UAV Vision-Based Method for Multi-Point Displacement Measurement of Bridges
Highlights
- A UAV vision-based multi-point displacement measurement system (integrating a UAV-mounted camera, computing terminal, and targets) is proposed to address accuracy limitations arising from UAV motion interference and camera performance constraints.
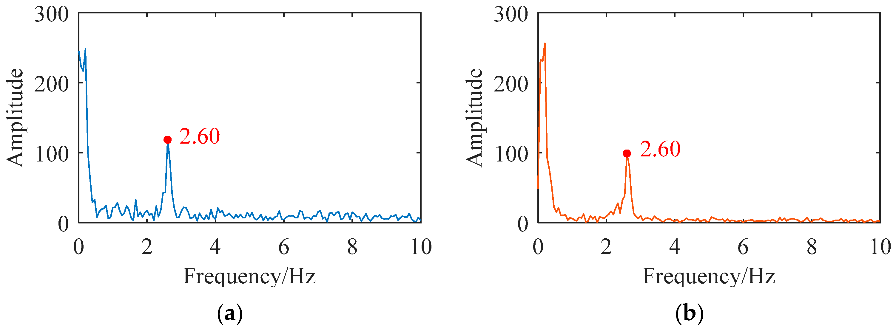
- Field tests on Lunzhou Highway Bridge (Guangdong Province) successfully captured full-span vertical multi-point dynamic displacements under traffic loads, with a root mean square error (RMSE) < 0.3 mm—consistent with results from a Scheimpflug camera.
- The system’s flexible deployment in complex environments enhances the applicability of high-precision, non-contact technologies for bridge displacement monitoring.
- It provides critical data for understanding bridge deformation behavior, supports reliable safety assessments, and advances UAV vision applications in bridge health monitoring.
Abstract
1. Introduction
2. Materials and Methods
2.1. UAV Vision-Based Measurement System
2.2. Camera Motion Correction Method
2.2.1. Camera Rotational Motion Around the x-Axis and y-Axis
2.2.2. Camera Rotation Around the z-Axis
2.2.3. Camera Translational Motion Along the x-Axis and y-Axis
2.2.4. Camera Translation Along the z-Axis
- (1)
- Correction of z-axis Rotation Error
- (2)
- Correction of z-axis Translation Error
- (3)
- Correction of x- and y-axis Rotation and Translation errors
3. Experiment
3.1. Method Validation
3.1.1. Experimental Protocol
3.1.2. Experimental Results and Analysis
3.2. Monitoring of Lunzhou Bridge
3.2.1. Overview
3.2.2. Monitoring Points
3.2.3. Monitoring Implementation
3.2.4. Monitoring Results and Analysis
4. Discussion
5. Conclusions
Author Contributions
Funding
Institutional Review Board Statement
Informed Consent Statement
Data Availability Statement
Acknowledgments
Conflicts of Interest
References
- Feng, D.M.; Feng, M.Q. Computer vision for SHM of civil infrastructure: From dynamic response measurement to damage detection—A review. Eng. Struct. 2018, 156, 105–117. [Google Scholar] [CrossRef]
- Nickitopoulou, A.; Protopsalti, K.; Stiros, S. Monitoring dynamic and quasi-static deformations of large flexible engineering structures with GPS: Accuracy, limitations and promises. Eng. Struct. 2006, 28, 1471–1482. [Google Scholar] [CrossRef]
- Nakamura, S.I. GPS measurement of wind-induced suspension bridge girder displacements. J. Struct. Eng. 2000, 126, 1413–1419. [Google Scholar] [CrossRef]
- Ma, Z.X.; Choi, J.; Sohn, H. Structural displacement sensing techniques for civil infrastructure: A review. J. Infrastruct. Intell. Resil. 2023, 2, 100041. [Google Scholar] [CrossRef]
- Li, J.; Hao, H. Health monitoring of joint conditions in steel truss bridges with relative displacement sensors. Measurement 2016, 88, 360–371. [Google Scholar] [CrossRef]
- Guo, T.; Chen, Y.W. Field stress/displacement monitoring and fatigue reliability assessment of retrofitted steel bridge details. Eng. Fail. Anal. 2011, 18, 354–363. [Google Scholar] [CrossRef]
- Lienhart, W.; Ehrhart, M.; Grick, M. High frequent total station measurements for the monitoring of bridge vibrations. J. Appl. Geod. 2017, 11, 1–8. [Google Scholar] [CrossRef]
- Paar, R.; Žnidarič, M.; Slavič, J.; Boltežar, M. Vibration monitoring of civil engineering structures using contactless vision-based low-cost iats prototype. Sensors 2021, 21, 7952. [Google Scholar] [CrossRef]
- Pieraccini, M.; Guidi, G.; Luzi, G.; Masini, N. Static and dynamic testing of bridges through microwave interferometry. NDT E Int. 2007, 40, 208–214. [Google Scholar] [CrossRef]
- Li, H.; Zhang, Y.; Wang, Z.; Yang, G. Realtime in-plane displacements tracking of the precision positioning stage based on computer micro-vision. Mech. Syst. Signal Process. 2019, 124, 111–123. [Google Scholar] [CrossRef]
- Song, Q.S.; Zhang, L.; Li, H.N.; Zhang, Y.; Wang, Z.H. Computer vision-based illumination-robust and multi-point simultaneous structural displacement measuring method. Mech. Syst. Signal Process. 2022, 170, 108822. [Google Scholar] [CrossRef]
- Lee, J.J.; Shinozuka, M. A vision-based system for remote sensing of bridge displacement. NDT E Int. 2006, 39, 425–431. [Google Scholar] [CrossRef]
- Feng, D.M.; Feng, M.Q.; Pan, B. A vision-based sensor for noncontact structural displacement measurement. Sensors 2015, 15, 16557–16575. [Google Scholar] [CrossRef] [PubMed]
- Wang, M.M.; Zhang, L.; Song, Q.S.; Li, H.N. A novel gradient-based matching via voting technique for vision-based structural displacement measurement. Mech. Syst. Signal Process. 2022, 171, 108951. [Google Scholar] [CrossRef]
- Lee, J.H.; Park, J.W.; Sim, S.H. Long-term displacement measurement of full-scale bridges using camera ego-motion compensation. Mech. Syst. Signal Process. 2020, 140, 106651. [Google Scholar] [CrossRef]
- Zhang, S.; He, Y.; Gu, Y.; He, Y.; Wang, H.; Wang, H.; Yang, R.; Chady, T.; Zhou, B. UAV Based Defect Detection and Fault Diagnosis for Static and Rotating Wind Turbine Blade: A Review. Sensors 2025, 40, 1691–1729. [Google Scholar] [CrossRef]
- Bouguettaya, A.; Zarzour, H.; Kechida, A.; Taberkit, A.M. Vehicle Detection from UAV Imagery with Deep Learning: A Review. IEEE Trans. Neural Netw. Learn. Syst. 2021, 33, 6047–6067. [Google Scholar] [CrossRef]
- Yoon, H.C.; Shin, J.; Spencer, B.F., Jr. Structural displacement measurement using an unmanned aerial system. Comput.-Aided Civ. Infrastruct. Eng. 2018, 33, 183–192. [Google Scholar] [CrossRef]
- Yoon, H.C.; Park, J.W.; Spencer, B.F., Jr.; Sim, S.H. Cross-correlation-based structural system identification using unmanned aerial vehicles. Sensors 2017, 17, 2075. [Google Scholar] [CrossRef]
- Hoskere, V.; Park, J.W.; Yoon, H.; Spencer, B.F., Jr. Vision-Based Modal Survey of Civil Infrastructure Using Unmanned Aerial Vehicles. J. Struct. Eng. 2019, 145, 04019062. [Google Scholar] [CrossRef]
- Ribeiro, D.; Silva, A.; Figueiredo, E.; Calçadaact st, R. Non-contructural displacement measurement using Unmanned Aerial Vehicles and video-based systems. Mech. Syst. Signal Process. 2021, 160, 107869. [Google Scholar] [CrossRef]
- Weng, Y.F.; Li, H.N.; Song, Q.S.; Zhang, L. Homography-based structural displacement measurement for large structures using unmanned aerial vehicles. Comput.-Aided Civ. Infrastruct. Eng. 2021, 36, 1114–1128. [Google Scholar] [CrossRef]
- Xing, L.; Dai, W.J. A Robust Detection and Localization Method for Cross Markers Oriented to Visual Measurement. Surv. Mapp. Sci. 2022, 47, 58–64. [Google Scholar] [CrossRef]
- Xing, L.; Dai, W.J.; Zhang, Y.S. Scheimpflug Camera-Based Technique for Multi-Point Displacement Monitoring of Bridges. Sensors 2022, 22, 4093. [Google Scholar] [CrossRef]





















| Equipment | Specifications |
|---|---|
| UAV-mounted camera | Pixel size: 5.86 μm Resolution: 1920 × 1200 Acquisition frequency: ≤165 FPS Focal length: 85 mm |
| Computing terminal | CPU: Core i3-N305 RAM: 32 G |
| Targets | Size: 3 L × 2 L |
| UAV | Maximum payload: 5 kg Full-load endurance: 25 min Positioning accuracy: ≤0.1 m |
| Equipment | Parameter | Quantity |
|---|---|---|
| UAV-mounted camera | Resolution: 1920 × 1200 Focal length: 85 mm | 1 |
| Fixed camera | Resolution: 720 × 540 Focal length: 8 mm | 1 |
| Steel ruler | 3 m | 1 |
| Target and scaffold | Size: 20 × 30 cm | 5 |
| Translation slide table | Travel range: 0–3 cm | 1 |
| Target Number | Horizontal x-Direction Displacement | Vertical y-Direction Displacement | ||||
|---|---|---|---|---|---|---|
| Before Correction | After Correction | RMSE Improvement Rate (%) | Before Correction | After Correction | RMSE Improvement Rate (%) | |
| T2 | 99.82 | 0.14 | 99 | 365.77 | 0.11 | 99 |
| T3 | 123.57 | 0.21 | 99 | 462.58 | 0.19 | 99 |
| T4 | 144.91 | 0.15 | 99 | 516.08 | 0.25 | 99 |
| Target Number | Vertical Displacement Measurement Result |
|---|---|
| T2 | 0.18 |
| T3 | 0.25 |
| T4 | 0.29 |
Disclaimer/Publisher’s Note: The statements, opinions and data contained in all publications are solely those of the individual author(s) and contributor(s) and not of MDPI and/or the editor(s). MDPI and/or the editor(s) disclaim responsibility for any injury to people or property resulting from any ideas, methods, instructions or products referred to in the content. |
© 2025 by the authors. Licensee MDPI, Basel, Switzerland. This article is an open access article distributed under the terms and conditions of the Creative Commons Attribution (CC BY) license.
Share and Cite
Pan, D.; Dai, W.; Xing, L.; Yu, Z.; Wu, J.; Zhang, Y. UAV Vision-Based Method for Multi-Point Displacement Measurement of Bridges. Sensors 2026, 26, 240. https://doi.org/10.3390/s26010240
Pan D, Dai W, Xing L, Yu Z, Wu J, Zhang Y. UAV Vision-Based Method for Multi-Point Displacement Measurement of Bridges. Sensors. 2026; 26(1):240. https://doi.org/10.3390/s26010240
Chicago/Turabian StylePan, Deyong, Wujiao Dai, Lei Xing, Zhiwu Yu, Jun Wu, and Yunsheng Zhang. 2026. "UAV Vision-Based Method for Multi-Point Displacement Measurement of Bridges" Sensors 26, no. 1: 240. https://doi.org/10.3390/s26010240
APA StylePan, D., Dai, W., Xing, L., Yu, Z., Wu, J., & Zhang, Y. (2026). UAV Vision-Based Method for Multi-Point Displacement Measurement of Bridges. Sensors, 26(1), 240. https://doi.org/10.3390/s26010240

