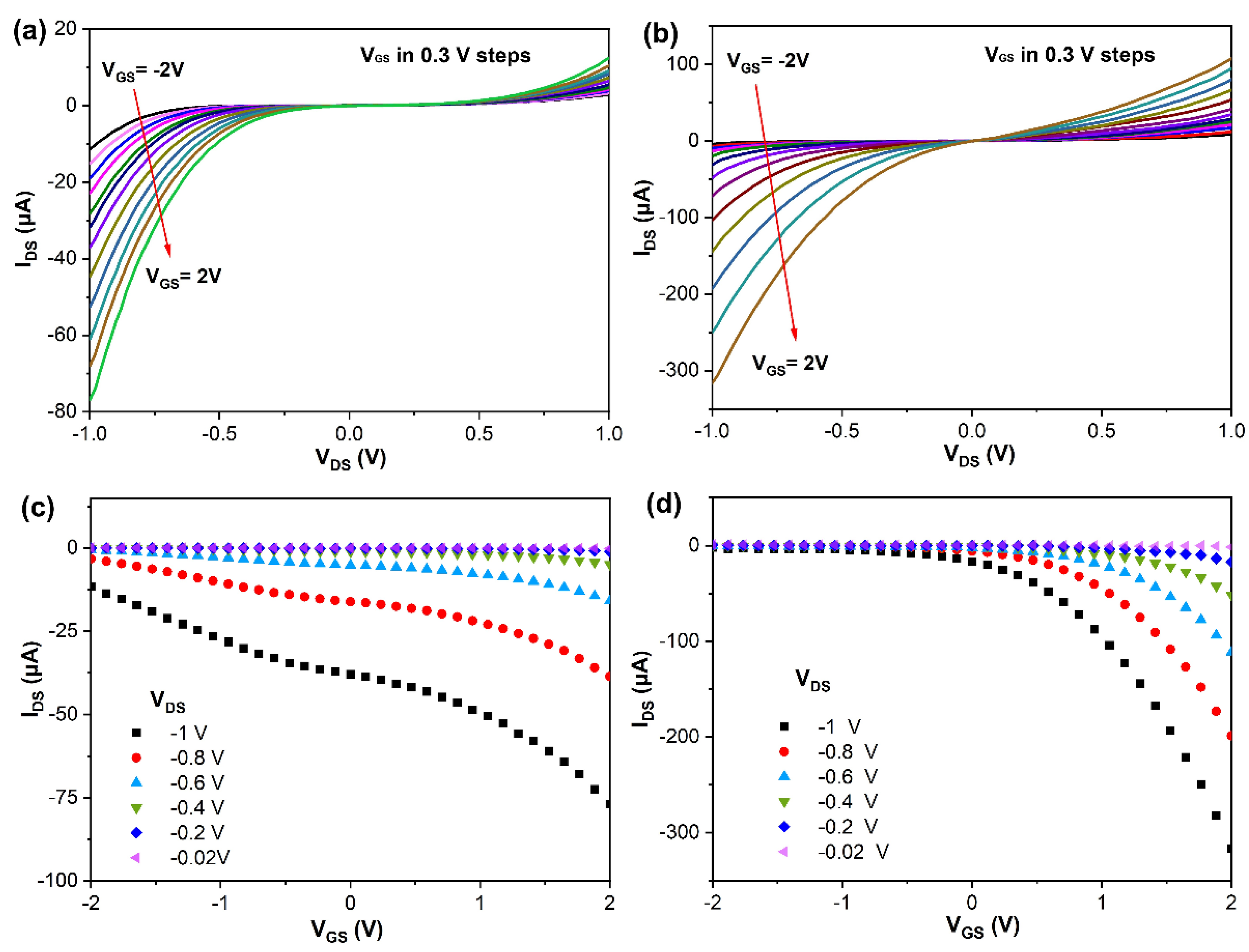
3. Result and Discussion



4. Conclusions
Supplementary Materials
Author Contributions
Funding
Institutional Review Board Statement
Data Availability Statement
Conflicts of Interest
References
- Sun, S.P.; Li, X.L.; Wang, N.; Huang, B.Y.; Li, X.G. A sensitive ppb-level NO2 sensor based on SnO2 decorated Te nanotubes. Sens. Actuator B-Chem. 2025, 428, 137238. [Google Scholar] [CrossRef]
- Yang, W.Y.; Huo, Y.Y.; Wang, T.Q.; Liu, X.T.; Li, D.; Yu, H.; Dong, X.T.; Yang, Y. RGO@In2O3 based flexible gas sensor: Efficient monitoring of trace NO2 gas at room temperature. Sens. Actuator B-Chem. 2025, 430, 137359. [Google Scholar] [CrossRef]
- Lobell, D.B.; Di Tommaso, S.; Burney, J.A. Globally ubiquitous negative effects of nitrogen dioxide on crop growth. Sci. Adv. 2022, 8, eabm9909. [Google Scholar] [CrossRef]
- Bauwens, M.; Compernolle, S.; Stavrakou, T.; Müller, J.-F.; van Gent, J.; Eskes, H.; Levelt, P.F.; van der A, R.; Veefkind, J.P.; Vlietinck, J.; et al. Impact of Coronavirus Outbreak on NO2 Pollution Assessed Using TROPOMI and OMI Observations. Geophys. Res. Lett. 2020, 47, e2020GL087978. [Google Scholar] [CrossRef] [PubMed]
- Daood, S.S.; Ottolini, M.; Taylor, S.; Ogunyinka, O.; Hossain, M.M.; Lu, G.; Yan, Y.; Nimmo, W. Pollutant and Corrosion Control Technology and Efficient Coal Combustion. Energy Fuels 2017, 31, 5581–5596. [Google Scholar] [CrossRef]
- Tang, T.; Li, Z.; Cheng, Y.F.; Xie, H.G.; Wang, X.X.; Chen, Y.L.; Cheng, L.; Liang, Y.; Hu, X.Y.; Hung, C.M.; et al. In-situ mechanochemically tailorable 2D gallium oxyselenide for enhanced optoelectronic NO2 gas sensing at room temperature. J. Hazard. Mater. 2023, 451, 131184. [Google Scholar] [CrossRef] [PubMed]
- Bonardo, D.; Septiani, N.L.W.; Amri, F.; Estananto; Humaidi, S.; Suyatman; Yuliarto, B. Review—Recent Development of WO3 for Toxic Gas Sensors Applications. J. Electrochem. Soc. 2021, 168, 107502. [Google Scholar] [CrossRef]
- Sun, K.; Zhan, G.H.; Zhang, L.; Wang, Z.L.; Lin, S.W. Highly sensitive NO2 gas sensor based on ZnO nanoarray modulated by oxygen vacancy with Ce doping. Sens. Actuator B-Chem. 2023, 379, 133294. [Google Scholar] [CrossRef]
- Tseng, S.-F.; Chen, P.-S.; Hsu, S.-H.; Hsiao, W.-T.; Peng, W.-J. Investigation of fiber laser-induced porous graphene electrodes in controlled atmospheres for ZnO nanorod-based NO2 gas sensors. Appl. Surf. Sci. 2023, 620, 156847. [Google Scholar] [CrossRef]
- Cai, Z.; Park, S. Highly selective acetone sensor based on Co3O4-decorated porous TiO2 nanofibers. J. Alloys Compd. 2022, 919, 165875. [Google Scholar] [CrossRef]
- Iwata, K.; Abe, H.; Ma, T.; Tadaki, D.; Hirano-Iwata, A.; Kimura, Y.; Suda, S.; Niwano, M. Application of neural network based regression model to gas concentration analysis of TiO2 nanotube-type gas sensors. Sens. Actuator B-Chem. 2022, 361, 131732. [Google Scholar] [CrossRef]
- Du, H.Y.; Li, X.R.; Zhang, Z.; Li, Q.Y.; Zhao, L.; Wang, J. Ultrasensitive NO2 sensor based on In2O3 nanocubes/SnS2 nanoflowers hetero composites. Sens. Actuator B-Chem. 2025, 444, 138277. [Google Scholar] [CrossRef]
- Ko, J.K.; Park, I.H.; Hong, K.; Kwon, K.C. Recent Advances in Chemoresistive Gas Sensors Using Two-Dimensional Materials. Nanomaterials 2024, 14, 1397. [Google Scholar] [CrossRef]
- Gao, M.Y.; Zhang, W.; Guo, J.; Liu, L. Gas sensor based on two-dimensional GaSe for sensitive NO2 detection. Sens. Actuator B-Chem. 2025, 444, 138447. [Google Scholar] [CrossRef]
- Kim, Y.H.; Phan, D.T.; Ahn, S.; Nam, K.H.; Park, C.M.; Jeon, K.J. Two-dimensional SnS materials as high-performance NO sensors with fast response and high sensitivity. Sens. Actuator B-Chem. 2018, 255, 616–621. [Google Scholar] [CrossRef]
- Tang, T.; Li, Z.; Cheng, Y.F.; Xu, K.; Xie, H.G.; Wang, X.X.; Hu, X.Y.; Yu, H.; Zhang, B.Y.; Tao, X.W.; et al. Single-step growth of p-type 1D Se/2D GeSexOy heterostructures for optoelectronic NO2 gas sensing at room temperature. J. Mater. Chem. A 2023, 11, 6361–6374. [Google Scholar] [CrossRef]
- Zhou, N.; Yang, R.; Zhai, T. Two-dimensional non-layered materials. Mater. Today Nano 2019, 8, 100051. [Google Scholar] [CrossRef]
- Guo, J.L.; Liang, G.H.; Wang, R.Y.; Gao, F.E.; Liu, X.; Zhang, X. Strong coupling effects at the interfacial sites of a heterojunction formed by 0D/2D Ir quantum dots and TiO2 ultrathin nanosheets for robust photocatalytic H2 production. Appl. Surf. Sci. 2025, 691, 162700. [Google Scholar] [CrossRef]
- Liu, Y.N.; Li, S.; Meng, S.J.; Xiao, S.; Song, H.; Du, K. Defects-enriched two-dimensional ultrathin g-C3N4/In2O3 nanoparticles for effective NO2 detection at room temperature. Sens. Actuator B-Chem. 2023, 396, 134558. [Google Scholar] [CrossRef]
- Guan, G.J.; Xia, J.; Liu, S.H.; Cheng, Y.; Bai, S.Q.; Tee, S.Y.; Zhang, Y.W.; Han, M.Y. Electrostatic-Driven Exfoliation and Hybridization of 2D Nanomaterials. Adv. Mater. 2017, 29, 1700326. [Google Scholar] [CrossRef] [PubMed]
- Cheng, Y.F.; Li, Z.; Zhang, M.; Xie, H.G.; Tang, T.; Liang, Y.; Wang, X.X.; Xu, K.; Zhang, B.Y.; Haidry, A.A.; et al. Liquid-tin-printed two-dimensional SnO for optoelectronic NO2 gas sensing at room temperature. J. Mater. Chem. C 2023, 11, 14187–14198. [Google Scholar] [CrossRef]
- Cheng, Y.F.; Li, Z.; Cheng, L.; Yuan, Y.X.; Xie, E.; Cao, X.L.; Xin, Z.Q.; Liu, Y.Y.; Tang, T.; Hu, X.Y.; et al. Thickness-Dependent Room-Temperature Optoelectronic Gas Sensing Performances of 2D Nonlayered Indium Oxide Crystals from a Liquid Metal Printing Process. ACS Appl. Mater. Interfaces 2023, 15, 57496–57506. [Google Scholar] [CrossRef]
- Nikolic, M.V.; Milovanovic, V.; Vasiljevic, Z.Z.; Stamenkovic, Z. Semiconductor Gas Sensors: Materials, Technology, Design, and Application. Sensors 2020, 20, 6694. [Google Scholar] [CrossRef] [PubMed]
- Reddy, B.K.S.; Borse, P.H. Review-Recent Material Advances and Their Mechanistic Approaches for Room Temperature Chemiresistive Gas Sensors. J. Electrochem. Soc. 2021, 168, 057521. [Google Scholar] [CrossRef]
- Yang, Z.; Guo, L.J.; Zu, B.Y.; Guo, Y.A.; Xu, T.; Dou, X.C. CdS/ZnO Core/Shell Nanowire-Built Films for Enhanced Photodetecting and Optoelectronic Gas-Sensing Applications. Adv. Opt. Mater. 2014, 2, 738–745. [Google Scholar] [CrossRef]
- Zhang, K.; Qin, S.W.; Tang, P.G.; Feng, Y.J.; Li, D.Q. Ultra-sensitive ethanol gas sensors based on nanosheet-assembled hierarchical ZnO-In2O3 heterostructures. J. Hazard. Mater. 2020, 391, 122191. [Google Scholar] [CrossRef]
- Xu, K.; Zhang, B.Y.; Mohiuddin, M.; Ha, N.; Wen, X.; Zhou, C.; Li, Y.; Ren, G.; Zhang, H.; Zavabeti, A.; et al. Free-standing ultra-thin Janus indium oxysulfide for ultrasensitive visible-light-driven optoelectronic chemical sensing. Nano Today 2021, 37, 101096. [Google Scholar] [CrossRef]
- Nguyen, C.K.; Low, M.X.; Zavabeti, A.; Jannat, A.; Murdoch, B.J.; Della Gaspera, E.; Orrell-Trigg, R.; Walia, S.; Elbourne, A.; Truong, V.K.; et al. Ultrathin oxysulfide semiconductors from liquid metal: A wet chemical approach. J. Mater. Chem. C 2021, 9, 11815–11826. [Google Scholar] [CrossRef]
- Armstrong, C.; Otero, K.; Hernandez-Pagan, E.A. Unraveling the molecular and growth mechanism of colloidal black In2O3−x. Nanoscale 2024, 16, 9875–9886. [Google Scholar] [CrossRef]
- Nguyen, T.T.; Singh, J.; Nguyen, V.A.; Hoang, T.L.G.; Nguyen-Tri, P. Synthesis of Three-Dimensional β-In2S3 Nanoflowers with a Tunable Surface Area for Boosted Photocatalytic Degradation of Tetracycline and Rhodamine B. Langmuir 2025, 41, 14229–14243. [Google Scholar] [CrossRef]
- Karmakar, G.; Tyagi, A.; Shah, A.Y.; Kumbhare, L.B.; Wadawale, A.P.; Kedarnath, G.; Singh, V. Synthesis of photoresponsive and photoemissive ultrathin 2D nanosheets of In2S3 achieved through a new single source molecular precursor. RSC Adv. 2022, 12, 27292–27299. [Google Scholar] [CrossRef]
- Yang, W.; Chen, H.T.; Lu, J.M. Assembly of stacked In2O3 nanosheets for detecting trace NO2 with ultrahigh selectivity and promoted recovery. Appl. Surf. Sci. 2021, 539, 148217. [Google Scholar] [CrossRef]
- Abdullah, H.; Gultom, N.S.; Kuo, D.-H. Indium oxysulfide nanosheet photocatalyst for the hexavalent chromium detoxification and hydrogen evolution reaction. J. Mater. Sci. 2017, 52, 6249–6264. [Google Scholar] [CrossRef]
- Alkathiri, T.; Xu, K.; Fei, Z.D.; Ren, G.H.; Ha, N.; Khan, M.W.; Syed, N.; Almutairi, A.F.M.; Zhang, B.Y.; Ou, R.; et al. Ultrathin 2D silver sulphate nanosheets for visible-light-driven NO2 sensing at room temperature. J. Mater. Chem. C 2022, 10, 16108–16115. [Google Scholar] [CrossRef]
- Ou, R.; Xu, K.; Ha, N.; Ren, G.H.; Trinh, V.; Hu, Y.H.; Ma, Q.; Zhang, B.Y.; Wen, X.M.; Cheng, Y.F.; et al. Visible-Light-Driven Two-Dimensional Indium Oxysulfide for Sensitive NO2 Detection. ACS Appl. Nano Mater. 2024, 7, 14223–14231. [Google Scholar] [CrossRef]
- Jannat, A.; Yao, Q.F.; Zavabeti, A.; Syed, N.; Zhang, B.Y.; Ahmed, T.; Kuriakose, S.; Mohiuddin, M.; Pillai, N.; Haque, F.; et al. Ordered-vacancy-enabled indium sulphide printed in wafer-scale with enhanced electron mobility. Mater. Horiz. 2020, 7, 827–834. [Google Scholar] [CrossRef]
- Jannat, A.; Syed, N.; Xu, K.; Rahman, M.A.; Talukder, M.M.M.; Messalea, K.A.; Mohiuddin, M.; Datta, R.S.; Khan, M.W.; Alkathiri, T.; et al. Printable single-unit-cell-thick transparent zinc-doped indium oxides with efficient electron transport properties. ACS Nano 2021, 15, 4045–4053. [Google Scholar] [CrossRef] [PubMed]
- Wang, Z.Y.; Ding, H.Z.; Liu, X.F.; Zhao, J. Synthesis and NO2 Sensing Properties of In2O3 Micro-Flowers Composed of Nanorods. Nanomaterials 2023, 13, 2289. [Google Scholar] [CrossRef] [PubMed]
- Patil, S.P.; Patil, V.L.; Vanalakar, S.A.; Shendage, S.S.; Pawar, S.A.; Kim, J.H.; Ryu, J.; Patil, D.R.; Patil, P.S. Porous In2O3 thick films as a low temperature NO2 gas detector. Mater. Lett. 2022, 306, 130916. [Google Scholar] [CrossRef]
- Xiao, B.X.; Zhao, Q.; Wang, D.X.; Ma, G.S.; Zhang, M.Z. Facile synthesis of nanoparticle packed In2O3 nanospheres for highly sensitive NO2 sensing. New J. Chem. 2017, 41, 8530–8535. [Google Scholar] [CrossRef]
- Vishnuraj, R.; Unnathpadi, R.; Rangarajan, M.; Pullithadathil, B. n–n type In2O3@WO3 heterojunction nanowires: Enhanced NO2 gas sensing characteristics for environmental monitoring. Microchimica Acta 2024, 191, 645. [Google Scholar] [CrossRef]
- Wang, H.; Fan, G.J.; Yang, Z.X.; Han, N.; Chen, Y.F.; Yang, J. Low-Temperature As-Doped In2O3 Nanowires for Room Temperature NO2 Gas Sensing. ACS Appl. Nano Mater. 2022, 5, 7983–7992. [Google Scholar] [CrossRef]
- Malathi, B.; Parveen, R.A.; Bharathi, P.; Nakamura, A.; Archana, J.; Navaneethan, M.; Harish, S. Interface engineering of 2D/2D MoS2/In2S3 heterostructure for highly sensitive NO2 detection at room temperature gas sensor. J. Environ. Chem. Eng. 2024, 12, 113023. [Google Scholar] [CrossRef]
- Wang, B.L.; Sun, Y.J.; Dong, Y.M.; Hou, Y.C.; Lu, Z.Y.; Wei, Z.H.; Zhang, W.D.; Suematsu, K.; Hu, J. Chemiresistive flexible gas sensor for NO2 sensing at room-temperature using in situ constructed Au@In2S3/In2O3 hybrid microflowers. Sens. Actuator B-Chem. 2025, 422, 136666. [Google Scholar] [CrossRef]
- Ou, J.Z.; Ge, W.; Carey, B.; Daeneke, T.; Rotbart, A.; Shan, W.; Wang, Y.; Fu, Z.; Chrimes, A.F.; Wlodarski, W.; et al. Physisorption-Based Charge Transfer in Two-Dimensional SnS2 for Selective and Reversible NO2 Gas Sensing. ACS Nano 2015, 9, 10313–10323. [Google Scholar] [CrossRef] [PubMed]
- Shangguan, C.; Xu, K.; Dong, M.; Ren, G.; You, R.; Liu, Z.; Ou, R.; Lu, L.; Hu, Y.; Ma, Q.; et al. Two-Dimensional Iron Oxyhydroxide for Visible-Light-Driven NO2 Sensing. ACS Appl. Nano Mater. 2025, 8, 952–961. [Google Scholar] [CrossRef]
- Tang, T.; Li, Z.; Liu, Y.Y.; Chen, Y.L.; Cheng, Y.F.; Liang, Y.; Zhuang, J.H.; Hu, X.Y.; Jannat, A.; Ou, R.; et al. Ultrathin two-dimensional titanium oxysulfide for enhanced sensitivity and stability of room temperature NO2 sensing. Ceram. Int. 2025, 51, 3216–3223. [Google Scholar] [CrossRef]



| Materials | Temperature (°C) | Light Cond. | NO2 (ppm) | Response | tres./trec (s) | LOD (ppb) | Reference |
|---|---|---|---|---|---|---|---|
| In2O3 microflowers | 100 | Dark | 1 | 62.6 | 344/318 | — | [38] |
| In2O3 nanocubes | 50 | Dark | 3 | 9.0 | 21/522 | 60.0 | [39] |
| In2O3 nanospheres | 120 | Dark | 1 | 370.9 | 148/72 | 10.0 | [40] |
| In2O3/SnS2 nanoflowers | 180 | Dark | 5 | 14.6 | 34/65 | 12.0 | [12] |
| In2O3@WO3 nanowires | 200 | Dark | 3 | 7.4 | 22.2/216 | — | [41] |
| As-doped In2O3 nanowires | RT | Dark | 500 | 0.7 | —/— | 500.0 | [42] |
| 2D/2D MoS2/In2S3 | RT | Dark | 50 | 1.9 | 96/408 | 450.0 | [43] |
| Au@In2S3/In2O3 hybrid microflowers | RT | Dark | 100 | 19.7 | 12/27 | 200.0 | [44] |
| In2S3−xO3 | RT | 460 nm | 10 | 1.2 | 260/620 | 31.3 | This work |
Disclaimer/Publisher’s Note: The statements, opinions and data contained in all publications are solely those of the individual author(s) and contributor(s) and not of MDPI and/or the editor(s). MDPI and/or the editor(s) disclaim responsibility for any injury to people or property resulting from any ideas, methods, instructions or products referred to in the content. |
© 2026 by the authors. Licensee MDPI, Basel, Switzerland. This article is an open access article distributed under the terms and conditions of the Creative Commons Attribution (CC BY) license.
Share and Cite
Cheng, Y.; Ma, N.; Li, Z.; Hu, D.; Ji, Z.; Liu, L.; Ou, R.; Shen, Z.; Ou, J. Enhanced Room-Temperature Optoelectronic NO2 Sensing Performance of Ultrathin Non-Layered Indium Oxysulfide via In Situ Sulfurization. Sensors 2026, 26, 670. https://doi.org/10.3390/s26020670
Cheng Y, Ma N, Li Z, Hu D, Ji Z, Liu L, Ou R, Shen Z, Ou J. Enhanced Room-Temperature Optoelectronic NO2 Sensing Performance of Ultrathin Non-Layered Indium Oxysulfide via In Situ Sulfurization. Sensors. 2026; 26(2):670. https://doi.org/10.3390/s26020670
Chicago/Turabian StyleCheng, Yinfen, Nianzhong Ma, Zhong Li, Dengwen Hu, Zhentao Ji, Lieqi Liu, Rui Ou, Zhikang Shen, and Jianzhen Ou. 2026. "Enhanced Room-Temperature Optoelectronic NO2 Sensing Performance of Ultrathin Non-Layered Indium Oxysulfide via In Situ Sulfurization" Sensors 26, no. 2: 670. https://doi.org/10.3390/s26020670
APA StyleCheng, Y., Ma, N., Li, Z., Hu, D., Ji, Z., Liu, L., Ou, R., Shen, Z., & Ou, J. (2026). Enhanced Room-Temperature Optoelectronic NO2 Sensing Performance of Ultrathin Non-Layered Indium Oxysulfide via In Situ Sulfurization. Sensors, 26(2), 670. https://doi.org/10.3390/s26020670

