Multivariable Evaluation of Wireless Power Transfer in Electrified Pavements with Magnetite-Modified Asphalt Mixtures
Highlights
- Magnetite increased received power up to 13% and efficiency gains up to 2%.
- Thicker asphalt layers reduced transfer, but magnetite mitigated these losses.
- Magnetite mixtures maintain WPT performance under thicker layers.
- Multivariate analysis guides optimal design of electrified pavements.
Abstract
1. Introduction
2. Materials and Methods
2.1. Asphalt Mix Design
2.2. Pre-Test Conditioning Protocol
2.3. WPT Measurement Setup
2.4. Statistical Analysis
2.4.1. Data Preparation
2.4.2. Methodology for Multiple Linear Regression Models
2.4.3. Methodology for Random Forest Models
- Number of estimators (n_estimators): 10, 100, 200, and 300.
- Maximum depth (max_depth): 3, 5, 10, and 15.
3. Results
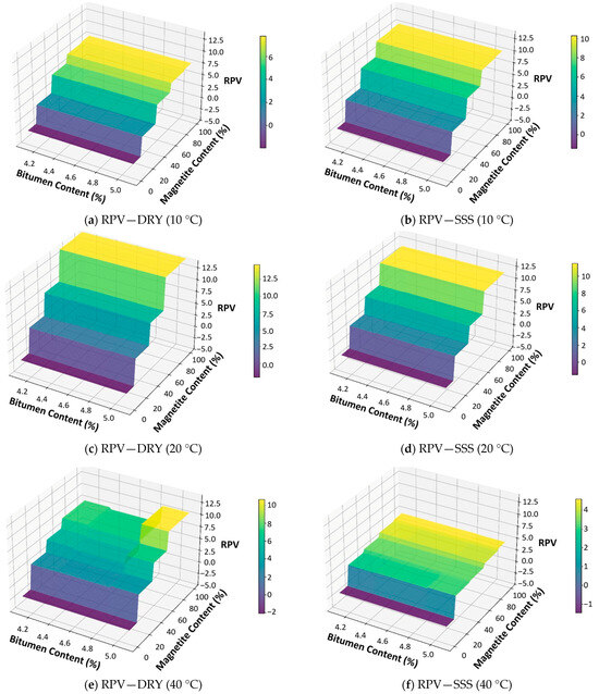
3.1. Multiple Linear Regression Models
3.2. Random Forest Models
4. Discussion
5. Conclusions
Author Contributions
Funding
Institutional Review Board Statement
Informed Consent Statement
Data Availability Statement
Acknowledgments
Conflicts of Interest
Abbreviations
| AC16 | Asphalt Concrete 16 mm | 
| CaCO3 | Calcium Carbonate | 
| CU | Charging Unit | 
| EV | Electric Vehicle | 
| DWPT | Dynamic Wireless Power Transfer | 
| Fe3O4 | Magnetite (Iron(II,III) Oxide) | 
| RPV | Received Power Variation | 
| RE | Relative Efficiency | 
| PTE | Power Transfer Efficiency | 
| SSD | Saturated Surface-Dry | 
| MLR | Multiple Linear Regression | 
| RF | Random Forest | 
| SHAP | SHapley Additive exPlanations | 
| PG-3 | Pliego de Prescripciones Técnicas Generales para Obras de Carreteras y Puentes (Spanish pavement specification) | 
| WPT | Wireless Power Transfer | 
References
- European Environment Agency. Annual European Union Greenhouse Gas Inventory 1990–2022 and Inventory Document 2024: First Submission Under the Enhanced Transparency Framework of the Paris Agreement; European Environment Agency: Copenhagen, Denmark, 2024. [Google Scholar]
- Institute For Health Metrics and Evaluation. Global Burden of Disease (GBD) Compare Tool. 2024. Available online: https://www.healthdata.org/research-analysis/gbd (accessed on 4 October 2025).
- World Health Organization. Ambient Air Pollution: Training for Health Care Providers; World Health Organization: Geneva, Switzerland, 2023. [Google Scholar]
- International Energy Agency. Global EV Outlook 2025. 2025. Available online: https://www.iea.org/reports/global-ev-outlook-2025 (accessed on 4 October 2025).
- International Energy Agency. Global EV Outlook 2024: Moving Towards Increased Affordability. Available online: https://www.iea.org/reports/global-ev-outlook-2024 (accessed on 15 November 2024).
- International Energy Agency. World Energy Outlook 2024. 2024. Available online: https://www.iea.org/reports/world-energy-outlook-2024 (accessed on 4 October 2025).
- Yao, Y.; Chen, X.; Li, J.; Hu, H.; Vizzari, D.; Peng, Y. Towards sustainable and efficient inductive charging pavement systems: Current progress and future directions. Constr. Build. Mater. 2024, 449, 138532. [Google Scholar] [CrossRef]
- Chen, F.; Taylor, N.; Kringos, N. Electrification of roads: Opportunities and challenges. Appl. Energy 2015, 150, 109–119. [Google Scholar] [CrossRef]
- Soares, L.; Wang, H. A study on renewed perspectives of electrified road for wireless power transfer of electric vehicles. Renew. Sustain. Energy Rev. 2022, 158, 112110. [Google Scholar] [CrossRef]
- Pahlavan, S.; Shooshtari, M.; Jafarabadi Ashtiani, S. Star-Shaped Coils in the Transmitter Array for Receiver Rotation Tolerance in Free-Moving Wireless Power Transfer Applications. Energies 2022, 15, 8643. [Google Scholar] [CrossRef]
- Shan, D.; Wang, H.; Cao, K.; Zhang, J. Wireless power transfer system with enhanced efficiency by using frequency reconfigurable metamaterial. Sci. Rep. 2022, 12, 331. [Google Scholar] [CrossRef]
- Li, S.; Mi, C.C. Wireless Power Transfer for Electric Vehicle Applications. IEEE J. Emerg. Sel. Top. Power Electron. 2015, 3, 4–17. [Google Scholar] [CrossRef]
- Panchal, C.; Stegen, S.; Lu, J. Review of static and dynamic wireless electric vehicle charging system. Eng. Sci. Technol. Int. J. 2018, 21, 922–937. [Google Scholar] [CrossRef]
- Kalwar, K.A.; Aamir, M.; Mekhilef, S. Inductively coupled power transfer (ICPT) for electric vehicle charging—A review. Renew. Sustain. Energy Rev. 2015, 47, 462–475. [Google Scholar] [CrossRef]
- Mahesh, A.; Chokkalingam, B.; Mihet-Popa, L. Inductive Wireless Power Transfer Charging for Electric Vehicles–A Review. IEEE Access 2021, 9, 137667–137713. [Google Scholar] [CrossRef]
- Guo, L.; Wang, H. A novel design of partially magnetized pavement for wireless power transfer to electric vehicles with improved efficiency and cost saving. Energy Convers. Manag. 2022, 252, 115080. [Google Scholar] [CrossRef]
- Chen, F.; Taylor, N.; Kringos, N.; Birgisson, B. A study on dielectric response of bitumen in the low-frequency range. Road Mater. Pavement Des. 2015, 16, 153–169. [Google Scholar] [CrossRef]
- Li, F.; Li, Y.; Zhou, S.; Chen, Y.; Sun, X.; Deng, Y. Wireless power transfer tuning model of electric vehicles with pavement materials as transmission media for energy conservation. Appl. Energy 2022, 323, 119631. [Google Scholar] [CrossRef]
- Zhai, Y.; Zhong, Y.; Zhang, B.; Li, X. Investigating the sensitivity of mineral aggregate size on the dielectric response of asphalt concrete based on a multiscale experiment. AIP Adv. 2022, 12, 035314. [Google Scholar] [CrossRef]
- Abufares, L.; Al-Qadi, I.L. Development of Aggregate Dielectric Constant Database Protocol for Asphalt Concrete Density Prediction. Transp. Res. Rec. J. Transp. Res. Board 2024, 2678, 376–388. [Google Scholar] [CrossRef]
- Li, Y.; Li, F.; Zhou, S.; Ma, X.; Hou, Y. Development of soft magnetic composites for magnetized pavement to improve the efficiency of electric vehicle’s wireless power transfer. J. Clean. Prod. 2024, 459, 142446. [Google Scholar] [CrossRef]
- Fu, C.; Liu, K.; Liu, P.; Oeser, M. Experimental and numerical investigation of magnetic converge effect of magnetically conductive asphalt mixture. Constr. Build. Mater. 2022, 360, 129626. [Google Scholar] [CrossRef]
- Leiva-Padilla, P.; Moreno-Navarro, F.; Iglesias, G.; Rubio-Gamez, M.C. Interpretation of the Magnetic Field Signals Emitted by Encoded Asphalt Pavement Materials. Sustainability 2020, 12, 7300. [Google Scholar] [CrossRef]
- Edwards, K.A.T.; Al-Abed, S.H.; Hosseini, S.; Brake, N.A. Properties of a magnetic concrete core transformer for application in wireless power transfer systems. Constr. Build. Mater. 2019, 227, 117041. [Google Scholar] [CrossRef]
- Alexandre, N.P.; Freitas, A.D.L.; Uchoa, A.F.J.; Rocha, W.S.; Feitosa, J.P.M.; Soares, J.B.; Soares, S.A.; Loiola, A.R. The effect of incorporating magnetic fly ash in asphalt binders with respect to permanent deformation and fatigue. Constr. Build. Mater. 2024, 411, 134214. [Google Scholar] [CrossRef]
- Cui, X.; Sha, A.; Hu, L.; Liu, Z. Magnetite-Modified Asphalt Pavements in Wireless Power Transfer: Enhancing Efficiency and Minimizing Power Loss Through Material Optimization. Coatings 2025, 15, 593. [Google Scholar] [CrossRef]
- Yu, W.; Zhang, L.; Miao, Y.; Gong, Z.; Wang, S. Microwave Sensitivity Enhanced Asphalt Mastic with Magnetite Powder and Its Performance after Microwave Heating. Appl. Sci. 2023, 13, 8276. [Google Scholar] [CrossRef]
- Yu, X.; Luo, R.; Huang, T.; Wang, J.; Chen, Y. Dielectric properties of asphalt pavement materials based on the temperature field. Constr. Build. Mater. 2021, 303, 124409. [Google Scholar] [CrossRef]
- Ameri, M.; Sadeghiavaz, M. Using magnetite filler to enhance the microwave healing of asphalt mixtures. Case Stud. Constr. Mater. 2025, 22, e04341. [Google Scholar] [CrossRef]
- Mahmud, M.H.; Elmahmoud, W.; Barzegaran, M.R.; Brake, N. Efficient Wireless Power Charging of Electric Vehicle by Modifying the Magnetic Characteristics of the Transmitting Medium. IEEE Trans. Magn. 2017, 53, 1–5. [Google Scholar] [CrossRef]
- Rizelioglu, M.; Aksoy, A.; Ozturk, M.; Yigit, E. Aggregate gradation as a key parameter in optimizing asphalt mixtures for wireless energy transmission. Constr. Build. Mater. 2025, 487, 142106. [Google Scholar] [CrossRef]
- Moreno-Navarro, F.; Iglesias, G.R.; Rubio-Gámez, M.C. Development of mechanomutable asphalt binders for the construction of smart pavements. Mater. Des. 2015, 84, 100–109. [Google Scholar] [CrossRef]
- Al-Kheetan, M.J.; Azim, T.; Byzyka, J.; Ghaffar, S.H.; Rahman, M.M. Performance of magnetite-based stone mastic asphalt (SMA) as a superior surface course material. Constr. Build. Mater. 2022, 322, 126463. [Google Scholar] [CrossRef]
- Li, F.; Sun, X.; Zhou, S.; Chen, Y.; Hao, Z.; Yang, Z. Infrastructure Material Magnetization Impact Assessment of Wireless Power Transfer Pavement Based on Resonant Inductive Coupling. IEEE Trans. Intell. Transp. Syst. 2022, 23, 22400–22408. [Google Scholar] [CrossRef]
- Breiman, L. Random forests. Mach. Learn. 2001, 45, 5–32. [Google Scholar] [CrossRef]
- Omrani, M.A.; Babagoli, R.; Hasirchian, M. Predictive modeling of mechanical properties in cold recycled asphalt mixtures enhanced with industrial byproducts. Case Stud. Constr. Mater. 2025, e05202. [Google Scholar]









| Disclaimer/Publisher’s Note: The statements, opinions and data contained in all publications are solely those of the individual author(s) and contributor(s) and not of MDPI and/or the editor(s). MDPI and/or the editor(s) disclaim responsibility for any injury to people or property resulting from any ideas, methods, instructions or products referred to in the content. | 
© 2025 by the authors. Licensee MDPI, Basel, Switzerland. This article is an open access article distributed under the terms and conditions of the Creative Commons Attribution (CC BY) license (https://creativecommons.org/licenses/by/4.0/).
Share and Cite
Boada-Parra, G.; Gulisano, F.; Cubilla, D.; Gallego, J. Multivariable Evaluation of Wireless Power Transfer in Electrified Pavements with Magnetite-Modified Asphalt Mixtures. Sensors 2025, 25, 6646. https://doi.org/10.3390/s25216646
Boada-Parra G, Gulisano F, Cubilla D, Gallego J. Multivariable Evaluation of Wireless Power Transfer in Electrified Pavements with Magnetite-Modified Asphalt Mixtures. Sensors. 2025; 25(21):6646. https://doi.org/10.3390/s25216646
Chicago/Turabian StyleBoada-Parra, Gustavo, Federico Gulisano, Damaris Cubilla, and Juan Gallego. 2025. "Multivariable Evaluation of Wireless Power Transfer in Electrified Pavements with Magnetite-Modified Asphalt Mixtures" Sensors 25, no. 21: 6646. https://doi.org/10.3390/s25216646
APA StyleBoada-Parra, G., Gulisano, F., Cubilla, D., & Gallego, J. (2025). Multivariable Evaluation of Wireless Power Transfer in Electrified Pavements with Magnetite-Modified Asphalt Mixtures. Sensors, 25(21), 6646. https://doi.org/10.3390/s25216646
 
        




