A Dual-Purpose Biomedical Measurement System for the Evaluation of Real-Time Correlations Between Blood Pressure and Breathing Parameters
Abstract
1. Introduction
2. BP and BR Parameters and Cross-Correlations
2.1. BP and BR Parameters
2.2. BP and BR Cross-Correlations
3. Measurement System
3.1. Hardware
3.2. Software
3.3. Calibration
4. Results
4.1. Experimental Protocol
4.2. Stand-Alone Measurements
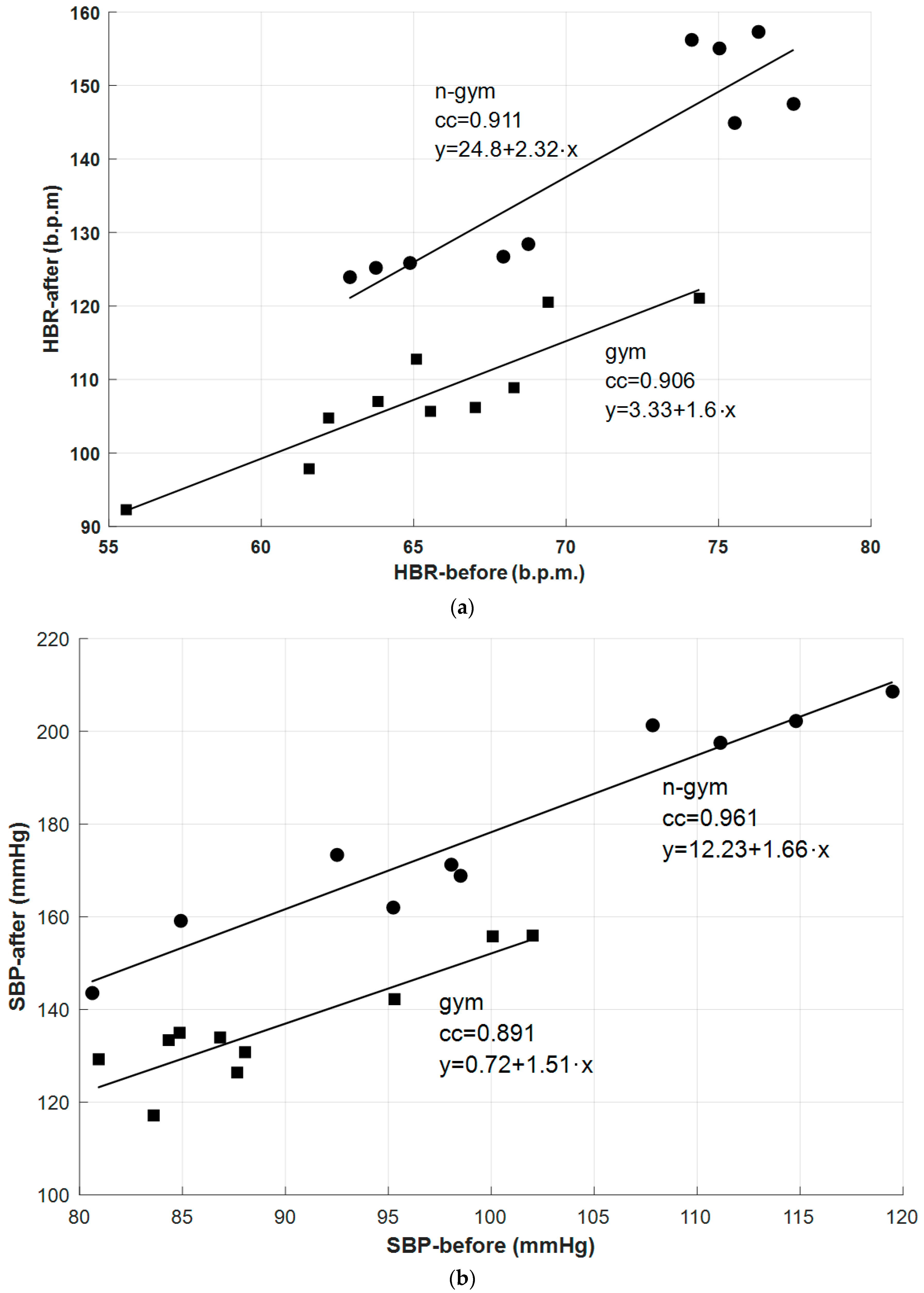
4.3. Correlation Measurements
4.4. Discussion
5. Conclusions
Funding
Institutional Review Board Statement
Informed Consent Statement
Data Availability Statement
Acknowledgments
Conflicts of Interest
References
- Ungvarsky, J. Diabetic Neuropathy. In Salem Press Encyclopedia of Health; Salem Press: Ipswich, MA, USA, 2025. [Google Scholar]
- Leal-Junior, A.G.; Díaz, C.R.; Leitão, C.; Pontes, M.J.; Marques, C.; Frizera, A. Polymer optical fiber-based sensor for simultaneous measurement of breath and heart rate under dynamic movements. Opt. Laser Technol. 2019, 109, 429–436. [Google Scholar] [CrossRef]
- Chen, Z.; Lau, D.; Teo, J.T.; Ng, S.H.; Yang, X.; Kei, P.L. Simultaneous measurement of breathing rate and heart rate using a microbend multimode fiber optic sensor. J. Biomed. Opt. 2014, 19, 57001. [Google Scholar] [CrossRef]
- Krehel, M.; Schmid, M.; Rossi, R.M.; Boesel, L.F.; Bona, G.-L.; Scherer, L.J. An optical fibre-based sensor for respiratory monitoring. Sensors 2014, 14, 13088–13101. [Google Scholar] [CrossRef]
- Zhou, F.; Luo, B.; Zou, X.; Zou, C.; Wu, D.; Wang, Z.; Bai, Y.; Zhao, M. A Wearable Sandwich Heterostructure Multimode Fiber Optic Microbend Sensor for Vital Signal Monitoring. Sensors 2024, 24, 2209. [Google Scholar] [CrossRef]
- Nguyen, T.-V.; Ichiki, M. MEMS-Based Sensor for Simultaneous Measurement of Pulse Wave and Respiration Rate. Sensors 2019, 19, 4942. [Google Scholar] [CrossRef]
- Chandrasekhar, A.; Yavarimanesh, M.; Hahn, J.-O.; Sung, S.-H.; Chen, C.-H.; Cheng, H.-M.; Mukkamala, R. Formulas to Explain Popular Oscillometric Blood Pressure Estimation Algorithms. Front. Physiol. 2019, 10, 1415. [Google Scholar] [CrossRef]
- Dhamotharan, V.; Chandrasekhar, A.; Cheng, H.-M.; Chen, C.-H.; Sung, S.-H.; Landry, C.; Hahn, J.-O.; Mahajan, A.; Shroff, S.G.; Mukkamala, R. Mathematical Modeling of Oscillometric Blood Pressure Measurement: A Complete, Reduced Oscillogram Model. IEEE Trans. Biomed. Eng. 2023, 70, 715–722. [Google Scholar] [CrossRef]
- Mauck, G.W.; Smith, C.R.; Geddes, L.A.; Bourland, J.D. The Meaning of the point of maximum oscillations in cuff pressure in the indirect measurement of blood-pressure—Part II. Trans. ASME 1980, 102, 28–33. [Google Scholar] [CrossRef] [PubMed]
- Drzewiecki, G.; Hood, R.; Apple, H. Theory of the oscillometric maximum and the systolic and diastolic detection ratios. Ann. Biomed. Eng. 1994, 22, 88–96. [Google Scholar] [CrossRef] [PubMed]
- Albu, G.; Wallin, M.; Hallbäck, M.; Emtell, P.; Wolf, A.; Lönnqvist, P.-A.; Göthberg, S.; Peták, F.; Habre, W. Comparison of static end-expiratory and effective lung volumes for gas exchange in healthy and surfactant-depleted lungs. Anesthesiology 2023, 119, 101–110. [Google Scholar] [CrossRef] [PubMed]
- Pereira, J.D. Pressure Sensors: Working Principles of Static and Dynamic Calibration. Sensors 2024, 24, 629. [Google Scholar] [CrossRef] [PubMed]
- Hartmann, P.A.G. Veroval Duo Control. Available online: https://www.veroval.info/en-ae/technology (accessed on 19 November 2025).
- NXP Semiconductors Document Number: MP3V5050. Data Sheet: Technical Data Rev. 1.4, 2018. Available online: https://www.digikey.kr/htmldatasheets/production/648128/0/0/1/mp3v5050-series.html (accessed on 19 November 2025).
- Dataharvest. Breathing Rate Belt and Pressure Sensor Pack. Available online: https://store.data-harvest.co.uk/breathing-rate-belt-pressure-sensor-pack (accessed on 19 November 2025).
- Smart Q Technology. Differential Gas Pressure (Product No. 3139). Available online: https://store.data-harvest.co.uk/gas-pressure-differential-sensor-10kpa (accessed on 19 November 2025).
- Niño, J.A.; Politi, M.; Gulfo, M.E. Ecosistema de Interoperabilidad basado en C++/MicroPython sobre plataformas Raspberry y ESP32. Elektron. Cienc. Tecnol. Electrónica Hoy 2023, 7, 48–52. [Google Scholar] [CrossRef]
- Miranda, C.; Lescher, A.; Cuevas, A.; Rojas, A.; Molino, J. Ferramentas para Design and Laboratory Validation of a Gas Analyzer Prototype for Mechanical Ventilation Using ESP32. In Proceedings of the IEEE Central America and Panama Student Conference (CONESCAPAN), Central America and Panama Student Conference, Tegucigalpa, Honduras, 23 September 2025; IEEE: New York, NY, USA, 2025; pp. 1–4. [Google Scholar]
- Parker. EPIC Miniature Digital Pressure Controller, July 2023. Available online: https://discover.parker.com (accessed on 10 October 2025).
- GE Sensing. GE Druck DPI 800/802 Pressure Indicator and Loop Calibrator. Available online: https://www.instrumart.com/products (accessed on 19 November 2025).
- Datrend Systems. Vpad-BP NIBP Simulator. Available online: https://www.datrend.com/product/vpad-bp/ (accessed on 19 November 2025).
- Koge Micro Tech Co., Ltd. Solenoid Valve, KSV05 Series. Available online: https://koge-europe.com/en/produkte/ksv05a/ (accessed on 24 December 2025).
- National Instruments. LabVIEW 2025 Q3 and Drivers, Release Date 18 July 2025. Available online: https://www.ni.com/en/support/downloads/software-products/download.labview.html#570679 (accessed on 21 November 2025).
- Sharman, J.E.; Tan, I.; Stergiou, G.S.; Lombardi, C.; Saladini, F.; Butlin, M.; Padwal, R.; Asayama, K.; Avolio, A.; Brady, T.M.; et al. Automated oscillometric blood pressure measuring devices: How they work and what they measure. J. Hum. Hypertens. 2023, 37, 93–100. [Google Scholar] [CrossRef]
- Kumar, S.; Yadav, S.; Kumar, A. Oscillometric Waveform Evaluation for Blood Pressure Devices. Biomed. Eng. Adv. 2022, 4, 100046. [Google Scholar] [CrossRef]
- Celler, B.G.; Argha, A.; Le, P.N.; Ambikairajah, E. Novel methods of testing and calibration of oscillometric blood pressure monitors. PLoS ONE 2018, 13, e0201123. Available online: https://pubmed.ncbi.nlm.nih.gov/30080862/ (accessed on 21 November 2025). [CrossRef] [PubMed]
- Rigel Medical GMC Instruments Group. What Are ‘O Curves’ and How Do I Create Them? Available online: https://www.rigelmedical.com/support/patient-simulation/370a910-bp-sim/ (accessed on 21 November 2025).
- Mathworks. MATLAB R2025b Release. MATLAB Peak Analysis. Available online: https://www.mathworks.com/help/signal/ug/peak-analysis.html (accessed on 28 November 2025).
- Savitzky, A.; Golay, M.J.E. Smoothing and differentiation of data by simplified least squares procedures. Anal. Chem. 1964, 36, 1627–1639. [Google Scholar] [CrossRef]
- Chethana, K.; Akshay, S.; Swetha, K.; Malathi, S. Monitoring of heartbeat and breathing parameters with optical sensor using software tool. Opt. Laser Technol. 2025, 180, 111552. [Google Scholar] [CrossRef]
- Bruel & Kjaer. Piezoelectric Charge Accelerometer Types 4370 and 4370-V. Available online: https://www.bksv.com/ko/transducers/vibration/accelerometers/charge/4370 (accessed on 5 January 2026).
- Bruel & Kjaer. Permanent Magnet Vibration Exciter, Type 4808. Available online: https://www.bksv.com/ko/instruments/vibration-testing-equipment/measurement-exciters/permanent-magnet-vibration-exciter-type-4808 (accessed on 5 January 2026).
- Numatics. G435AM1N0050A00—25 mm Bore, 50 mm Stroke, Double Acting, Series G435 Round Cylinders ISO6432. Available online: https://www.kempstoncontrols.co.uk/G435AM1N0050A00/ASCO/sku/911881 (accessed on 19 November 2025).
- Tenma. Digital Oscilloscope, 4 Channel, 200 MHz, 2 GSPS, 24 kpts, 1.8 ns. Available online: https://www.neobits.com/tenma_72_8727_digital_oscilloscope_4_channel__p11548507.html?srsltid=AfmBOoqUyDAXDvu_3K7QmuUnsuarKtB-VFck4pCMVOdTJ3GNEZhWH6oe (accessed on 19 November 2025).
- Gwinstek. MFG-2000 Series Multi-Channel Function Generator. Available online: https://www.gwinstek.com/en-global/products/layer/Signal_Generator (accessed on 19 November 2025).
- Atkins, P. The Laws of Thermodynamics: A Very Short Introduction; Oxford University Press: Oxford, UK, 2010. [Google Scholar]
- Ott, R.L.; Longnecker, M.T. An Introduction to Statistical Methods and Data Analysis; Cengage Learning, Inc.: Boston, MA, USA, 2021. [Google Scholar]
- Pilz, N.; Picone, D.S.; Patzak, A.; Opatz, O.S.; Lindner, T.; Fesseler, L.; Heinz, V.; Bothe, T.L. Cuff based blood pressure measurement: Challenges and solutions. Blood Press. 2024, 33, 2402368. [Google Scholar] [CrossRef]
- Hongyan, Y. Effect of Gymnastics on Heart Rate and Physique of Male College Students. Rev. Bras. Med. Esporte 2023, 29, e2022_0795. [Google Scholar] [CrossRef]
- Maciá-Andreu, M.J.; Leiva-Arcas, A.; Yilmaz, S.; Bennich Grønkjær, A.; Tinaz, C.; Christoforou, A. Dual career of the student-athlete through sports technology-oriented entrepreneurship: Perception of sport retirement and learning needs according to gender and educational level. Cult. Cienc. Deporte 2024, 19, 39–52. [Google Scholar]
- Toorx. TRX 9000 EVO TFT TREADMILL. Available online: https://en.toorxprofessional.it/full-commercial/cardio/trx-9000-evo-tft/ (accessed on 21 November 2025).
- Cubic Sensor and Instrument Co., Ltd. Medical Mainstream EtCO2 Sensor Module CM2201. Available online: https://en.gassensor.com.cn/CO2Sensor/info_itemid_96.html (accessed on 21 November 2025).
- Mulay, P.P.; Mulay, S.P.; Giri, P.A. Study of Changes in Cardiovascular Parameters, Especially Systolic Blood Pressure During Bicycle Ergometer Test in Medical Students. Eur. J. Cardiovasc. Med. (EJCM) 2025, 15, 905–908. [Google Scholar]
- Balasubramanian, V.; Premsundar, K.P.; Venkat, A. Response of cardiovascular system to exercise using bicycle ergometer among first year medical students. Natl. J. Physiol. Pharm. Pharmacol. 2021, 11, 845. [Google Scholar] [CrossRef]
- Kim, Y.J.; Chun, H.; Kim, C.H. Exaggerated Response of Systolic Blood Pressure to Cycle Ergometer. Ann. Rehabil. Med. 2013, 37, 364–367. [Google Scholar] [CrossRef] [PubMed]
- Sato, T.; Ishiko, T.; Aoki, J.; Shimizu, T.; Maejima, T. Exercise Change of Heart Rate, Blood Pressure and Respiratory Rate in Relation to Sex and Age. Phys. Fit. Jpn. 1977, 26, 165–176. [Google Scholar][Green Version]
- Cottin, F.; Papelier, Y.; Escourrou, P. Effects of Exercise Load and Breathing Frequency on Heart Rate and Blood Pressure Variability During Dynamic Exercise. Int. J. Sports Med. 1999, 20, 232–238. [Google Scholar] [CrossRef]
- Taiwo, E.O.; Thanni, L.O.A. Exercise Modulation of Blood Pressure, Respiratory Rate and Pulse Rate in Undergraduate Students. J. Health Med. Sci. 2021, 4, 59–66. [Google Scholar]
- Addison, P.S.; Antunes, A.; Montgomery, D.; Borg, U.R. Non-Contact Monitoring of Inhalation-Exhalation (I:E) Ratio in Non-Ventilated Subjects. IEEE J. Transl. Eng. Health Med. 2024, 12, 721–726. [Google Scholar] [CrossRef] [PubMed]
- Endalew Getnet Tsega, V.K.; Katiyar, P.G. Breathing Patterns of Healthy Human Response to Different Levels of Physical Activity. J. Biomed. Eng. Technol. 2019, 7, 1–4. [Google Scholar] [CrossRef]
- Du, Y.; Jiang, K.; Li, H. A Respiratory Sensor-Based Study of the Relationship between Voluntary Breathing Patterns and Aerobic and Anerobic Exercise Capacity—An Exploratory Applied Study. Sensors 2024, 24, 6310. [Google Scholar] [CrossRef]














| Technology | Accuracy (BP + BR Measurements) | Cost | Wearing Comfort | Integration Complexity |
|---|---|---|---|---|
| Fiber-optic | High potential for both if packaging/coupling is well performed; very stable, low drift, EMI/MRI-safe | High (interrogator + specialized components) | Medium (thin/light fiber, but routing + bend sensitivity + robust fixation needed) | High (optical interrogation, packaging, strain/pressure transduction, fiber handling) |
| MEMS | High for respiration, medium–high for BP depending on method (direct pressure > cuff/patch surrogate); needs calibration and temp compensation | Low–medium (very scalable) | High (small, lightweight; good for wearables) | Low–medium (electronics + packaging + calibration; mature ecosystem) |
| Pneumatic | High for cuff BP (standard oscillometric method), high for respiration using breathing belts; low–medium for continuous BP waveform (tubing/compliance distortions) | Low–medium (sensors, pumps/valves are generally cheap) | Medium–high (belts comfortable; cuffs can be uncomfortable if frequent inflations are necessary) | Medium–high (leak-proof air path, pumps/valves, tubing dynamics, condensation management) |
| HBR_initial_gym | HBR_after_gym | HBR_initial_ngym | ||
|---|---|---|---|---|
| HBR_after_gym | Pearson Correlation | 0.906 ** | ||
| Sig. (2-tailed) | <0.001 | |||
| N | 10 | |||
| HBR_initial_ngym | Pearson Correlation | 0.389 | 0.559 | |
| Sig. (2-tailed) | 0.267 | 0.093 | ||
| N | 10 | 10 | ||
| HBR_after_ngym | Pearson Correlation | 0.392 | 0.597 | 0.911 ** |
| Sig. (2-tailed) | 0.262 | 0.069 | <0.001 | |
| N | 10 | 10 | 10 |
| ID | GYM | HBR_init | HBR_after | INC_HBR | Mean | Var | p | F_ratio | SBP_init | SBP_after | INC_SBP | Mean | Var | p | F_ratio |
|---|---|---|---|---|---|---|---|---|---|---|---|---|---|---|---|
| 1 | 1 | 74 | 121 | 47 | 42.4 | 23.5 | 4 × 10−7 | 0.84 | 85 | 135 | 50 | 46.6 | 45.1 | 2 × 10−7 | 0.32 |
| 2 | 1 | 69 | 121 | 51 | 84 | 117 | 34 | ||||||||
| 3 | 1 | 62 | 105 | 43 | 100 | 156 | 56 | ||||||||
| 4 | 1 | 67 | 106 | 39 | 81 | 129 | 48 | ||||||||
| 5 | 1 | 68 | 109 | 41 | 102 | 156 | 54 | ||||||||
| 6 | 1 | 62 | 98 | 36 | 88 | 131 | 43 | ||||||||
| 7 | 1 | 64 | 107 | 43 | 88 | 126 | 39 | ||||||||
| 8 | 1 | 66 | 106 | 40 | 84 | 133 | 49 | ||||||||
| 9 | 1 | 56 | 92 | 37 | 87 | 134 | 47 | ||||||||
| 10 | 1 | 65 | 113 | 48 | 95 | 142 | 47 | ||||||||
| 11 | 0 | 77 | 147 | 70 | 68.4 | 90.1 | 119 | 209 | 89 | 78.5 | 108.6 | ||||
| 12 | 0 | 75 | 155 | 80 | 108 | 201 | 93 | ||||||||
| 13 | 0 | 76 | 145 | 69 | 81 | 144 | 63 | ||||||||
| 14 | 0 | 69 | 128 | 60 | 98 | 171 | 73 | ||||||||
| 15 | 0 | 64 | 125 | 61 | 95 | 162 | 67 | ||||||||
| 16 | 0 | 65 | 126 | 61 | 99 | 169 | 70 | ||||||||
| 17 | 0 | 63 | 124 | 61 | 93 | 173 | 81 | ||||||||
| 18 | 0 | 74 | 156 | 82 | 115 | 202 | 87 | ||||||||
| 19 | 0 | 68 | 127 | 59 | 85 | 159 | 74 | ||||||||
| 20 | 0 | 76 | 157 | 81 | 111 | 198 | 86 |
| ID | IN/EX_init | IN/EX_after | INC_IN/EX | Mean | Var | p | F_ratio | D_BR | D_SBP | INC_BR_SBP | Mean | Var | p | F_ratio |
|---|---|---|---|---|---|---|---|---|---|---|---|---|---|---|
| 1 | 0.51 | 0.67 | 0.16 | 0.22 | 2 × 10−3 | 2 × 10−2 | 0.52 | 24 | 38 | 14 | 15.6 | 5 × 100 | 3 × 10−2 | 0.50 |
| 2 | 0.47 | 0.62 | 0.15 | 23 | 36 | 13 | ||||||||
| 3 | 0.63 | 0.82 | 0.19 | 25 | 42 | 17 | ||||||||
| 4 | 0.49 | 0.76 | 0.27 | 24 | 38 | 14 | ||||||||
| 5 | 0.67 | 0.88 | 0.21 | 26 | 45 | 19 | ||||||||
| 6 | 0.55 | 0.79 | 0.24 | 25 | 44 | 19 | ||||||||
| 7 | 0.60 | 0.85 | 0.25 | 22 | 37 | 15 | ||||||||
| 8 | 0.48 | 0.69 | 0.21 | 23 | 37 | 14 | ||||||||
| 9 | 0.57 | 0.85 | 0.28 | 22 | 38 | 16 | ||||||||
| 10 | 0.53 | 0.79 | 0.26 | 26 | 41 | 15 | ||||||||
| 11 | 0.56 | 0.87 | 0.31 | 0.27 | 1 × 10−3 | 32 | 48 | 16 | 17.8 | 3 × 100 | ||||
| 12 | 0.56 | 0.81 | 0.25 | 31 | 50 | 19 | ||||||||
| 13 | 0.73 | 0.98 | 0.25 | 33 | 50 | 17 | ||||||||
| 14 | 0.60 | 0.88 | 0.28 | 34 | 52 | 18 | ||||||||
| 15 | 0.70 | 1.01 | 0.31 | 30 | 48 | 18 | ||||||||
| 16 | 0.57 | 0.87 | 0.30 | 33 | 55 | 22 | ||||||||
| 17 | 0.67 | 0.88 | 0.21 | 31 | 47 | 16 | ||||||||
| 18 | 0.54 | 0.76 | 0.22 | 32 | 49 | 17 | ||||||||
| 19 | 0.64 | 0.92 | 0.28 | 33 | 49 | 16 | ||||||||
| 20 | 0.54 | 0.83 | 0.29 | 31 | 50 | 19 |
Disclaimer/Publisher’s Note: The statements, opinions and data contained in all publications are solely those of the individual author(s) and contributor(s) and not of MDPI and/or the editor(s). MDPI and/or the editor(s) disclaim responsibility for any injury to people or property resulting from any ideas, methods, instructions or products referred to in the content. |
© 2026 by the author. Licensee MDPI, Basel, Switzerland. This article is an open access article distributed under the terms and conditions of the Creative Commons Attribution (CC BY) license.
Share and Cite
Pereira, J.D. A Dual-Purpose Biomedical Measurement System for the Evaluation of Real-Time Correlations Between Blood Pressure and Breathing Parameters. Sensors 2026, 26, 452. https://doi.org/10.3390/s26020452
Pereira JD. A Dual-Purpose Biomedical Measurement System for the Evaluation of Real-Time Correlations Between Blood Pressure and Breathing Parameters. Sensors. 2026; 26(2):452. https://doi.org/10.3390/s26020452
Chicago/Turabian StylePereira, José Dias. 2026. "A Dual-Purpose Biomedical Measurement System for the Evaluation of Real-Time Correlations Between Blood Pressure and Breathing Parameters" Sensors 26, no. 2: 452. https://doi.org/10.3390/s26020452
APA StylePereira, J. D. (2026). A Dual-Purpose Biomedical Measurement System for the Evaluation of Real-Time Correlations Between Blood Pressure and Breathing Parameters. Sensors, 26(2), 452. https://doi.org/10.3390/s26020452

