Quantification of the Effect of Saddle Fitting on Rider–Horse Biomechanics Using Inertial Measurement Units †
Abstract
Highlights
- Inertial sensors offer a reliable alternative for assessing the impact of saddle fitting.
- Saddle fitting adjustments significantly influence horse and rider biomechanics.
- Establishing an objective and reproducible method to assess saddle fit is essential.
Abstract
1. Introduction
2. Materials and Methods
2.1. Riders and Horses
2.2. Protocol Study
2.3. Equipment
2.4. Data Analysis
2.4.1. Active Range of Motion (AROM) Protraction/Retraction (P/R) Fore and Hindlimbs
2.4.2. Stride Time (ST)
2.4.3. Rider’s Pelvic AROM
2.4.4. Rider–Horse Synchronization (Time Lag)
2.5. Statistics
3. Results
3.1. Active Range of Motion (AROM) Protraction/Retraction (P/R) Fore and Hindlimbs
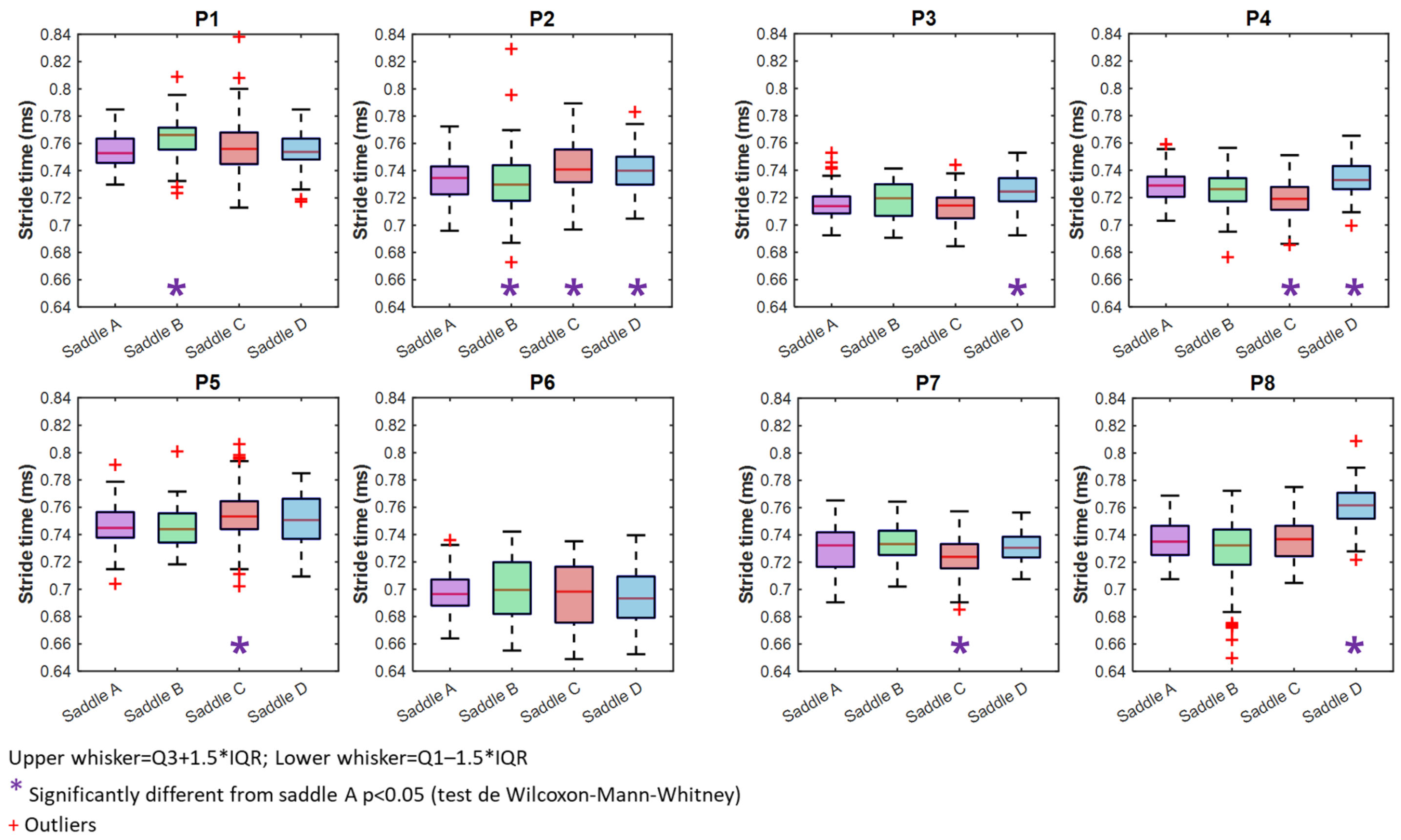
3.2. Stride Time (ST)
3.3. Rider’s Pelvic AROM
3.4. Rider–Horse Synchronization (Time Lag)
4. Discussion
5. Conclusions
Supplementary Materials
Author Contributions
Funding
Institutional Review Board Statement
Informed Consent Statement
Data Availability Statement
Acknowledgments
Conflicts of Interest
References
- Tufton, L.R.; Jowett, S. The Elusive “Feel”: Exploring the Quality of the Rider–Horse Relationship. Anthrozoös 2021, 34, 233–250. [Google Scholar] [CrossRef]
- MacKechnie-Guire, R.; Fisher, M.; Fisher, D.; Pfau, T.; Fairfax, V. Variations in Epaxial Musculature Dimensions and Horse Height over a Period of Eight Hours. Equine Vet. J. 2020, 52, 8–9. [Google Scholar] [CrossRef]
- Quiney, L.E.; Ellis, A.D.; Dyson, S.J. The Influence of Rider Weight on Exercise-Induced Changes in Thoracolumbar Dimensions and Epaxial Muscle Tension and Pain. Equine Vet. J. 2018, 50, 16. [Google Scholar] [CrossRef][Green Version]
- Back, W. Back in the Driver’s Seat and the Need for an Objective Evaluation of Saddle Fit. Vet. J. 2013, 195, 12–13. [Google Scholar] [CrossRef] [PubMed]
- Dittmann, M.T.; Arpagaus, S.; Hungerbühler, V.; Weishaupt, M.A.; Latif, S.N. “Feel the Force”—Prevalence of Subjectively Assessed Saddle Fit Problems in Swiss Riding Horses and Their Association with Saddle Pressure Measurements and Back Pain. J. Equine Vet. Sci. 2021, 99, 103388. [Google Scholar] [CrossRef]
- Dyson, S.; Berger, J.M.; Ellis, A.D.; Mullard, J. Can the Presence of Musculoskeletal Pain Be Determined from the Facial Expressions of Ridden Horses (FEReq)? J. Vet. Behav. 2017, 19, 78–89. [Google Scholar] [CrossRef]
- Dyson, S.; Bondi, A.; Routh, J.; Pollard, D.; Preston, T.; McConnell, C.; Kydd, J.H. An Investigation of Behaviour during Tacking-up and Mounting in Ridden Sports and Leisure Horses. Equine Vet. Educ. 2022, 34, e245–e257. [Google Scholar] [CrossRef]
- de Cocq, P.; Clayton, H.M.; Terada, K.; Muller, M.; van Leeuwen, J.L. Usability of Normal Force Distribution Measurements to Evaluate Asymmetrical Loading of the Back of the Horse and Different Rider Positions on a Standing Horse. Vet. J. 2009, 181, 266–273. [Google Scholar] [CrossRef]
- Jeffcott, L.B.; Holmes, M.A.; Townsend, H.G.G. Validity of Saddle Pressure Measurements Using Force- Sensing Array Technology—Preliminary Studies. Vet. J. 1999, 158, 113–119. [Google Scholar] [CrossRef]
- de Cocq, P.; van Weeren, P.R.; Back, W. Saddle Pressure Measuring: Validity, Reliability and Power to Discriminate between Different Saddle-Fits. Vet. J. 2006, 172, 265–273. [Google Scholar] [CrossRef]
- Holmes, M.; Jeffcott, L. Equitation Science, Rider Effects, Saddle and Back Problems in Horses: Can Technology Provide the Answer? Vet. J. 2010, 184, 5–6. [Google Scholar] [CrossRef]
- Peham, C.; Licka, T.; Kapaun, M.; Scheidl, M. A New Method to Quantify Harmony of the Horse-Rider System in Dressage. Sports Eng. 2001, 4, 95–101. [Google Scholar] [CrossRef]
- Pueo Ortega, B.; Jiménez Olmedo, J.M. Application of Motion Capture Technology for Sport Performance Analysis. Retos Nuevas Tend. Educ. Física Deporte Recreación 2017, 32, 241–247. [Google Scholar]
- Hatrisse, C.; Macaire, C.; Hebert, C.; Hanne-Poujade, S.; de Azevedo, E.; Audigié, F.; Ben Mansour, K.; Marin, F.; Martin, P.; Mezghani, N.; et al. A Method for Quantifying Back Flexion/Extension from Three Inertial Measurement Units Mounted on a Horse’s Withers, Thoracolumbar Region, and Pelvis. Sensors 2023, 23, 9625. [Google Scholar] [CrossRef]
- Martin, P.; Chateau, H.; Pourcelot, P.; Duray, L.; Cheze, L. Comparison Between Inertial Sensors and Motion Capture System to Quantify Flexion-Extension Motion in the Back of a Horse. Equine Vet. J. 2014, 46, 43. [Google Scholar] [CrossRef]
- Sapone, M.; Martin, P.; Ben Mansour, K.; Château, H.; Marin, F. Comparison of Trotting Stance Detection Methods from an Inertial Measurement Unit Mounted on the Horse’s Limb. Sensors 2020, 20, 2983. [Google Scholar] [CrossRef] [PubMed]
- Olsen, E.; Haubro Andersen, P.; Pfau, T. Accuracy and Precision of Equine Gait Event Detection during Walking with Limb and Trunk Mounted Inertial Sensors. Sensors 2012, 12, 8145–8156. [Google Scholar] [CrossRef] [PubMed]
- Viry, S.; Sleimen-Malkoun, R.; Temprado, J.-J.; Frances, J.-P.; Berton, E.; Laurent, M.; Nicol, C. Patterns of Horse-Rider Coordination during Endurance Race: A Dynamical System Approach. PLoS ONE 2013, 8, e71804. [Google Scholar] [CrossRef]
- Sapone, M.; Martin, P.; Ben Mansour, K.; Chateau, H.; Marin, F. The Protraction and Retraction Angles of Horse Limbs: An Estimation during Trotting Using Inertial Sensors. Sensors 2021, 21, 3792. [Google Scholar] [CrossRef]
- Münz, A.; Eckardt, F.; Heipertz-Hengst, C.; Peham, C.; Witte, K. A Preliminary Study of an Inertial Sensor-Based Method for the Assessment of Human Pelvis Kinematics in Dressage Riding. J. Equine Vet. Sci. 2013, 33, 950–955. [Google Scholar] [CrossRef]
- Dyson, S.; Carson, S.; Fisher, M. Saddle Fitting, Recognising an Ill-Fitting Saddle and the Consequences of an Ill-Fitting Saddle to Horse and Rider. Equine Vet Educ 2015, 27, 533–543. [Google Scholar] [CrossRef]
- Vicon Capture. U User Guide; Vicon: Oxford, UK, 2024. [Google Scholar]
- Wells, R.; Winter, D.A. Assessment of Signal and Noise in the Kinematics of Normal, Pathological and Sporting GaitsProc. Special Conf. Can. Soc. Biomech. 1980, 1, 92–93. [Google Scholar]
- Hatrisse, C.; Macaire, C.; Sapone, M.; Hebert, C.; Hanne-Poujade, S.; De Azevedo, E.; Marin, F.; Martin, P.; Chateau, H. Stance Phase Detection by Inertial Measurement Unit Placed on the Metacarpus of Horses Trotting on Hard and Soft Straight Lines and Circles. Sensors 2022, 22, 703. [Google Scholar] [CrossRef] [PubMed]
- Becard, B.; Sapone, M.; Martin, P.; Hanne-Poujade, S.; Joly, P.; Bertucci, W.; Houel, N. Preliminary Study of the Effect of Saddle Fitting on a Rider’s Pelvic Range of Motion. In Proceedings of the 49th Congress of the Société de Biomécanique, Compiègne, France, 29–31 October 2024. [Google Scholar]
- Mackechnie-Guire, R.; Mackechnie-Guire, E.; Fisher, M.; Mathie, H.; Bush, R.; Pfau, T.; Weller, R. Relationship Between Saddle and Rider Kinematics, Horse Locomotion, and Thoracolumbar Pressures in Sound Horses. J. Equine Vet. Sci. 2018, 69, 43–52. [Google Scholar] [CrossRef]
- Murray, R.; Guire, R.; Fisher, M.; Fairfax, V. Reducing Peak Pressures under the Saddle at Thoracic Vertebrae 10-13 Is Associated with Alteration in Jump Kinematics. Comp. Exerc. Physiol. 2018, 14, 239–248. [Google Scholar] [CrossRef]
- Greve, L.; Dyson, S.J. An Investigation of the Relationship between Hindlimb Lameness and Saddle Slip. Equine Vet. J. 2013, 45, 570–577. [Google Scholar] [CrossRef]
- Wilkins, C.A.; Nankervis, K.; Protheroe, L.; Draper, S.B. Static Pelvic Posture Is Not Related to Dynamic Pelvic Tilt or Competition Level in Dressage Riders. Sports Biomech. 2020, 22, 1290–1302. [Google Scholar] [CrossRef]
- Persson-Sjödin, E.; Hernlund, E.; Egenvall, A.; Rhodin, M. Influence of the Riders Position on the Movement Symmetry of Sound Horses in Straight Line Trot. J. Vet. Behav. 2016, 15, 81–82. [Google Scholar] [CrossRef]
- Walker, V.A.; Pettit, I.; Tranquille, C.A.; Spear, J.; Dyson, S.J.; Murray, R.C. Relationship between Pelvic Tilt Control, Horse-Rider Synchronisation, and Rider Position in Sitting Trot. Comp. Exerc. Physiol. 2020, 16, 423–432. [Google Scholar] [CrossRef]
- Bye, T.L.; Martin, R. Static Postural Differences between Male and Female Equestrian Riders on a Riding Simulator. Comp. Exerc. Physiol. 2021, 18, 210003. [Google Scholar] [CrossRef]
- Wilkins, C. Dynamic Technique Analysis of the Female Equestrian Rider. Ph.D. Thesis, University of the West of England, Bristol, UK, 2021. [Google Scholar]
- Greve, L.; Dyson, S. The Horse–Saddle–Rider Interaction. Vet. J. 2013, 195, 275–281. [Google Scholar] [CrossRef]






| SADDLE A | SADDLE B | SADDLE C | SADDLE D | |||||||||
|---|---|---|---|---|---|---|---|---|---|---|---|---|
| Med | IQR | Med | IQR | p-Value | Med | IQR | p-Value | Med | IQR | p-Value | ||
| P1 | AROM P/R forelimbs (°) | 93.1 | 4.3 | 91.8 * | 4.6 | 0.002 | 91.1 * | 3.5 | <0.001 | 92.5 | 4.3 | 0.088 |
| AROM P/R hindlimbs (°) | 63.3 | 4.0 | 62.1 * | 3.7 | <0.001 | 62.3 * | 3.8 | <0.001 | 63.4 | 3.7 | 0.73 | |
| Stride time (ms) | 754 | 17.8 | 765 * | 18.7 | <0.001 | 756 | 24.9 | 0.437 | 755 | 19.1 | 0.478 | |
| P2 | AROM P/R forelimbs (°) | 89.5 | 6.2 | 89.2 | 6.0 | 0.751 | 87.6 * | 4.3 | <0.001 | 87.8 * | 4.9 | 0.004 |
| AROM P/R hindlimbs (°) | 66.6 | 3.6 | 66.1 | 3.1 | 0.171 | 64.5 * | 3.5 | <0.001 | 66.2 | 3.2 | 0.167 | |
| Stride time (ms) | 734 | 19.6 | 729 * | 21.3 | 0.035 | 741 * | 16.9 | <0.001 | 738 * | 15.9 | 0.003 | |
| P3 | AROM P/R forelimbs (°) | 91.9 | 4.0 | 93.5 * | 3.4 | 0.001 | 93.5 | 3.7 | 0.068 | 92.0 | 4.0 | 0.142 |
| AROM P/R hindlimbs (°) | 65.8 | 3.4 | 67.3 * | 3.6 | <0.001 | 66.6 * | 4.2 | <0.001 | 66.0 | 4.1 | 0.310 | |
| Stride time (ms) | 714 | 12.4 | 717 | 24.4 | 0.124 | 713 | 16.9 | 0.412 | 724 * | 18.7 | <0.001 | |
| P4 | AROM P/R forelimbs (°) | 83.7 | 3.2 | 83.8 | 3.3 | 0.888 | 84.2 | 4.0 | 0.506 | 82.8 * | 3.7 | 0.002 |
| AROM P/R hindlimbs (°) | 63.5 | 4.2 | 63.2 | 3.2 | 0.125 | 62.6 * | 4.4 | 0.008 | 62.1 * | 3.5 | <0.001 | |
| Stride time (ms) | 729 | 17.6 | 727 | 18.7 | 0.104 | 720 * | 15.8 | <0.001 | 733 * | 16.9 | 0.006 | |
| P5 | AROM P/R forelimbs (°) | 87.8 | 4.0 | 89.1 * | 4.4 | 0.005 | 87.9 | 3.6 | 0.300 | 87.5 | 4.3 | 0.261 |
| AROM P/R hindlimbs (°) | 63.4 | 4.0 | 64.7 * | 4.1 | 0.002 | 64.1 * | 3.8 | 0.046 | 63.2 | 3.8 | 0.589 | |
| Stride time (ms) | 745 | 19.8 | 744 | 22.2 | 0.540 | 753 * | 23.1 | <0.001 | 751 | 29.8 | 0.086 | |
| P6 | AROM P/R forelimbs (°) | 86.7 | 2.5 | 85.2 * | 2.7 | <0.001 | 87.6 * | 3.5 | 0.006 | 87.8 * | 3.1 | <0.001 |
| AROM P/R hindlimbs (°) | 56.3 | 3.8 | 55.0 * | 3.3 | <0.001 | 57.4 * | 1.8 | 0.002 | 57.0 * | 2.9 | 0.003 | |
| Stride time (ms) | 696 | 18.7 | 700 | 35.6 | 0.262 | 696 | 39.9 | 0.324 | 692 | 26.9 | 0.110 | |
| P7 | AROM P/R forelimbs (°) | 91.2 | 3.4 | 91.1 | 2.6 | 0.617 | 92.0 * | 2.4 | 0.005 | 90.6 | 3.4 | 0.447 |
| AROM P/R hindlimbs (°) | 61.8 | 4.0 | 62.3 | 3.7 | 0.537 | 63.4 * | 3.5 | <0.001 | 63.1 * | 3.6 | 0.008 | |
| Stride time (ms) | 733 | 23.1 | 734 | 16.0 | 0.247 | 725 * | 17.8 | <0.001 | 731 | 12.4 | 0.556 | |
| P8 | AROM P/R forelimbs (°) | 88.9 | 3.6 | 89.0 | 3.6 | 0.302 | 89.0 | 3.1 | 0.476 | 87.0 * | 4.1 | <0.001 |
| AROM P/R hindlimbs (°) | 59.9 | 2.1 | 60.2 | 2.6 | 0.174 | 59.6 | 2.5 | 0.226 | 57.4 * | 2.9 | <0.001 | |
| Stride time (ms) | 736 | 21.3 | 733 | 24.0 | 0.100 | 737 | 20.4 | 0.545 | 763 * | 20.7 | <0.001 | |
| SADDLE A | SADDLE B | SADDLE C | SADDLE D | |||||||||
|---|---|---|---|---|---|---|---|---|---|---|---|---|
| Med | IQR | Med | IQR | p-Value | Med | IQR | p-Value | Med | IQR | p-Value | ||
| P1 | Pelvic pitch AROM (°) | 8.9 | 1.3 | 8.5 * | 1.4 | <0.001 | 7.9 * | 1.2 | <0.001 | 7.3 * | 1.4 | <0.001 |
| TL (ms) | 9.3 | 6.2 | 7.8 * | 6.2 | 0.048 | 8.4 | 8.0 | 0.296 | 12.4 * | 7.8 | <0.001 | |
| P2 | Pelvic pitch AROM (°) | 3.5 | 1.6 | 3.8 | 1.2 | 0.326 | 3.7 | 1.0 | 0.425 | 3.7 | 1.3 | 0.304 |
| TL (ms) | 11.1 | 11.3 | 13.1 | 10.7 | 0.054 | 11.1 | 10.2 | 0.599 | 15.6 * | 9.3 | <0.001 | |
| P3 | Pelvic pitch AROM (°) | 6.1 | 1.1 | 5.8 * | 0.9 | 0.004 | 5.9 | 0.7 | 0.116 | 5.4 * | 1.0 | <0.001 |
| TL (ms) | 19.1 | 5.8 | 18.2 * | 4.4 | 0.010 | 18.0 | 5.3 | 0.082 | 18.2 | 6.8 | 0.181 | |
| P4 | Pelvic pitch AROM (°) | 5.0 | 1.0 | 5.0 | 1.1 | 0.408 | 4.6 * | 0.9 | 0.001 | 5.6 * | 1.2 | <0.001 |
| TL (ms) | 2.7 | 7.6 | 0.4 * | 11.6 | 0.015 | −1.3 * | 13.0 | <0.001 | −3.6 * | 10.0 | <0.001 | |
| P5 | Pelvic pitch AROM (°) | 3.8 | 1.1 | 4.4 * | 1.8 | <0.001 | 3.9 | 1.4 | 0.081 | 6.2 * | 6.0 | <0.001 |
| TL (ms) | 16.0 | 6.0 | 19.6 * | 7.6 | 0.009 | 19.1 * | 9.2 | <0.001 | 20.9 * | 5.8 | <0.001 | |
| P6 | Pelvic pitch AROM (°) | 6.0 | 1.5 | 6.9 * | 3.8 | <0.001 | 6.9 * | 1.6 | <0.001 | 6.3 | 1.2 | 0.060 |
| TL (ms) | 17.3 | 10.2 | 14.2 * | 8.4 | <0.001 | 20.0 * | 8.0 | 0.001 | 19.6 * | 8.6 | 0.045 | |
| P7 | Pelvic pitch AROM (°) | 12.2 | 7.1 | 11.8 | 1.8 | 0.716 | 12.8 | 7.4 | 0.585 | 12.0 | 3.4 | 0.635 |
| TL (ms) | 30.7 | 9.0 | 32.4 | 8.4 | 0.107 | 34.4 * | 8.4 | 0.017 | 38.0 * | 6.7 | <0.001 | |
| P8 | Pelvic pitch AROM (°) | 4.9 | 1.1 | 5.1 | 1.4 | 0.659 | 5.1 | 1.1 | 0.126 | 5.5 * | 0.9 | <0.001 |
| TL (ms) | 26.2 | 5.9 | 26.7 | 4.9 | 0.826 | 28.0 | 6.7 | 0.126 | 20.9 * | 6.2 | <0.001 | |
Disclaimer/Publisher’s Note: The statements, opinions and data contained in all publications are solely those of the individual author(s) and contributor(s) and not of MDPI and/or the editor(s). MDPI and/or the editor(s) disclaim responsibility for any injury to people or property resulting from any ideas, methods, instructions or products referred to in the content. |
© 2025 by the authors. Licensee MDPI, Basel, Switzerland. This article is an open access article distributed under the terms and conditions of the Creative Commons Attribution (CC BY) license (https://creativecommons.org/licenses/by/4.0/).
Share and Cite
Becard, B.; Sapone, M.; Martin, P.; Hanne-Poujade, S.; Babu, A.; Hébert, C.; Joly, P.; Bertucci, W.; Houel, N. Quantification of the Effect of Saddle Fitting on Rider–Horse Biomechanics Using Inertial Measurement Units. Sensors 2025, 25, 4712. https://doi.org/10.3390/s25154712
Becard B, Sapone M, Martin P, Hanne-Poujade S, Babu A, Hébert C, Joly P, Bertucci W, Houel N. Quantification of the Effect of Saddle Fitting on Rider–Horse Biomechanics Using Inertial Measurement Units. Sensors. 2025; 25(15):4712. https://doi.org/10.3390/s25154712
Chicago/Turabian StyleBecard, Blandine, Marie Sapone, Pauline Martin, Sandrine Hanne-Poujade, Alexa Babu, Camille Hébert, Philippe Joly, William Bertucci, and Nicolas Houel. 2025. "Quantification of the Effect of Saddle Fitting on Rider–Horse Biomechanics Using Inertial Measurement Units" Sensors 25, no. 15: 4712. https://doi.org/10.3390/s25154712
APA StyleBecard, B., Sapone, M., Martin, P., Hanne-Poujade, S., Babu, A., Hébert, C., Joly, P., Bertucci, W., & Houel, N. (2025). Quantification of the Effect of Saddle Fitting on Rider–Horse Biomechanics Using Inertial Measurement Units. Sensors, 25(15), 4712. https://doi.org/10.3390/s25154712

