Recent Progress in Advanced Electrode Materials for the Detection of 4-Nitrophenol and Its Derivatives for Environmental Monitoring
Abstract
1. Introduction
2. Progress in Electrochemical Detection
2.1. Electrochemical Sensors Based on Carbon-Based Materials
2.1.1. Graphitic Carbon Nitride (gCN)-Based Materials
2.1.2. Graphene-, Graphene Oxide (GO)-, and Reduced Graphene Oxide (rGO)-Based Materials
2.1.3. Carbon Nanotube (CNT)-Based Materials
2.1.4. Other Carbon-Based Materials
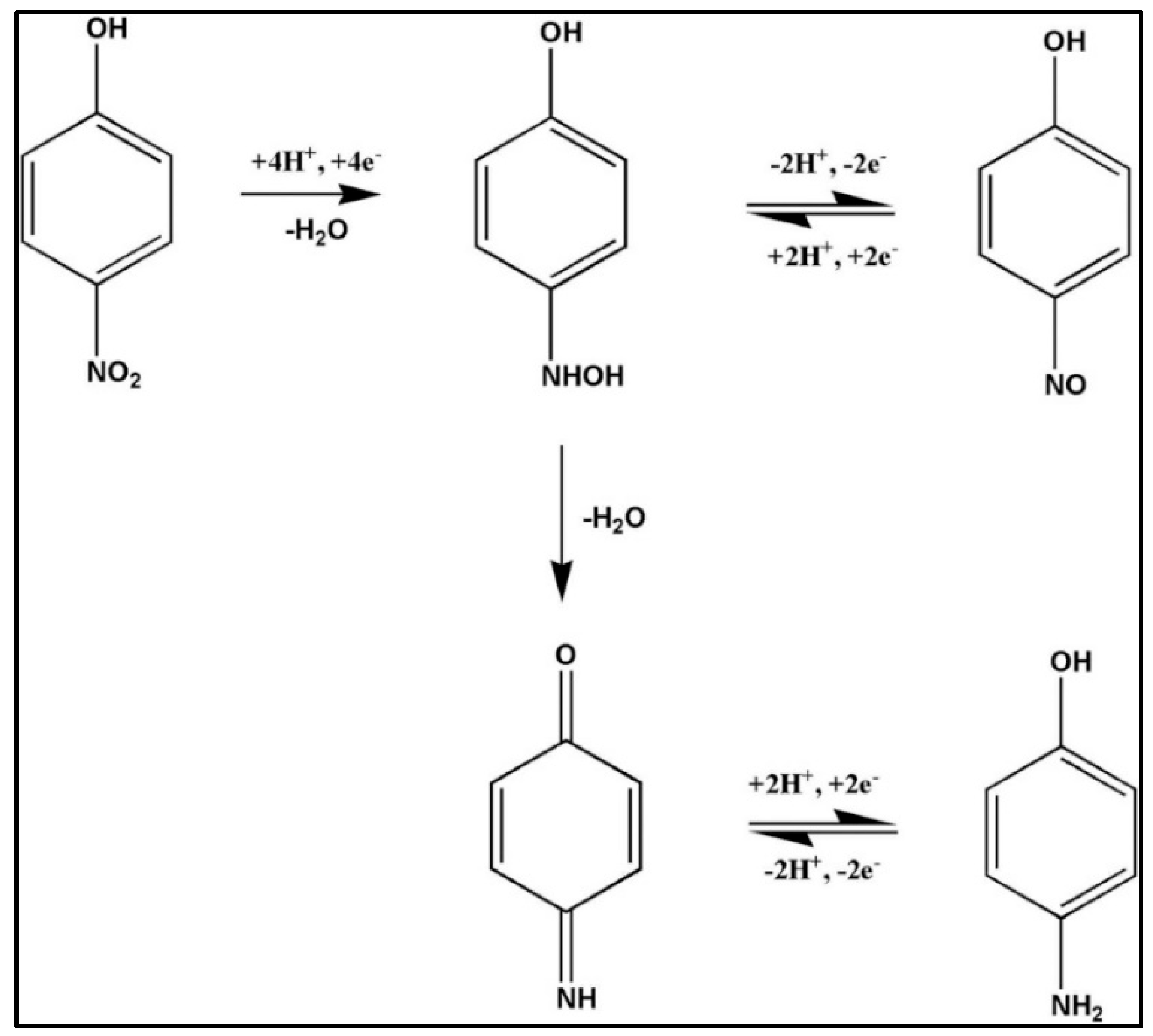
2.1.5. Electrochemical Reaction Mechanism
2.2. Metal Oxide-Based Electrochemical Sensors
2.2.1. Metal Oxides, Doped Metal Oxides, and Composites
2.2.2. Metal Oxide Composites with Carbon-Based Materials
2.2.3. Sensing Mechanism
2.3. MOF/COF/ZIF/MXene-Based Electrochemical Sensors
2.4. Other Electrochemical Sensors
3. Conclusions, Challenges, and Future Directions
- The DPV technique is a simple and promising electrochemical approach for the detection of nitrophenol compounds, but the presence of isomers may affect the selectivity. Thus, some novel strategies need to be developed to overcome this issue.
- The exact mechanism for the detection of 4-NP at the electrode surface is not clear. It needs to be studied in detail.
- Interface engineering using composite materials as electrode materials needs to be improved to enhance the sensitivity of electrochemical sensors.
- Metal oxides exhibit good stability, but the presence of low conductivity is one of the major concerns.
- Polymers exhibit high conductivity, but their long-term stability may restrict their potential for practical applications.
- A new class of 2D-layered materials such as MXene displayed high conductivity and catalytic activity for electrochemical applications, but the synthesis methods, such as acid etching treatments, are not environmentally friendly.
- i.
- Environmentally friendly synthesis methods should be developed for the preparation of MXenes.
- ii.
- MXenes/layered double hydroxide (LDH)-based composite materials need to be optimized for the construction of electrochemical sensors.
- iii.
- Electrochemical sensors can be integrated with flexible and wearable devices for environmental monitoring applications.
Author Contributions
Funding
Institutional Review Board Statement
Informed Consent Statement
Data Availability Statement
Conflicts of Interest
References
- Zhao, J.; Li, Y.; Wu, T.; Jiang, W. Can Public Environmental Concern Drive Changes in Residents’ Green Consumption Behavior? Sustainability 2025, 17, 5352. [Google Scholar] [CrossRef]
- Zhu, C.; Huang, H.; Chen, Y. Recent advances in biological removal of nitroaromatics from wastewater. Environ. Pollut. 2022, 307, 119570. [Google Scholar] [CrossRef]
- Bhosale, V.K.; Chana, H.K.; Kamble, S.P.; Kulkarni, P.S. Separation of nitroaromatics from wastewater by using supported ionic liquid membranes. J. Water Process Eng. 2019, 32, 100925. [Google Scholar] [CrossRef]
- Chaudhary, M.; Suhas; Kushwaha, S.; Chaudhary, S.; Tyagi, I.; Dehghani, M.H.; Inbaraj, B.S.; Goscianska, J.; Sharma, M. Studies on the Removal of Phenol and Nitrophenols from Water by Activated Carbon Developed from Demineralized Kraft Lignin. Agronomy 2022, 12, 2564. [Google Scholar] [CrossRef]
- Serrà, A.; Artal, R.; Pozo, M.; Garcia-Amorós, J.; Gómez, E. Simple Environmentally-Friendly Reduction of 4-Nitrophenol. Catalysts 2020, 10, 458. [Google Scholar] [CrossRef]
- Liu, Y.; Liu, J.; Hu, Y.; Shi, Y.; Tang, C.; Cheng, J.; Zhu, X.; Wang, G.; Xie, J. Enhanced Degradation of 4-Nitrophenol via a Two-Stage Co-Catalytic Fenton Packed-Bed Reactor with External Circulation. Environments 2025, 12, 280. [Google Scholar] [CrossRef]
- Khani, M.; Sammynaiken, R.; Wilson, L.D. Electrocatalytic Oxidation of Nitrophenols via Ag Nanoparticles Supported on Citric-Acid-Modified Polyaniline. Catalysts 2023, 13, 465. [Google Scholar] [CrossRef]
- Wang, X.; Liu, S.; Lin, S.; Qi, K.; Yan, Y.; Ma, Y. Visible Light Motivated the Photocatalytic Degradation of P-Nitrophenol by Ca2+-Doped AgInS2. Molecules 2024, 29, 361. [Google Scholar] [CrossRef] [PubMed]
- He, Q.; Tian, Y.; Wu, Y.; Liu, J.; Li, G.; Deng, P.; Chen, D. Facile and Ultrasensitive Determination of 4-Nitrophenol Based on Acetylene Black Paste and Graphene Hybrid Electrode. Nanomaterials 2019, 9, 429. [Google Scholar] [CrossRef] [PubMed]
- Yahya, A.A.; Rashid, K.T.; Ghadhban, M.Y.; Mousa, N.E.; Majdi, H.S.; Salih, I.K.; Alsalhy, Q.F. Removal of 4-Nitrophenol from Aqueous Solution by Using Polyphenylsulfone-Based Blend Membranes: Characterization and Performance. Membranes 2021, 11, 171. [Google Scholar] [CrossRef]
- Dinari, M.; Golshadi, Z.; Asadi, P.; Norton, A.E.; Reid, K.R.; Karimi, B. Recent Progress on Covalent Organic Frameworks Supporting Metal Nanoparticles as Promising Materials for Nitrophenol Reduction. Nanomaterials 2024, 14, 1458. [Google Scholar] [CrossRef]
- Scanlon, J.J.; Falquer, P.A.; Robinson, G.W.; O’Brien, G.E.; Sturrock, P.E. High-performance liquid chromatography of nitrophenols with a swept-potential electrochemical detector. Anal. Chim. Acta 1984, 158, 169–177. [Google Scholar] [CrossRef]
- Pastor-Belda, M.; Sánchez-López, M.J.; Campillo, N.; Viñas, P.; Hernández-Córdoba, M. Determination of nitrophenols in environmental samples using stir bar sorptive extraction coupled to thermal desorption gas chromatography-mass spectrometry. Talanta 2018, 189, 543–549. [Google Scholar] [CrossRef]
- Xiao, N.; Liu, S.G.; Mo, S.; Li, N.; Ju, Y.J.; Ling, Y.; Li, N.B.; Luo, H.Q. Highly selective detection of p-nitrophenol using fluorescence assay based on boron, nitrogen co-doped carbon dots. Talanta 2018, 184, 184–192. [Google Scholar] [CrossRef] [PubMed]
- Niazi, A.; Yazdanipour, A. Spectrophotometric simultaneous determination of nitrophenol isomers by orthogonal signal correction and partial least squares. J. Hazard. Mater. 2007, 146, 421–427. [Google Scholar] [CrossRef]
- Shi, Y.; Zhang, S.; Zhou, H.; Dong, Y.; Liu, G.; Ye, W.; He, R.; Zhao, G. Recent Developments in Heavy Metals Detection: Modified Electrodes, Pretreatment Methods, Prediction Models and Algorithms. Metals 2025, 15, 80. [Google Scholar] [CrossRef]
- Rasal, R.K.; Badsha, I.; Shellaiah, M.; Subramanian, K.; Gayathri, A.; Hirad, A.H.; Kaliaperumal, K.; Devasena, T. Fabrication of Curcumin-Based Electrochemical Nanosensors for the Detection of Environmental Pollutants: 1,4-Dioxane and Hydrazine. Biosensors 2024, 14, 291. [Google Scholar] [CrossRef]
- Vignesh, S.; Ahmad, K.; Oh, T.H. Progress in Nickel MOF-Based Materials for Electrochemical Biosensor and Supercapacitor Applications. Biosensors 2025, 15, 560. [Google Scholar] [CrossRef]
- Lu, Z.; Wang, Y.; Li, G. Covalent Organic Frameworks-Based Electrochemical Sensors for Food Safety Analysis. Biosensors 2023, 13, 291. [Google Scholar] [CrossRef]
- Yang, M.; Xie, C.; Lu, H. Advances in MXene-Based Electrochemical Sensors for Multiplexed Detection in Biofluids. Int. J. Mol. Sci. 2025, 26, 5368. [Google Scholar] [CrossRef] [PubMed]
- Jiang, W.; Chen, P.; Li, X.; Wu, G.; Zheng, H.; Li, C.; Fang, L.; Jiang, H. π-Conjugation extension and defects introduction into g-C3N4 by phenanthroline molecular doping to form a metal-free electrochemical sensor towards effective 4-Nitrophenol detection. Diam. Relat. Mater. 2021, 119, 108557. [Google Scholar] [CrossRef]
- Sangamithirai, D.; Ramanathan, S. Electrochemical sensing platform for the detection of nitroaromatics using g-C3N4/V2O5 nanocomposites modified glassy carbon electrode. Electrochim. Acta 2022, 434, 141308. [Google Scholar] [CrossRef]
- Shafi, A.; Bano, S.; Sharma, L.; Halder, A.; Sabir, S.; Khan, M.Z. Exploring multifunctional behaviour of g-C3N4 decorated BiVO4/Ag2CO3 hierarchical nanocomposite for simultaneous electrochemical detection of two nitroaromatic compounds and water splitting applications. Talanta 2022, 241, 123257. [Google Scholar] [CrossRef] [PubMed]
- Shahzad, U.; Alotaibi, A.N.; Marwani, H.M.; Ahmad, Z.; Batterjee, M.G.; Al-Dakhil, A.; Alourfi, N.M.; Rahman, M.M. Efficient detection of hazardous 4-nitrophenol with hybrid g-C3N4@CeO2/CdO nanocomposite prepared by solid-state technique by using linear sweep voltammetry. Inorg. Chem. Commun. 2025, 179, 114868. [Google Scholar] [CrossRef]
- Ganesh, P.-S.; Elugoke, S.E.; Lee, S.-H.; Ko, H.-U.; Kim, S.-Y.; Ebenso, E.E. A bifunctional MoS2/SGCN nanocatalyst for the electrochemical detection and degradation of hazardous 4-nitrophenol. Ecotoxicol. Environ. Saf. 2024, 282, 116701. [Google Scholar] [CrossRef]
- Dogra, S.; Rajput, J.K. Ultrasensitive electrochemical sensor for nitroaromatics using C3N4-MoS2-Au nanocomposite with pendimethalin as a real sample. J. Environ. Chem. Eng. 2025, 13, 116618. [Google Scholar] [CrossRef]
- Monisha; Kant, T.; Tikeshwari; Shrivas, K.; Kumar, A.; Dewangan, K. Graphene-silver nano-ink for inkjet printing of paper electrode for electrochemical sensing of 4-nitrophenol. Mater. Chem. Phys. 2023, 307, 128161. [Google Scholar] [CrossRef]
- Harraz, F.A.; Rashed, M.A.; Faisal, M.; Alsaiari, M.; Alsareii, S.A. Sensitive and selective electrochemical sensor for detecting 4-nitrophenole using novel gold nanoparticles/reduced graphene oxide/activated carbon nanocomposite. Colloids Surf. A Physicochem. Eng. Asp. 2022, 654, 130068. [Google Scholar] [CrossRef]
- Wang, X.; Karaman, C.; Zhang, Y.; Xia, C. Graphene oxide/cellulose nanofibril composite: A high-performance catalyst for the fabrication of an electrochemical sensor for quantification of p-nitrophenol, a hazardous water pollutant. Chemosphere 2023, 331, 138813. [Google Scholar] [CrossRef] [PubMed]
- Li, Y.; Ma, Y.; Lichtfouse, E.; Song, J.; Gong, R.; Zhang, J.; Wang, S.; Xiao, L. In situ electrochemical synthesis of graphene-poly(arginine) composite for p-nitrophenol monitoring. J. Hazard. Mater. 2022, 421, 126718. [Google Scholar] [CrossRef]
- Kalia, S.; Kumar, R.; Sharma, R.; Kumar, S.; Singh, D.; Singh, R.K. Two-dimensional layered rGO-MoS2 heterostructures decorated with Fe3O4 nanoparticles as an electrochemical sensor for detection of para-nitrophenol. J. Phys. Chem. Solids 2024, 184, 111719. [Google Scholar] [CrossRef]
- Dutt, S.; Singh, A.; Mahadeva, R.; Sundramoorthy, A.K.; Gupta, V.; Arya, S. A reduced graphene oxide-based electrochemical sensing and eco-friendly 4-nitrophenol degradation. Diam. Relat. Mater. 2024, 141, 110554. [Google Scholar] [CrossRef]
- Wang, S.; Zhang, T.; Jia, L.; Yang, P.; He, P.; Xiao, F.; Zhou, P.; Wang, Y.; Wang, X. Electrochemical reduction of nickel selenide/reduced graphene oxide nanocomposites: Highly sensitive detection of 4-nitrophenol. Microchem. J. 2023, 186, 108252. [Google Scholar] [CrossRef]
- Shanlee, S.S.R.; John Felix, M.A.; Chen, S.-M.; Ruspika, S.; Singh, V.; Balaji, R.; Parkavi, P.; Chandrasekar, N. Ultrasensitive electrochemical detection of 4-nitrophenol through flower-like mixed transition metal oxide anchored on reduced graphene oxide composites. Microchem. J. 2024, 207, 111762. [Google Scholar] [CrossRef]
- Xu, D.; Li, R.; Wang, Q.; Yang, Y.; Wang, G.; Li, Z. Thermal-switchable sensor based on palladium-graphene composite and poly(N-isopropylacrylamide) for electrochemical detection of 4-nitrophenol. Microchem. J. 2022, 172, 106970. [Google Scholar]
- Corsato, P.C.R.; de Lima, L.F.; Paschoarelli, M.V.; de Araujo, W.R. Electrochemical sensing at the fingertips: Wearable glove-based sensors for detection of 4-nitrophenol, picric acid and diazepam. Chemosphere 2024, 363, 142771. [Google Scholar] [CrossRef] [PubMed]
- You, Y.; Li, S.-N.; Zou, J.; Xin, Y.-N.; Peng, S.; Liu, B.; Jiang, X.-Y.; Yu, J.-G. Ultrasonic-assisted self-assembly of a neodymium vanadate and hydroxylated multi-walled carbon nanotubes composite for electrochemical detection of p-nitrophenol. Process Saf. Environ. Prot. 2023, 175, 834–844. [Google Scholar] [CrossRef]
- Deng, P.; Zeng, Y.; Wei, Y.; Li, J.; Yao, L.; Liu, X.; Ding, J.; Li, K.; He, Q. An efficient electrochemical sensor based on multi-walled carbon nanotubes functionalized with polyethylenimine for simultaneous determination of o-nitrophenol and p-nitrophenol. Microchem. J. 2023, 186, 108340. [Google Scholar] [CrossRef]
- Wang, J.; Liu, C.; Di, Z.; Huang, J.; Wei, H.; Guo, M.; Yu, X.; Li, N.; Zhao, J.; Cheng, B. Polyimide-multiwalled carbon nanotubes composite as electrochemical sensing platform for the simultaneous detection of nitrophenol isomers. Chemosphere 2024, 367, 143654. [Google Scholar] [CrossRef]
- Shahzad, U.; Alotaibi, A.N.; Marwani, H.M.; Mazumder, M.A.J.; Al-Dakhil, A.; Alourfi, N.M.; Alsafrani, A.E.; Rahman, M.M. Development of functional MWCNT@Hg/YO nanocomposites for efficient detection of 4-nitrophenol by linear sweep voltammetry. Microchem. J. 2025, 217, 114828. [Google Scholar] [CrossRef]
- Saeed, P.N.; Guler, M. Electrochemical determination of 4-nitrophenol using functionalized graphene oxide/functionalized multi-walled carbon nanotubes hybrid material modified glassy carbon electrode. Chem. Phys. 2025, 588, 112468. [Google Scholar] [CrossRef]
- Zhang, X.; Miao, S.; Zhou, J.; Zhou, T.; Gan, T.; Tang, Y. Paper-based molecularly imprinted electrochemical sensor integrated with Pt single atom decorated porous hollow carbon polyhedrons for enhanced phenolic pollutants monitoring in wastewaters. Sens. Actuators B Chem. 2025, 445, 138592. [Google Scholar] [CrossRef]
- Yang, M.; Feng, J.; Li, C.; Wang, Y.; Zheng, X. Channel-engineered carbon molecular sieves via anisotropic molecular sieve templating for ultrasensitive electrochemical monitoring of P-Nitrophenol. Microchem. J. 2025, 215, 114407. [Google Scholar] [CrossRef]
- Zhang, L.; Feng, G.; Zhou, W.; Tong, C.; Wang, X.; Zhu, W. Electrochemical sensor based on onion-like carbon (OLC) materials modified electrode for sensitive determination of 4-nitrophenol. Int. J. Electrochem. Sci. 2023, 18, 100390. [Google Scholar] [CrossRef]
- Ding, Z.; Zhao, J.; Hao, Z.; Guo, M.; Li, L.; Li, N.; Sun, X.; Zhang, P.; Cui, J. Simultaneous electrochemical determination of nitrophenol isomers based on macroporous carbon functionalized with amino-bridged covalent organic polycalix[4]arenes. J. Hazard. Mater. 2022, 423, 127034. [Google Scholar] [CrossRef] [PubMed]
- He, Q.; Wang, B.; Liu, J.; Li, G.; Long, Y.; Zhang, G.; Liu, H. Nickel/nitrogen-doped carbon nanocomposites: Synthesis and electrochemical sensor for determination of p-nitrophenol in local environment. Environ. Res. 2022, 214, 114007. [Google Scholar] [CrossRef]
- Sakthinathan, S.; Rajakumaran, R.; Karthi Keyan, A.; Yu, C.-L.; Wu, C.-F.; Vinothini, S.; Chen, S.-M.; Chiu, T.-W. Novel construction of carbon nanofiber/CuCrO2 composite for selective determination of 4-nitrophenol in environmental samples and for supercapacitor application. RSC Adv. 2021, 11, 15856–15870. [Google Scholar] [CrossRef]
- Wahab, R.; Ahmad, N.; Alam, M.; Ahmad, J. The development of cobalt oxide nanoparticles based electrode to elucidate the rapid sensing of nitrophenol. Mater. Sci. Eng. B 2021, 265, 114994. [Google Scholar] [CrossRef]
- Chakraborty, U.; Bhanjana, G.; Kannu; Kaur, N.; Sharma, R.; Kaur, G.; Kaushik, A.; Chaudhary, G.R. Microwave-assisted assembly of Ag2O-ZnO composite nanocones for electrochemical detection of 4-Nitrophenol and assessment of their photocatalytic activity towards degradation of 4-Nitrophenol and Methylene blue dye. J. Hazard. Mater. 2021, 416, 125771. [Google Scholar] [CrossRef]
- Dib, M.; Moutcine, A.; Ouchetto, H.; Ouchetto, K.; Chtaini, A.; Hafid, A.; Khouili, M. Novel synthesis of α-Fe2O3@Mg/Al-CO3-LDH nanocomposite for rapid electrochemical detection of p-nitrophenol. Inorg. Chem. Commun. 2021, 131, 108788. [Google Scholar] [CrossRef]
- Chakraborty, U.; Garg, P.; Bhanjana, G.; Kaur, G.; Kaushik, A.; Chaudhary, G.R. Spherical silver oxide nanoparticles for fabrication of electrochemical sensor for efficient 4-Nitrotoluene detection and assessment of their antimicrobial activity. Sci. Total Environ. 2022, 808, 152179. [Google Scholar] [CrossRef]
- Gudipati, N.S.; Vanjari, S.; Korutla, S.; Tammineni, R.R.; Challapalli, S. Electrochemical detection of 4-nitrophenol on nanostructured CuBi2O4 with plausible mechanism supported by DFT calculations. J. Environ. Chem. Eng. 2022, 10, 108758. [Google Scholar] [CrossRef]
- Ho, V.M.H.; Vo, T.K.; Nguyen, T.H.A.; Dinh, Q.K.; Nguyen, V.C. Dual role of flower-like Fe3O4/Ag microstructure in electrocatalytic detection and catalytic reduction of 4-nitrophenol. Mater. Sci. Semicond. Process. 2023, 160, 107441. [Google Scholar] [CrossRef]
- Pham, T.N.; Tien, M.V.; Nguyen, L.H.T.; Doan, T.L.H.; Trang, N.L.N.; Hoang, O.V.; Hoa, N.Q.; Tran, H.V.; Le, A.-T. Innovative electrochemical sensor based on Fe3O4@Fe-BTC nanocomposite to sensitive determination of 4-nitrophenol. Mater. Res. Bull. 2024, 177, 112854. [Google Scholar] [CrossRef]
- Dildar, A.; Siddique, A.; Rabbee, M.F.; Rafiq, M.Z.; Althomali, R.H.; Sharif, S.; Jaber faifi, A.; Irfan, M.; Aljabri, M.D.; Akhtar, M.N.; et al. para-Nitrophenol detection by an electrochemical approach based on two-dimensional binary metal oxides ZrO2-Nd2O3 nanorod fabricated with PEDOT:PSS onto glassy carbon electrode. Microchem. J. 2024, 202, 110720. [Google Scholar] [CrossRef]
- Wyantuti, S.; Ferdiana, N.A.; Zahra, S.A.; Fauzia, R.P.; Irkham; Sumeru, H.A.; Jia, Q.; Kurnia, D.; Bahti, H.H. Samarium oxide nanoparticle-modified gold electrodes for enhanced Voltammetric sensing of hydrazine and p-Nitrophenol. Sens. Bio-Sens. Res. 2025, 47, 100745. [Google Scholar] [CrossRef]
- Morozov, R.; Avdin, V.; Lychkin, G.; Uchaev, D.; Vakhitov, I.; Stanković, D. Facile prepared high purity Cerium vanadate for simultaneous electrochemical detection of p-nitrophenol and 2,4,6-trichlorophenol. J. Phys. Chem. Solids 2025, 196, 112355. [Google Scholar] [CrossRef]
- Wang, Q.-Y.; Li, H.-R.; Zheng, Z.-Y.; Xu, H.; Tao, J.-M.; Li, S.-S. S doping strategy on Co3O4 nanosheets for enhanced electrochemical detection towards p-nitrophenol. Microchem. J. 2025, 208, 112359. [Google Scholar] [CrossRef]
- Alotaibi, A.N.; Alsafrani, A.E.; Albishri, A.; Awual, M.R.; Rahman, M.M. Hydrothermally prepared Y@SnO2-ZnO nanocomposite for detection of hazardous 2-nitrophenol for environmental monitoring. Chem. Eng. J. 2025, 522, 168056. [Google Scholar] [CrossRef]
- Li, H.-R.; Xu, H.; Wang, Q.-Y.; Li, S.-S. Highly electroactive mixed-valence-MoOX as an electrochemical sensing for effective detection of p-nitrophenol based on the synergistic effect of valence change and oxygen vacancy. Talanta 2025, 285, 127360. [Google Scholar] [CrossRef] [PubMed]
- Su, Y.; Zheng, X.; Cheng, H.; Rao, M.; Chen, K.; Xia, J.; Lin, L.; Zhu, H. Mn-Fe3O4 nanoparticles anchored on the urushiol functionalized 3D-graphene for the electrochemical detection of 4-nitrophenol. J. Hazard. Mater. 2021, 409, 124926. [Google Scholar] [CrossRef]
- He, X.; Bai, S.; Jiang, J.; Ong, W.-J.; Peng, J.; Xiong, Z.; Liao, G.; Zou, J.; Li, N. Oxygen vacancy mediated step-scheme heterojunction of WO2.9/g-C3N4 for efficient electrochemical sensing of 4-nitrophenol. Chem. Eng. J. Adv. 2021, 8, 100175. [Google Scholar] [CrossRef]
- Renu; Komal; Kaur, R.; Kaur, J.; Jyoti; Kumar, V.; Tikoo, K.B.; Rana, S.; Kaushik, A.; Singhal, S. Unfolding the electrocatalytic efficacy of highly conducting NiFe2O4-rGO nanocomposites on the road to rapid and sensitive detection of hazardous p-Nitrophenol. J. Electroanal. Chem. 2021, 887, 115161. [Google Scholar] [CrossRef]
- Sabir, Z.; Akhtar, M.; Zulfiqar, S.; Zafar, S.; Agboola, P.O.; Haider, S.; Ragab, S.A.; Warsi, M.F.; Shakir, I. L-Cysteine functionalized Nd2O3/rGO modified glassy carbon electrode: A new sensing strategy for the rapid, sensitive and simultaneous detection of toxic nitrophenol isomers. Synth. Met. 2021, 277, 116774. [Google Scholar] [CrossRef]
- Wei, W.; Yang, S.; Hu, H.; Li, H.; Jiang, Z. Hierarchically grown ZnFe2O4-decorated polyaniline-coupled-graphene nanosheets as a novel electrocatalyst for selective detecting p-nitrophenol. Microchem. J. 2021, 160, 105777. [Google Scholar] [CrossRef]
- Kim, M.-Y.; Jeon, Y.-J.; Lee, J.-Y.; Park, D.J.; Lee, K.H.; Lee, J.-y. Bifunctional technology involving RuO2-IrO2/Ti electrode decorated with reduced graphene oxide aerogel with Pd nanoparticles: Electrochemical oxidative decomposition and detection of p-nitrophenol. J. Electroanal. Chem. 2023, 940, 117471. [Google Scholar] [CrossRef]
- Katowah, D.F.; Asiri, A.M.; Rahman, M.M. Development of novel nanocomposites based on SrSnO3-conjugated coconut-shell activated carbon with conducting polymers towards 4-nitrophenol detection by electrochemical approach. Surf. Interfaces 2023, 41, 103241. [Google Scholar] [CrossRef]
- Zhan, P.; Xu, X. Camellia oleifera derived carbon dots modified TiO2 as sensor for the rapid detection of 4-nitrophenol in wastewater. Int. J. Electrochem. Sci. 2023, 18, 100341. [Google Scholar] [CrossRef]
- Buledi, J.A.; Solangi, A.R.; Mallah, A.; Ameen, S.; López-Maldonado, E.A. Development of sensitive electrochemical sensor Ni@CuO/rGO/PtE for the determination of 4-Nitrophenol: An electroanalytical approach for pollution control. Diam. Relat. Mater. 2024, 142, 110801. [Google Scholar] [CrossRef]
- Zhang, S.; Cao, L.; Xie, A.; Luo, S. ZnCo(OH)F-derived ZnCo2O4/MWCNTs composite for sensitive detection of 4-nitrophenol. Microchem. J. 2025, 216, 114612. [Google Scholar] [CrossRef]
- Kumar, V.; Kaushal, I.; Sharma, A.K.; Sharma, S.; Kumar, A.; Bhukal, S.; Rani, J.; Saharan, P. Biowaste-derived multifunctional CeO2@carbon dot nanospheres for efficient sono-catalytic degradation of Rhodamine B dye and electrochemical sensing of 4-nitrophenol. Appl. Surf. Sci. 2025, 688, 162351. [Google Scholar] [CrossRef]
- Yu, M.-Y.; Liu, J.-H.; Liu, C.; Pei, W.-Y.; Ma, J.-F. Resorcin[4]arene-based microporous metal–organic framework/reduced graphene oxide composite as an electrocatalyst for effective and simultaneous determination of p-nitrophenol and o-nitrophenol isomers. Sens. Actuators B Chem. 2021, 347, 130604. [Google Scholar] [CrossRef]
- Shahbakhsh, M.; Saravani, H.; Dusek, M.; Poupon, M. Study of the one-step in situ growth synthesis of Cu-Pic coordination polymer and Cu-BTC MOF and their performances for detection of 4-Nitrophenol. Microchem. J. 2023, 189, 108557. [Google Scholar] [CrossRef]
- Ambaye, A.D.; Kefeni, K.K.; Kebede, T.G.; Ntsendwana, B.; Mishra, S.B.; Nxumalo, E.N. Cu-MOF/N-doped GO nanocomposites modified screen-printed carbon electrode towards detection of 4-nitrophenol. J. Electroanal. Chem. 2022, 919, 116542. [Google Scholar] [CrossRef]
- Yousaf, A.; Zhao, Z.; Akhtar, N.; Aizaz, M.; Shahzadi, M. Machine learning-optimized trimetallic MOF integrated nanofibers for precise detection of p-Nitrophenol in agricultural soil. Chem. Eng. J. 2025, 509, 161299. [Google Scholar] [CrossRef]
- Han, H.; Zhang, S.; Ding, S.; Pan, D.; Wang, N. An electrochemical sensor based on black phosphorus/covalent organic framework nanoflowers for determination of p-nitrophenol in seawater. Sens. Actuators B Chem. 2025, 425, 136998. [Google Scholar] [CrossRef]
- Baikeli, Y.; Mamat, X.; Chen, L.; Liu, X.; Shen, L.; Lyu, Y.; Li, C. Ultrasensitive and simultaneous determination of p-Nitrophenol and p-Nitrobenzoic acid by a modified glassy carbon electrode with N-rich nanoporous carbon derived from ZIF-8. J. Electroanal. Chem. 2021, 899, 115567. [Google Scholar] [CrossRef]
- Mohanta, D.; Mahanta, A.; Mishra, S.R.; Jasimuddin, S.; Ahmaruzzaman, M. Novel SnO2@ZIF-8/gC3N4 nanohybrids for excellent electrochemical performance towards sensing of p-nitrophenol. Environ. Res. 2021, 197, 111077. [Google Scholar] [CrossRef] [PubMed]
- Zhang, Y.; Wang, Y.; Meng, W.; Zhang, J.; Wang, Y.; Tong, B.; Han, C. One stone, three birds: The enhanced electrocatalytic sensing for 4-nitrophenol derived from the triple-strategies regulated interface of Co-ZIF-L/NCS/CP. Sens. Actuators B Chem. 2025, 422, 136682. [Google Scholar] [CrossRef]
- Huang, R.; Liao, D.; Liu, Z.; Yu, J.; Jiang, X. Electrostatically assembling 2D hierarchical Nb2CTx and zifs-derivatives into Zn-Co-NC nanocage for the electrochemical detection of 4-nitrophenol. Sens. Actuators B Chem. 2021, 338, 129828. [Google Scholar] [CrossRef]
- Gopi, P.K.; Sanjayan, C.G.; Akhil, S.; Ravikumar, C.H.; Thitamadee, S.; Kongpatanakul, S.; Balakrishna, R.G.; Surareungchai, W. Silver bismuth sulphide (AgBiS2)-MXene composite as high-performance electrochemical sensing platform for sensitive detection of pollutant 4-nitrophenol. Electrochim. Acta 2024, 498, 144616. [Google Scholar] [CrossRef]
- Wang, X.; Li, M.; Yang, S.; Bai, X.; Shan, J. Self-assembled Ti3C2TX MXene/graphene composite for the electrochemical reduction and detection of p-nitrophenol. Microchem. J. 2022, 179, 107473. [Google Scholar] [CrossRef]
- Lee, H.; Kim, M.-Y.; Lee, H. Structural and anionic effects of microcrystalline Zn-CPs on 4-nitrophenol sensing performances. RSC Adv. 2022, 12, 12957–12966. [Google Scholar] [CrossRef]
- Sun, Y.; Liu, C.; Chang, S.; Zhao, J. Advanced electrochemical sensors for the simultaneous detection of nitrophenol isomers: The synergistic effects in MXene/β-cyclodextrin composites. Carbohydr. Polym. 2025, 366, 123848. [Google Scholar] [CrossRef]
- Trang, N.L.N.; Nga, D.T.N.; Hoang, V.-T.; Ngo, X.-D.; Nhung, P.T.; Le, A.-T. Bio-AgNPs-based electrochemical nanosensors for the sensitive determination of 4-nitrophenol in tomato samples: The roles of natural plant extracts in physicochemical parameters and sensing performance. RSC Adv. 2022, 12, 6007–6017. [Google Scholar] [CrossRef]
- Nehru, R.; Kumar, B.S.; Chen, C.-W.; Dong, C.-D. Yolk-shell structured molybdenum disulfide nanospheres as highly enhanced electrocatalyst for electrochemical sensing of hazardous 4-nitrophenol in water. J. Environ. Chem. Eng. 2022, 10, 107663. [Google Scholar] [CrossRef]
- Narouie, S.; Rounaghi, G.H.; Saravani, H.; Shahbakhsh, M. Poly (Biphenol/biphenoquinone—Vanadium (IV)) modified electrode as selective sensor for detection of 4-nitrophenol. Microchem. J. 2022, 172, 106945. [Google Scholar] [CrossRef]
- Sreelekshmi; Sajeevan, B.; Gopika, M.G.; Murali, A.S.; Senthil kumar, S.M.; Saraswathyamma, B. An electrochemical sensor based on a pencil graphite electrode modified with poly-riboflavin for 4-nitrophenol quantification. Mater. Chem. Phys. 2023, 301, 127568. [Google Scholar] [CrossRef]
- Yu, T.; Herdman, K.; Kasturi, P.R.; Breslin, C.B. The ultrasensitive detection of p-nitrophenol using a simple activated carbon electrode modified with electrodeposited bismuth dendrites. Microchem. J. 2023, 195, 109453. [Google Scholar] [CrossRef]
- Havranova, P.; Fojt, L.; Kejik, L.; Sikola, T.; Fojta, M.; Danhel, A. Electrodeposition of silver amalgam particles on screen-printed silver electrodes in voltammetric detection of 4-nitrophenol, bovine serum albumin and artificial nucleosides dTPT3 and d5SICS. Sens. Actuators B Chem. 2021, 340, 129921. [Google Scholar] [CrossRef]
- Shen, J.; Liu, L.; Huang, W.; Wu, K. Polyvinylpyrrolidone-assisted solvent exfoliation of black phosphorus nanosheets and electrochemical sensing of p-nitrophenol. Anal. Chim. Acta 2021, 1167, 338594. [Google Scholar] [CrossRef]
- Cheng, X.-L.; Xia, X.; Xu, Q.-Q.; Wang, J.; Sun, J.-C.; Zhang, Y.; Li, S.-S. Superior conductivity FeSe2 for highly sensitive electrochemical detection of p-nitrophenol and o-nitrophenol based on synergistic effect of adsorption and catalysis. Sens. Actuators B Chem. 2021, 348, 130692. [Google Scholar] [CrossRef]
- Sajjan, V.A.; Aralekallu, S.; Nemakal, M.; Palanna, M.; Prabhu, C.P.K.; Sannegowda, L.K. Nanomolar detection of 4-nitrophenol using Schiff-base phthalocyanine. Microchem. J. 2021, 164, 105980. [Google Scholar] [CrossRef]
- Mojović, Z.; Petrović, S.; Mojović, M.; Pavlović, S.; Rožić, L. Ruthenium containing perovskites as electrode materials for 4-nitrophenol detection. J. Phys. Chem. Solids 2021, 148, 109649. [Google Scholar] [CrossRef]
- Karvekar, M.U.; Raj, K.; Malini, S.; Supreeth, S.; Uma, B.; Appaji, A. Simplified electrochemical sensor based on sulphuric acid-preactivated glassy carbon electrode for enhanced detection of 2-nitrophenol and 4-aminopyridine. Int. J. Electrochem. Sci. 2025, 20, 101155. [Google Scholar] [CrossRef]
- Bao, T.; Wang, Q.; Li, H.; Su, Y.; Guo, T.; Cao, J.; Li, Q.; Si, W. Facile preparation of biochar from biomass-derived lignin and cellulose for determination of 4-nitrophenol and 2-nitrophenol. Electrochim. Acta 2025, 536, 146420. [Google Scholar] [CrossRef]
- Ansen, Z.; Tabanlıgil Calam, T. Optimization of voltammetric parameters and sensitive determination of hazardous 2-nitrophenol in environmental media using a modified glassy carbon electrode based on 2-amino nicotinamide. J. Water Process Eng. 2025, 76, 108165. [Google Scholar] [CrossRef]
- Chavan, P.V.; Baye, A.F.; Rathod, P.V.; Kim, H. Azobisisobutyronitrile-induced biocarbon with high edge-nitrogen density: A metal-free redox-catalyst for electrochemical detection and reduction of 4-nitrophenol. Sustain. Mater. Technol. 2025, 43, e01304. [Google Scholar] [CrossRef]
- Anandkumar, M.; Kannan, P.K.; Morozov, R.S.; Zaitseva, O.V.; Sudarsan, S.; Trofimov, E.A. Electrochemical detection of p-nitrophenol using glassy carbon electrode modified using high-entropy oxide nanoparticles. Ceram. Int. 2025, 51, 2770–2778. [Google Scholar] [CrossRef]
- Lai, Y.-R.; Wang, S.S.-S.; Lin, T.-H. Using silver nanoparticle-decorated whey protein isolate amyloid fibrils to modify the electrode surface used for electrochemical detection of para-nitrophenol. Int. J. Biol. Macromol. 2024, 264, 130404. [Google Scholar] [CrossRef] [PubMed]
- Baye, A.F.; Bandal, H.A.; Kim, H. FeCx-coated biochar nanosheets as efficient bifunctional catalyst for electrochemical detection and reduction of 4-nitrophenol. Environ. Res. 2024, 246, 118071. [Google Scholar] [CrossRef]
- Malvessi, G.S.; Hoppe, T.D.; Zapp, E.; Brondani, D. Lab-made screen-printed electrode with conductive ink based on carbon nanomaterials for simultaneous electrochemical analysis of bisphenol A, catechol, and 4-nitrophenol. Measurement 2024, 231, 114601. [Google Scholar] [CrossRef]
- Zeng, K.; Lei, L.; Wu, C.; Wu, K. Cobalt-based conjugated coordination polymers with tunable dimensions for electrochemical sensing of p-nitrophenol. Anal. Chim. Acta 2023, 1279, 341772. [Google Scholar] [CrossRef] [PubMed]
- Fan, Z.-C.; Bai, X.; Wei, X.-Y.; Fan, X.; Dilixiati, Y.; Li, Z.; Kong, Q.-Q.; Zhao, J.; Li, L.; Li, J.-H.; et al. Electrochemical detection of p-nitrophenol over nickel nanoparticles supported on Longquan lignite-derived mesoporous carbon fabricated by hard template method. Microchem. J. 2023, 194, 109354. [Google Scholar] [CrossRef]
- Ata, S.; Feroz, M.; Bibi, I.; Mohsin, I.-U.; Alwadai, N.; Iqbal, M. Investigation of electrochemical reduction and monitoring of p-nitrophenol on imprinted polymer modified electrode. Synth. Met. 2022, 287, 117083. [Google Scholar] [CrossRef]
- Gopi, S.; Yun, K. Cerium-iron phosphate nano flower bifunctional electrocatalyst for efficient electrochemical detection and catalytic reduction of hazardous 4-nitrophenol. J. Environ. Chem. Eng. 2022, 10, 108938. [Google Scholar] [CrossRef]
- Chen, X.; Sun, D.; Wu, W.; Wu, P.; Yang, F.; Liu, J.; Ma, Z.; Zhang, Y.; Zheng, D. Boosting the electrochemcial activity of Fe-MIL-101 via acid modulators for highly sensitive detection of o-nitrophenol. Microchem. J. 2022, 183, 108076. [Google Scholar] [CrossRef]
- Ma, F.; Jin, S.; Li, Y.; Feng, Y.; Tong, Y.; Ye, B.-C. Pyrolysis-derived materials of Mn-doped ZIF-67 for the electrochemical detection of o-nitrophenol. J. Electroanal. Chem. 2022, 904, 115932. [Google Scholar] [CrossRef]
- Faisal, M.; Alam, M.M.; Alsaiari, M.; Ahmed, J.; Al-Humaidi, J.Y.; Algethami, J.S.; Abdel-Fadeel, M.A.; Althomali, R.H.; Harraz, F.A.; Rahman, M.M. Efficient 2-Nitrophenol determination based on ultra-sonochemically prepared low-dimensional Au-nanoparticles decorated ZnO-chitosan nanocomposites by linear sweep voltammetry. J. Sci. Adv. Mater. Devices 2024, 9, 100727. [Google Scholar] [CrossRef]
- Hu, X.; Xiong, S.; Yang, J.; Ye, L.; Zhang, Y.; Zeng, T.; Yang, N. Covalent-organic framework/carbon nanotubes for electrochemical detection of o-nitrophenol. Diam. Relat. Mater. 2024, 144, 110947. [Google Scholar] [CrossRef]
- Chakraborty, U.; Kaur, I.; Chauhan, A.; Kaur, N.; Kaur, G.; Chaudhary, G.R. Zinc oxide-copper sulfide semiconductor nano-heterostructure for low-level electrochemical detection of 4-nitrotoluene. Electrochim. Acta 2023, 447, 142160. [Google Scholar] [CrossRef]
- Gokulkumar, K.; Priscillal, I.J.D.; Wang, S.-F. Deep eutectic solvent-mediated synthesis of PDA coated f-CNF doped ZnS nanoparticles for electrode modification: Innovative sensing platform for determination of pollutant 3-nitrophenol. J. Alloys Compd. 2022, 924, 166561. [Google Scholar] [CrossRef]












| Electrode Material | Analyte | Technique | LOD (µM) | Linear Range (µM) | Sensitivity | Ref. |
|---|---|---|---|---|---|---|
| gCN-PD/GCE | 4-NP | DPV | 0.039 | 2.854 to 1117 | 0.213 μA.μM−1 | [21] |
| gCN/V2O5/GCE | 4-NP | SWV | 0.00085 | 0.001 to 100 | - | [22] |
| BVG@C | 4-NP | Amp | 0.01 | 10 to 350 | 2.368 μA.mM−1·cm−2 | [23] |
| gCN@CeO2/CdO/Nafion/GCE | 4-NP | LSV | 0.45 | 3 to 8 | 0.365 µA.µM−1·cm−2 | [24] |
| MoS2/S-gCN | 4-NP | DPV | 0.0128 | 0.1 to 2.6 | - | [25] |
| gCN-MoS2-Au | 4-NP | LSV | 0.2192 | 0 to 1000 | - | [26] |
| Gr-Ag/PPE | 4-NP | CV | 2.70 | 3.125 to 100 | - | [27] |
| Au-rGO/AC/GCE | 4-NP | LSV | 1.12 | 72 to 4400 | 0.01108 µA.µM−1 | [28] |
| Au-rGO/AC/GCE | 4-NP | Amp | 0.36 | 18 to 592 | 0.03436 μA.µM−1 | [28] |
| GO/CNF | p-NP | DPV | 0.0008 | 0.003 to 210 | - | [29] |
| P(Arg)/eG/SPE | p-NP | SWV | 0.012 | 0.5 to 1250 | 0.661 μA.μM−1·cm−2 | [30] |
| rGO-MoS2/Fe3O4 | p-NP | DPV | 0.8 | 10 to 400 | 0.71 μA.μM−1·cm−2 | [31] |
| Ni3Se4/rGO/ITO | 4-NP | DPV | 0.0171 | 0.05 to 5 and 5 to 200 | - | [33] |
| Pd-His-GQD-G/PNIPAM | 4-NP | DPV | 0.10 | 0.5 to 250 | - | [35] |
| NdV/MWCNTs-OH | p-NP | LSV | 0.041 | 1 to 200 | - | [37] |
| PEI-MWCNTs-COOH/GCE | p-NP | SDLSV | 0.04 | 0.2 to 100 | 1.5212 μA.μM−1 | [38] |
| MWCNT@Hg/YO NCs/Nafion/GCE | 4-NP | LSV | 0.196 | 0.01 to 23.0 | 6.233 μA.μM−1·cm−2 | [40] |
| CMS/GCE | p-NP | DPV | 0.2 | 2 to 1000 | - | [43] |
| OLC/GCE | 4-NP | LSV | 0.00374 | 0.05 to 120 | - | [44] |
| CalCOP-MPC/GCE | p-NP | DPV | 0.212 | 1 to 400 | - | [45] |
| GCE/CNF/CuCrO2 | 4-NP | DPV | 0.022 | 0.1 to 150 | 20.02 μA.μM−1·cm−2 | [47] |
| Electrode Material | Analyte | Technique | LOD (µM) | Linear Range (µM) | Sensitivity | Ref. |
|---|---|---|---|---|---|---|
| Ag2O-ZnO CNCs/Au | 4-NP | DPV | 0.023 | 0.4 to 26 and 28 to 326 | 1.6 µA.µM−1·cm−2 | [49] |
| CPE-α-Fe2O3 @Mg/Al- CO3-LDH | p-NP | SWV | 4.98 | - | - | [50] |
| Ag2O NPs/Au | 4-NT | LSV | 0.0623 | 0.6 to 5.9 μM and 37 to 175 μM | - | [51] |
| CuBi2O4 | 4-NP | Chronoamperometry | 0.61 | - | 56.16 μA.μM−1·cm−2 | [52] |
| Fe3O4@Fe-BTC/SPE | 4-NP | DPV | 0.49 | 0.1 to 50 | - | [54] |
| Au electrode/Sm2O3 NPs | p-NP | CV | 0.5033 | 0.1 to 7 | - | [56] |
| CeVO4 | p-NP | SWV | 0.091 | 0.2 to 60 | - | [57] |
| Y@SnO2-ZnO/nafion/GCE | 2-NP | LSV | 1.3885 | 0.1 to 7.5 | 120.25 µA.μM−1·cm−2 | [59] |
| Mn-Fe3O4/3D-G (M-C) | 4-NP | DPV | 0.019 | 5 to 100 | - | [61] |
| Vo-S-WO2.9/gCN/GCE | 4-NP | DPV | 0.133 | 0.4 to 100 | - | [62] |
| L-Cys/Nd2O3/rGO/GCE | p-NP | SWV | 0.02 | - | - | [64] |
| CSAC/SrSnO3/PPy | 4-NP | DPV/I-V | 0.00015 | 1.0 nM to 10.0 mM | 6.329 µA.mM−1·cm−2 | [67] |
| rGO | 4-NP | DPV | 4.2 | 50 to 800 | - | [68] |
| Ni@CuO/rGO/PtE | 4-NP | DPV | 0.0054 | 0.09 to 105 | - | [69] |
| ZnCo2O4/MWCNTs/GCE | 4-NP | CV | 0.026 | 0.5 to 600 | - | [70] |
| CeO2@C-dots nanosphere | 4-NP | CV | 0.94 | - | 3.4 μA.μM−1·cm−2 | [71] |
| Electrode Material | Analyte | Technique | LOD (µM) | Linear Range (µM) | Sensitivity | References |
|---|---|---|---|---|---|---|
| Mn-MOF@rGO | p-NP | DPV | 0.078 | 0.75 to 140 | - | [72] |
| Mn-MOF@rGO | o-NP | DPV | 0.080 | 0.5 to 180 | - | [72] |
| CPE/Cu-BTC | 4-NP | DPV | 0.040 | 0.7 to 10 and 10 to 100 | - | [73] |
| CPE/Cu-Pic | 4-NP | DPV | 0.09 | 1.2 to 70 | - | [73] |
| Cu-MOF/NGO/SPCE | 4-NP | DPV | 0.035 | 0.5 to 100 | 0.45 µA.µM−1·cm−2 | [74] |
| BP/COF-NFs/GCE | p-NP | SWV | 0.03 | 0.1 to 200 | - | [76] |
| NCP-Nafion/GCE | p-NP | LSV | 0.017 | 0.05 to 80 | - | [77] |
| SnO2@ZIF-8/gCN | p-NP | DPV | 0.565 | 10 to 100 | 2.63 μA.cm−2.μM−1 | [78] |
| Nb2CTX/Zn-Co-NC | 4-NP | DPV | 0.070 | 1 to 500 | 4.65 μA.μM−1·cm−2 | [80] |
| Mxene-AgBiS2/GCE | 4-NP | DPV | 0.00254 | 0.02 to 5 and 10 to 78 | - | [81] |
| D-Ti3C2TX/GR | p-NP | DPV | 0.16 | 1 to 175 | - | [82] |
| MXene/β-CD/GCE | p-NP | DPV | 0.042 | 0.5 to 180 | - | [84] |
| MXene/β-CD/GCE | o-NP | DPV | 0.063 | 0.4 to 300 | - | [84] |
| MXene/β-CD/GCE | m-NP | DPV | 0.087 | 0.5 to 300 | - | [84] |
| Electrode Material | Analyte | Technique | LOD (µM) | Linear Range (µM) | Sensitivity | Ref. |
|---|---|---|---|---|---|---|
| GT-AgNPs/SPE | 4-NP | DPV | 0.43 | 0.5 to 50 | 1.25 μA.μM−1·cm−2 | [85] |
| Yolk-shell MoS2 NS/GCE | 4-NP | DPV | 0.0029 | 0.005 to 717.205 | - | [86] |
| Porous MoS2 NS/GCE | 4-NP | DPV | 0.022 | 0.005 to 412.205 | - | [86] |
| Poly BP/BQ–VIV | 4-NP | DPV | 0.006 | 0.05 to 200 | 0.997 µA.µM−1 | [87] |
| A-GCE/Bi | p-NP | DPV | 0.00018 | 0.005 to 1.6 and 1.6 to 170 | 29.4 μA.μM−1·cm−2 | [89] |
| PVP@BPNS | p-NP | DPV | 0.028 | 0.10 to 5.0 | - | [91] |
| GCE/CoTTIMPPc | 4-NP | DPV | 0.036 | 0.1 to 1.2 | - | [93] |
| LPC-800/GCE | 4-NP | DPV | 0.0174 | 1 to 100 | - | [96] |
| CPC-900/GCE | 2-NP | DPV | 0.0203 | 1 to 100 | - | [96] |
| 2-AN/GC | 2-NP | SWV | 0.00292 | 0.0099 to 52.5 and 52.5 to 603 | - | [97] |
| (CeGdHfPrZr)O2/GCE | p-NP | SWV | 0.32 | 5 to 100 | - | [99] |
| AgNP-WPI-AF/SPCE | p-NP | DPV | 0.963 | 40 to 118.6 | 0.592 μA.μM−1·cm−2 | [100] |
| CoCCPs-1 | p-NP | DPV | 0.00986 | 0.05 to 5 | - | [103] |
| MIP GCE | p-NP | CV | 0.2 | 2 to 400 | - | [105] |
| Fe-MIL-101 | o-NP | DPV | 0.013 | 0.036 to 86.4 | - | [107] |
| CoC@Mn | o-NP | SWV | 0.16 | 0.5 to 100 | - | [108] |
| Au NPs@ZnO/CTSN NCs | 2-NP | LSV | 0.45 | 15 to 150 | 20.99 μA.μM−1·cm−2 | [109] |
| COF/NH2-CNTs | o-NP | LSV | 0.03 | 0.1 to 100 and 100 to 1000 | 8.66 and 1.44 μA.μM−1·cm−2 | [110] |
| ZnO-CuS NHS 2/Au | 4-NT | DPV | 77.5 nM | 0.769 to 38.00 | 1.87 μA.μM−1·cm−2 | [111] |
| ZnS/f-CNF@PDA | 3-NP | DPV | 0.85 | 0.05 to 497 | 0.12 μA.μM−1·cm−2 | [112] |
Disclaimer/Publisher’s Note: The statements, opinions and data contained in all publications are solely those of the individual author(s) and contributor(s) and not of MDPI and/or the editor(s). MDPI and/or the editor(s) disclaim responsibility for any injury to people or property resulting from any ideas, methods, instructions or products referred to in the content. |
© 2026 by the authors. Licensee MDPI, Basel, Switzerland. This article is an open access article distributed under the terms and conditions of the Creative Commons Attribution (CC BY) license.
Share and Cite
Vignesh, S.; Rajkumar, C.; Singh Gautam, R.K.; Suganthi, S.; Ahmad, K.; Oh, T.H. Recent Progress in Advanced Electrode Materials for the Detection of 4-Nitrophenol and Its Derivatives for Environmental Monitoring. Sensors 2026, 26, 306. https://doi.org/10.3390/s26010306
Vignesh S, Rajkumar C, Singh Gautam RK, Suganthi S, Ahmad K, Oh TH. Recent Progress in Advanced Electrode Materials for the Detection of 4-Nitrophenol and Its Derivatives for Environmental Monitoring. Sensors. 2026; 26(1):306. https://doi.org/10.3390/s26010306
Chicago/Turabian StyleVignesh, Shanmugam, Chellakannu Rajkumar, Rohit Kumar Singh Gautam, Sanjeevamuthu Suganthi, Khursheed Ahmad, and Tae Hwan Oh. 2026. "Recent Progress in Advanced Electrode Materials for the Detection of 4-Nitrophenol and Its Derivatives for Environmental Monitoring" Sensors 26, no. 1: 306. https://doi.org/10.3390/s26010306
APA StyleVignesh, S., Rajkumar, C., Singh Gautam, R. K., Suganthi, S., Ahmad, K., & Oh, T. H. (2026). Recent Progress in Advanced Electrode Materials for the Detection of 4-Nitrophenol and Its Derivatives for Environmental Monitoring. Sensors, 26(1), 306. https://doi.org/10.3390/s26010306

