A Reconfigurable Memristor-Based Computing-in-Memory Circuit for Content-Addressable Memory in Sensor Systems
Abstract
1. Introduction
- Exploitation of the multi-level behavior of memristors to enable multi-bit CAM, significantly enhancing storage density and computational parallelism;
- A novel memristor read/write circuit design capable of achieving accurate and robust programming of memristor resistance states;
- By flexibly configuring the reference voltages, the architecture enables reconfigurable CAM functionality, including CAM and ACAM.
2. Methods
2.1. Architecture
- The PWM module converts the 3-bit input signal into a pulse signal, whose duty cycle is proportional to the value of the 3-bit input. The modulated PWM signal is then fed into the MUX;
- Based on the output from the PWM module, the MUX drives the corresponding word line high, selecting a specific row of memory cells;
- The 1T1R array adopts a common-top-electrode structure composed of 1T1R unit cells. The word lines are set high for row selection by enabling the transistors, while the bit lines are used to access the memristors in a given column and are connected to the readout circuit;
- The reference voltage generator produces two reference voltages based on the 3-bit input signal. These reference voltages are then used for subsequent comparison;
- Using capacitors and voltage comparators, the readout circuit compares the bit-line voltage to reference voltages and yield the result.
2.2. Reference Voltage Generator
2.3. Memristor Read/Write Circuit
2.4. TiN/TiOx/HfO2/TiN RRAM
3. Results
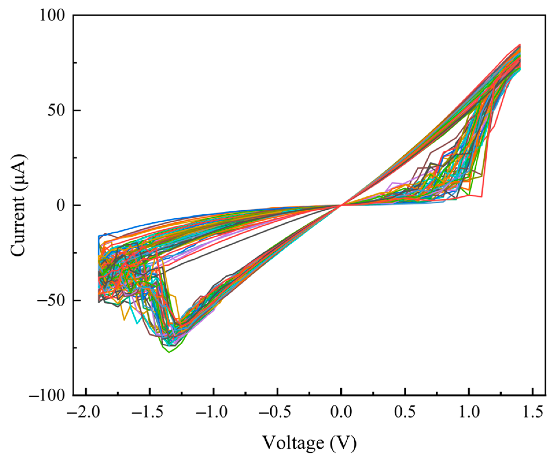
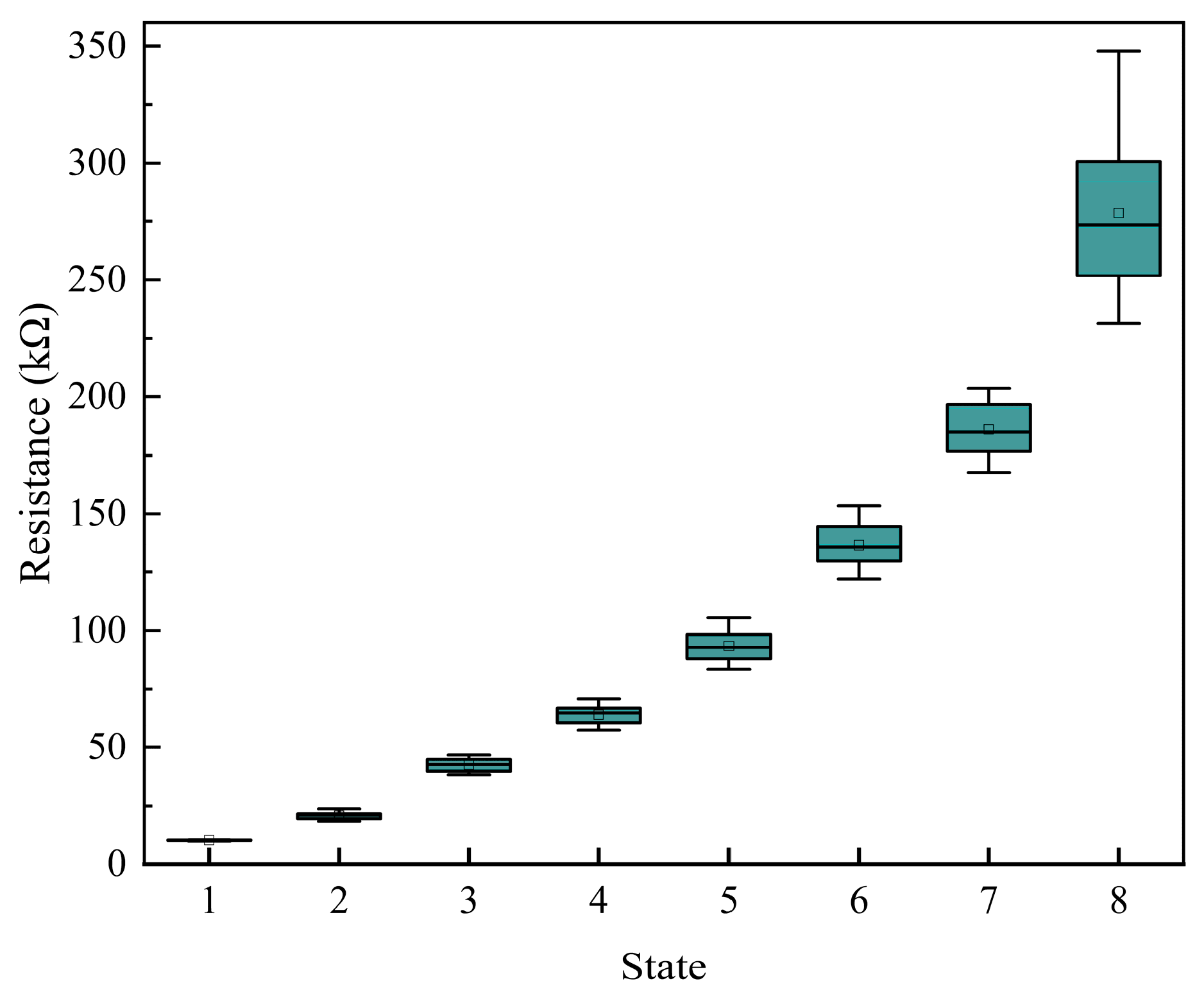
3.1. Memristor Resistance Distribution
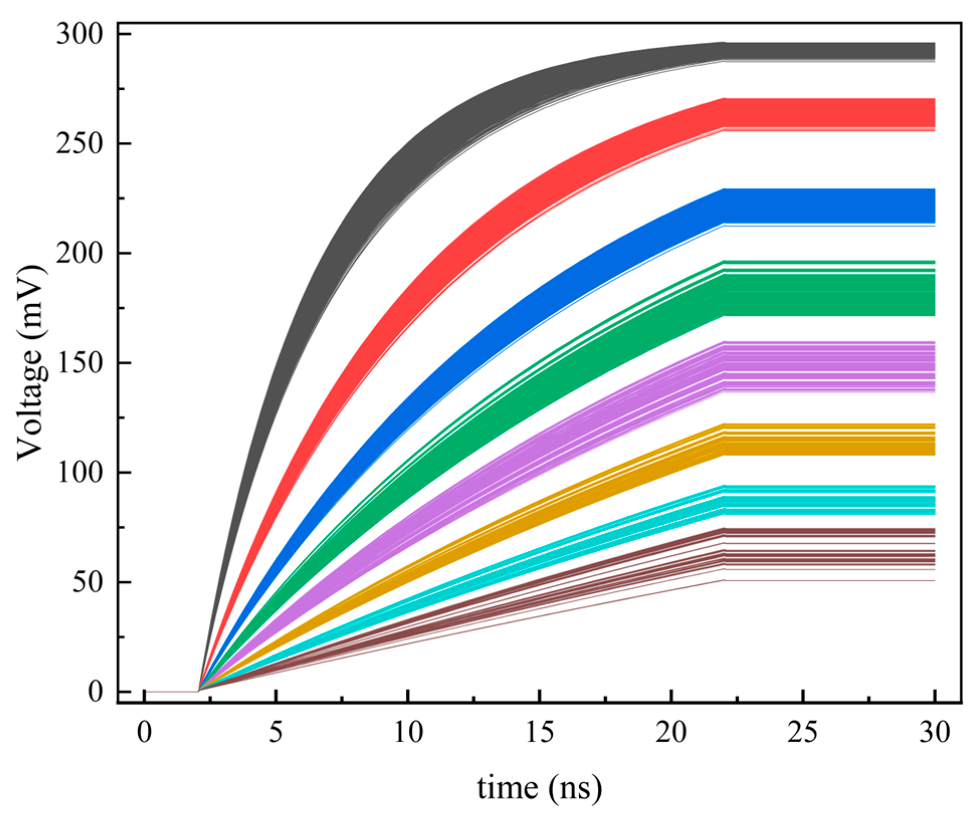
3.2. Voltage Waveforms
4. Discussion
4.1. Implementation of CAM/ACAM
- Hierarchical Search Strategy: This approach employs a two-stage search pipeline to optimize for recall and precision, respectively. The first stage utilizes a larger voltage window to scan the entire memory array, aiming to generate a candidate set while minimizing missed detections. The second stage then applies a significantly narrower voltage window exclusively to this candidate set, performing a fine-grained search to select the optimal match by increasing the matching standard, thereby effectively reducing mismatches;
- Feedback-based Closed-Loop Control: This strategy dynamically adjusts the voltage window in real-time based on system-monitored key metrics, such as the observed match rate or application-specific accuracy. The control algorithm will progressively tighten the threshold when a high mismatch rate is detected. Conversely, the threshold will be appropriately relaxed when a high missed-detection rate is suspected.
4.2. Performance Evaluation
- Device Yield: In our previous study [17], the fundamental yield of devices was measured to be 99.5% (Figure 9 of the reference). In the current work, we conducted eight-state programming tests on 50 randomly selected devices, with results showing no overlap in the resistance distributions across all states for any device. Considering these findings collectively, although exhaustive testing of all devices was not performed, we can reasonably infer that the yield of devices capable of being reliably programmed into eight non-overlapping states is no less than 99%.
- Limits on Stable States: The number of distinguishable states in memristors is not unbounded, as it is constrained by several critical factors. First, the memristor′s resistance window ratio (the ratio between its high- and low-resistance states) directly determines the upper limit of achievable stable states. A larger window ratio theoretically enables more intermediate states to be distinguished. Second, due to device-to-device variations within an array, the specific resistance value of a target state is subject to fluctuations. Furthermore, the performance of peripheral circuits, such as the magnitude of the read voltage and the precision of the read/write circuit (including comparator resolution and reference voltage stability), collectively forms the ultimate bottleneck limiting the number of distinguishable states.
- Trade-offs in Matching Mode Switching: At the chip level, integrating multiple DACs would introduce significant power and area overhead. To mitigate this, the proposed design employs only a single reference voltage generator, which requires operational mode switching. If these constraints are disregarded, distinct reference voltages could be applied to different columns, enabling separate implementation of CAM and ACAM functions across columns and thereby avoiding the need for dynamic reference voltage adjustment. The primary limitation on mode switching speed lies in the settling time of the DAC within the reference voltage generator. According to the datasheet of the DAC used, this delay is on the order of 10 μs.
- Read/Write Circuit Performance: Experimental measurements demonstrate that the proposed read/write circuit achieves a minimum programming pulse width of 5 μs, representing a three-order-of-magnitude improvement in speed compared to the 5 ms minimum pulse width of the SMU in a Keithley 4200-SCS parameter analyzer. In terms of power consumption, the total power of the current board-level system measures in the milliwatt range. However, this metric is strongly influenced by Printed Circuit Board (PCB) parasitics and therefore does not faithfully represent the power efficiency of the core circuit in an integrated-circuit implementation. Nevertheless, the intrinsic power characteristics can be analyzed: During read operations, the memristor operates in a low-current steady state, resulting in low and stable power dissipation. For instance, with a read voltage of 0.2 V applied to the low resistance state of 10.19 kΩ, the current is merely 19.63 μA, yielding a power dissipation of only 3.93 μW; During write operations, since the amplitude of the applied voltage pulse is fixed, the instantaneous power consumption is primarily determined by the memristor’s conductance—increasing during Set and decreasing during Reset. Notably, except for possible current spikes during the initial forming process, no power surges occur in subsequent standard programming operations, ensuring system reliability.
- Assessment of the Digital Control Logic: The digital control logic comprises four core modules: a 3-bit PWM block, a 36-to-1 word-line decoder with two-stage logic, a 192-bit LUT built from register arrays (8 addresses × 24 bits), and a priority encoder for match processing and address generation. The total equivalent gate count of these components is estimated to be 540 logic gates. Compared to the core overhead of the analog array and readout circuit, the area proportion of this digital control logic is entirely within an acceptable range. It should be noted, however, that this is only a rough estimate, and the precise digital overhead requires further validation in subsequent IC implementation and fabrication. It is particularly important to emphasize that linearity deviations in the PWM module do not substantially impact the overall system performance. The core function of this module is to adaptively adjust the charging time based on fluctuations in the RC time constant to ensure computational accuracy. Even if its output exhibits certain non-linearity, this can be compensated for by appropriately expanding the tolerance range of the reference voltage, thereby guaranteeing the accuracy of the computational results. Consequently, the linearity of the PWM does not directly impact overall system performance. Furthermore, while the PWM control signal (generated by an Field-Programmable Gate Array, FPGA) exhibits fixed rise/fall times that systematically affect the effective pulse width, this fixed offset can be calibrated out. Additionally, with jitter at the nanosecond level—significantly smaller than the pulse widths used—its influence remains negligible.
- Performance Metrics Projection: This research primarily focuses on proposing a novel computing-in-memory paradigm and demonstrating its proof-of-concept validation. Given the current stage of development, a comprehensive system-level performance evaluation has not yet been conducted. However, based on existing experimental data, the following performance metrics can be prospectively estimated:
- Latency: Based on the circuit architecture presented, the primary sources of delay reside in the RC charging phase and comparator response. With reference to the approximately 20 ns charging delay shown in Figure 13 and the typical 40 ns delay specified in the comparator datasheet, we estimate the system′s single-operation latency to be within 100 ns;
- Power Consumption: Due to the inclusion of non-core circuit power consumption such as PCB parasitics in the current board-level implementation, the measured total energy efficiency cannot accurately represent the level achievable in an integrated circuit implementation. Based on the principles of computing-in-memory and recent related research, we estimate that the energy consumption per search operation of this scheme could reach the tens of picojoules level when implemented as an integrated circuit.
- Error Rates: System level bit error rate statistics under continuous real data streams have not been conducted in this study. However, key parameters obtained from current testing, including device stability and consistency as well as the precise writing procedures of the read/write circuit, form the fundamental basis for ensuring computational accuracy.
- Throughput Consideration: The present proof-of-concept demonstration, implemented on a small-scale memristor array, does not support comprehensive evaluation of system throughput. Accurate characterization of throughput performance will require extensive system-level simulations of large-scale arrays in future work, which represents a critical direction for our subsequent research.
4.3. Scalability Challenges and Future Perspectives
- Array Scalability Constraints: With increasing array row count, the parallel parasitic capacitance along bit lines raises the total capacitive load, directly affecting the RC time constant and introducing systematic deviations in multi-level computation accuracy. Concurrently, as the array column count expands, the growing load capacitance at the reference voltage node degrades the DAC′s settling speed, consequently constraining the dynamic response of CAM/ACAM mode switching.
- Multi-Level Storage Stability: While the current read/write circuit meets the resistance programming requirements in the 50-device test array, significant challenges emerge with array scaling or increased state numbers. Device-to-device variations become more pronounced under these conditions, imposing stricter demands on programming accuracy and tolerance control during write-verify operations. Furthermore, read disturbance effects introduce additional resistance drift, particularly affecting low-resistance states which demonstrate higher sensitivity to electrical stress. The inherent device disparities cause broadening of resistance distributions, directly compromising the reliability and state distinguishability in multi-level storage.
- Coding Time Overhead: As the scale increases, the most significant growth occurs in device programming time. Performing write-verify operations sequentially for each device in the array would require prohibitively long durations, severely constraining coding efficiency.
- Process Integration: First, the heterogeneous integration of memristors with standard CMOS processes inherently faces compatibility issues in materials and thermal budgets. Second, as the array scale increases, minor process variations become significantly amplified, causing substantial deviations in device characteristics across different regions and severely compromising overall uniformity. Finally, during packaging, the thermal effects of packaging materials on the temperature distribution of the array further exacerbate performance variations among devices, making system-level performance optimization exceedingly complex.
- Device-Level Enhancements: We will explore memristor materials with wider conductance windows and a greater number of distinguishable states, while conducting in-depth research to improve device-to-device uniformity within arrays. A systematic investigation into device reliability will be performed to understand failure statistics and mechanisms, enabling circuit designs that inherently compensate for these effects. Furthermore, we will develop memristor material systems with improved compatibility with standard CMOS processes to facilitate large-scale integration;
- Circuit-Level Innovations: The read/write circuit will be enhanced to support memristors with increased state capacity, achieving sub-millivolt precision in read/write operations. These improvements will be coupled with adaptive compensation algorithms to suppress system-level variations. Additionally, we will develop novel write circuits capable of programming multiple memristors in parallel, significantly improving programming efficiency for large-scale arrays.
- Algorithm and Architecture Improvements: We will refine the approximate matching algorithms for ACAM to enhance robustness against noise and drift-induced false positives/negatives. To address reliability concerns from device failures, we will incorporate system-level protection mechanisms such as Error-Correcting Codes (ECC) and redundancy schemes.
- Implementation and Validation: Our ultimate goal is to realize the complete system architecture through Application-Specific Integrated Circuit (ASIC) implementation to validate its efficacy in practical applications. In specific biosensing scenarios such as wearable sweat monitoring [38] and single-cell electrochemotherapy efficacy assessment [39], our computing-in-memory architecture can serve as the core data processing unit. By integrating with such highly sensitive biosensor front-ends, a complete sensing-computation-decision system can be constructed: raw physiological data captured by the sensors (e.g., resonant frequency shifts caused by sweat composition changes, or variations in cellular dielectric properties) can be directly processed through real-time, high-efficiency matching and recognition in our ACAM system, enabling immediate assessment of physiological status or treatment effectiveness on edge devices. This implementation pathway will be co-optimized with ultra-low-power design to meet the stringent energy efficiency requirements of such long-term, autonomous monitoring applications [40]. We plan to conduct comprehensive characterization and validation of system performance (including latency, throughput, energy efficiency, error rate, and area) under these biomedical monitoring paradigms post-tape-out.
5. Conclusions
Author Contributions
Funding
Data Availability Statement
Acknowledgments
Conflicts of Interest
Abbreviations
| ACAM | Approximate Content-Addressable Memory |
| ADC | Analog-to-Digital Converter |
| ANNS | Approximate Nearest Neighbor Search |
| ASIC | Application-Specific Integrated Circuit |
| CAM | Content-Addressable Memory |
| CIM | Computing-In-Memory |
| CMOS | Complementary Metal-Oxide-Semiconductor |
| DAC | Digital-to-Analog Converter |
| DUT | Device Under Test |
| ECC | Error-Correcting Codes |
| EDS | Energy Dispersive X-ray Spectroscopy |
| FPGA | Field-Programmable Gate Array |
| IoT | Internet of Things |
| LLMs | Large Language Models |
| LUT | Look-Up Table |
| MCU | Microcontroller Unit |
| MUX | Multiplexer |
| PCB | Printed Circuit Board |
| PWM | Pulse-Width Modulation |
| RRAM | Resistive Random-Access Memory |
| 1T1R | One-Transistor-One-RRAM |
References
- Zhang, J.; Sadredini, E. Inhale: Enabling High-Performance and Energy-Efficient In-SRAM Cryptographic Hash for IoT. In Proceedings of the 2022 IEEE/ACM International Conference on Computer Aided Design (ICCAD), San Diego, CA, USA, 30 October–3 November 2022; pp. 1–9. [Google Scholar]
- Lu, X.; Chen, S.; Pang, Z.; Sun, S.; Yin, X.; Zhuo, C. In-Memory Multi-Bit Multiplication and Accumulation (MAC) Using FeFET for Energy Efficient IoT. In Proceedings of the 2022 2nd International Conference on Intelligent Technology and Embedded Systems (ICITES), Chengdu, China, 23–26 September 2022; pp. 27–33. [Google Scholar]
- Li, H.; Shou, G. Synergetic Node of Edge Computing and Hybrid Fibre-Wireless (FiWi) Access Networks for IoT. In Proceedings of the 2019 IEEE 30th Annual International Symposium on Personal, Indoor and Mobile Radio Communications (PIMRC), Istanbul, Turkey, 8–11 September 2019; pp. 1–6. [Google Scholar]
- Shuvo, M.M.H.; Islam, S.K.; Cheng, J.; Morshed, B.I. Efficient Acceleration of Deep Learning Inference on Resource-Constrained Edge Devices: A Review. Proc. IEEE 2022, 111, 42–91. [Google Scholar] [CrossRef]
- Marchesin, A.; Turvani, G.; Coluccio, A.; Riente, F.; Vacca, M.; Roch, M.R.; Graziano, M.; Zamboni, M. Octantis: An Exploration Tool for Beyond von Neumann architectures. In Proceedings of the 2021 16th International Conference on Design & Technology of Integrated Systems in Nanoscale Era (DTIS), Montpellier, France, 28–30 June 2021; pp. 1–5. [Google Scholar]
- Marchesin, A.; Naclerio, A.; Riente, F.; Graziano, M. Beyond Von Neumann Architectures: Exploring Algorithmic Opportunities via Octantis. IEEE Access 2024, 12, 120005–120022. [Google Scholar] [CrossRef]
- Hsu, H.-H.; Wen, T.-H.; Wu, P.-C.; Jhang, C.-J.; You, D.-Q.; Chen, P.-C.; Chang, M.-F. Challenges in Circuits of Nonvolatile Compute-In-Memory for Edge AI Chips. In Proceedings of the 2023 IEEE 66th International Midwest Symposium on Circuits and Systems (MWSCAS), Tempe, AZ, USA, 6–9 August 2023; pp. 98–102. [Google Scholar]
- Xue, C.-X.; Chang, M.-F. Challenges in Circuit Designs of Nonvolatile-memory based computing-in-memory for AI Edge Devices. In Proceedings of the 2019 International SoC Design Conference (ISOCC), Jeju, Republic of Korea, 6–9 October 2019; pp. 164–165. [Google Scholar]
- Si, X.; Xue, C.-X.; Su, J.-W.; Zhang, Z.; Li, S.-H.; Sheu, S.-S.; Lee, H.-Y.; Chen, P.-C.; Wu, H.; Qian, H.; et al. Circuit Design Challenges in Computing-in-Memory for AI Edge Devices. In Proceedings of the 2019 IEEE 13th International Conference on ASIC (ASICON), Chongqing, China, 30 October–1 November 2019; pp. 1–4. [Google Scholar]
- Chang, L.; Li, C.; Zhao, X.; Zhu, Z.; Tong, Y.; Lin, S.; Zhou, J. Trend of Emerging Non-Volatile Memory for AI Processor. In Proceedings of the 2021 18th International SoC Design Conference (ISOCC), Jeju Island, Republic of Korea, 6–9 October 2021; pp. 223–224. [Google Scholar]
- Shooshtari, M.; Kim, S.; Pahlavan, S.; Rivera-Sierra, G.; Través, M.J.; Serrano-Gotarredona, T.; Bisquert, J.; Linares-Barranco, B. Advancing Logic Circuits with Halide Perovskite Memristors for Next-Generation Digital Systems. SmartMat 2025, 6, e70032. [Google Scholar] [CrossRef]
- Wang, Z.; Nalla, P.S.; Krishnan, G.; Joshi, R.V.; Cady, N.C.; Fan, D.; Seo, J.-S.; Cao, Y. Digital-Assisted Analog In-Memory Computing with RRAM Devices. In Proceedings of the 2023 International VLSI Symposium on Technology, Systems and Applications (VLSI-TSA/VLSI-DAT), HsinChu, Taiwan, 17–20 April 2023; pp. 1–4. [Google Scholar]
- Gu, H.; Wang, Z.; Li, J.; Ding, H.; Shan, L.; Bao, L.; Liang, L.; Cai, Y.; Huang, R. Invited Paper: Design of an RRAM In-Memory Computing Scheme for Target Tracking Applications. In Proceedings of the 2024 IEEE International Conference on Integrated Circuits, Technologies and Applications (ICTA), Hangzhou, China, 25–27 October 2024; pp. 196–199. [Google Scholar]
- Deng, J.; Zhou, K.; Yang, H.; Yu, C.; Yang, J. A High-Density RRAM-Based Ising Machine with Analog In-Memory Operation for Solving Combinatorial Optimization Problems. In Proceedings of the 2025 IEEE International Symposium on Circuits and Systems (ISCAS), London, UK, 25–28 May 2025; pp. 1–5. [Google Scholar]
- Guo, H.; Li, Y.; Ren, T.; Dong, C.; Wang, L.; Zhao, Y.; Zhang, Y. A RRAM Based 9T1R NVSRAM for Low-Power Computing in Memory. In Proceedings of the 2024 IEEE 17th International Conference on Solid-State & Integrated Circuit Technology (ICSICT), Zhuhai, China, 22–25 October 2024; pp. 1–3. [Google Scholar]
- Dongre, A.; Boro, B.; Trivedi, G. ADC-Less Reprogrammable RRAM Array Architecture for In-Memory Computing. IEEE Trans. Very Large Scale Integr. (VLSI) Syst. 2023, 31, 2053–2060. [Google Scholar] [CrossRef]
- Wang, J.; Zhang, T.; Liu, S.; Liu, Y.; Wu, Y.; Hu, S.; Chen, T.; Liu, Y.; Yang, Y.; Huang, R. Design and Implementation of a Hybrid, ADC/DAC-Free, Input-Sparsity-Aware, Precision Reconfigurable RRAM Processing-in-Memory Chip. IEEE J. Solid-State Circuits 2023, 59, 595–604. [Google Scholar] [CrossRef]
- Moorthii, C.; Singla, A.; Suri, M. DNA-CIM: DNA Sequence Analysis Using RRAM-Based Compute In-Memory Accelerator. In Proceedings of the 2025 38th International Conference on VLSI Design and 2024 23rd International Conference on Embedded Systems (VLSID), Bangalore, India, 4–8 January 2025; pp. 314–319. [Google Scholar]
- Oh, H.; Kim, H.; Kang, N.; Kim, Y.; Park, J.; Kim, J.-J. Single RRAM Cell-based In-Memory Accelerator Architecture for Binary Neural Networks. In Proceedings of the 2021 IEEE 3rd International Conference on Artificial Intelligence Circuits and Systems (AICAS), Washington DC, USA, 6–9 June 2021; pp. 1–4. [Google Scholar]
- Jia, R.; Pechmann, S.; Markus, F.; Wenger, C.; Zhang, L.; Hagelauer, A. Soft-Error Analysis of RRAM 1T1R Compute-In-Memory Core for Artificial Neural Networks. In Proceedings of the 2024 39th Conference on Design of Circuits and Integrated Systems (DCIS), Catania, Italy, 13–15 November 2024; pp. 1–5. [Google Scholar]
- Wang, Z.; Li, Y.; Su, Y.-T.; Zhou, Y.; Yin, K.; Cheng, L.; Chang, T.-C.; Xue, K.; Sze, S.; Miao, X. Implementation of Functionally Complete Boolean Logic and 8-Bit Adder in CMOS Compatible 1T1R RRAMs for In-Memory Computing. In Proceedings of the 2018 IEEE International Memory Workshop (IMW), Kyoto, Japan, 13–16 May 2018; pp. 1–4. [Google Scholar]
- Prakash, A.; Park, J.; Song, J.; Woo, J.; Cha, E.-J.; Hwang, H. Demonstration of Low Power 3-bit Multilevel Cell Characteristics in a TaOx-Based RRAM by Stack Engineering. IEEE Electron Device Lett. 2014, 36, 32–34. [Google Scholar] [CrossRef]
- Zhang, F.; Zhang, H.; Shrestha, P.; Zhu, Y.; Maize, K.; Krylyuk, S.; Shakouri, A.; Campbell, J.; Cheung, K.; Bendersky, L.; et al. An Ultra-fast Multi-level MoTe2-based RRAM. In Proceedings of the 2018 IEEE International Electron Devices Meeting (IEDM), San Francisco, CA, USA, 1–5 December 2018; pp. 22.7.1–22.7.4. [Google Scholar]
- Yu, D.; Liu, L.F.; Chen, B.; Zhang, F.F.; Gao, B.; Fu, Y.H.; Liu, X.Y.; Kang, J.F.; Zhang, X. Multilevel resistive switching characteristics in Ag/SiO2/Pt RRAM devices. In Proceedings of the 2011 IEEE International Conference of Electron Devices and Solid-State Circuits, Tianjin, China, 17–18 November 2011; pp. 1–2. [Google Scholar]
- Liu, Y.H.; Wang, J.J.; Wang, H.Z.; Liu, S.; Wu, Y.C.; Hu, S.G.; Yu, Q.; Liu, Z.; Chen, T.P.; Yin, Y.; et al. Braille recognition by E-skin system based on binary memristive neural network. Sci. Rep. 2023, 13, 1–10. [Google Scholar] [CrossRef] [PubMed]
- He, W.; Yin, S.; Kim, Y.; Sun, X.; Kim, J.-J.; Yu, S.; Seo, J.-S. 2-Bit-Per-Cell RRAM-Based In-Memory Computing for Area-/Energy-Efficient Deep Learning. IEEE Solid-State Circuits Lett. 2020, 3, 194–197. [Google Scholar] [CrossRef]
- He, W.; Shim, W.; Yin, S.; Sun, X.; Fan, D.; Yu, S.; Seo, J.-S. Characterization and Mitigation of Relaxation Effects on Multi-level RRAM based In-Memory Computing. In Proceedings of the 2021 IEEE International Reliability Physics Symposium (IRPS), Monterey, CA, USA, 21–25 March 2021; pp. 1–7. [Google Scholar]
- Li, J.; Wang, Z.; Wang, C.; Cai, Y.; Huang, R. Design Considerations of Multi-Level 1S1R Cell for In-Memory Computing. In Proceedings of the 2023 IEEE International Conference on Integrated Circuits, Technologies and Applications (ICTA), Hefei, China, 27–29 October 2023; pp. 144–145. [Google Scholar]
- Esmanhotto, E.; Hirtzlin, T.; Castellani, N.; Martin, S.; Giraud, B.; Andrieu, F.; Nodin, J.F.; Querlioz, D.; Portal, J.-M.; Vianello, E. Experimental demonstration of Single-Level and Multi-Level-Cell RRAM-based In-Memory Computing with up to 16 parallel operations. In Proceedings of the 2022 IEEE International Reliability Physics Symposium (IRPS), Dallas, TX, USA, 27–31 March 2022; pp. P8-1–P8-4. [Google Scholar]
- Zhang, Q.; Yan, L.; Tao, Y.; Huang, R.; Yang, Y. On-Chip Write & Verify and Endurance Enhancer Circuits towards Multi-level RRAM Array. In Proceedings of the 2024 8th IEEE Electron Devices Technology & Manufacturing Conference (EDTM), Bangalore, India, 3–6 March 2024; pp. 1–3. [Google Scholar]
- Sun, J.; Wang, Z.; Gao, J.; Shan, L.; Wang, Q.; Yang, Y.; Cai, Y.; Huang, R. ASAP: An Efficient and Reliable Programming Algorithm for Multi-level RRAM Cell. In Proceedings of the 2024 IEEE International Reliability Physics Symposium (IRPS), Grapevine, TX, USA, 14–18 April 2024; pp. 1–4. [Google Scholar]
- Pechmann, S.; Hagelauer, A. A Read Circuit Design for Multi-Level RRAM Cells Exhibiting Small Resistance Windows. In Proceedings of the 2022 IEEE 65th International Midwest Symposium on Circuits and Systems (MWSCAS), Fukuoka, Japan, 7–10 August 2022; pp. 1–2. [Google Scholar]
- Yang, K. A Dual-Port 8-T CAM-Based Network Intrusion Detection Engine for IoT. IEEE Solid-State Circuits Lett. 2020, 3, 358–361. [Google Scholar]
- Almazrouei, O.; Magalingam, P.; Hasan, M.K.; Almehrzi, M.; Alshamsi, A. Penetration Testing for IoT Security: The Case Study of a Wireless IP Security CAM. In Proceedings of the 2023 IEEE 2nd International Conference on AI in Cybersecurity (ICAIC), Houston, TX, USA, 7–9 February 2023; pp. 1–5. [Google Scholar]
- Garzón, E.; Yavits, L.; Teman, A.; Lanuzza, M. Approximate Content-Addressable Memories: A Review. Chips 2023, 2, 70–82. [Google Scholar] [CrossRef]
- Shi, J.; Qian, W. Implementing Boolean Function by Ternary Content Addressable Memory with Approximate Match. In Proceedings of the 2023 China Semiconductor Technology International Conference (CSTIC), Shanghai, China, 26–27 June 2023; pp. 1–3. [Google Scholar]
- Garzón, E.; Golman, R.; Lanuzza, M.; Teman, A.; Yavits, L. A Low-Complexity Sensing Scheme for Approximate Matching Content-Addressable Memory. IEEE Trans. Circuits Syst. II Express Briefs 2023, 70, 3867–3871. [Google Scholar] [CrossRef]
- Wang, S.; Shen, Y.; Zheng, Y. Coplanar Hybridization of Half-Mode Magnetic Plasmonic Skyrmions: Realization and Application in a Flexible Wearable Microwave Sweat Metasensor. IEEE Trans. Microw. Theory Tech. 2025, 1–14. [Google Scholar] [CrossRef]
- Tamra, A.; Zedek, A.; Rols, M.-P.; Dubuc, D.; Grenier, K. Single Cell Microwave Biosensor for Monitoring Cellular Response to Electrochemotherapy. EEE Trans. Biomed. Eng. 2022, 69, 3407–3414. [Google Scholar] [CrossRef] [PubMed]
- Citroni, R.; Mangini, F.; Frezza, F. Efficient Integration of Ultra-low Power Techniques and Energy Harvesting in Self-Sufficient Devices: A Comprehensive Overview of Current Progress and Future Directions. Sensors 2024, 24, 4471. [Google Scholar] [CrossRef] [PubMed]














| State | Device Count | Mean (kΩ) | Standard Deviation (kΩ) |
|---|---|---|---|
| State 1 | 50 | 10.19 | 0.17 |
| State 2 | 50 | 20.80 | 1.38 |
| State 3 | 50 | 42.49 | 2.81 |
| State 4 | 50 | 63.98 | 3.83 |
| State 5 | 50 | 93.39 | 6.64 |
| State 6 | 50 | 136.57 | 9.14 |
| State 7 | 50 | 186.08 | 11.12 |
| State 8 | 50 | 278.55 | 32.47 |
| State | 3-bit Input Signals | Reference Voltages [V1, V2] (mV) |
|---|---|---|
| State 1 | 000 | [0, 78] |
| State 2 | 001 | [78, 101] |
| State 3 | 010 | [101, 130] |
| State 4 | 011 | [130, 166] |
| State 5 | 100 | [166, 206] |
| State 6 | 101 | [206, 244] |
| State 7 | 110 | [244, 280] |
| State 8 | 111 | [280, 300] |
Disclaimer/Publisher’s Note: The statements, opinions and data contained in all publications are solely those of the individual author(s) and contributor(s) and not of MDPI and/or the editor(s). MDPI and/or the editor(s) disclaim responsibility for any injury to people or property resulting from any ideas, methods, instructions or products referred to in the content. |
© 2025 by the authors. Licensee MDPI, Basel, Switzerland. This article is an open access article distributed under the terms and conditions of the Creative Commons Attribution (CC BY) license (https://creativecommons.org/licenses/by/4.0/).
Share and Cite
Hu, H.; Liu, Y.; Liu, S.; Wang, J.; Xiao, S.; Yan, S.; Pan, R.; Wang, Y.; Liao, X.; Mao, T.; et al. A Reconfigurable Memristor-Based Computing-in-Memory Circuit for Content-Addressable Memory in Sensor Systems. Sensors 2025, 25, 6464. https://doi.org/10.3390/s25206464
Hu H, Liu Y, Liu S, Wang J, Xiao S, Yan S, Pan R, Wang Y, Liao X, Mao T, et al. A Reconfigurable Memristor-Based Computing-in-Memory Circuit for Content-Addressable Memory in Sensor Systems. Sensors. 2025; 25(20):6464. https://doi.org/10.3390/s25206464
Chicago/Turabian StyleHu, Hao, Yian Liu, Shuang Liu, Junjie Wang, Siyu Xiao, Shiqin Yan, Ruicheng Pan, Yang Wang, Xingyu Liao, Tianhao Mao, and et al. 2025. "A Reconfigurable Memristor-Based Computing-in-Memory Circuit for Content-Addressable Memory in Sensor Systems" Sensors 25, no. 20: 6464. https://doi.org/10.3390/s25206464
APA StyleHu, H., Liu, Y., Liu, S., Wang, J., Xiao, S., Yan, S., Pan, R., Wang, Y., Liao, X., Mao, T., Chen, Y., Wang, X., & Liu, Y. (2025). A Reconfigurable Memristor-Based Computing-in-Memory Circuit for Content-Addressable Memory in Sensor Systems. Sensors, 25(20), 6464. https://doi.org/10.3390/s25206464

