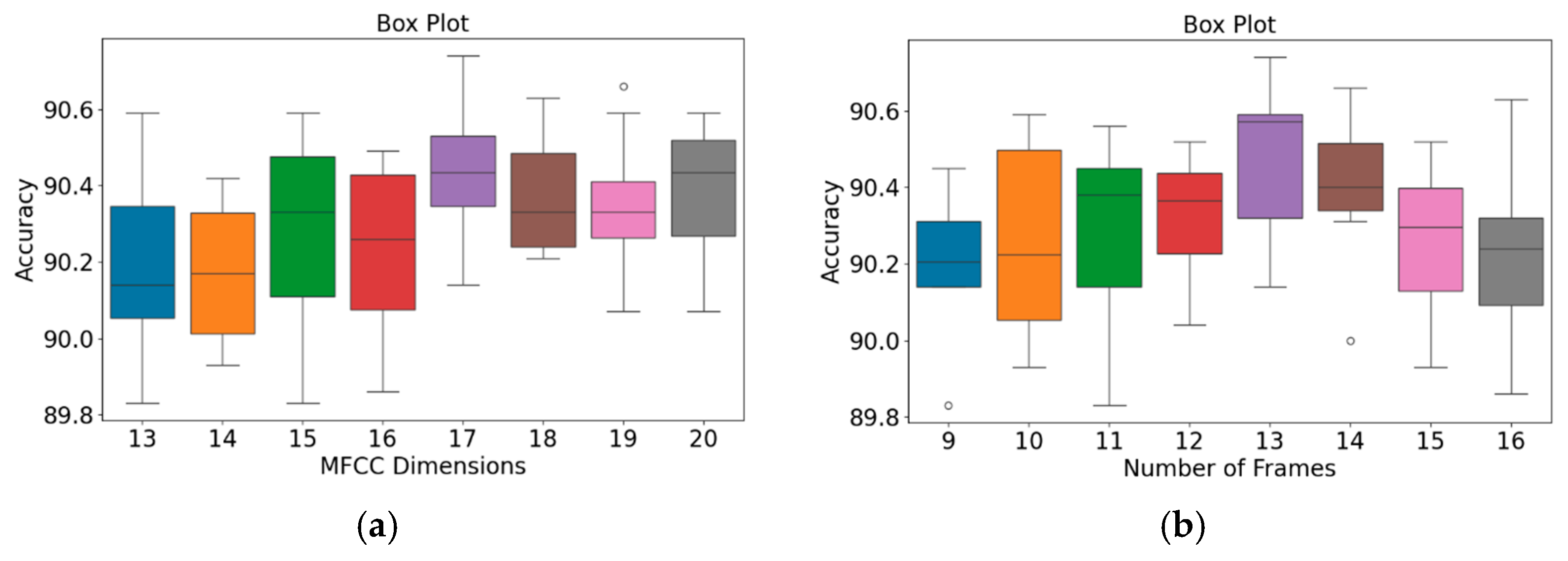
A Robust and Efficient Workflow for Heart Valve Disease Detection from PCG Signals: Integrating WCNN, MFCC Optimization, and Signal Quality Evaluation
Abstract
Share and Cite
Lai, S.-C.; Chang, Y.-C.; Hung, Y.-H.; Wang, S.-T.; Liang, Y.-F.; Hsu, L.-C.; Sheu, M.-H.; Chang, C.-Y. A Robust and Efficient Workflow for Heart Valve Disease Detection from PCG Signals: Integrating WCNN, MFCC Optimization, and Signal Quality Evaluation. Sensors 2025, 25, 6562. https://doi.org/10.3390/s25216562
Lai S-C, Chang Y-C, Hung Y-H, Wang S-T, Liang Y-F, Hsu L-C, Sheu M-H, Chang C-Y. A Robust and Efficient Workflow for Heart Valve Disease Detection from PCG Signals: Integrating WCNN, MFCC Optimization, and Signal Quality Evaluation. Sensors. 2025; 25(21):6562. https://doi.org/10.3390/s25216562
Chicago/Turabian StyleLai, Shin-Chi, Yen-Ching Chang, Ying-Hsiu Hung, Szu-Ting Wang, Yao-Feng Liang, Li-Chuan Hsu, Ming-Hwa Sheu, and Chuan-Yu Chang. 2025. "A Robust and Efficient Workflow for Heart Valve Disease Detection from PCG Signals: Integrating WCNN, MFCC Optimization, and Signal Quality Evaluation" Sensors 25, no. 21: 6562. https://doi.org/10.3390/s25216562
APA StyleLai, S.-C., Chang, Y.-C., Hung, Y.-H., Wang, S.-T., Liang, Y.-F., Hsu, L.-C., Sheu, M.-H., & Chang, C.-Y. (2025). A Robust and Efficient Workflow for Heart Valve Disease Detection from PCG Signals: Integrating WCNN, MFCC Optimization, and Signal Quality Evaluation. Sensors, 25(21), 6562. https://doi.org/10.3390/s25216562

