Energy Footprint and Reliability of IoT Communication Protocols for Remote Sensor Networks
Abstract
1. Introduction
- broad adoption in the field or industry-standard status,
- diversity in architectural paradigms (publish-subscribe, REST, queue-based, mesh, client-server),
- coverage across both wired and wireless infrastructures,
- support for constrained hardware and energy-aware operation,
- maturity of the ecosystem and protocol stack implementations.
- the largest open dataset of energy traces for application-layer protocols under harmonized traffic patterns,
- a transparent weighting framework that yields a Spearman ρ > 0.9 across integration paths,
- actionable heuristics linking protocol choice to duty cycle, radio class, and QoS tier.
2. Related Works
2.1. Selection of Communication Protocols in the Literature Due to Energy Consumption
2.2. Impact of Protocol Evolution (HTTP1-3, MQTT-MQTT-SN)
2.3. Synthesis and Research Gap
- Cross-layer integration. No dataset correlates application-layer joule profiles with underlying radio duty-cycle governance across both wired and wireless tiers in the same experiment.
- Unified metric. Rankings differ because authors average over disparate payload sizes, QoS levels, or link budgets; a normalized, sensitivity-checked score is missing.
- measuring six wired protocols on physical SBC gateways,
- ranking eleven wireless stacks via a weighted qualitative matrix,
- fusing both tracks through a Unified Comparative Method that rescales energy readings to a common 0–1 interval and validates robustness with Spearman correlation.
2.4. Characteristic of Selected Protocols in Terms of Maintenance and Reliability
2.4.1. Identification of Selected Protocols
2.4.2. Brief Description of Wired Protocols
2.4.3. Brief Description of Wireless Protocols
2.4.4. Collected Characteristics in Graph Representation
3. Methodology
3.1. Test Assumptions and Scoring Rationale
- Data type support—ability of a method to represent multiple categories of data and capture dataset diversity.
- Implementation complexity—resource requirements and difficulty of deployment.
- Reliability and QoS mechanisms—whether the method can reflect retransmissions, acknowledgments, or different QoS levels.
- Energy impact—sensitivity of the method to overheads, retransmissions, and duty cycle, and its reflection on battery lifetime.
- Infrastructure requirements—dependence on gateways, brokers, or operator-managed services.
- Scalability and topology—ability to model large networks and self-healing or mesh behavior.
3.2. Methods Description
3.3. Comparative Methods Overview
- Complementarity of data sources—Methods A and B contribute the largest body of physical measurements, but omit MQTT-SN; this gap is filled by the Powertrace-based simulations C and E. Method D is the sole source quantifying HTTP/3, thereby completing the entire HTTP lineage. The methodological interplay between physical tests and simulation allows for comprehensive coverage of both legacy and emerging protocols. This cross-method synergy ensures that no major protocol category is excluded from the unified analysis.
- Differences in temporal granularity:
- ○
- Method A (millisecond-based) captures micro-scale current spikes as well as long-term thermal drift.
- ○
- Method B balances energy accuracy with traffic volume (1000 packets per test).
- ○
- Methods C and E restrict the temporal domain to seconds/minutes, yet permit full control over topology and radio channel conditions.
- Cross-validation robustness—Despite methodological divergence, the Spearman rank-correlation coefficient (>0.9) between partial rankings confirms that all five methods consistently classify the protocols (MQTT-SN ≈ CoAP ≪ HTTP/3). The consistency in ranking order across heterogeneous test conditions reinforces the credibility of the resulting unified model.
3.4. Benchmarking Procedure
- Data collection—gather results from Methods A–E and harmonize all values into joules (J) or normalized power units.
- Metric extraction—determine energy consumption values for each protocol and mode based on the outputs of individual methods.
- Normalization—rescale values to a common interval [0, 1] within each method to remove differences in scale.
- Interpolation—estimate missing entries using bilinear interpolation across payload size and QoS settings.
- Weighted aggregation and validation—combine normalized results with the weights from Table 7 to obtain the Unified Energy Index, and confirm consistency of rankings using the Spearman correlation coefficient (ρ > 0.9).
4. The Experiments and Results
4.1. General Assumptions
4.2. Quantitative Comparison of Wired Protocols
4.2.1. The Efficiency of Method A
4.2.2. The Efficiency of Method B
4.2.3. The Efficiency of Method C
4.2.4. The Efficiency of Method D
4.2.5. The Efficiency of Method E
4.2.6. Unified Method
4.3. Qualitative Comparison of Wireless Protocols
5. Discussion of Obtained Results
5.1. Significance and Outcomes of the Unified Method
5.2. Practical Implications
5.3. Cross-Mapping Communication Protocols to RS-IoT Scenarios
5.4. Engineering Recommendations for Remote Sensing IoT Protocol Selection
5.5. Design Guidelines for Practitioners
- Start with the energy budget: if the device must operate for more than two years on a single battery, consider only protocols that consume under 70 J per standard 1 kB packet (e.g., MQTT-SN or CoAP-NoConf).
- Add a QoS layer only where it is truly required; each ACK in CoAP-Conf or MQTT QoS 1 raises energy cost by roughly 10–15%.
- Choose security selectively: OSCORE/DTLS for CoAP or Sigfox’s native AES delivers 128-bit protection with less than a 5% increase in energy use; reserve full TLS/HTTP/2 for mains-powered devices.
- Scale the broker, not the sensor: once you exceed 100 k nodes, deploy multiple MQTT-SN instances with topic load-balancing to avoid excessive retransmissions.
- Segment firmware-update traffic: route large images solely over HTTP/2 or HTTPS push, while leaving lightweight telemetry on ultra-light protocols.
- Base your acceptance-test plan on the gaps listed in Section 4.1. Measure jitter and frame loss in the real environment before roll-out.
5.6. Limitations of the Study and Research Gap
5.7. Computational Complexity and Overhead Costs
- MQTT-SN/CoAP: Very low complexity, compact headers (<10 bytes), minimal state; well-suited for microcontrollers.
- MQTT: Moderate complexity due to TCP session maintenance and QoS retransmissions.
- HTTP/1.1–3: High complexity; large headers (>200 bytes) and security/multiplexing features increase CPU and RAM demand.
- AMQP: Very high complexity; framing, flow-control, and transaction support impose substantial computational and memory overhead.
- Wireless stacks (NB-IoT, LTE-M): Computational complexity largely offloaded to the modem, but frequent signaling (e.g., RRC state changes) increases latency and overhead costs.
5.8. Future Work Directions
6. Conclusions
Author Contributions
Funding
Data Availability Statement
Conflicts of Interest
Abbreviations
| UAV | Unmanned Aerial Vehicle |
| IoT | Internet of Things |
| IIoT | Industrial Internet of Things |
| SBC | Single Board Computer |
| QoS | Quality of Service |
| MQTT | Message Queuing Telemetry Transport |
| MQTT-SN | MQTT for Sensor Networks |
| CoAP | Constrained Application Protocol |
| AMQP | Advanced Message Queuing Protocol |
| HTTP/1.1, HTTP/2, HTTP/3 | Versions of Hypertext Transfer Protocol |
| BLE | Bluetooth Low Energy |
| Wi-SUN | Wireless Smart Utility Network |
| 6LoWPAN | IPv6 over Low power Wireless Personal Area Networks |
| NB-IoT | Narrowband Internet of Things |
| LTE-M | Long Term Evolution for Machines |
| LoRaWAN | Long Range Wide Area Network |
| PSM | Power Saving Mode |
| eDRX | Extended Discontinuous Reception |
| URLLC | Ultra-Reliable Low-Latency Communication |
| LPWAN | Low Power Wide Area Network |
| RIS | Reconfigurable Intelligent Surface |
| RRC | Radio Resource Control |
| RPL | Routing Protocol for Low-Power and Lossy Networks |
| OSCORE | Object Security for Constrained RESTful Environments |
| DTLS | Datagram Transport Layer Security |
| TLS | Transport Layer Security |
| AES | Advanced Encryption Standard |
| BCap | Battery capacity (Wh or %) |
| P(t) | Instantaneous power at time t |
| Pavg | Average power consumption (mW) |
| Pcons. | Average consumption power |
| E | Total energy consumed (Joules or Wh) |
| SD | Standard deviation |
| texec | Execution time of operation |
| Rt | Resistance (if applicable, but in your context: possibly symbolic) |
| ρ | Spearman rank correlation coefficient |
| BLife | Estimated battery lifetime (hours) |
| Econs. | Energy consumption (J) |
| ICoPEP | Industrial Classification of Protocol Energy Profiles |
References
- Nižetić, S.; Šolić, P.; López-de-Ipiña González-de-Artaza, D.; Patrono, L. Internet of Things (IoT): Opportunities, Issues and Challenges Towards a Smart and Sustainable Future. J. Clean. Prod. 2020, 274, 122877. [Google Scholar] [CrossRef]
- Yugank, H.K.; Sharma, R.; Gupta, S.H. An approach to analyse energy consumption of an IoT system. Int. J. Inf. Technol. 2022, 14, 2549–2558. [Google Scholar] [CrossRef]
- Wytrebowicz, J.; Cabaj, K.; Krawiec, J. Messaging protocols for IoT Systems—A pragmatic comparison. Sensors 2021, 21, 6904. [Google Scholar] [CrossRef]
- Al-Masri, E.; Kalyanam, K.R.; Batts, J.; Kim, J.; Singh, S.; Vo, T.; Yan, C. Investigating Messaging Protocols for the Internet of Things (IoT). IEEE Access 2020, 8, 53836–53849. [Google Scholar] [CrossRef]
- Fodor, E. Zigbee vs. Bluetooth: Choosing the Right Protocol for Your IoT Application. Digi International Blog. 2020. Available online: https://www.digi.com/blog/post/zigbee-vs-bluetooth-choosing-the-right-protocol (accessed on 20 September 2025).
- Bishop, M. (Ed.) HTTP/3; RFC 9114; IETF: Fremont, CA, USA, 2022; Available online: https://www.rfc-editor.org/rfc/rfc9114.html (accessed on 20 September 2025).
- Mekki, K.; Bajic, E.; Chaxel, F.; Meyer, F. A Comparative Study of LPWAN Technologies for Large-Scale IoT Deployment. ICT Express 2019, 5, 1–7. [Google Scholar] [CrossRef]
- LoRa Alliance. LoRaWAN® L2 1.0.4 Specification; TS001-1.0.4; LoRa Alliance: Fremont, CA, USA, 2020; Available online: https://resources.lora-alliance.org/technical-specifications/ts001-1-0-4-lorawan-l2-1-0-4-specification (accessed on 20 September 2025).
- Amsüss, C.; Bormann, C. Constrained Application Protocol (CoAP): Echo, Request-Tag, and Token Processing; RFC 9175; IETF: Fremont, CA, USA, 2022; Available online: https://datatracker.ietf.org/doc/rfc9175/ (accessed on 20 September 2025).
- DASH7 Alliance Protocol. Available online: https://www.dash7-alliance.org/ (accessed on 20 September 2025).
- Sigfox. Sigfox Connected Objects: Radio Specifications. 2023. Available online: https://storage.googleapis.com/public-assets-xd-sigfox-production-338901379285/ce13c427-f2ed-4b94-b9f9-2bff0a96c8c9.pdf (accessed on 20 September 2025).
- Hemanand, D.; Ambika Bhuvaneswari, C.; Savitha, S.; Jothi, M.; Senthil Rama, R. Optimizing Energy-Efficient Communication Protocols for IoT Devices in Smart Cities Using Narrowband IoT and LTE-M Technology. J. Electr. Syst. 2024, 20, 2560–2568. [Google Scholar] [CrossRef]
- Kopta, P.; Kulczewski, M.; Kurowski, K.; Piontek, T.; Gepner, P.; Puchalski, M.; Komasa, J. Parallel application bench-marks and performance evaluation of the Intel Xeon 7500 family processors. Procedia Comput. Sci. 2011, 4, 372–381. [Google Scholar] [CrossRef]
- OASIS Standard. MQTT Version 5.0. 2019. Available online: https://docs.oasis-open.org/mqtt/mqtt/v5.0/mqtt-v5.0.pdf (accessed on 20 September 2025).
- Jara Ochoa, H.J.; Peña, R.; Ledo Mezquita, Y.; Gonzalez, E.; Camacho-Leon, S. Comparative Analysis of Power Con-sumption between MQTT and HTTP Protocols in an IoT Platform Designed and Implemented for Remote Real-Time Monitoring of Long-Term Cold Chain Transport Operations. Sensors 2023, 23, 4896. [Google Scholar] [CrossRef]
- Stefanec, T.; Kusek, M. Comparing Energy Consumption of Application Layer Protocols on IoT Devices. In Proceedings of the 16th International Conference on Telecommunications (ConTEL), Zagreb, Croatia, 30 June–2 July 2021. [Google Scholar] [CrossRef]
- Caiazza, C.; Luconi, V.; Vecchio, A. Energy Consumption of Smartphones and IoT Devices When Using Different Versions of the HTTP Protocol. Pervasive Mob. Comput. 2023, 93, 101871. [Google Scholar] [CrossRef]
- Martí, M.; Garcia-Rubio, C.; Campo, C. Performance Evaluation of CoAP and MQTT_SN in an IoT Environment. Proceedings 2019, 31, 49. [Google Scholar] [CrossRef]
- Shahrokhi, A.; Ahmadi, M. Power Evaluation of IOT Application Layer Protocols. arXiv 2024, arXiv:2405.07326. [Google Scholar] [CrossRef]
- Afaneh, M. Wireless Connectivity Options for IoT Applications—Technology Comparison. Bluetooth Technology Website. 2020. Available online: https://www.bluetooth.com/blog/wireless-connectivity-options-for-iot-applications-technology-comparison/ (accessed on 20 September 2025).
- Koniak, M.; Jaskowski, P.; Madleňák, R.; Zaranka, J. Analysis of real-time energy transfer possibilities at intersections with consideration of energy storage. Arch. Transp. 2025, 73, 195–206. [Google Scholar] [CrossRef]
- Jachimowski, R.; Kłodawski, M. The impact of container yard layout on the cargo handling time of external transport vehicles in an intermodal terminal. Arch. Transp. 2025, 73, 179–193. [Google Scholar] [CrossRef]
- Izdebski, M.; Jacyna, M. An efficient hybrid algorithm for energy expenditure estimation for electric vehicles in urban service enterprises. Energies 2021, 14, 2004. [Google Scholar] [CrossRef]
- Khan, S.M.Z.; Alam, M.M.; Le Moullec, Y.; Kuusik, A.; Pärand, S.; Verikoukis, C. An Empirical Modeling for the Base-line Energy Consumption of an NB-IoT Radio Transceiver. IEEE Internet Things J. 2021, 8, 14913–14922. [Google Scholar] [CrossRef]
- Shoeibi, M.; Oskouei, A.E.; Kaveh, M. A Novel Six-Dimensional Chimp Optimization Algorithm Deep Reinforcement Learning-Based Optimization Scheme for Reconfigurable Intelligent Surface-Assisted Energy Harvesting in Batteryless IoT Networks. Future Internet 2024, 16, 460. [Google Scholar] [CrossRef]
- Swamy, S.N.; Kota, S.R. An Empirical Study on System Level Aspects of Internet of Things (IoT). IEEE Access 2020, 8, 180906–180927. [Google Scholar] [CrossRef]
- Zhang, J.; Li, H.; Han, W.; Li, Y. Research on optimization of multimodal hub-and-spoke transport network under uncertain demand. Arch. Transp. 2024, 70, 137–157. [Google Scholar] [CrossRef]
- Du, M.; Zhou, J.; Chen, A.; Tan, H. Modeling the capacity of multimodal and intermodal urban transportation networks that incorporate emerging travel modes. Transp. Res. Part E Logist. Transp. Rev. 2022, 168, 102937. [Google Scholar] [CrossRef]
- Jachimowski, R. Review of transport decision problems in the marine intermodal terminal. Arch. Transp. 2017, 44, 47–56. [Google Scholar] [CrossRef]
- Huo, C. Generalized Route Planning Approach for Hazardous Materials Transportation with Equity Consideration. Arch. Transp. 2018, 46, 33–46. [Google Scholar] [CrossRef]
- Gepner, P.; Fraser, D.L.; Kowalik, M.F. Second Generation Quad-Core Intel Xeon Processors Bring 45 nm Technology and a New Level of Performance to HPC Applications. In Computational Science–ICCS 2008; Bubak, M., van Albada, G.D., Dongarra, J., Sloot, P.M.A., Eds.; Lecture Notes in Computer Science; Springer: Berlin/Heidelberg, Germany, 2008; Volume 5101. [Google Scholar] [CrossRef]
- Lewczuk, K.; Kłodawski, M.; Gepner, P. Energy consumption in a distributional warehouse: A practical case study for different warehouse technologies. Energies 2021, 14, 2709. [Google Scholar] [CrossRef]
- Gepner, P. Using AVX2 instruction set to increase performance of high performance computing code. Comput. Inform. 2017, 36, 1001–1020. Available online: https://www.cai.sk/ojs/index.php/cai/article/view/2017_5_1001 (accessed on 25 September 2025). [CrossRef]
- Mishra, B.; Kertesz, A. The Use of MQTT in M2M and IoT Systems: A Survey. IEEE Access 2020, 8, 201071–201086. [Google Scholar] [CrossRef]
- Coppen, R. Contributed MQTT-SN 1.2 Specification. Version 1.2; OASIS: Burlington, MA, USA, 2019; Available online: https://groups.oasis-open.org/higherlogic/ws/public/document?document_id=66091 (accessed on 20 September 2025).
- Shelby, Z.; Hartke, K.; Bormann, C. The Constrained Application Protocol (CoAP); RFC 7252; IETF: Fremont, CA, USA, 2014; Available online: https://datatracker.ietf.org/doc/html/rfc7252 (accessed on 20 September 2025).
- Rahman, A.; Dijk, E. Group Communication for the Constrained Application Protocol (CoAP); RFC 7390; IETF: Fremont, CA, USA, 2014; Available online: https://datatracker.ietf.org/doc/rfc7390/ (accessed on 20 September 2025).
- Ciznicki, M.; Kopta, P.; Kulczewski, M.; Kurowski, K.; Gepner, P. Elliptic Solver Performance Evaluation on Modern Hardware Architectures. In Parallel Processing and Applied Mathematics; Wyrzykowski, R., Dongarra, J., Karczewski, K., Waśniewski, J., Eds.; Lecture Notes in Computer Science; Springer: Berlin/Heidelberg, Germany, 2014; Volume 8384, pp. 111–121. [Google Scholar] [CrossRef]
- OASIS. Advanced Message Queuing Protocol (AMQP) Version 1.0; Part 0: Overview; OASIS: Burlington, MA, USA, 2012; Available online: https://docs.oasis-open.org/amqp/core/v1.0/os/amqp-core-overview-v1.0-os.html (accessed on 20 September 2025).
- Jacyna, M.; Semenov, I.N.; Trojanowski, P. The Research Directions of Increase Effectiveness of the Functioning of the RSA with Regard to Specialized Transport. Arch. Transp. 2015, 35, 27–39. [Google Scholar] [CrossRef]
- GeeksforGeeks. HTTP Full Form—Hypertext Transfer Protocol. Available online: https://www.geeksforgeeks.org/http-full-form/ (accessed on 20 September 2025).
- Bormann, C.; Shelby, Z. Block-Wise Transfers in the Constrained Application Protocol (CoAP); RFC 7959; IETF: Fremont, CA, USA, 2016; Available online: https://datatracker.ietf.org/doc/html/rfc7959 (accessed on 20 September 2025).
- Stopka, O.; Droździel, P.; L’upták, V. Modeling the Designs in Terms of Logistics Service Center Placement: A Case Study. Arch. Transp. 2022, 64, 59–71. [Google Scholar] [CrossRef]
- Szczepański, E.; Jachimowski, R.; Izdebski, M.; Jacyna-Gołda, I. Warehouse Location Problem in Supply Chain Designing: A Simulation Analysis. Arch. Transp. 2019, 50, 101–110. [Google Scholar] [CrossRef]
- Lasota, M.K.; Kłodawski, M.; Jachimowski, R.; Wasiak, M.; Szumski, O. Risk of Adverse Events in the Transportation of Oversize Cargoes. Eksploat. Niezawodn. Maint. Reliab. 2025, 27, 1–12. [Google Scholar] [CrossRef]
- Andreadis, A.; Giambene, G.; Zambon, R. Design and Analysis of a LoRa-Based System with Scheduled Transmissions from IoT Nodes to UAV in Rural Areas. Ad Hoc Netw. 2025, 175, 103868. [Google Scholar] [CrossRef]
- Gepner, P.; Gamayunov, V.; Fraser, D.L. Effective implementation of DGEMM on modern multicore CPU. Procedia Comput. Sci. 2012, 9, 1360–1369. [Google Scholar] [CrossRef]





















| Reference | Protocol | Full Name | Year of Standard | Type | General Characteristics |
|---|---|---|---|---|---|
| [5] | MQTT | Message Queuing Telemetry Transport | 2013/2019 | Wired/TCP | Lightweight pub/sub protocol, low overhead, widely adopted in industry |
| [6] | MQTT-SN | MQTT for Sensor Networks | 2019 (OASIS contrib.) | Wireless/UDP | Optimized for constrained nodes, no TCP/IP required, topic registration |
| [7] | CoAP | Constrained Application Protocol | 2014 (RFC 7252) | Wireless/UDP | REST-like, confirmable/non-confirmable modes, minimal headers |
| [5] | AMQP | Advanced Message Queuing Protocol | 2012 (ISO/IEC 19464) | Wired/TCP | Transactional messaging, reliable delivery, complex framing |
| [8] | HTTP/1.1 | Hypertext Transfer Protocol v1.1 | 1997 (RFC 2616) | Wired/TCP | Stateless client-server, large headers, widely supported |
| [9] | HTTP/2 | Hypertext Transfer Protocol v2 | 2015 (RFC 7540) | Wired/TCP | Binary multiplexing, header compression, faster than HTTP/1.1 |
| [10] | HTTP/3 | Hypertext Transfer Protocol v3 | 2022 (RFC 9114) | Wired/UDP (QUIC) | QUIC transport, reduced latency, high encryption overhead |
| [11] | LoRaWAN | Long Range Wide Area Network | 2015 | Wireless/ LPWAN | Sub-GHz long-range, extremely low power, class-based operation |
| [8] | Sigfox | Sigfox Protocol | ~2010 | Wireless/LPWAN | Ultra-narrowband, small payloads, cloud-managed network |
| [7] | NB-IoT | Narrowband Internet of Things | 2016 (3GPP Rel. 13) | Wireless/LTE | High coverage, deep sleep modes, 10+ years battery life possible |
| [12] | LTE-M | LTE for Machines (Cat-M1) | 2016 (3GPP Rel. 13) | Wireless/LTE | Higher throughput than NB-IoT, mobility and voice support |
| [6] | BLE | Bluetooth Low Energy | 2010 (BT 4.0) | Wireless/PAN | Short-range, mesh support; low latency, <10 mA TX peaks |
| [10] | ZigBee | ZigBee (IEEE 802.15.4) | 2004 | Wireless/PAN | Scalable mesh, very low standby current, mature industrial tools |
| [8] | Wi-Fi | Wireless Fidelity (IEEE 802.11) | 1997+ | Wireless/WLAN | High data rates, duty-cycling needed for battery operation |
| [9] | 6LoWPAN | IPv6 over Low-Power Wireless PAN | 2007 (RFC 4944) | Wireless/WPAN | IP-native addressing; integrates with CoAP, mesh capable |
| [11] | Wi-SUN | Wireless Smart Utility Network | 2012+ (Wi-SUN FAN) | Wireless/Sub-GHz Mesh | High node count, self-healing mesh, used in utilities |
| Protocol | Brief Maintenance & Reliability Description | Citation |
|---|---|---|
| MQTT | Standardized by OASIS; low implementation complexity and widely available libraries facilitate simple maintenance. Requires a broker, though the ecosystem is mature and well-documented. Minimal network overhead results in the lowest measured energy consumption with a cloud broker. Long-term studies confirm that QoS 1 saves ≈ 8% energy compared to HTTP. | [15,28] |
| MQTT-SN | Lightweight variant of MQTT optimized for non-TCP/IP sensor networks; eliminates the need for TCP/IP stack but requires a gateway to interoperate with classical MQTT, which introduces administrative complexity. Offers lightweight topic registration and gateway aggregation, extending MQTT benefits to ultra-constrained nodes. | [29] |
| CoAP | IETF RFC 7252 REST-compliant protocol; confirmable and non-confirmable modes allow designers to balance reliability against battery lifetime. Seamless integration with IP-based systems facilitates maintenance, while single-datagram payloads reduce fragmentation risks. Requires QoS monitoring to ensure consistent operation. | [30,31,32] |
| AMQP | ISO/IEC standardized protocol designed for transactional messaging with exactly-once delivery. Ensures high reliability and robust flow control, but large frame size and complex header structure increase administrative cost. Requires skilled maintenance of central brokers, making it best suited for gateways and mission-critical infrastructures. | [33,34] |
| HTTP 1.1/2/3 | Ubiquitous client-server family; HTTP/2 and HTTP/3 introduce advanced requirements (TLS 1.3, QUIC monitoring) and remain easy to integrate with enterprise IT systems. However, large headers cause high energy consumption, especially on edge nodes. HTTP/3 reduces handshake latency but remains the most power-hungry option, complicating long-term maintenance in energy-constrained deployments. | [35,36] |
| Protocol | Brief Maintenance & Reliability Description | Citation |
|---|---|---|
| LoRaWAN | Brief maintenance & reliability description Chirp Spread Spectrum with adjustable spreading factors balances range against airtime; Class A gives the lowest energy draw. Long device lifetime (>10 years) with low maintenance of end-nodes. Requires upkeep of gateways and synchronization with network servers. AES-128 key management ensures security but adds administrative overhead. | [5] |
| DASH7 | BLAST architecture with built-in multicast firmware update lowers service costs for large fleets. ≈30 µA average current makes it cost-effective for long-term deployments. Requires central server management and skilled integration. | [5] |
| Sigfox | Ultra-narrowband uplink (12-byte payload) with triple redundancy and AES-128. Operator-managed infrastructure minimizes maintenance needs on the user side. Very low throughput constrains applications but ensures predictable energy use and coverage. | [5] |
| NB-IoT | 200 kHz LTE profile; eDRX ≤ 186 min and PSM ≤ 413 days extend field life beyond 10 years. Maintenance offloaded to operator (SIM provisioning, network management). OTA updates supported. Reliability depends on operator coverage. | [37] |
| LTE-M | LTE Cat-M1 (1.4 MHz) supports mobility and ≈300 kb/s DL. Compromise between energy budget and latency. Maintenance largely handled by operators, reducing user burden but increasing dependency. | [37] |
| BLE | 40 channels at 2.4 GHz, mesh-capable. Low TX peaks (<10 mA) suitable for low-power sensing. Requires supervision of routing and firmware updates in larger networks. No central operator—maintenance responsibility lies with the owner. | [20] |
| ZigBee | IEEE 802.15.4 mesh/cluster-tree topology supporting up to 65k nodes. Mature management tools and self-healing reduce maintenance. Requires periodic firmware and encryption key updates. | [38] |
| Wi-Fi | High data rate, with modern “sleep-friendly” chipsets enabling duty-cycled operation. Requires careful power planning and ongoing maintenance of access points. High energy demand shortens device lifetime, raising service frequency. | [39] |
| 6LoWPAN | IPv6 over 802.15.4 with routable addresses; no dedicated gateway needed. Facilitates unified network management but requires upkeep of border routers. Sensitive to routing inefficiencies in large deployments. | [12] |
| Wi-SUN FAN | Sub-GHz self-healing mesh with >95 M deployed nodes. Very high resilience but highest energy consumption among tested protocols. Requires advanced diagnostic tools to maintain. Widely used in smart metering and utility networks. | [12] |
| 5G | Network slicing and URLLC profiles (<5 ms) provide deterministic latency. Extended DRX lowers idle drain, but wide bandwidth makes it the most energy-demanding cellular IoT option. Fully operator-managed, maintenance requirements. | [11] |
| LPWAN | Sub-GHz, ultra-narrowband links (e.g., LoRa, Sigfox) with star or star-of-stars topology. Payload ≤ 50 B, duty cycle < 1%. Long battery lifetime (>10 years) with minimal maintenance; private deployments require gateway upkeep, public ones depend on operator. | [37] |
| EC | Method A | Method B | Method C | Method D | Method E |
|---|---|---|---|---|---|
| 1 | Physical, continuous V & I log (ms) | Physical, batched energy traces + PCAP | Simulation of radio duty-cycles | Physical, SBC power profiles | Multi-hop simulation |
| 2 | MQTT (QoS 0/1) vs. HTTP | MQTT, CoAP, AMQP, HTTP (1/2) | MQTT, MQTT-SN, CoAP, HTTP | HTTP 1/2/3 | CoAP vs. MQTT-SN |
| 3 | 100 sample × 84h, QoS, sampling rate | 1000 packets, QoS, 16–1024 B | 100 s, single payloads | 256 kiB 8 MiB, assorted hosts | 30 min, POST/PUBLISH traffic |
| 4 | E [J] + battery discharge curve | E [J] & J/s + packet volume | Mean power [mW] | E [J] per MiB | Cumulative energy over time |
| 5 | Long horizon Direct correlation with battery lifetime | Broadest protocol set Full network traffic captured | Only method covering MQTT-SN Full control of radio channel | Unique empirical data for HTTP/3 | Accounts for RPL routing and network load |
| 6 | Restricted to MQTT vs. HTTP Single MCU platform | Lacks MQTT-SN, HTTP/3 | Simulation no hardware artefacts | Confined to HTTP family | Covers only MQTT-SN & CoAP |
| Method | Protocols | Data Types | Metrics Covered | QoS/Packet Size/Time Considered |
|---|---|---|---|---|
| A | MQTT, HTTP | Instantaneous and long-term measurements | energy, time | mainly MQTT |
| B | MQTT, CoAP, AMQP, HTTP | hardware data with various QoS/payload combinations | energy, packets | extensive |
| C | MQTT, MQTT-SN, CoAP, HTTP | simulation, average consumption | only energy | no packets, QoS |
| D | HTTP 1.1, HTTP 2, HTTP 3 | client-to-cloud, SBC measurement | only energy | only HTTP |
| E | CoAP, MQTT-SN | simulation with routing | energy, number of messages | limited context |
| Method | Protocols | Data (Type) | Parameters | Total |
|---|---|---|---|---|
| A | 1 pt | 2 pt (physical) | 1 pt | 4 |
| B | 2 pt | 2 pt (physical) | 1 pt | 5 |
| C | 2 pt | 1 pt (simulation) | 0 pt | 3 |
| D | 1 pt | 2 pt (physical) | 0 pt | 3 |
| E | 2 pt | 1 pt (simulation) | 0 pt | 3 |
| Method | Points | Percentage Contribution |
|---|---|---|
| A | 4 | (4/18) × 100 ≈ 22.2% |
| B | 5 | (5/18) × 100 ≈ 27.8% |
| C | 3 | (3/18) × 100 ≈ 16.7% |
| D | 3 | (3/18) × 100 ≈ 16.7% |
| E | 3 | (3/18) × 100 ≈ 16.7% |
| Protocol | Version | Pavg [mW] | SD | E [J] | Battery Life [h] |
|---|---|---|---|---|---|
| MQTT | QoS 0 | 629.68 | 19.39 | 94.45 | 114.34 |
| MQTT | QoS 1 | 614.33 | 22.25 | 92.15 | 117.20 |
| HTTP | - | 670.16 | 16.19 | 100.52 | 107.44 |
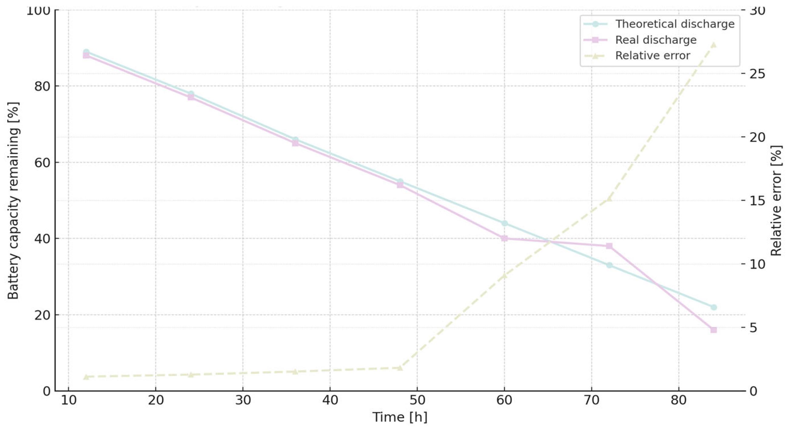
| Time (h) | Discharge Theor. (%) | Discharge Real. (%) | Relative Error (%) |
|---|---|---|---|
| 12 | 89 | 88 | 0.00 |
| 24 | 78 | 77 | 0.00 |
| 36 | 66 | 65 | 1.45 |
| 48 | 55 | 54 | 1.72 |
| 60 | 44 | 40 | 2.08 |
| 72 | 33 | 38 | 8.11 |
| 84 | 22 | 16 | 18.52 |
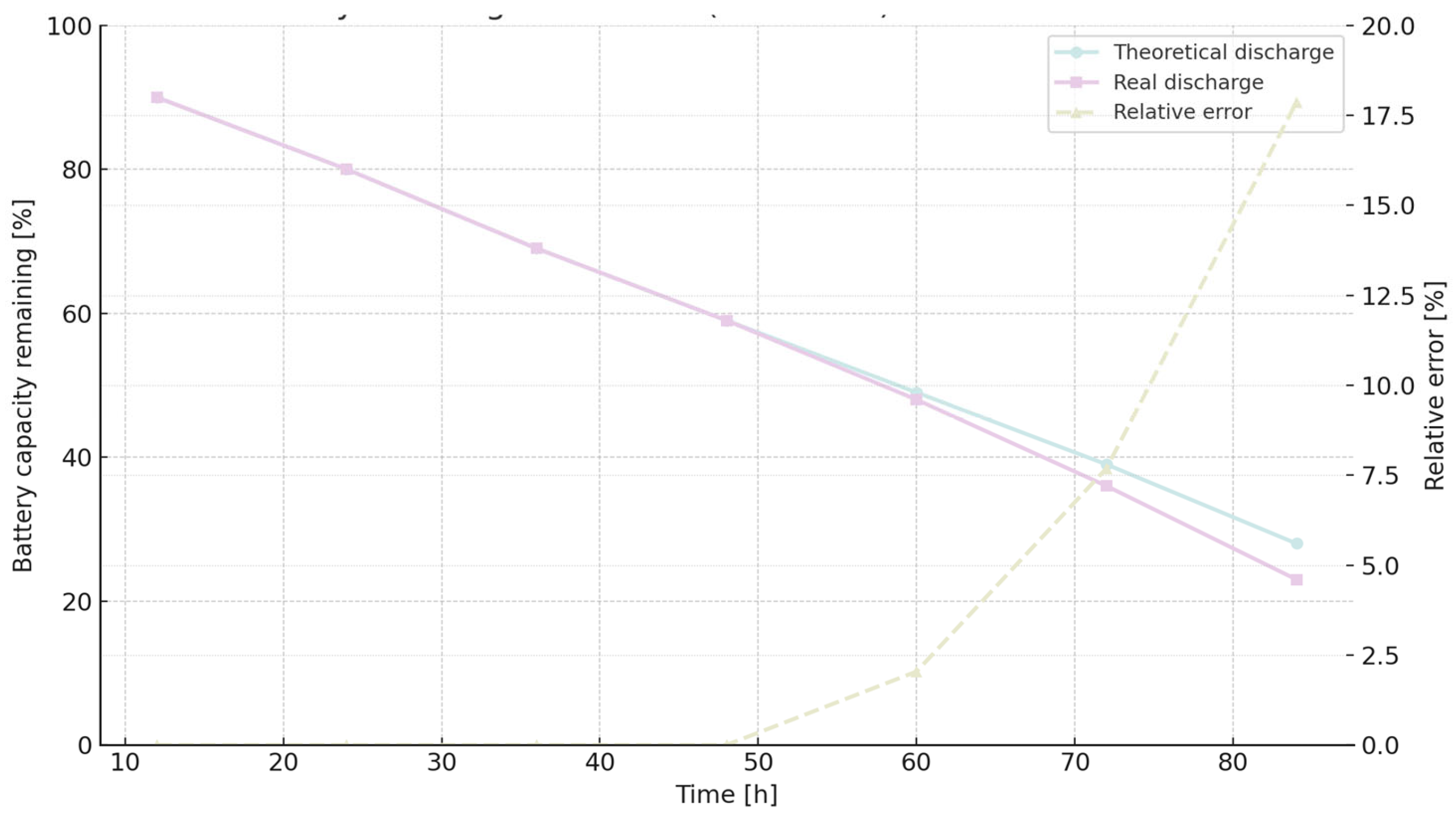
| Time (h) | Discharge Theor. (%) | Discharge Real. (%) | Relative Error (%) |
|---|---|---|---|
| 12 | 90 | 90 | 0.00 |
| 24 | 80 | 80 | 0.00 |
| 36 | 69 | 69 | 0.00 |
| 48 | 59 | 59 | 0.00 |
| 60 | 49 | 48 | 2.04 |
| 72 | 39 | 36 | 7.69 |
| 84 | 28 | 23 | 17.86 |
| Time (h) | Discharge Theor. (%) | Discharge Real. (%) | Relative Error (%) |
|---|---|---|---|
| 12 | 89 | 88 | 1.12 |
| 24 | 78 | 77 | 1.28 |
| 36 | 66 | 65 | 1.52 |
| 48 | 55 | 54 | 1.82 |
| 60 | 44 | 40 | 9.09 |
| 72 | 33 | 38 | 15.15 |
| 84 | 22 | 16 | 27.27 |
| Time (h) | MQTT QoS 0 | MQTT QoS 1 | HTTP |
|---|---|---|---|
| 12 | 7.56 | 7.37 | 8.04 |
| 24 | 15.11 | 14.74 | 16.08 |
| 36 | 22.67 | 22.12 | 24.13 |
| 48 | 30.22 | 29.49 | 32.17 |
| 60 | 37.78 | 36.86 | 40.21 |
| 72 | 45.34 | 44.23 | 48.25 |
| 84 | 52.89 | 51.60 | 56.29 |
| Protocol | Mode | Energy [J] | Time [s] | J/s |
|---|---|---|---|---|
| MQTT PUBLISH | QoS 0 | 74 | 45 | 1.6444 |
| MQTT PUBLISH | QoS 1 | 76 | 48 | 1.5833 |
| MQTT PUBLISH | QoS 2 | 80 | 50 | 1.6000 |
| CoAP PUT | No confirm. | 69 | 49 | 1.4082 |
| CoAP PUT | Confirm. | 69 | 45 | 1.5333 |
| AMQP SEND | - | 93 | 50 | 1.8600 |
| HTTP POST | - | 89 | 55 | 1.6100 |
| Protocol | P [mW] | E [J] |
|---|---|---|
| MQTT | 1.00 | 0.15 |
| MQTT-SN | 0.80 | 0.12 |
| CoAP | 0.95 | 0.1425 |
| HTTP | 1.38 | 0.207 |
| Protocol | Version | SBC-Cloudflare Energy [J] | SBC-GCS Energy [J] |
|---|---|---|---|
| HTTP | 1.1 | 12.13 | 9.914 |
| HTTP | 2 | 12.09 | 10.274 |
| HTTP | 3 | 15.75 | 11.526 |
| HTTP | 1.1 | 12.13 | 9.914 |
| E [J]/t [min] | 5 | 10 | 15 | 20 | 25 | 30 |
|---|---|---|---|---|---|---|
| MQTT-SN | 2.55 | 7.55 | 15.00 | 25.00 | 37.00 | 53.00 |
| CoAP | 2.50 | 7.50 | 15.05 | 25.10 | 40.00 | 57.00 |
| MQTT-SN | 2.55 | 7.55 | 15.00 | 25.00 | 37.00 | 53.00 |
| CoAP | 2.50 | 7.50 | 15.05 | 25.10 | 40.00 | 57.00 |
| Method | A | B | C | D | E | |
|---|---|---|---|---|---|---|
| Protocol | Mode | Econs. [J] | Econs. [J] | Econs. [J] | Econs. [J] | Econs. [J] |
| MQTT | QoS 0 | 94.45 | 74 | - | - | |
| MQTT | QoS 1 | 92.15 | 76 | - | - | - |
| MQTT | QoS 2 | - | 80 | - | - | - |
| MQTT-SN | - | - | - | 0.12 | - | 53 |
| CoAP | No confirm | - | 69 | 0.1425 | - | 57 |
| CoAP | Confirm | - | 69 | - | - | - |
| AMQP | - | - | 93 | - | - | - |
| HTTP1 | - | 100.52 | 89 | 0.207 | 12.13 | - |
| HTTP2 | - | - | 83 | - | 12.09 | - |
| HTTP3 | - | - | - | 15.75 | - | |
| Protocol | Mode | Econs. [J] | Rank |
|---|---|---|---|
| MQTT-SN | - | 58 | 1 |
| CoAP | Non-confirmable | 69 | 2/3 |
| CoAP | Confirmation | 69 | 2/3 |
| MQTT | QoS 0 | 74 | 4 |
| MQTT | QoS 1 | 76 | 5 |
| MQTT | QoS 2 | 80 | 6 |
| HTTP2 | - | 83 | 7 |
| HTTP1 | - | 89 | 8 |
| AMQP | - | 93 | 9 |
| HTTP3 | - | 108 | 10 |
| UAV-Based Payloads | Floating Buoys | Remote Met Stations | Urban Fixed Sensors | |
|---|---|---|---|---|
| MQTT | A (with cellular/LTE-M) | U (no IP infra) | U (no IP infra) | A (if power/coverage) |
| MQTT-SN | P (if gateway present) | A (needs gateway) | P (via LPWAN gateway) | A (with gateway) |
| CoAP | P (efficient uplink) | P (with LPWAN) | P (with LPWAN) | P (for IP-based nodes) |
| AMQP | U (too heavy) | U (too heavy) | U (too heavy) | U (rarely justified) |
| HTTP/1.1 | U (high overhead) | U (high overhead) | U (high overhead) | A (if mains power) |
| HTTP/2 | U (overkill for UAV) | U | U | A (if mains power) |
| HTTP/3 | U (overkill, high energy) | U | U | U (rarely used on sensor) |
| BLE (Bluetooth) | U (range too short) | U (range too short) | U (range too short) | P (short-range, low power, e.g., indoor) |
| ZigBee | U (no relay infrastructure in air) | U (range too short) | A (if multi-node mesh to gateway) | P (mesh clusters in city, if powered coordinator) |
| 6LoWPAN | U (no infra aloft) | U (not typical) | A (for local mesh cluster) | A (used in smart city mesh with gateway) |
| Wi-SUN | U (mesh not feasible aloft) | U (no mesh infra) | U (unlikely, high power) | A (utility mesh with mains-powered routers) |
| LoRaWAN | P (long-range telemetry) | P (primary choice) | P (primary choice) | A (urban LPWAN networks) |
| Sigfox | A (if small data, limited ack) | P (if coverage exists) | P (if coverage, very low data) | A (urban if network available) |
| NB-IoT | P (if network available) | A (near coast or with coverage) | P (if network available) | P (leverages cellular coverage) |
| LTE-M | P (for high-data needs) | U (rarely in open ocean) | A (if moderate data, coverage) | P (for mobile/urban sensors) |
| Wi-Fi | A (for offloading large data when near base) | U (not feasible offshore) | U (no infrastructure) | P (if sensor has power & Wi-Fi AP) |
Disclaimer/Publisher’s Note: The statements, opinions and data contained in all publications are solely those of the individual author(s) and contributor(s) and not of MDPI and/or the editor(s). MDPI and/or the editor(s) disclaim responsibility for any injury to people or property resulting from any ideas, methods, instructions or products referred to in the content. |
© 2025 by the authors. Licensee MDPI, Basel, Switzerland. This article is an open access article distributed under the terms and conditions of the Creative Commons Attribution (CC BY) license (https://creativecommons.org/licenses/by/4.0/).
Share and Cite
Krawiec, J.; Wybraniak-Kujawa, M.; Jacyna-Gołda, I.; Kotylak, P.; Panek, A.; Wojtachnik, R.; Siedlecka-Wójcikowska, T. Energy Footprint and Reliability of IoT Communication Protocols for Remote Sensor Networks. Sensors 2025, 25, 6042. https://doi.org/10.3390/s25196042
Krawiec J, Wybraniak-Kujawa M, Jacyna-Gołda I, Kotylak P, Panek A, Wojtachnik R, Siedlecka-Wójcikowska T. Energy Footprint and Reliability of IoT Communication Protocols for Remote Sensor Networks. Sensors. 2025; 25(19):6042. https://doi.org/10.3390/s25196042
Chicago/Turabian StyleKrawiec, Jerzy, Martyna Wybraniak-Kujawa, Ilona Jacyna-Gołda, Piotr Kotylak, Aleksandra Panek, Robert Wojtachnik, and Teresa Siedlecka-Wójcikowska. 2025. "Energy Footprint and Reliability of IoT Communication Protocols for Remote Sensor Networks" Sensors 25, no. 19: 6042. https://doi.org/10.3390/s25196042
APA StyleKrawiec, J., Wybraniak-Kujawa, M., Jacyna-Gołda, I., Kotylak, P., Panek, A., Wojtachnik, R., & Siedlecka-Wójcikowska, T. (2025). Energy Footprint and Reliability of IoT Communication Protocols for Remote Sensor Networks. Sensors, 25(19), 6042. https://doi.org/10.3390/s25196042

