Active Hydraulic Oil Pressure Measurement System as a Source of Information About the Technical Condition of the Aircraft Hydrostatic Drive
Abstract
1. Introduction
2. Formulating the Problem and Model of an Active Hydraulic Oil Pressure Measurement System
2.1. Corrective Element of the Aircraft Hydrostatic Drive
- -
- Many input signals (disturbances) acting on hydrostatic drives are sinusoidal in nature (generally, they are the sum of trigonometric functions). This group of disturbances includes, among others, pressure and flow rate pulsations generated by hydraulic pumps. In these cases, the step response characteristics provide direct information about the drive’s behavior.
- -
- Dynamic system analysis methods developed in the theory of automatic control are primarily based on frequency characteristics.
2.2. Active Hydraulic Oil Pressure Measurement System in the Hydrostatic Drive
- -
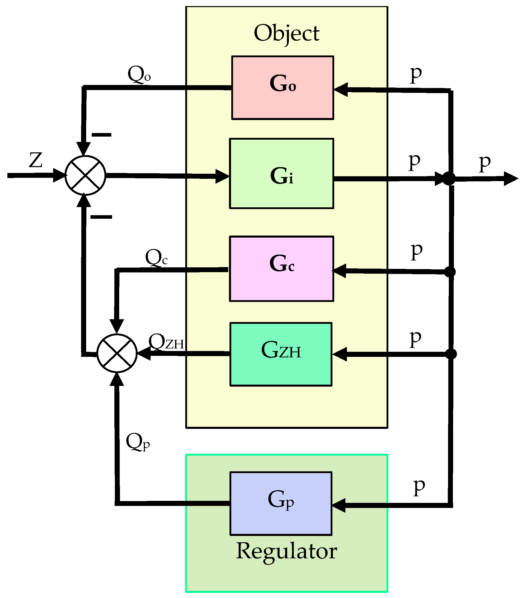
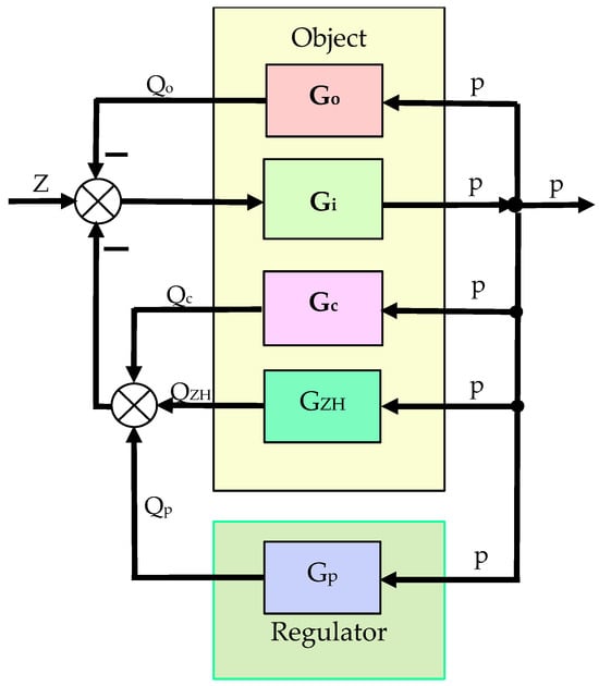
- A measuring tip permanently built into the hydrostatic drive;
- -
- A fixed measuring orifice allowing for measuring the effect of the hydraulic accumulator on the hydrostatic drive;
- -
- A sensor for measuring pressure difference;
- -
- A hydraulic accumulator acting as a corrective element.
2.3. Diagnostic Model of the Hydraulic System as a Hydrostatic Drive Module of an Aircraft
3. Research Results and Their Discussion
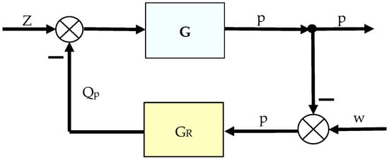
3.1. Simulation Studies of Pressure Changes in a Hydrostatic Drive with Passive Pressure Measurement
- -
- -
- -
- Did not affect the relationship between the design changes and the changes in the step response curves;
- -
3.2. Simulation Tests of an Active System for Measuring Pressure Changes in a Hydrostatic Drive
- -
- -
- (1)
- Changing the design parameters (ki, ko, kZH, kc) of the hydrostatic drive and regulator components (kR, Tj) causes a change in the step response.
- (2)
- The change in the step response as a function of the design parameters (ki, ko, kZH, kc) of the hydrostatic drive and regulator components (kR, Tj) does not depend on the method of disturbing the hydrostatic drive with (∆Qo, ∆Qp).
- (3)
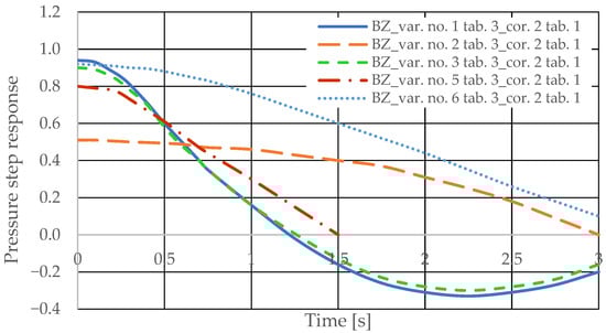
- The change in the step response as a function of the design parameters of the hydrostatic drive and regulator is more pronounced if the hydraulic correction accumulator is the only corrective element operating in the hydrostatic drive, i.e., in variant BZ, when the hydraulic correction accumulator is inserted into the hydrostatic drive after the hydraulic accumulator is disconnected from the hydrostatic drive (see Figure 1).
- (4)
- The change in the step response as a function of changes in the design parameters of the hydrostatic drive and regulator depends on the parameters of the corrector used. Therefore, it is possible to use multiple correctors to test the same hydrostatic drive, and the resulting signals, e.g., Qk1, Qk2, and Qk3, significantly facilitate the identification of changes in the hydrostatic drive being tested.
- (5)
- During passive measurement of the hydraulic fluid pressure in the hydrostatic drive, diagnostic information contained in the majorant of the step response of signal p (see Figure 6, Figure 7, Figure 8 and Figure 9) is concentrated at a single characteristic point close to the maximum value of the step response of signal Qk (Figure 10, Figure 11, Figure 12, Figure 13, Figure 14, Figure 15, Figure 16, Figure 17, Figure 18, Figure 19, Figure 20 and Figure 21).
- (6)
- The slight delay in the step response of the pressure change signal relative to the disturbance allows for effective interpretation of changes in this signal. Information about internal changes in the hydrostatic drive (wear of the hydraulic pairs of precision hydraulic devices) in the form of changes in signal p will flow out of the system undistorted, even after the short-term disturbance ceases.
4. Conclusions
Funding
Institutional Review Board Statement
Informed Consent Statement
Data Availability Statement
Conflicts of Interest
References
- Jose, J.T.; Das, J.; Mishra, S.K.; Wrat, G. Early detection and classification of internal leakage in boom actuator of mobile hydraulic machines using SVM. Eng. Appl. Artif. Intell. 2021, 106, 104492. [Google Scholar] [CrossRef]
- Rudenkoa, A.L.; Mishakinb, V.V.; Fomina, A.E.; Sergeevaa, O.A. Fatigue Failure of Hydraulic Power Equipment during a Long Service Life. Steel Transl. 2023, 53, 243–247. [Google Scholar] [CrossRef]
- Novak, N.; Trajkovski, A.; Kalin, M.; Majdič, F. Degradation of Hydraulic System due to Wear Particles or Medium Test Dust. Appl. Sci. 2023, 13, 7777. [Google Scholar] [CrossRef]
- Banazadeh, A.; Nobahari, H.; Seifouripour, Y. Identification Of State Space Dynamics Of A Fixed-Wing Aerial Vehicle With Neural Networks Using Flight Test Data. Sharif J. Mech. Eng. 2019, 35, 13–22. [Google Scholar]
- Pappalardo, C.M.; Lök, S.I.; Malgaca, L.; Guida, D. Experimental modal analysis of a single-link flexible robotic manipulator with curved geometry using applied system identification methods. Mech. Syst. Signal Process. 2023, 200, 110629. [Google Scholar] [CrossRef]
- Liu, J.; Xu, H.; Wang, J.; Peng, X. Reliable composite fault diagnosis of hydraulic systems based on linear discriminant analysis and multi-output hybrid kernel extreme learning machine. Reliab. Eng. Syst. Saf. 2023, 234, 109178. [Google Scholar] [CrossRef]
- Gomes, J.P.P.; Leão, B.P.; Vianna, W.O.L.; Galvão, R.K.H.; Yoneyama, T. Failure prognostics of a hydraulic pump using Kalman Filter. In Proceedings of the Annual Conference of the PHM Society, Minneapolis, MN, USA, 23–27 September 2012; pp. 464–468. [Google Scholar]
- Huang, K.; Wu, S.; Li, F.; Yang, C.; Gui, W. Fault Diagnosis of Hydraulic Systems Based on Deep Learning Model With Multirate Data Samples. IEEE Trans. Neural Netw. Learn. Syst. 2021, 33, 6789–6801. [Google Scholar] [CrossRef]
- Hemati, A.; Shooshtari, A. Gear Pump Root Cause Failure Analysis Using Vibrations Analysis and Signal Processing. J. Fail. Anal. Prev. 2020, 20, 1815–1818. [Google Scholar] [CrossRef]
- Guo, R.; Li, Y.; Shi, Y.; Li, H.; Zhao, J.; Gao, D. Research on identification method of wear degradation of external gear pump based on flow field analysis. Sensors 2020, 20, 4058. [Google Scholar] [CrossRef]
- Konieczny, J.; Łatas, W.; Stojek, J. Classification of Wear State for a Positive Displacement Pump Using Deep Machine Learning. Energies 2023, 16, 1408. [Google Scholar] [CrossRef]
- Li, Y.; Luo, Z.; He, F.; Zhu, Y.; Ge, X. Modeling of rotating machinery: A novel frequency sweep system identification approach. J. Sound Vib. 2021, 494, 115882. [Google Scholar] [CrossRef]
- Wang, H.; Zhou, J.; Chen, H.; Xu, B.; Shen, Z. Hydraulic system fault diagnosis decoupling method based on 2D time-series modeling and self-attention fusion. Sci. Rep. 2024, 14, 15620. [Google Scholar] [CrossRef]
- Yang, Y.; Ding, L.; Xiao, J.; Fang, G.; Li, J. Current Status and Applications for Hydraulic Pump Fault Diagnosis: A Review. Sensors 2022, 22, 9714. [Google Scholar] [CrossRef]
- Lovrec, D.; Tic, V.; Tasner, T. Dynamic behaviour of different hydraulic drive concepts–comparison and limits. Int. J. Simul. Model. 2017, 16, 448–457. [Google Scholar] [CrossRef]
- Lök, S.I.; Pappalardo, C.M.; La Regina, R.; Guida, D. A Numerical and Experimental Investigation of the Most Fundamental Time-Domain Input–Output System Identification Methods for the Normal Modal Analysis of Flexible Structures. Sensors 2025, 25, 1259. [Google Scholar] [CrossRef]
- Tang, S.; Zhu, Y.; Yuan, S. An adaptive deep learning model towards fault diagnosis of hydraulic piston pump using pressure signal. Eng. Fail. Anal. 2022, 138, 106300. [Google Scholar] [CrossRef]
- Lindstedt, P. Diagnostic Models of Technical Objects. In Practical Machine Diagnostics and Its Theoretical Foundations; ASKON Scientific Publishing House: Warsaw, Poland, 2002; Volume 5, pp. 86–105. [Google Scholar]
- Lindstedt, P.; Sudakowski, T.; Grądzki, R. Diagnostics in the Cybernetic Operational System of Objects and Its Relationship to Reliability. In Machine Operational Reliability and Its Theoretical Foundations; Air Force Institute of Technology Publishing House: Warsaw, Poland, 2016; Volume 1.2, pp. 15–37. [Google Scholar]
- Li, Z.; Jiang, W.; Zhang, S.; Xue, D.; Zhang, S. Research on prediction method of hydraulic pump remaining useful life based on KPCA and JITL. Appl. Sci. 2021, 11, 9389. [Google Scholar] [CrossRef]
- Yu, H.; Li, H. Pump remaining useful life prediction based on multi-source fusion and monotonicity-constrained particle filtering. Mech. Syst. Signal Process. 2022, 170, 108851. [Google Scholar] [CrossRef]
- Lan, Y.; Hu, J.; Huang, J.; Niu, L.; Zeng, X.; Xiong, X.; Wu, B. Fault diagnosis on slipper abrasion of axial piston pump based on Extreme Learning Machine. Meas. J. Int. Meas. Confed. 2018, 124, 378–385. [Google Scholar] [CrossRef]
- ISO 5167-1:1991; Standard Measurement of Fluid Flow by Means of Pressure Differential Devices, Part 1: Orifice Plates, Nozzles, and Venturi Tubes Inserted in Circular Cross-Section Conduit—Its Running Full. International Organization for Standardization: London, UK, 1991.
- Tao, H.; Jia, P.; Wang, X.; Wang, L. Real-Time Fault Diagnosis for Hydraulic System Based on Multi-Sensor Convolutional Neural Network. Sensors 2024, 24, 353. [Google Scholar] [CrossRef]
- Wang, J.; Xu, H.; Liu, J.; Peng, X. A bagging-strategy based heterogeneous ensemble deep neural networks approach for the multiple components fault diagnosis of hydraulic systems. Meas. Sci. Technol. 2023, 34, 065007. [Google Scholar] [CrossRef]
- Gareev, A.; Protsenko, V.; Stadnik, D.; Greshniakov, P. Improved Fault Diagnosis in Hydraulic Systems with Gated Convolutional Autoencoder and Partially Simulated Data. Sensors 2021, 21, 4410. [Google Scholar] [CrossRef] [PubMed]
- Fu, S.; Gao, X.; Zhai, F.; Li, B.; Xue, B.; Yu, J.; Meng, Z.; Zhang, G. A time series anomaly detection method based on series-parallel transformers with spatial and temporal association discrepancies. Inf. Sci. 2024, 657, 119978. [Google Scholar] [CrossRef]





















| No. | R | cx | b1 = R | |
|---|---|---|---|---|
| 1 | 0.4 | 50 | 0.4 | 8.0 |
| 2 | 0.04 | 50 | 0.04 | 0.8 |
| Lp. | ki | ko | kZH | kc | kR | Tj | |||
|---|---|---|---|---|---|---|---|---|---|
| 1 | 150 | 0.003 | 0.1 | 0.0002 | 0.03 | 0.5 | 9.4 | 0.03 | 0.56 |
| 2 | 15 | 0.003 | 0.1 | 0.0002 | 0.03 | 0.5 | 3.0 | 0.0096 | 0.18 |
| 3 | 150 | 0.0003 | 0.1 | 0.0002 | 0.03 | 0.5 | 9.4 | 0.0047 | 0.56 |
| 4 | 150 | 0.003 | 0.01 | 0.0002 | 0.03 | 0.5 | 60.0 | 0.192 | 3.6 |
| 5 | 150 | 0.003 | 0.1 | 0.00002 | 0.03 | 0.5 | 9.4 | 0.027 | 0.56 |
| 6 | 150 | 0.003 | 0.1 | 0.0002 | 0.003 | 0.5 | 9.4 | 0.03 | 0.056 |
| Lp. | ki | ko | kZH | kc | kR | Tj | |||
|---|---|---|---|---|---|---|---|---|---|
| 1 | 150 | 0 | 0.1 | 0.0002 | 0.03 | 0.5 | 9.4 | 0.0019 | 0.56 |
| 2 | 15 | 0 | 0.1 | 0.0002 | 0.03 | 0.5 | 3.0 | 0.0006 | 0.18 |
| 3 | 150 | 0.0003 | 0.1 | 0.0002 | 0.03 | 0.5 | 9.4 | 0.03 | 0.56 |
| 4 | 150 | 0 | 0.01 | 0.0002 | 0.03 | 0.5 | 60.0 | 0.012 | 3.6 |
| 5 | 150 | 0 | 0.1 | 0.00002 | 0.03 | 0.5 | 9.4 | 0.00019 | 0.56 |
| 6 | 150 | 0 | 0.1 | 0.0002 | 0.003 | 0.5 | 9.4 | 0.0019 | 0.056 |
Disclaimer/Publisher’s Note: The statements, opinions and data contained in all publications are solely those of the individual author(s) and contributor(s) and not of MDPI and/or the editor(s). MDPI and/or the editor(s) disclaim responsibility for any injury to people or property resulting from any ideas, methods, instructions or products referred to in the content. |
© 2025 by the author. Licensee MDPI, Basel, Switzerland. This article is an open access article distributed under the terms and conditions of the Creative Commons Attribution (CC BY) license (https://creativecommons.org/licenses/by/4.0/).
Share and Cite
Ułanowicz, L. Active Hydraulic Oil Pressure Measurement System as a Source of Information About the Technical Condition of the Aircraft Hydrostatic Drive. Sensors 2025, 25, 6031. https://doi.org/10.3390/s25196031
Ułanowicz L. Active Hydraulic Oil Pressure Measurement System as a Source of Information About the Technical Condition of the Aircraft Hydrostatic Drive. Sensors. 2025; 25(19):6031. https://doi.org/10.3390/s25196031
Chicago/Turabian StyleUłanowicz, Leszek. 2025. "Active Hydraulic Oil Pressure Measurement System as a Source of Information About the Technical Condition of the Aircraft Hydrostatic Drive" Sensors 25, no. 19: 6031. https://doi.org/10.3390/s25196031
APA StyleUłanowicz, L. (2025). Active Hydraulic Oil Pressure Measurement System as a Source of Information About the Technical Condition of the Aircraft Hydrostatic Drive. Sensors, 25(19), 6031. https://doi.org/10.3390/s25196031
