Blockchain-Based Incentive Mechanism for Electronic Medical Record Sharing Platform: An Evolutionary Game Approach
Abstract
1. Introduction
2. Related Work
2.1. EMRs Using Blockchain Technology
2.2. Evolutionary Game Theory
3. Preliminaries
3.1. Evolutionary Game Theory
3.2. Smart Contract
3.3. Reputation Mechanism
4. System Model
5. Incentives for EMRs Systems
5.1. Evolutionary Game Models
5.2. Benefit Expectations of Users and Research Institutions
5.3. ESS Analyses by Users and Research Institutions
- If and , the equilibrium satisfies the ESS condition;
- If , the equilibrium behaves as a saddle point;
- If and , the equilibrium is unstable.
6. Numerical Simulation
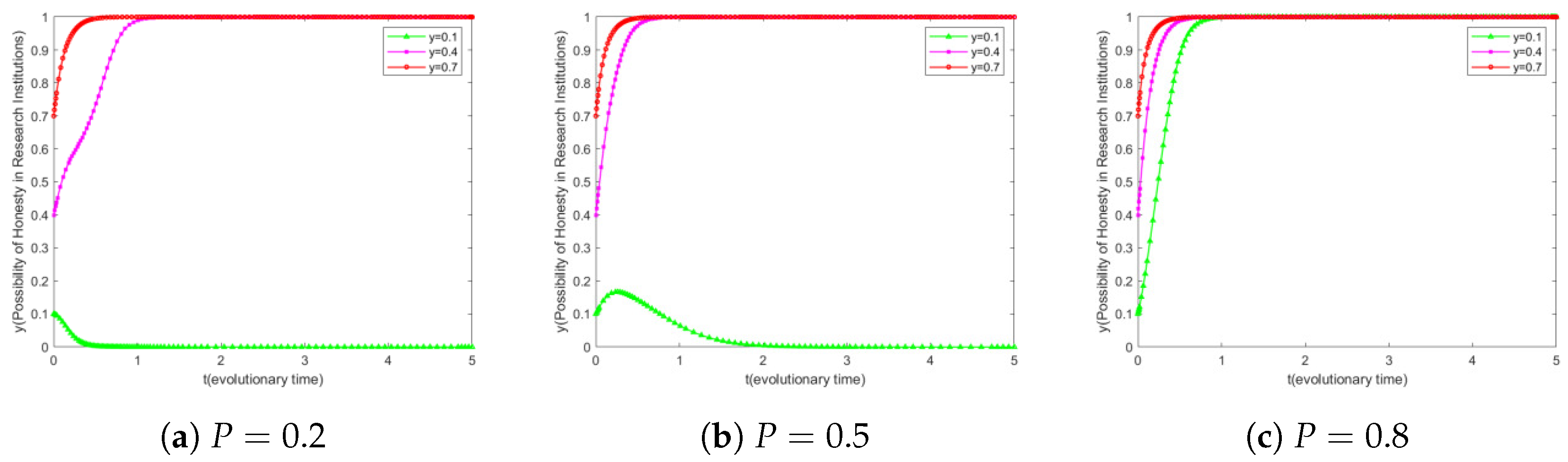
6.1. Impact of P on the Evolution of Scientific Institutions
6.2. Impact of Z on User Evolution
6.3. Impact of V on User Evolution
6.4. Effect of and on System Evolution
6.5. Discussion
Author Contributions
Funding
Institutional Review Board Statement
Informed Consent Statement
Data Availability Statement
Conflicts of Interest
References
- Flanagin, A.; Curfman, G.; Bibbins-Domingo, K. Data sharing and the growth of medical knowledge. JAMA 2022, 328, 2398–2399. [Google Scholar] [CrossRef]
- Li, X.; Cong, Y. Exploring barriers and ethical challenges to medical data sharing: Perspectives from Chinese researchers. BMC Med. Ethics 2024, 25, 132. [Google Scholar] [CrossRef]
- Yanamadala, S.; Morrison, D.; Curtin, C.; McDonald, K.; Hernandez-Boussard, T. Electronic health records and quality of care: An observational study modeling impact on mortality, readmissions, and complications. Medicine 2016, 95, e3332. [Google Scholar] [CrossRef]
- Alzubi, J.A.; Alzubi, O.A.; Singh, A.; Ramachandran, M. Cloud-IIoT-based electronic health record privacy-preserving by CNN and blockchain-enabled federated learning. IEEE Trans. Ind. Inform. 2022, 19, 1080–1087. [Google Scholar] [CrossRef]
- Shahnaz, A.; Qamar, U.; Khalid, A. Using blockchain for electronic health records. IEEE Access 2019, 7, 147782–147795. [Google Scholar] [CrossRef]
- Al Mamun, A.; Azam, S.; Gritti, C. Blockchain-based electronic health records management: A comprehensive review and future research direction. IEEE Access 2022, 10, 5768–5789. [Google Scholar] [CrossRef]
- Tith, D.; Lee, J.S.; Suzuki, H.; Wijesundara, W.; Taira, N.; Obi, T.; Ohyama, N. Application of blockchain to maintaining patient records in electronic health record for enhanced privacy, scalability, and availability. Healthc. Inform. Res. 2020, 26, 3–12. [Google Scholar] [CrossRef]
- Mayer, A.H.; da Costa, C.A.; Righi, R.d.R. Electronic Health Records in a Blockchain: A Systematic Review. Health Inform. J. 2020, 26, 1273–1288. [Google Scholar] [CrossRef]
- Usman, M.; Qamar, U. Secure electronic medical records storage and sharing using blockchain technology. Procedia Comput. Sci. 2020, 174, 321–327. [Google Scholar] [CrossRef]
- Cerchione, R.; Centobelli, P.; Riccio, E.; Abbate, S.; Oropallo, E. Blockchain’s coming to hospital to digitalize healthcare services: Designing a distributed electronic health record ecosystem. Technovation 2023, 120, 102480. [Google Scholar] [CrossRef]
- Dubovitskaya, A.; Xu, Z.; Ryu, S.; Schumacher, M.; Wang, F. Secure and trustable electronic medical records sharing using blockchain. In Proceedings of the AMIA Annual Symposium Proceedings, San Francisco, CA, USA, 3–7 November 2018; American Medical Informatics Association: Bethesda, MD, USA, 2018; Volume 2017, p. 650. [Google Scholar]
- Han, R.; Yan, Z.; Liang, X.; Yang, L.T. How can incentive mechanisms and blockchain benefit with each other? a survey. ACM Comput. Surv. 2022, 55, 1–38. [Google Scholar] [CrossRef]
- Zhao, R.; Yang, L.T.; Liu, D.; Deng, X.; Mo, Y. A tensor-based truthful incentive mechanism for blockchain-enabled space-air-ground integrated vehicular crowdsensing. IEEE Trans. Intell. Transp. Syst. 2022, 23, 2853–2862. [Google Scholar] [CrossRef]
- Zhu, L.; Dong, H.; Shen, M.; Gai, K. An Incentive Mechanism Using Shapley Value for Blockchain-Based Medical Data Sharing. In Proceedings of the 2019 IEEE 5th Intl Conference on Big Data Security on Cloud (BigDataSecurity), IEEE Intl Conference on High Performance and Smart Computing (HPSC), and IEEE Intl Conference on Intelligent Data and Security (IDS), Washington, DC, USA, 27–29 May 2019; pp. 113–118. [Google Scholar]
- Esmaeilzadeh, P.; Mirzaei, T. Role of incentives in the use of blockchain-based platforms for sharing sensitive health data: Experimental study. J. Med. Internet Res. 2023, 25, e41805. [Google Scholar] [CrossRef]
- Cai, T.; Lin, H.; Chen, W.H.; Zheng, Z.B.; Yu, Y. Efficient Blockchain-empowered Data Sharing Incentive Scheme for Internet of Things. J. Softw. 2021, 32, 953–972. [Google Scholar] [CrossRef]
- Seh, A.; Zarour, M.; Alenezi, M.; Sarkar, A.; Agrawal, A.; Kumar, R.; Ahmad Khan, R. Healthcare data breaches: Insights and implications. Healthcare 2020, 8, 133. [Google Scholar] [CrossRef]
- Shen, M.; Duan, J.; Zhu, L.; Zhang, J.; Du, X.; Guizani, M. Blockchain-based incentives for secure and collaborative data sharing in multiple clouds. IEEE J. Sel. Areas Commun. 2020, 38, 1229–1241. [Google Scholar] [CrossRef]
- Liu, Y.; Liu, Z.; Zhang, Q.; Su, J.; Cai, Z.; Li, X. Blockchain and trusted reputation assessment-based incentive mechanism for healthcare services. Future Gener. Comput. Syst. 2024, 154, 59–71. [Google Scholar] [CrossRef]
- Purohit, S.; Calyam, P.; Alarcon, M.L.; Bhamidipati, N.R.; Mosa, A.; Salah, K. HonestChain: Consortium blockchain for protected data sharing in health information systems. Peer-To-Peer Netw. Appl. 2021, 14, 3012–3028. [Google Scholar] [CrossRef]
- Zou, R.; Lv, X.; Zhao, J. SPChain: Blockchain-based medical data sharing and privacy-preserving eHealth system. Inf. Process. Manag. 2021, 58, 102604. [Google Scholar] [CrossRef]
- Weibull, J.W. Evolutionary Game Theory; MIT Press: Cambridge, MA, USA, 1997. [Google Scholar]
- Motepalli, S.; Jacobsen, H.A. Reward mechanism for blockchains using evolutionary game theory. In Proceedings of the 2021 3rd Conference on Blockchain Research & Applications for Innovative Networks and Services (BRAINS), Paris, France, 27–30 September 2021; pp. 217–224. [Google Scholar]
- Ferreira, J.C.; Elvas, L.B.; Correia, R.; Mascarenhas, M. Enhancing EHR Interoperability and Security through Distributed Ledger Technology: A Review. Healthcare 2024, 12, 1967. [Google Scholar] [CrossRef]
- Simonoski, O.; Bogatinoska, D.C. Block MedCare: Advancing healthcare through blockchain integration with AI and IoT. arXiv 2024, arXiv:2412.02851. [Google Scholar]
- Gan, C.; Saini, A.; Zhu, Q.; Xiang, Y.; Zhang, Z. Blockchain-based access control scheme with incentive mechanism for eHealth systems: Patient as supervisor. Multimed. Tools Appl. 2021, 80, 30605–30621. [Google Scholar] [CrossRef]
- Hofbauer, J.; Sandholm, W.H. Stable games and their dynamics. J. Econ. Theory 2009, 144, 1665–1693. [Google Scholar] [CrossRef]
- Liu, X.; Wang, W.; Niyato, D.; Zhao, N.; Wang, P. Evolutionary game for mining pool selection in blockchain networks. IEEE Wirel. Commun. Lett. 2018, 7, 760–763. [Google Scholar] [CrossRef]
- Sun, J.; Zhao, R.; Yin, H.; Cai, W. Incentive Mechanism for Redactable Blockchain Governance: An Evolutionary Game Approach. IEEE Trans. Comput. Soc. Syst. 2024, 11, 6953–6965. [Google Scholar] [CrossRef]
- Zhang, J.; Wu, M. Cooperation mechanism in blockchain by evolutionary game theory. Complexity 2021, 2021, 1258730. [Google Scholar] [CrossRef]
- Xuan, S.; Zheng, L.; Chung, I.; Wang, W.; Man, D.; Du, X.; Yang, W.; Guizani, M. An incentive mechanism for data sharing based on blockchain with smart contracts. Comput. Electr. Eng. 2020, 83, 106587. [Google Scholar] [CrossRef]
- Jie, Y.; Liu, C.Z.; Choo, K.K.R.; Guo, C. An incentive compatible ZD strategy-based data sharing model for federated learning: A perspective of iterated prisoner’s dilemma. Eur. J. Oper. Res. 2024, 315, 764–776. [Google Scholar] [CrossRef]
- Smith, J.M.; Price, G.R. The logic of animal conflict. Nature 1973, 246, 15–18. [Google Scholar] [CrossRef]
- Nash, J.F. Non-cooperative games. In The Foundations of Price Theory Vol 4; Routledge: London, UK, 2024; pp. 329–340. [Google Scholar]
- North, D.C. Institutions, Institutional Change and Economic Performance; Cambridge University Press: Cambridge, UK, 1990. [Google Scholar]
- Akerlof, G.A. The market for “lemons”: Quality uncertainty and the market mechanism. In Uncertainty in Economics; Elsevier: Amsterdam, The Netherlands, 1978; pp. 235–251. [Google Scholar]
- Schuster, P.; Sigmund, K. Replicator dynamics. J. Theor. Biol. 1983, 100, 533–538. [Google Scholar] [CrossRef]
- Taylor, P.D.; Jonker, L.B. Evolutionary stable strategies and game dynamics. Math. Biosci. 1978, 40, 145–156. [Google Scholar] [CrossRef]
- Ashton, M.C.; Lee, K. Empirical, theoretical, and practical advantages of the HEXACO model of personality structure. Personal. Soc. Psychol. Rev. 2007, 11, 150–166. [Google Scholar] [CrossRef] [PubMed]







| Research | Target of Incentive | Incentive Measure | Incentive Differentiation | Dynamic Adaptability |
|---|---|---|---|---|
| [26] | Users | Token Reward | × | × |
| [19] | Users + Research institution | Dynamic Reputation | ✓ | × |
| [20] | Users + Research institution | Dynamic Reputation | ✓ | × |
| [21] | Research institution | Dynamic Reputation + Reward | ✓ | × |
| This Paper | Users + Research institution | Dynamic Reputation + Reward | ✓ | ✓ |
| Variate | Description |
|---|---|
| Z | Probability of EMRs platform checking out a user’s malicious uploads |
| P | Probability of EMRs platform checking the probability of malicious leaks from research organizations |
| The cost of malicious data uploads by users | |
| The cost to the user of honestly uploading data | |
| Benefits of malicious disclosure of real user data by research organizations | |
| Benefits to research organizations from users uploading honest data | |
| R | Maximum incentives paid to users by research organizations |
| D | Losses to users caused by the leakage of real user data by research organizations |
| T | Participant’s current credit score |
| Credibility of honest secrecy system rewards for research organizations | |
| Reputation for systematic penalties in the event of malicious disclosure by research organizations | |
| Reputation rewarded by the system for honest uploads by users | |
| Reputation for system penalties in case of malicious user leakage | |
| Credibility of initial system settings | |
| V | The coefficient by which the platform rewards users based on their reputation in the case of dynamic rewards and penalties |
| System dynamic incentive factor | |
| System dynamic penalty factor |
| User | |||
|---|---|---|---|
| Honest () | Malicious () | ||
| Research organization | Honest (y) | , | , |
| Malicious () | , | , | |
| Equilibrium Point | ||
|---|---|---|
| R | D | ||||||||
|---|---|---|---|---|---|---|---|---|---|
| 4 | 24 | 15 | 40 | 30 | 10 | 3 | 3 | 3 | 3 |
Disclaimer/Publisher’s Note: The statements, opinions and data contained in all publications are solely those of the individual author(s) and contributor(s) and not of MDPI and/or the editor(s). MDPI and/or the editor(s) disclaim responsibility for any injury to people or property resulting from any ideas, methods, instructions or products referred to in the content. |
© 2025 by the authors. Licensee MDPI, Basel, Switzerland. This article is an open access article distributed under the terms and conditions of the Creative Commons Attribution (CC BY) license (https://creativecommons.org/licenses/by/4.0/).
Share and Cite
Zhu, D.; Li, Y.; Zhou, Z.; Zhao, Z.; Kong, L.; Wu, J.; Zhao, J.; Zheng, J. Blockchain-Based Incentive Mechanism for Electronic Medical Record Sharing Platform: An Evolutionary Game Approach. Sensors 2025, 25, 1904. https://doi.org/10.3390/s25061904
Zhu D, Li Y, Zhou Z, Zhao Z, Kong L, Wu J, Zhao J, Zheng J. Blockchain-Based Incentive Mechanism for Electronic Medical Record Sharing Platform: An Evolutionary Game Approach. Sensors. 2025; 25(6):1904. https://doi.org/10.3390/s25061904
Chicago/Turabian StyleZhu, Dexin, Yuanbo Li, Zhiqiang Zhou, Zilong Zhao, Lingze Kong, Jianan Wu, Jian Zhao, and Jun Zheng. 2025. "Blockchain-Based Incentive Mechanism for Electronic Medical Record Sharing Platform: An Evolutionary Game Approach" Sensors 25, no. 6: 1904. https://doi.org/10.3390/s25061904
APA StyleZhu, D., Li, Y., Zhou, Z., Zhao, Z., Kong, L., Wu, J., Zhao, J., & Zheng, J. (2025). Blockchain-Based Incentive Mechanism for Electronic Medical Record Sharing Platform: An Evolutionary Game Approach. Sensors, 25(6), 1904. https://doi.org/10.3390/s25061904

