A Q-Learning Based Scheme for Neighbor Discovery and Power Control in Marine Opportunistic Networks †
Abstract
1. Introduction
2. Related Works
3. A Neighbor Discovery Method
- At the initial stage of neighbor discovery, any given node listens to the activity of surrounding nodes. Based on whether it can clearly parse the data frames at the MAC layer, the node categorizes neighboring nodes into clear neighbor nodes and ambiguous neighbor nodes, and adds them to the clear neighbor list and ambiguous neighbor list, respectively.
- If the ambiguous neighbor list of a node is empty, the node directly broadcasts hello probe packets carrying its own power information at maximum power to initiate neighbor discovery. Neighboring nodes that receive these probe packets respond with hello_reply packets using the same power. This active probing based on maximum power allows for rapid neighbor discovery Third item.
- If the ambiguous neighbor list of a node is not empty, as indicated in reference [8], dividing the maximum power into five levels offers a good compromise between the frequency of new neighbor discoveries and node energy consumption. Therefore, the maximum transmission power is evenly divided into five levels. The node employs an active probing method with incrementally increasing power levels. The detected nodes continue to respond using the same power level as the probe they received. This approach helps reduce network conflicts caused by direct maximum power probing among nodes.
4. Method Optimization
4.1. Passive Listening Time
4.2. Q-Learning Algorithm and Power Optimization Method
4.3. Neighbor Expiration Detection
4.4. Radio Propagation Model
- If the fuzzy neighbor list is empty, broadcast the probe packet at the maximum power Pm directly for neighbor discovery.
- If the fuzzy neighbor list is not empty, take Pm/5 − Pm/15, Pm/5, and Pm/5 + Pm/15 as the initial transmission power, respectively, and take Pm − Pm/15, Pm, and Pm + Pm/15 as the maximum transmission power, respectively, and perform three times of active probing with increasing power step by step with an increasing power value of Pm/5. Record the number of neighbor nodes detected each time, and calculate the average power consumption of the detected nodes =/, complete the initialization. Where i is the power level selection (i = 1, 2, 3, 4, 5), and j is the up and down floating selection of the power at this level (j = 1, 2, 3). Therefore, Equation (10) can be obtained,In order to save the energy consumed in neighbor discovery, the smaller the average power consumption of the detecting node, the better. During the subsequent iterative process, there is a preference for selecting a power level with a smaller . Therefore, can be used as the reward value. The power level with a smaller average power consumption will obtain a greater reward value. The node constructs the initialization matrix and the initialization iteration period.
- 3.
- When the node performs active probing with increasing power again, when the power level is , the power with the maximum is selected for active probing with a probability of 1–ε, and other powers are selected with a probability of ε for active probing, and the current value is updated simultaneously.
5. Simulation and Result Analysis
5.1. Simulation Setup
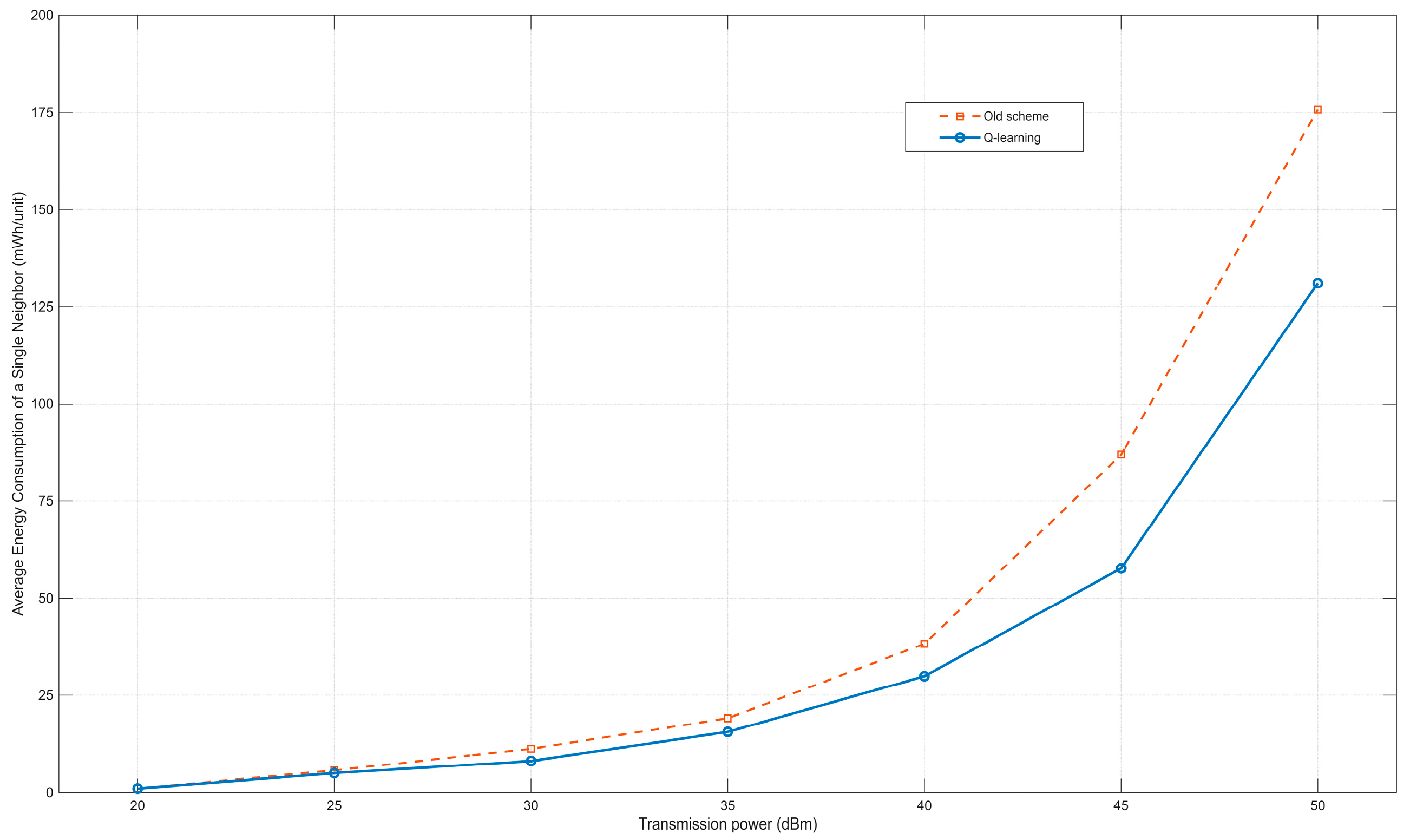
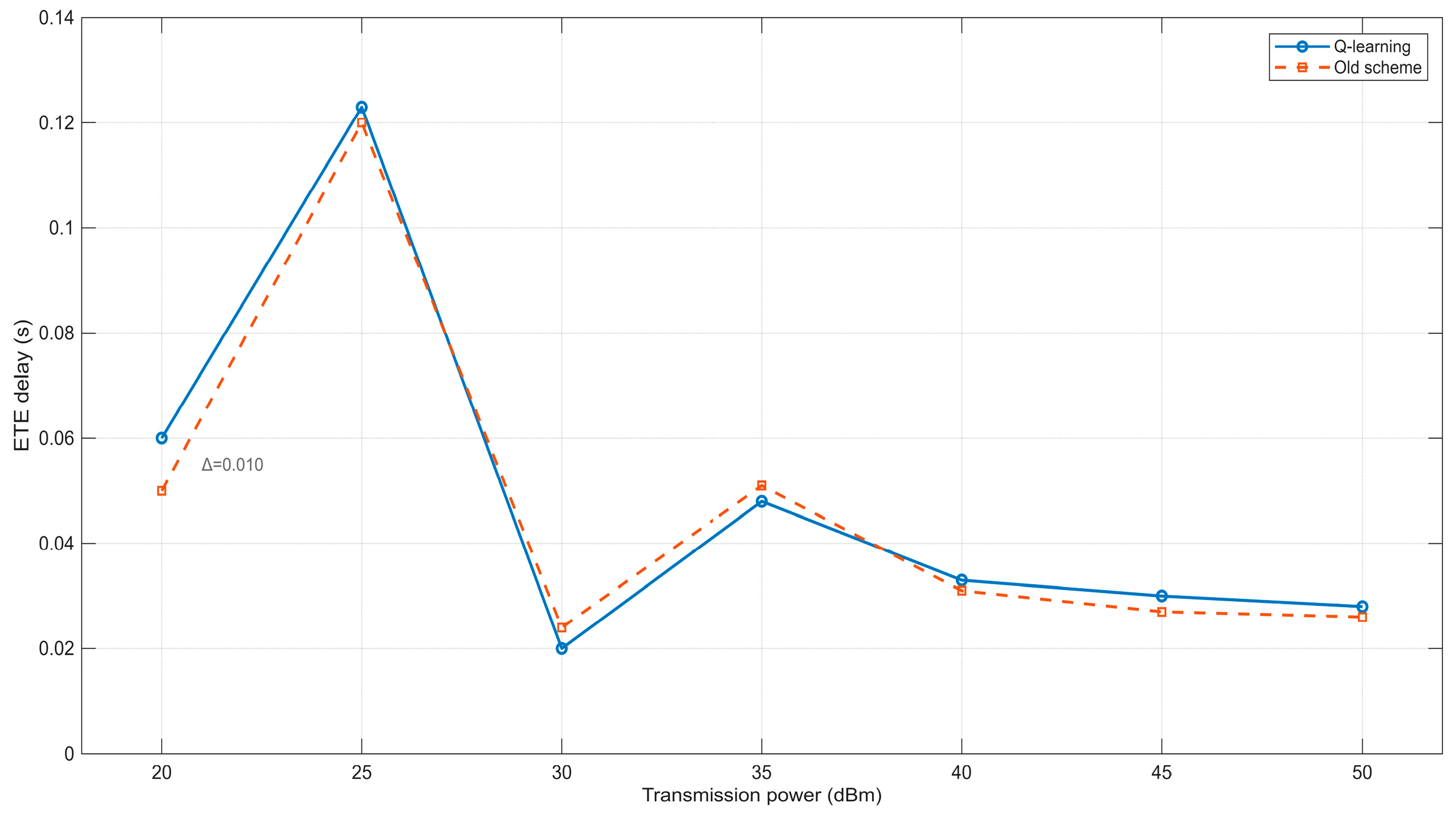
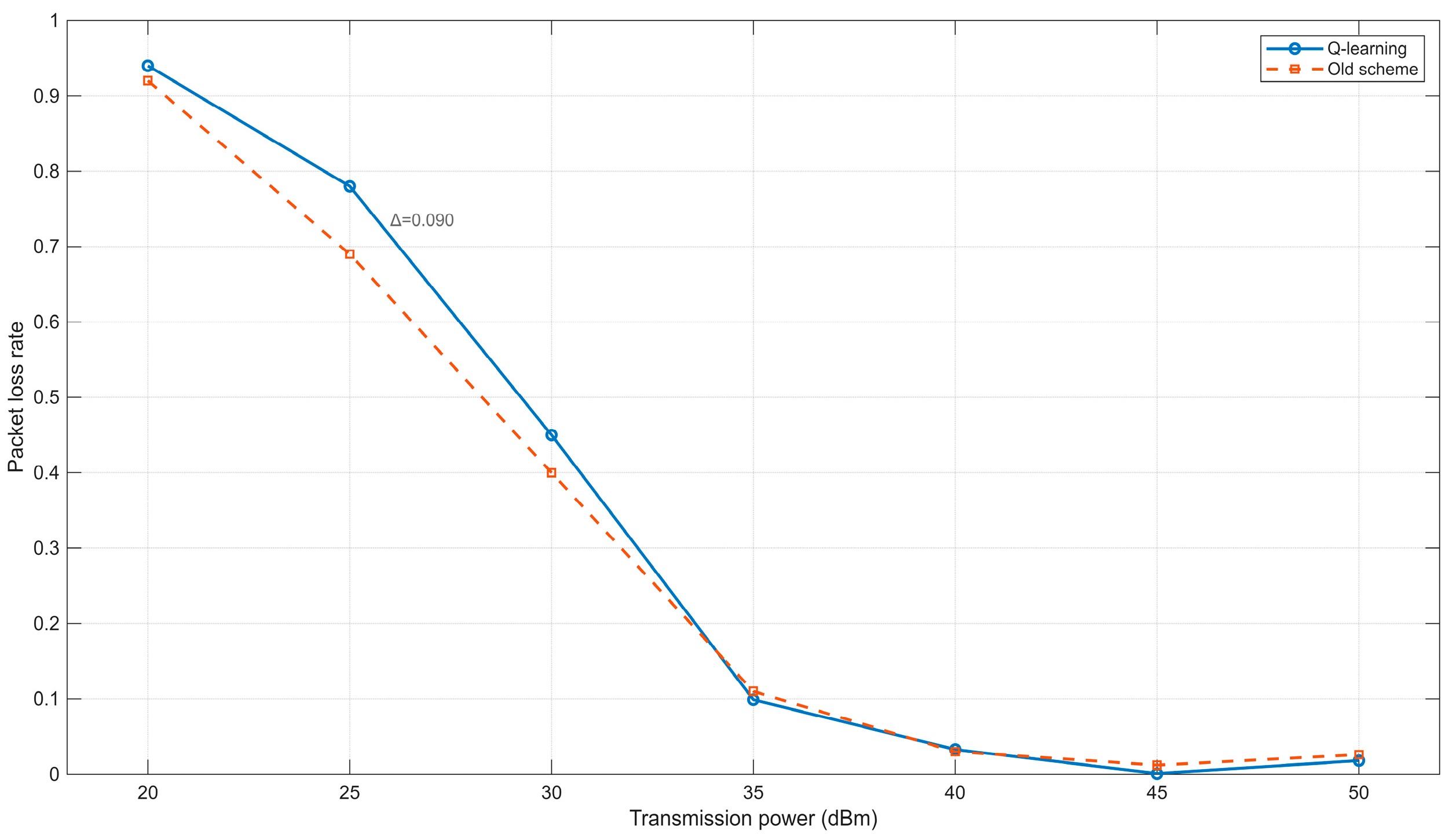
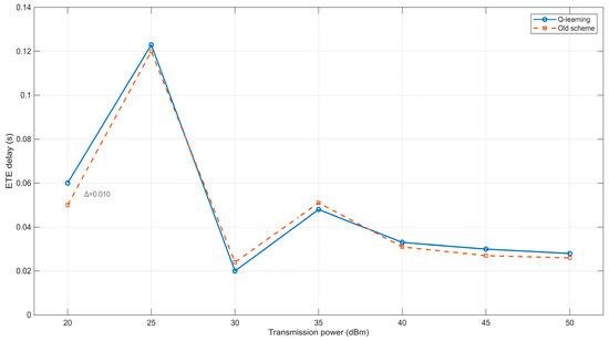
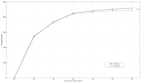
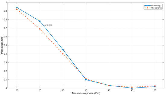
5.2. Simulation Results
5.3. Discussion
6. Conclusions
Author Contributions
Funding
Institutional Review Board Statement
Data Availability Statement
Conflicts of Interest
References
- Zhang, J.; Jiang, S.; Duan, J. A Joint Optimization Design Method for Opportunistic Network Neighbor Discovery and Power Control Based on Q-Learning. In Proceedings of the 2025 10th International Conference on Computer and Communication System (ICCCS), Chengdu, China, 18–21 April 2025; pp. 1145–1151. [Google Scholar] [CrossRef]
- Gautam, T.; Dev, A. Opportunistic Network Routing Protocols: Challenges, Implementation and Evaluation. In Proceedings of the 2019 9th International Conference on Cloud Computing, Data Science & Engineering (Confluence), Noida, India, 10–11 January 2019; pp. 100–106. [Google Scholar] [CrossRef]
- Singh, J.; Dhurandher, S.K.; Woungang, I.; Chao, H.-C. Context-Aware Trust and Reputation Routing Protocol for Opportunistic IoT Networks. Sensors 2024, 24, 7650. [Google Scholar] [CrossRef] [PubMed]
- Hussain, K.; Xia, Y.; Onaizah, A.; Manzoor, T. Multi-Disjoint Path opportunistic networks with Hidde Markov Chain modeling. Alex. Eng. J. 2024, 107, 47–60. [Google Scholar] [CrossRef]
- Kindt, P.H.; Chakraborty, S. Performance Limits of Neighbor Discovery in Wireless Networks. IEEE Trans. Netw. 2025, 33, 1–16. [Google Scholar] [CrossRef]
- Zhang, J.-Z.; Zhao, H.-S.; Yao, F.-Q. A fast neighbor discovery algorithm for cognitive radio ad hoc networks. In Proceedings of the 2010 IEEE 12th International Conference on Communication Technology, Nanjing, China, 11–14 November 2010; pp. 446–449. [Google Scholar] [CrossRef]
- Gu, Z.; Cao, Z.; Tian, Z.; Wang, Y.; Du, X.; Mohsen, G. A Low-Latency and Energy-Efficient Neighbor Discovery Algorithm for Wireless Sensor Networks. Sensors 2020, 20, 657. [Google Scholar] [CrossRef]
- Li, C.; Wei, Z.; Zhao, X.; Wu, Q. An Energy Efficient Joint Neighbor Discovery and Positioning Algorithm based on Gossip Mechanism. In Proceedings of the 2023 International Conference on Wireless Communications and Signal Processing (WCSP), Hangzhou, China, 2–4 November 2023; pp. 930–935. [Google Scholar] [CrossRef]
- Liu, Y.; Chen, L.; Xu, H.; Yang, D.; Cao, T.; Liu, Y. Joint Neighbor Discovery and Topology Exchange With Directional Antennas in Multi-Hop MANETs. IEEE Access 2025, 13, 95218–95226. [Google Scholar] [CrossRef]
- Jiang, J.; Wang, S.; Han, G.; Wang, H. Reinforcement-Learning-Based Adaptive Neighbor Discovery Algorithm for Directional Transmission-Enabled Internet of Underwater Things. IEEE Internet Things J. 2023, 10, 9038–9048. [Google Scholar] [CrossRef]
- Sorribes, J.V.; Lloret, J.; Penalver, L. Neighbor Discovery and Selection based on the Management of Priorities in Wireless Ad Hoc Networks. In Proceedings of the 2021 Global Congress on Electrical Engineering (GC-ElecEng), Valencia, Spain, 10–12 December 2021; pp. 49–54. [Google Scholar] [CrossRef]
- Wu, S. Active and Passive Combined Detection of Neighbor Nodes in Opportunistic Networks. Master’s Thesis, Shanghai Maritime University, Shanghai, China, 2016. [Google Scholar]
- Dai, Y.; Jiang, S. Analysis of Performance Optimization Methods for Neighbor Discovery in Opportunistic Networks. Microcomput. Its Appl. 2017, 36, 75–78. [Google Scholar] [CrossRef]
- Lin, S. Extended Search of Neighbor Nodes in Wireless Opportunistic Networks. Master’s Thesis, South China University of Technology, Guangzhou, China, 2015. [Google Scholar]
- Cheng, H.; Han, G.; Jiang, J. Reinforcement Learning-based Directional Neighbor Discovery Algorithm in the Internet of Underwater Things. In Proceedings of the 2023 International Conference on Intelligent Communication and Networking (ICN), Changzhou, China, 10–12 November 2023; pp. 254–258. [Google Scholar] [CrossRef]
- Wang, Y.; Peng, L.; Xu, R.; Yang, Y.; Ge, L. A Fast Neighbor Discovery Algorithm Based on Q-learning in Wireless Ad Hoc Networks with Directional Antennas. In Proceedings of the 2020 IEEE 6th International Conference on Computer and Communications (ICCC), Chengdu, China, 11–14 December 2020; pp. 467–472. [Google Scholar] [CrossRef]
- Utic, Z.; Oyemaja, A. Q-Learning Approach Applied to Network Security. Electronics 2025, 14, 1996. [Google Scholar] [CrossRef]
- Zhang, F.; Xiang, X.; Yang, B.; Liu, X.; Wu, X. Research on Transmission Distance Limitation and Improvement of IEEE 802.11 Protocol. Electron. Opt. Control 2013, 20, 85–88. [Google Scholar]
- Mota, V.F.; Cunha, F.D.; Macedo, D.F.; Nogueira, J.M.; Loureiro, A.A. Protocols, mobility models and tools in opportunistic networks: A survey. Comput. Commun. 2014, 48, 5–19. [Google Scholar] [CrossRef]
- Ho, I.W.-H.; Liew, S.C. Impact of Power Control on Performance of IEEE 802.11 Wireless Networks. IEEE Trans. Mob. Comput. 2007, 6, 1245–1258. [Google Scholar] [CrossRef]










| Parameters | Values |
|---|---|
| Scenario area/m2 | 5000 × 5000 |
| Simulation time/s | 3600 |
| Number of nodes | 15 |
| Node movement model | Random Waypoint |
| Power consumption for sending packets/mW | 100 |
| Power consumption for receiving packets/mW | 130 |
| Idle power consumption/mW | 120 |
| Node energy model Generic | Generic |
| MAC layer protocol | 802.11 |
| Network layer protocol | IPv4 |
| Transport layer protocol | UDP |
| Application data | CBR |
| Packet size/bytes | 512 |
| Temperature/K | 290 |
Disclaimer/Publisher’s Note: The statements, opinions and data contained in all publications are solely those of the individual author(s) and contributor(s) and not of MDPI and/or the editor(s). MDPI and/or the editor(s) disclaim responsibility for any injury to people or property resulting from any ideas, methods, instructions or products referred to in the content. |
© 2025 by the authors. Licensee MDPI, Basel, Switzerland. This article is an open access article distributed under the terms and conditions of the Creative Commons Attribution (CC BY) license (https://creativecommons.org/licenses/by/4.0/).
Share and Cite
Zhang, J.; Jiang, S.; Duan, J. A Q-Learning Based Scheme for Neighbor Discovery and Power Control in Marine Opportunistic Networks. Sensors 2025, 25, 5720. https://doi.org/10.3390/s25185720
Zhang J, Jiang S, Duan J. A Q-Learning Based Scheme for Neighbor Discovery and Power Control in Marine Opportunistic Networks. Sensors. 2025; 25(18):5720. https://doi.org/10.3390/s25185720
Chicago/Turabian StyleZhang, Jiahui, Shengming Jiang, and Jinyu Duan. 2025. "A Q-Learning Based Scheme for Neighbor Discovery and Power Control in Marine Opportunistic Networks" Sensors 25, no. 18: 5720. https://doi.org/10.3390/s25185720
APA StyleZhang, J., Jiang, S., & Duan, J. (2025). A Q-Learning Based Scheme for Neighbor Discovery and Power Control in Marine Opportunistic Networks. Sensors, 25(18), 5720. https://doi.org/10.3390/s25185720

