Effects of Transcutaneous Electroacupuncture Stimulation (TEAS) on Eyeblink, EEG, and Heart Rate Variability (HRV): A Non-Parametric Statistical Study Investigating the Potential of TEAS to Modulate Physiological Markers
Abstract
Highlights
- Eyeblink indices are potentially useful biomarkers for the effects of electroacupuncture and other neuromodulatory interventions.
- Significant autonomic correlates for some eyeblink parameters and EEG measures appear likely.
- Traditionally viewed artefacts, such as eyeblink measures, may themselves possess diagnostic and research value.
- Transcutaneous electroacupuncture stimulation can modulate brain activity and autonomic function in a time- and frequency-dependent manner.
Abstract
1. Introduction
2. Materials and Methods
2.1. Data Collection
2.2. Participants
2.3. Data Recording and Preprocessing
2.4. Measures Analysed
- 1.
- BLINKER
- (1)
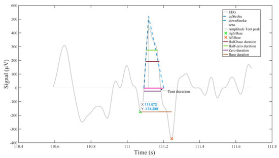
- Duration: median, mean, and ‘mad’ (mean absolute deviation) blink durations (at blink base and zero levels, as well as at half-base and half-zero levels, together with ‘tent’ duration), with corresponding measures for ‘good’ blinks (goodMedian, GoodMean, etc.).
- (2)
- Blink rate (blinks per minute, BpM)—mean, or mean of ‘good’ blinks per minute—together with numbers of blinks and of ‘good’ blinks.
- (3)
- Amplitude–velocity ratios (nAVRB, nAVRT, and nAVRZ), estimated from intervals between peak maximum and right base, between tent peak and right tent line, and between peak maximum and right zero; correspondingly for pAVRB, pAVRT and pAVRZ and right blink markers.
- 2.
- Median power for each 5 min recording, for all 228 channel (19) and band (12) combinations.
- 3.
- Regional power ratios: posterior/anterior, left/right, central/outer ratios of absolute or relative power in 12 standard and ‘infill’ EEG bands—a total of 252 measures.
- 4.
- Eighteen median power asymmetries, for both symmetrical right/left electrodes and regions [Loge(Mdn Pwr Right) − Loge(Mdn Pwr Left)], and for posterior/anterior and peripheral/central regions, in the same bands as for median power, together with 6 narrow bands centred on frequencies of potential interest (stimulation frequencies or their sub-multiples) and a further 12 narrow bands centred on frequencies presumed unrelated to stimulation frequencies, with 18 absolute and relative powers in narrow bands—a total of 602 measures.
- 5.
- Median power asymmetry ratios [e.g., 2 × (Loge(Mdn Pwr Right) − Loge(Mdn Pwr Left))/(Loge(Mdn Pwr Right) + Loge(Mdn Pwr Left))], as for the asymmetries but omitting narrow bands centred on 120 Hz and the absolute and relative power bands—a total of 530 measures. We also considered power asymmetry ratios [59] as variant measures of asymmetry.
- 6.
- Cordance measures in various standard and non-standard EEG bands, for all electrodes, both non-normalised and calculated as a comparison using both log-normalised [60,61] and square-root-normalised algorithms [62], with bands created using Thomson multi-taper or continuous Morlet wavelet methods [63,64]—a total of 8148 measures.
- 7.
- Centroids: regional power and frequency centroids; electrode spectral centroids; finger temperature slope (over time). ‘x’ and ‘y’ coordinates of centroids of all electrodes, those on the left or right, anterior or posterior, central or peripheral regions of the cranium, together with spectral centroids for each of the 19 channels—a total of 48 measures.
- 8.
- Power in 14 1 Hz bins, either bands centred on frequencies of potential interest (stimulation frequencies or their sub-multiples) or centred on frequencies presumed unrelated to stimulation frequencies, with bands created using the methods mentioned above. Two different methods of independent component analysis (ICA) were used in the data preparation: Extended InfoMax [73] (1065 measures) and Adaptive Mixture ICA, or AMICA [74] (1063 measures). Preprocessing was either using the standard methods available in EEGLab v 2022.0 [75] and associated software, using a pipeline created by Paul Steinfath as described elsewhere [30], or a semi-automated machine learning method developed by Thea Radüntz (who kindly provided the results for us) [76]—a total of 2128 measures.
- 9.
- 10.
- A further dataset consisted of the Wackermann descriptors for the 4 sec segments in each 5 min slot, with a repeat of the median values from the previous dataset, based on either Infomax or AMICA ICA (3188 measures).
- 11.
- Finally, HRV and PRV (pulse rate variability) indices computed using Kubios HRV software (Standard version 3.3.0) were included, for both the 5 min recordings (59 PRV and 59 HRV measures) and their 1 min segments (only a further 66, i.e., 2 × 33, measures, as 1 min segments were too short to compute some measures).
2.5. Statistical Analysis
- (1)
- Slot Values:
- (2)
- Slot Differences (values normalised with respect to baseline, within session):
- 12.
- Given the large number of variables involved in this exploratory study, most would be expected to provide little, if any, useful information on any questions we might ask of the data. In an earlier project, we explored the effects of space and terrestrial weather conditions on EEG and ECG readings collected during TEAS sessions, investigating more than 7700 features using a method called highly comparative time series analysis [81]. Here, we used a different approach, making use of what we call ‘top slicing’ methods in order to reduce the number of measures considered to something more informative and manageable. Various methods of ‘top slicing’ were compared to focus on those measures most likely to show significant differences with stimulation frequency, session, or slot within session. These are discussed below, in the Results section. Friedman’s test for repeated measures was used for both values and differences (as a non-parametric equivalent of analysis of variance, or ANOVA), with Kendall’s W as a measure of effect size, and Wilcoxon and Conover–Iman matched-pair signed-rank tests for post hoc analysis.
- (3)
- Bootstrapping (random sampling with replacement):
- (4)
- Interactions between frequency, session, and slot within session were also tested for, using the simple rank test for interaction proposed by Hettmansperger and Elmore (2002) [83].
- (5)
- Other non-parametric tests were used as required, such as the Mann–Whitney U test (also known as the Wilcoxon rank-sum test) for differences between independent samples and Spearman’s rank correlation method for correlations between them. For the latter, confidence intervals were calculated using the method of Bonett and Wright [84].
- 13.
- Effect size: In addition to statistical significance (using p-values), effect size (ES) was computed using different methods, as appropriate for each test. For Mann–Whitney tests, Cohen’s r (or Z/√n) was used, where Z is the Z-score, and n is the total number of observations on which Z is based [85,86]; for Friedman and Conover tests, Kendall’s W (or coefficient of concordance) was used, linearly related to Friedman’s χ2 (W = χ2/n(k − 1), where k is the number of measurements per participant [86]. For Spearman’s rank correlations, the correlation coefficient itself (rho, ρ) was taken as a measure of ES [87]. For all three methods, the usual convention was adopted: 0.1 ≤ ES < 0.3 was considered ‘small’, 0.3 ≤ ES < 0.5 as ‘medium, and ≥ 0.5 as ‘large’.
3. Results
3.1. Participant Demographics
3.2. Normality of Distribution
3.3. Top Slicing Methods Used
3.4. Comparing Maximum Effect Sizes for Differences Between Sessions and Differences Between Stimulation Frequencies, Both Within Slots
- Session by slot (Diffs): 0.129;
- Stimulation frequency by slot (Diffs): 0.179;
- Session by slot (values): 0.126;
- Stimulation frequency by slot (values): 0.127.
3.5. Differences over Time (Between Slots) Within Sessions
3.6. Post hoc Results, Using the Conover–Iman Statistic (CIS)
3.7. Measures and Indices Most Affected by Stimulation Frequency, Time Slot, or Session Order
3.8. Bootstrapping Results
3.9. Interactions Analysed Using the Hettmansperger–Elmore Test
3.10. ‘Best’ Blink Laterality and Autonomic Modulation of HRV
3.11. Autonomic Associations for the Other Data Types
3.12. Dropout
3.13. Adverse Reactions
4. Discussion
5. Conclusions
Innovation and Limitations
Supplementary Materials
Author Contributions
Funding
Institutional Review Board Statement
Informed Consent Statement
Data Availability Statement
Acknowledgments
Conflicts of Interest
Abbreviations
| ECG/PPG | Measure or term | Abbreviation |
| Electroencephalography | ECG | |
| Photoplethysmography | PPG | |
| HRV | Measure or term | Abbreviation |
| Approximate entropy | ApEn | |
| Correlation dimension | D2 (or CorrD) | |
| Detrended fluctuation analysis alpha 1 (short-term fluctuation slope) | DFA α1 | |
| Detrended fluctuation analysis alpha 2 (long-term fluctuation slope) | DFA α2 | |
| Electrocardiogram-derived respiration | EDR | |
| Relative power in the high-frequency band | HF% | |
| Peak frequency in the high-frequency band | HF.Hz | |
| Absolute power in the high-frequency band | HFabs | |
| Log-transformed high-frequency power | HFlog | |
| High-frequency power in normalised units | HFnu | |
| Relative power in the low-frequency band | LF% | |
| Heart rate (maximum, mean, minimum) | HR. HRmax, HRmean, HRmin | |
| Absolute power in the low-frequency band | LFabs | |
| Log-transformed the low-frequency power | LFlog | |
| Low-frequency power in normalised units | LFnu | |
| Ratio of low and high-frequency band powers | LF/HF | |
| Number of successive RR interval pairs that differ by more than xx milliseconds (ms) | NNxx | |
| NNxx divided by the total number of RR intervals | pNNxx | |
| Parasympathetic nervous system | PNS | |
| Square root of mean squared differences between successive RR intervals (also = SD1) | RMSSD | |
| Sample entropy | SampEn | |
| Standard deviations of Poincaré plot perpendicular to (SD1) and along (SD2) line-of-identity | SD1, SD2 | |
| Ratio of SD2 and SD1 | SD2/SD1 | |
| Standard deviation of heart rate | SDHR | |
| Standard deviation of RR intervals | SDNN | |
| Stress Index | SI | |
| Sympathetic nervous system | SNS | |
| Triangular index | TI | |
| Triangular interpolation of NN interval histogram | TINN | |
| Sum of HF, LF, and very low-frequency power | TotPwr | |
| Nonlinear HRV measures | HRV_Nonlin | |
| Other HRV and PRV measures | HRV_PRV | |
| EEG | Measure or term | Abbreviation |
| EEG Channels in the 10–20 system, as in ‘SQzTInf_mT_Theta4_8_P4’ | Fp1, Fp2, F7, F3, Fz, F4, F8, T7 (T3), C3, Cz, C4, T8 (T4), P7 (T5), P3, Pz, P4, P8 (T6), O1, O2 | |
| Median power, as in ‘1 Hz_MdnPwr_bins’ or ‘Mdnpwr_ASYMM’ [or ASYMM_171, where ‘171’ refers to binning method used] | MdnPwr | |
| Asymmetry, as in ‘Mdnpwr_ASYMM’ | ASYMM | |
| Multi-taper, alternative to Fourier transform for time-frequency analysis (as in ‘[channel]_[stimulation frequency]_A_PS_mT’) | mT | |
| Variant of mT | mTR | |
| Other (frequency) | O | |
| 1 Hz bin centred on frequency, at channel | O[frequency]_Channel | |
| Theta band between 4 and 8 Hz | Theta4_8 | |
| AMICA | A | |
| Extended InfoMax | I | |
| Independent component analysis | ICA | |
| Wackermann omega at epoch number, AMICA | Omega_[number 1 to 75]_A | |
| Wackermann omega at epoch number, InfoMax | Omega_[number 1 to 75]_I | |
| Wackermann phi at epoch number, AMICA | Phi_[number 1 to 75]_A | |
| Wackermann phi at epoch number, InfoMax | Phi_[number 1 to 75]_I | |
| Hjorth and Wackermann measures (median Slot values) | Hjorth_Wack’mn | |
| DFA from measures of analysis of time series (MATS) software | DFA_MATS | |
| Data processed using Paul Steinfath’s pipeline | PS | |
| Cordance | Measure or term | Abbreviation |
| Normalised, as in ‘CorN_Alpha_P3Inf_mTR_ln’ | CorN | |
| Natural logarithm, as in ‘CorN_Alpha_P3Inf_mTR_ln’ | ln | |
| ‘score’ (??), as in ‘CorN_Alpha_P3Inf_mTR_s’ | s | |
| InfoMax ICA, as in ‘CorN_Alpha_P3Inf_mTR_ln’ or ‘SQzTInf_mT_Theta4_8_P4’ | Inf | |
| EEG band, as in ‘CorN_Alpha_P3Inf_mTR_ln’ | Delta, Theta, Alpha, Beta, Gamma | |
| Square-root normalised and Z-transformed, as in ‘SQzTInf_mT_Theta4_8_P4’ | SQzT | |
| Ocular | Measure or term | Abbreviation |
| Blinks per minute | BpM | |
| Temperature | Measure or term | Abbreviation |
| Temperature | TEMP | |
| Statistics | Measure or term | Abbreviation |
| Interquartile range | IQR | |
| Kendall’s coefficient of concordance, its maximum | W, Wmax |
References
- Szmit, M.; Krajewski, R.; Rudnicki, J.; Agrawal, S. Application and efficacy of transcutaneous electrical acupoint stimulation (TEAS) in clinical practice: A systematic review. Adv. Clin. Exp. Med. 2023, 32, 1063–1074. [Google Scholar] [CrossRef] [PubMed]
- Maffei, A.; Angrilli, A. Spontaneous eye blink rate: An index of dopaminergic component of sustained attention and fatigue. Int. J. Psychophysiol. 2018, 123, 58–63. [Google Scholar] [CrossRef] [PubMed]
- Kleifges, K.; Bigdely-Shamlo, N.; Kerick, S.E.; Robbins, K.A. BLINKER: Automated extraction of ocular indices from EEG enabling large-scale analysis. Front. Neurosci. 2017, 11, 12. [Google Scholar] [CrossRef] [PubMed]
- Johns, M.W. The amplitude-velocity ratio of blinks: A new method for monitoring drowsiness. Sleep 2003, 26 (Suppl). [Google Scholar]
- Robbins, K.; EEG-Blinks. BLINKER: Automated Blink Detector for EEG. n.d. Available online: https://vislab.github.io/EEG-Blinks/ (accessed on 14 April 2025).
- Kassem, I.S.; Evinger, C. Asymmetry of blinking. Investig. Ophthalmol. Vis. Sci. 2006, 47, 195–201. [Google Scholar] [CrossRef] [PubMed]
- Braff, D.L.; Geyer, M.A.; Swerdlow, N.R. Human studies of prepulse inhibition of startle: Normal subjects, patient groups, and pharmacological studies. Psychopharmacology 2001, 156, 234–258. [Google Scholar] [CrossRef] [PubMed]
- Hager, J.C.; Ekman, P. The asymmetry of facial actions is inconsistent with models of hemispheric specialization. Psychophysiology 1985, 22, 307–318. [Google Scholar] [CrossRef] [PubMed]
- Cadenhead, K.S.; Swerdlow, N.R.; Shafer, K.M.; Diaz, M.; Braff, D.L. Modulation of the startle response and startle laterality in relatives of schizophrenic patients and in subjects with schizotypal personality disorder: Evidence of inhibitory deficits. Am. J. Psychiatry 2000, 157, 1660–1668. [Google Scholar] [CrossRef] [PubMed]
- Schröder, R.; Reuter, M.; Faßbender, K.; Plieger, T.; Poulsen, J.; Lui, S.S.Y.; Chan, R.C.K.; Ettinger, U. The role of the SLC6A3 3’ UTR VNTR in nicotine effects on cognitive, affective, and motor function. Psychopharmacology 2022, 239, 489–507. [Google Scholar] [CrossRef] [PubMed]
- Karson, C.N. Spontaneous eye-blink rates and dopaminergic systems. Brain 1983, 106 Pt 3, 643–653. [Google Scholar] [CrossRef] [PubMed]
- Klein, C.; Andresen, B.; Thom, E. Blinking, alpha brain waves and smoking in schizophrenia. Acta Psychiatr. Scand. 1993, 87, 172–178. [Google Scholar] [CrossRef] [PubMed]
- Kojima, M.; Shioiri, T.; Hosoki, T.; Sakai, M.; Bando, T.; Someya, T. Blink rate variability in patients with panic disorder: New trial using audiovisual stimulation. Psychiatry Clin. Neurosci. 2002, 56, 545–549. [Google Scholar] [CrossRef] [PubMed]
- Verhoeff, N.P.; Christensen, B.K.; Hussey, D.; Lee, M.; Papatheodorou, G.; Kopala, L.; Rui, Q.; Zipursky, R.B.; Kapur, S. Effects of catecholamine depletion on D2 receptor binding, mood, and attentiveness in humans: A replication study. Pharmacol. Biochem. Behav. 2003, 74, 425–432. [Google Scholar] [CrossRef] [PubMed]
- Mayor, D.; Steffert, T. EEG and eyeblink response to different acupuncture modalities: Some preliminary results from four exploratory pilot studies. Poster presentation. In Proceedings of the 15th International Acupuncture Research Symposium, London South Bank University, London, UK, 2 March 2013; Available online: https://researchprofiles.herts.ac.uk/en/publications/eeg-and-eyeblink-response-to-different-acupuncture-modalities-som (accessed on 13 May 2025).
- Mayor, D.; Panday, D.; Kandel, H.K.; Steffert, T.; Banks, D. CEPS: An open access MATLAB Graphical User Interface (GUI) for the analysis of Complexity and Entropy in Physiological Signals. Entropy 2021, 23, 321. [Google Scholar] [CrossRef] [PubMed]
- Mayor, D.; Steffert, T.; Datseris, G.; Firth, A.; Panday, D.; Kandel, H.; Banks, D. Complexity and Entropy in Physiological Signals (CEPS): Resonance breathing rate assessed using measures of fractal dimension, heart rate asymmetry and permutation entropy. Entropy 2023, 25, 301. [Google Scholar] [CrossRef] [PubMed]
- Mayor, D.F. CNS resonances to peripheral stimulation: Is frequency important? J. AACP 2001, 29–63. [Google Scholar]
- Salansky, N.; Fedotchev, A.; Bondar, A. Responses of the nervous system to low frequency stimulation and EEG rhythms: Clinical implications. Neurosci. Biobehav. Rev. 1998, 22, 395–409. [Google Scholar] [CrossRef] [PubMed]
- Mayor, D.F. Exploring amplitude in transcutaneous electroacupuncture stimulation (TEAS). In Proceedings of the AACP Leeds Conference, Principal Met Hotel, Leeds, UK, 13 October 2018. [Google Scholar]
- Xu, J.J.; Ren, M.; Zhao, J.J.; Wu, J.J.; Zhang, S.C.; Zhong, Y.B.; Xu, S.T.; Cao, Z.Y.; Zhou, Z.Q.; Li, Y.L.; et al. Effectiveness of theta and gamma electroacupuncture for post-stroke patients on working memory and electrophysiology: Study protocol for a double-center, randomized, patient- and assessor-blinded, sham-controlled, parallel, clinical trial. Trials 2020, 21, 910. [Google Scholar] [CrossRef] [PubMed]
- Ren, M.; Xu, J.; Zhao, J.; Zhang, S.; Wang, W.; Xu, S.; Zhou, Z.; Chen, X.; Chen, S.; Li, Y.; et al. The modulation of working-memory performance using gamma-electroacupuncture and theta-electroacupuncture in healthy adults. Evid. Based Complement. Alternat Med. 2021, 2021, 2062718. [Google Scholar] [CrossRef] [PubMed]
- Al-Zamil, M.; Kulikova, N.G.; Minenko, I.A.; Shurygina, I.P.; Petrova, M.M.; Mansur, N.; Kuliev, R.R.; Blinova, V.V.; Khripunova, O.V.; Shnayder, N.A. Comparative analysis of high-frequency and low-frequency transcutaneous electrical stimulation of the right median nerve in the regression of clinical and neurophysiological manifestations of generalized anxiety disorder. J. Clin. Med. 2024, 13, 3026. [Google Scholar] [CrossRef] [PubMed]
- Ebrahimian, M.; Razeghi, M.; Zamani, A.; Bagheri, Z.; Rastegar, K.; Motealleh, A. Does high frequency transcutaneous electrical nerve stimulation (TENS) affect EEG gamma band activity? J. Biomed. Phys. Eng. 2018, 8, 271–280. [Google Scholar] [CrossRef] [PubMed]
- Mayor, D.; Panday, D.; Steffert, T.; Kandel, H.K.; Beyond, H.R.V. Extending the range of autonomic measures associated with heart rate variability: The effects of transcutaneous electroacupuncture (TEAS). Poster presentation. In Proceedings of the 22nd International Acupuncture Research Symposium, Virtual Event, 27 March 2021; Available online: https://researchprofiles.herts.ac.uk/en/publications/beyond-hrv-extending-the-range-of-autonomic-measures-associated-w (accessed on 13 May 2025).
- Agorastos, A.; Mansueto, A.C.; Hager, T.; Pappi, E.; Gardikioti, A.; Stiedl, O. Heart rate variability as a translational dynamic biomarker of altered autonomic function in health and psychiatric disease. Biomedicines 2023, 11, 1591. [Google Scholar] [CrossRef] [PubMed]
- Yuda, E.; Shibata, M.; Ogata, Y.; Ueda, N.; Yambe, T.; Yoshizawa, M.; Hayano, J. Pulse rate variability: A new biomarker, not a surrogate for heart rate variability. J. Physiol. Anthropol. 2020, 39, 21. [Google Scholar] [CrossRef] [PubMed]
- Uyulan, Ç.; Mayor, D.; Steffert, T.; Watson, T.; Banks, D. Classification of the central effects of transcutaneous electroacupuncture stimulation (TEAS) at different frequencies: A deep learning approach using wavelet packet decomposition with an entropy estimator. Appl. Sci. 2023, 13, 2703. [Google Scholar] [CrossRef]
- Vasei, T.; Gediya, H.; Ravan, M.; Santhanakrishnan, A.; Mayor, D.; Steffert, T. Investigating brain responses to transcutaneous electroacupuncture stimulation: A Deep Learning approach. Algorithms 2024, 17, 477. [Google Scholar] [CrossRef]
- Lopes Alves, R.; Zortea, M.; Mayor, D.; Watson, T.; Steffert, T. Effect of different frequencies of transcutaneous electrical acupoint stimulation (TEAS) on EEG source localization in healthy volunteers: A semi-randomized, placebo-controlled, crossover study. Brain Sci. 2025, 15, 270. [Google Scholar] [CrossRef] [PubMed]
- Johnson, M.I. Long-standing uncertainty about the clinical efficacy of Transcutaneous Electrical Nerve Stimulation (TENS) to relieve pain: A comprehensive review of factors influencing outcome. Medicina 2021, 57, 378. [Google Scholar] [CrossRef] [PubMed]
- Jarzem, P.F.; Harvey, E.J.; Arcaro, N.; Kaczorowski, J. Transcutaneous electrical nerve stimulation [TENS] for short-term treatment of low back pain–randomized double blind crossover study of sham versus conventional TENS. J. Musculoskelet. Pain. 2005, 13, 11–17. [Google Scholar] [CrossRef]
- Oosterhof, J.; Wilder-Smith, O.H.; de Boo, T.; Oostendorp, R.A.; Crul, B.J. The long-term outcome of transcutaneous electrical nerve stimulation in the treatment for patients with chronic pain: A randomized, placebo-controlled trial. Pain. Pract. 2012, 12, 513–522. [Google Scholar] [CrossRef] [PubMed]
- Elboim-Gabyzon, M.; Andrawus Najjar, S.; Shtarker, H. Effects of transcutaneous electrical nerve stimulation (TENS) on acute postoperative pain intensity and mobility after hip fracture: A double-blinded, randomized trial. Clin. Interv. Aging 2019, 14, 1841–1850. [Google Scholar] [CrossRef] [PubMed]
- Meade, C.S.; Lukas, S.E.; McDonald, L.J.; Fitzmaurice, G.M.; Eldridge, J.A.; Merrill, N.; Weiss, R.D. A randomized trial of transcutaneous electric acupoint stimulation as adjunctive treatment for opioid detoxification. J. Subst. Abuse Treat. 2010, 38, 12–21. [Google Scholar] [CrossRef] [PubMed]
- Zhou, D.; Hu, B.; He, S.; Li, X.; Gong, H.; Li, F.; Wang, Q. Transcutaneous Electrical acupoint stimulation accelerates the recovery of gastrointestinal function after Cesarean section: A randomized controlled trial. Evid. Based Complement. Alternat Med. 2018, 2018, 7341920. [Google Scholar] [CrossRef] [PubMed]
- Gao, W.; Zhang, L.; Han, X.; Wei, L.; Fang, J.; Zhang, X.; Zhang, J.; Wang, H.; Zhou, Q.; Wang, C.; et al. Transcutaneous: A Multi Center Randomized electrical acupoint stimulation decreases the inci-dence of postoperative nausea and vomiting after laparoscopic non gastrointestinal surgery: A multi center randomized controlled trial. Front. Med. 2022, 9, 766244. [Google Scholar] [CrossRef] [PubMed]
- Mayor, D.; Steffert, T. Measuring mood: Relative sensitivity of numerical rating and Likert scales in the context of teaching electroacupuncture. Poster presentation. In Proceedings of the 18th ARRC International Acupuncture Research Symposium, King’s College, London, UK, 19 March 2016; Available online: https://researchprofiles.herts.ac.uk/en/publications/measuring-mood-relative-sensitivity-of-numerical-rating-and-liker? (accessed on 15 May 2025).
- Liu, C.C.; Ghosh Hajra, S.; Cheung, T.P.; Song, X.; D’Arcy, R.C. Spontaneous blinks activate the precuneus: Characterizing blink-related oscillations using magnetoencephalography. Front. Hum. Neurosci. 2017, 11, 489. [Google Scholar] [CrossRef] [PubMed]
- Liu, C.C.; Ghosh Hajra, S.; Pawlowski, G.; Fickling, S.D.; Song, X.; D’Arcy, R.C.N. Differential neural processing of spontaneous blinking under visual and auditory sensory environments: An EEG investigation of blink-related oscillations. Neuroimage 2020, 218, 116879. [Google Scholar] [CrossRef] [PubMed]
- Robbins, K. (Department of Computer Science, University of Texas at San Antonio, San Antonio, TX, USA). Personal communication, 10 April 2003.
- Calliess, J.-P. Further Investigations on Unspoken Speech-Findings in an Attempt of Developing EEG-Based Word Recognition. Studienarbeit. Institut für Theoretische Informatik, Universität Karlsruhe 2006. Available online: https://www.cs.cmu.edu/~tanja/Papers/SA-Callies.pdf (accessed on 13 May 2025).
- Miyakoshi, M.; Jurgiel, J.; Dillon, A.; Chang, S.; Piacentini, J.; Makeig, S.; Loo, S.K. Modulation of frontal oscillatory power during blink suppression in children: Effects of premonitory urge and reward. Cereb. Cortex Commun. 2020, 1, tgaa046. [Google Scholar] [CrossRef] [PubMed]
- Salgado, D.P. Carga cognitiva e sua correlação com piscadas durante o uso de um simulador de cadeira de rodas [Cognitive Load and Its Correlation with Blinks During the Use of a Wheelchair Simulator]. Master’s Dissertation, Program in Biomedical Engineering, Faculty of Electrical Engineering, Federal University of Uberlândia, Uberlândia, Brasil, 2020. Available online: https://repositorio.ufu.br/bitstream/123456789/29909/3/CargaCognitivaCorrelacao.pdf (accessed on 13 May 2025).
- Lee, J.S.; Choi, Y.J.; Cho, S.H. Effect of electroacupuncture stimulation at different frequencies on brain waves. Acupunct. Electro-Ther. Res. 2019, 44, 11–22. [Google Scholar] [CrossRef]
- Witzel, T.; Napadow, V.; Kettner, N.W.; Vangel, M.G.; Hämäläinen, M.S.; Dhond, R.P. Differences in cortical response to acupressure and electroacupuncture stimuli. BMC Neurosci. 2011, 12, 1–8. [Google Scholar] [CrossRef] [PubMed]
- Aspiotis, V.; Miltiadous, A.; Kalafatakis, K.; Tzimourta, K.D.; Giannakeas, N.; Tsipouras, M.G.; Peschos, D.; Glavas, E.; Tzallas, A.T. Assessing electroencephalography as a stress indicator: A VR high-altitude scenario monitored through EEG and ECG. Sensors 2022, 22, 5792. [Google Scholar] [CrossRef] [PubMed]
- Attar, E.T.; Balasubramanian, V.; Subasi, E.; Kaya, M. Stress analysis based on simultaneous heart rate variability and EEG monitoring. IEEE J. Transl. Eng. Health Med. 2021, 9, 2700607. [Google Scholar] [CrossRef] [PubMed]
- Kawashima, T.; Shiratori, H.; Amano, K. The relationship between alpha power and heart rate variability commonly seen in various mental states. PLoS ONE 2024, 19, e0298961. [Google Scholar] [CrossRef] [PubMed]
- Teo, J.T.; Johnstone, S.J.; Thomas, S.J. Use of portable devices to measure brain and heart activity during relaxation and comparative conditions: Electroencephalogram, heart rate variability, and correlations with self-report psychological measures. Int. J. Psychophysiol. 2023, 189, 1–10. [Google Scholar] [CrossRef] [PubMed]
- Vanhollebeke, G.; De Smet, S.; De Raedt, R.; Baeken, C.; van Mierlo, P.; Vanderhasselt, M.A. The neural correlates of psychosocial stress: A systematic review and meta-analysis of spectral analysis EEG studies. Neurobiol. Stress. 2022, 18, 100452. [Google Scholar] [CrossRef] [PubMed]
- Napadow, V.; Makris, N.; Liu, J.; Kettner, N.W.; Kwong, K.K.; Hui, K.K. Effects of electroacupuncture versus manual acupuncture on the human brain as measured by fMRI. Hum. Brain Mapp. 2005, 24, 193–205. [Google Scholar] [CrossRef] [PubMed]
- Mayor, D. Electroacupuncture (EA) and the EEG: An Unfinished Personal Journey, 2001–2022. From Simple Hypothesis to Artificial Intelligence (AI). Presentation. In Proceedings of the AACP Virtual Conference, Virtual, 21 May 2022; Available online: https://researchprofiles.herts.ac.uk/en/publications/electroacupuncture-ea-and-the-eeg-an-unfinished-personal-journey- (accessed on 15 May 2025).
- Sarosiek, I.; Song, G.; Sun, Y.; Sandoval, H.; Sands, S.; Chen, J.; McCallum, R.W. Central and peripheral effects of transcutaneous acupuncture treatment for nausea in patients with diabetic gastroparesis. J. Neurogastroenterol. Motil. 2017, 23, 245–253. [Google Scholar] [CrossRef] [PubMed]
- Yüksel, M.; Ayaş, Ş.; Cabıoğlu, M.T.; Yılmaz, D.; Cabıoğlu, C. Quantitative data for transcutaneous electrical nerve stimulation and acupuncture effectiveness in treatment of fibromyalgia syndrome. Evid. Based Complement. Alternat Med. 2019, 2019, 9684649. [Google Scholar] [CrossRef] [PubMed]
- Tegeler, C.H.; Shaltout, H.A.; Tegeler, C.L.; Gerdes, L.; Lee, S.W. Rightward dominance in temporal high-frequency electrical asymmetry corresponds to higher resting heart rate and lower baroreflex sensitivity in a heterogeneous population. Brain Behav. 2015, 5, e00343. [Google Scholar] [CrossRef] [PubMed]
- Smith, E.E.; Reznik, S.J.; Stewart, J.L.; Allen, J.J. Assessing and conceptualizing frontal EEG asymmetry: An updated primer on recording, processing, analyzing, and interpreting frontal alpha asymmetry. Int. J. Psychophysiol. 2017, 111, 98–114. [Google Scholar] [CrossRef] [PubMed]
- Kim, S.A.; Choi, Y.; Cho, S.H. Acupuncture for attenuating frontal lobe α band asymmetry induced by anger: A pilot study. J. Pharmacopuncture 2023, 26, 276–284. [Google Scholar] [CrossRef] [PubMed]
- Xie, Y.H.; Zhang, Y.M.; Fan, F.F.; Song, X.Y.; Liu, L. Functional role of frontal electroencephalogram alpha asymmetry in the resting state in patients with depression: A review. World J. Clin. Cases 2023, 11, 1903–1917. [Google Scholar] [CrossRef] [PubMed]
- Spronk, D.; Arns, M.; Barnett, K.J.; Cooper, N.J.; Gordon, E. An investigation of EEG, genetic and cognitive markers of treatment response to antidepressant medication in patients with major depressive disorder: A pilot study. J. Affect. Disord. 2011, 128, 41–48. [Google Scholar] [CrossRef] [PubMed]
- Francis, A.M.; Bissonnette, J.N.; Hull, K.M.; Leckey, J.; Pimer, L.; Lawrence, M.A.; Berrigan, L.I.; Fisher, D.J. Measuring the attention networks and quantitative-electroencephalography correlates of attention in depression. Psychiatry Res. Neuroimaging 2023, 333, 111661. [Google Scholar] [CrossRef] [PubMed]
- Leuchter, A.F.; Uijtdehaage, S.H.; Cook, I.A.; O’Hara, R.; Mandelkern, M. Relationship between brain electrical activity and cortical perfusion in normal subjects. Psychiatry Res. 1999, 90, 125–140. [Google Scholar] [CrossRef] [PubMed]
- Thomson, D.J. Spectrum estimation and harmonic analysis. Proc. IEEE 1982, 70, 1055–1096. [Google Scholar] [CrossRef]
- Grossman, A.; Morlet, J. Decomposition of Hardy functions into square integrable wavelets of constant shape. SIAM J. Math. Anal. 1984, 15, 723–736. [Google Scholar] [CrossRef]
- Cook, I.A.; Leuchter, A.F. Synaptic dysfunction in Alzheimer’s disease: Clinical assessment using quantitative EEG. Behav. Brain Res. 1996, 78, 15–23. [Google Scholar] [CrossRef] [PubMed]
- Leuchter, A.F.; Cook, I.A.; Lufkin, R.B.; Dunkin, J.; Newton, T.F.; Cummings, J.L.; Mackey, J.K.; Walter, D.O. Cordance: A new method for assessment of cerebral perfusion and metabolism using quantitative electroencephalography. Neuroimage 1994, 1, 208–219. [Google Scholar] [CrossRef] [PubMed]
- Gagliardi, V.; Gagliardi, G.; Ceccherelli, F.; Lovato, A. Effect of low- and high-frequency auricular stimulation with electro-acupuncture on cutaneous microcirculation: A cross-over study in healthy subjects. Medicines 2023, 10, 17. [Google Scholar] [CrossRef] [PubMed]
- Calvo, S.; Navarro, J.; Herrero, P.; Del Moral, R.; De Diego, C.; Marijuán, P.C. Electroencephalographic changes after application of dry needling [DNHS© technique] in two patients with chronic stroke. Myopain 2015, 23, 112–117. [Google Scholar] [CrossRef]
- Sulaiman, N.; Taib, M.N.; Aris, S.A.M.; Hamid, N.H.A.; Lias, S.; Murat, Z.H. Stress features identification from EEG signals using EEG Asymmetry & Spectral Centroids techniques. In Proceedings of the 2010 IEEE EMBS Conference on Bio-Medical Engineering and Sciences (IECBES), Kuala Lumpur, Malaysia, 30 November–2 December 2010; IEEE: New York, NY, USA, 2010; pp. 417–421. [Google Scholar] [CrossRef]
- Giannakakis, G.; Grigoriadis, D.; Tsiknakis, M. Detection of stress/anxiety state from EEG features during video watching. In Proceedings of the 2015 37th Annual International Conference of the IEEE Engineering in Medicine and Biology Society (EMBC), Milan, Italy, 25–29 August 2015; Volume 2015, pp. 6034–6037. [Google Scholar] [CrossRef]
- Herborn, K.A.; Graves, J.L.; Jerem, P.; Evans, N.P.; Nager, R.; McCafferty, D.J.; McKeegan, D.E. Skin temperature reveals the intensity of acute stress. Physiol. Behav. 2015, 152 Pt A, 225–230. [Google Scholar] [CrossRef] [PubMed]
- Zhang, J.H.; Li, J.; Cao, X.D.; Feng, X.Y. Can electroacupuncture affect the sympathetic activity, estimated by skin temperature measurement? A functional MRI study on the effect of needling at GB 34 and GB 39 on patients with pain in the lower extremity. Acupunct. Electrother. Res. 2009, 34, 151–164. [Google Scholar] [CrossRef] [PubMed]
- Lee, T.W.; Girolami, M.; Sejnowski, T.J. Independent component analysis using an extended infomax algorithm for mixed subgaussian and super-gaussian sources. Neural Comput. 1999, 11, 417–441. [Google Scholar] [CrossRef] [PubMed]
- Hsu, S.H.; Pion-Tonachini, L.; Palmer, J.; Miyakoshi, M.; Makeig, S.; Jung, T.P. Modeling brain dynamic state changes with adaptive mixture independent component analysis. Neuroimage 2018, 183, 47–61. [Google Scholar] [CrossRef] [PubMed]
- Delorme, A.; Makeig, S. EEGLAB: An open source toolbox for analysis of single-trial EEG dynamics including independent component analysis. J. Neurosci. Methods 2004, 134, 9–21. [Google Scholar] [CrossRef] [PubMed]
- Radüntz, T.; Scouten, J.; Hochmuth, O.; Meffert, B. Automated EEG artifact elimination by applying machine learning algorithms to ICA-based features. J. Neural Eng. 2017, 14, 046004. [Google Scholar] [CrossRef] [PubMed]
- Hjorth, B. EEG analysis based on time domain properties. Electroencephalogr. Clin. Neurophysiol. 1970, 29, 306–310. [Google Scholar] [CrossRef] [PubMed]
- Hjorth, B. The physical significance of time domain descriptors in EEG analysis. Electroencephalogr. Clin. Neurophysiol. 1973, 34, 321–325. [Google Scholar] [CrossRef] [PubMed]
- Wackermann, J.; Allefeld, C. On the meaning and interpretation of global descriptors of brain electrical activity. Including a reply to X. Pei et al. Int. J. Psychophysiol. 2007, 64, 199–210. [Google Scholar] [CrossRef] [PubMed]
- Jarque, C.M.; Bera, A.K. A test for normality of observations and regression residuals. Int. Stat. Rev./Rev. Int. Stat. 1987, 55, 163–172. [Google Scholar] [CrossRef]
- Spencer, N.H.; with Mayor, D.; Steffert, S.; Beggan, C.D. From a Berkshire Farm to a Fishing Expedition via Random Points. Presentation at the Royal Statistical Society, London, 29 March 2023. Available online: https://rss.org.uk/training-events/events/events-2023/sections/rss-business-industrial-section-from-a-berkshire-f/#fulleventinfo (accessed on 13 May 2025).
- Horowitz, J.L. Bootstrap methods in econometrics. Annu. Rev. Econ. 2019, 11, 193–224. [Google Scholar] [CrossRef]
- Hettmansperger, T.P.; Elmore, R. Tests for interaction in a two-way layout: Should they be included in a nonparametrics course? In Proceedings of the International Conference on Teaching Statistics (ICOTS 6), Cape Town, South Africa, 7–12 July 2002; p. 369. [Google Scholar]
- Bonett, D.G.; Wright, T.A. Sample size requirements for estimating Pearson, Kendall and Spearman correlations. Psychometrika 2000, 65, 23–28. [Google Scholar] [CrossRef]
- Pallant, J. SPSS Survival Manual. A Step by Step Guide to Data Analysis Using IBM SPSS v15, 3rd ed.; McGraw-Hill Open University Press: Maidenhead/Berks, UK, 2007. [Google Scholar]
- Tomczak, M.; Tomczak, E. The need to report effect size estimates revisited. An overview of some recommended measures of effect size. TRENDS Sport. Sci. 2014, 1, 19–25. [Google Scholar]
- Fern, E.F.; Monroe, K.B. Effect-size estimates: Issues and problems in interpretation. J. Consum. Res. 1996, 23, 89–105. [Google Scholar] [CrossRef]
- Spencer, N.H. Overcoming the multiple testing problem when testing randomness. J. R. Stat. Soc. C Appl. Stat. 2009, 58, 543–553. [Google Scholar] [CrossRef]
- Sammito, S.; Thielmann, B.; Klussmann, A.; Deußen, A.; Braumann, K.-M.; Böckelmann, I. Guideline for the application of heart rate and heart rate variability in occupational medicine and occupational health science. J. Occup. Med. Toxicol. 2024, 19, 15. [Google Scholar] [CrossRef] [PubMed]
- Karadimitriou, S.M.; Marshall, E. Mann-Whitney U Test (Non-Parametric Equivalent to Independent Samples t-Test). Statstutor Community Project, n.d. Available online: www.statstutor.ac.uk (accessed on 13 May 2025).
- Baevsky, R.M.; Chernikova, A.G. Heart rate variability analysis: Physiological foundations and main methods. Cardiometry 2017, 10, 66–76. [Google Scholar] [CrossRef]
- Gullett, N.; Zajkowska, Z.; Walsh, A.; Harper, R.; Mondelli, V. Heart rate var-iability (HRV) as a way to understand associations between the autonomic nervous system (ANS) and affective states: A critical review of the literature. Int. J. Psychophysiol. 2023, 192, 35–42. [Google Scholar] [CrossRef] [PubMed]
- Steffert, T.; Mayor, D. The Fickleness of Data: Estimating the Effects of Different Aspects of Acupuncture Treatment on Heart Rate Variability (HRV). Initial Findings from Three Pilot Studies. Background Information to a Poster Presented at the 16th International Acupuncture Research Symposium, King’s College London, UK, 29 March 2014. Available online: https://researchprofiles.herts.ac.uk/en/publications/the-fickleness-of-data-estimating-the-effects-of-different-aspect (accessed on 13 May 2025).
- Armstrong, K.; Gokal, R.; Todorsky, W. Neuromodulating influence of two electroacupuncture treatments on heart rate variability, stress, and vagal activity. J. Altern. Complement. Med. 2020, 26, 928–936. [Google Scholar] [CrossRef] [PubMed]
- Jia, B.A.; Cheng, C.Y.; Lin, Y.W.; Li, T.C.; Liu, H.J.; Hsieh, C.L. The 2 Hz and 15 Hz electroacupuncture induced reverse effect on autonomic function in healthy adult using a heart rate variability analysis. J. Tradit. Complement. Med. 2011, 1, 51–56. [Google Scholar] [CrossRef] [PubMed][Green Version]
- Lee, J.H.; Kim, K.H.; Hong, J.W.; Lee, W.C.; Koo, S.T. Comparison of electroacupuncture frequency-related effects on heart rate variability in healthy volunteers: A randomized clinical trial. J. Acupunct. Meridian Stud. 2011, 4, 107–115. [Google Scholar] [CrossRef] [PubMed]
- Yang, S.; Wu, Y.R.; Zhan, Z.; Pan, Y.H.; Jiang, J.F. State- and frequency-dependence in autonomic rebalance mediated by intradermal auricular electroacupuncture stimulation. Front. Neurosci. 2024, 18, 1367266. [Google Scholar] [CrossRef] [PubMed]









| Method | CIS for Frequencies | CIS for Time Slots | CIS for Sessions | |||
|---|---|---|---|---|---|---|
| BLINKER | CEPS-BLINKER | BLINKER | CEPS-BLINKER | BLINKER | CEPS-BLINKER | |
| Max | 3.713 | 4.445 | 5.826 | 5.682 | 3.894 | 5.104 |
| 95% | 2.126 | 1.968 | 3.132 | 2.306 | 1.963 | 2.024 |
| 90% | 1.799 | 1.650 | 2.591 | 1.923 | 1.664 | 1.724 |
| Q3 | 1.222 | 1.146 | 1.800 | 1.346 | 1.134 | 1.203 |
| Q2 | 0.752 | 0.679 | 1.055 | 0.788 | 0.667 | 0.726 |
| Autonomic Classification | HRV Indices | Occupational Med Guideline |
|---|---|---|
| PNS-like | PNS | n/a |
| SDNN | PNS and SNS | |
| RMSSD/SD1 | PNS | |
| NNxx | PNS | |
| pNNxx | PNS | |
| TI | No clear assignment | |
| TINN | No clear assignment | |
| HF% | PNS | |
| HFabs | PNS | |
| HFlog | n/a | |
| HFnu | PNS | |
| SampEn | No clear assignment | |
| CorrD (D2) | No clear assignment | |
| SNS-like | SNS | n/a |
| SI | n/a | |
| LF% | PNS and SNS | |
| LFnu | PNS and SNS | |
| LF/HF | ‘mental workload’ | |
| SD2/SD1 | n/a | |
| DFA α1 | No clear assignment | |
| Ambivalent | SDHR | n/a |
| TotPwr | No clear assignment | |
| LFabs | PNS and SNS | |
| LFlog | n/a | |
| SD2 | PNS and SNS | |
| Other | HF.Hz | No clear assignment |
| ApEn | No clear assignment | |
| EDR | n/a | |
| DFA α2 | No clear assignment |
| Pre-Stim-Post | pps | BLINKER Measures | Negative rho | Positive rho |
|---|---|---|---|---|
| Pre | Sham | n/a | n/a | n/a |
| 2.5 | BpM | n/a | EDR | |
| 10 | LRBR | LF% | ||
| 80 | LRBR | n/a | SDNN, TINN, TI, PNS, RMSSD, SD1, HFAbs, HFlog | |
| Stim | Sham | BpM | HFabs and log pwr, SD1 and RMSSD, NNxx, pNNxx, D2, ApEn and SampEn [<−0.3] | LF/HF, LFnu, SD2/SD1, DFA α1, SNS |
| 2.5 | BpM LRBR | n/a | SNS, SD2/SD1, DFA α1 RMSSD, SD1, HFabs, HFlog | |
| 10 | BpM LRBR | n/a | LF/HF, LFnu, DFA α1 LFAbs, LFlog | |
| 80 | LRBR | n/a | PNS, NNxx, pNNxx, HFabs, HFlog, Totpwr, RMSSD, SD1, TINN, SD2 | |
| Post | Sham | BpM LRBR | SD1, RMSSD and pNNxx [<−0.3] PNS, HFabs and HFlog, D2, TI and PNS | SNS, SD2/SD1, DFA α1 PNS (>0.2) |
| 2.5 | n/a | n/a | n/a | |
| 10 | BpM | SD1, RMSSD, HF abs and HF log, NNxx, pNNxx, TI, HF% and HFnu; and PNS (<−0.3); D2 | SD2/SD1, LFnu, LF/HF, DFA α1, DFA α2; SNS (>0.3) | |
| 80 | BpM LRBR | NNx [<−0.03] | SNS, SD2/SD1, DFA α2 (>0.2) PNS, SDNN, TI, SD1, RMSSD and TINN, SD2, SDHR |
| L1 v. R 0 | Baseline | Stimulation | Post-Stimulation | |||
|---|---|---|---|---|---|---|
| p < 0.05 | p < 0.01 | p < 0.05 | p < 0.01 | p < 0.05 | p < 0.01 | |
| Sham | 12 | 0 | 2 | 0 | 2 | 0 |
| 2.5 | 0 | 0 | 25 | 18 | 3 | 0 |
| 10 | 0 | 0 | 0 | 0 | 6 | 0 |
| 80 | 0 | 0 | 1 | 0 | 7 | 0 |
| Measures | Classification | p-Values | ES | L > R or R > L |
|---|---|---|---|---|
| SNS | SNS-like | 0.006 | 0.179 | R > L |
| SI | SNS-like | <10−4 | 0.261 | R > L |
| SDNN | PNS-like | <10−3 | 0.232 | L > R |
| HRmin | SNS-like | 0.003 | 0.192 | R > L |
| RMSSD | PNS-like | 0.006 | 0.182 | L > R |
| NNxx | PNS-like | 0.007 | 0.176 | L > R |
| pNNxx | PNS-like | 0.008 | 0.174 | L > R |
| TI | PNS-like | 0.008 | 0.175 | L > R |
| TINN | PNS-like | <10−3 | 0.248 | L > R |
| LFabs | Other | <10−3 | 0.241 | L > R |
| LFlog | Other | <10−3 | 0.241 | L > R |
| TotPwr | Other | <10−3 | 0.235 | L > R |
| SD1 | PNS-like | 0.006 | 0.182 | L > R |
| SD2 | Other | <10−3 | 0.230 | L > R |
| ApEn | Other | 0.001 | 0.220 | R > L |
| SampEn | PNS-like | 0.009 | 0.172 | R > L |
| DFA α2 | Other | 0.005 | 0.185 | R > L |
| D2 | PNS-like | 0.001 | 0.219 | L > R |
| CEPS-BLINKER Measure | p-Value < 0.01 | ES | Adverse Effects | No Adverse Effects |
|---|---|---|---|---|
| Amplitude_FD_AvRVA | 0.004 | 0.372 | 1.168 | 1.228 (1.193,1.270) |
| CCM_AvRVA | 0.008 | 0.339 | 0.222 | 0.289 (0.232, 0.348) |
| DFA_MATS_dHB | 0.005 | 0.355 | 0.714 | 0.462 (0.233, 0.695) |
| DFA_MATS_dHZ | 0.004 | 0.370 | 0.776 | 0.538 (0.242, 0.739) |
| FD_Linden_Box_AvRVA | 0.007 | 0.342 | 1.662 | 1.758 (1.670, 1.820) |
| HjorthC_cTT | 0.007 | 0.346 | 1.258 | 1.180 (1.126, 1.253) |
| HjorthC_cTZ | 0.004 | 0.365 | 1.269 | 1.189 (1.1–7, 1.235) |
| HjorthC_dB | 0.003 | 0.375 | 1.287 | 1.183 (1.128, 1.263) |
| HjorthC_dHB | 0.005 | 0.360 | 1.312 | 1.220 (1.125, 1.290) |
| HjorthC_dHZ | 0.008 | 0.339 | 1.345 | 1.221 (1.133, 1.310) |
| HjorthC_dT | 0.002 | 0.394 | 1.385 | 1.217 (1.119, 1.299) |
| HjorthC_dZ | 0.001 | 0.420 | 1.408 | 1.205 (1.128, 1.287) |
| HjorthC_AvRVA | 0.001 | 0.420 | 1.429 | 1.270 (1.179, 1.333) |
| HjorthM_dT | 0.009 | 0.336 | 1.134 | 1.366 (1.273, 1.496) |
| HjorthM_dZ | 0.003 | 0.387 | 1.147 | 1.393 (1.235, 1.505) |
| HjorthM_AvRVA | 0.003 | 0.375 | 1.157 | 1.359 (1.215, 1.424) |
| Hurst_H_AvRVA | 0.006 | 0.353 | 0.761 | 0.564 (0.466, 0.717) |
| Data Type | p-Value < 0.01 | ES | Adverse Effects | No Adverse Effects |
|---|---|---|---|---|
| Cordance | (6 of 8148) | (<1%) | ||
| CorN_Beta_T5Inf_mT_s | 0.003 | 0.378 | −0.326 (−0.525, −0.235) | 0.245 (−0.062, 0.427) |
| CorN_Alpha_P3Inf_mTR_s | 0.007 | 0.342 | 0.465 (0.446, 0.712) | 0.268 (0.131, 0.363) |
| CorN_Beta_T5Inf_mTL_ln | 0.003 | 0.382 | −0.312 (−0.496, −0.214) | 0.257 (0.102, 0.424) |
| CorN_Alpha_P3Inf_mTR_ln | 0.008 | 0.335 | 0.471 (0.451, 0.652 | 0.275 (0.146, 0.368) |
| SQzTInf_mT_Theta4_8_P4 | 0.005 | 0.360 | −1.930 (−2490, −1.533) | −0.543 (−1.086, 0.100) |
| LNzTInf_mT_Theta4_8_P4 | 0.005 | 0.360 | −1.931 (−2.520, −1.621) | −0.505 (−1.088, 0.157) |
| Hjorth parameters | (1 of 228) | (<1%) | ||
| HjorthM_P3 | 0.009 | 0.263 | 0.139 (0.117, 0.151) | 0.167 (0.153, 0.191) |
| Wackermann descriptors | (11 of 3188) | (<1%) | ||
| Omega_21_I | 0.008 | 0.339 | 7.354 (6.500, 8.397) | 9.748 (8.669, 10.631) |
| Omega_23_A | 0.006 | 0.351 | 7.622 (4.820, 8.510) | 10.305 (9.115, 10.855) |
| Omega_26_A | 0.003 | 0.384 | 6.388 (4.820, 7.944) | 10.155 (9.127, 10.948) |
| Omega_36_A | 0.002 | 0.392 | 6.064 (4.022, 8.212) | 10.162 (9.036, 11.015) |
| Omega_71_A | 0.004 | 0.377 | 6.240 (4.843, 7.803) | 10.085 (8.878, 10.940) |
| Phi_26_I | 0.005 | 0.358 | 11.677 (9.441, 13.356) | 16.498 (14.187, 18.847) |
| Phi_29_I | 0.007 | 0.347 | 12.150 (10.382, 12.818) | 16.763 (14.366, 18.534) |
| Phi_30_I | 0.006 | 0.351 | 11.682 (10.458, 13.560) | 16.118 (14.036, 18.516) |
| Phi_73_I | 0.008 | 0.351 | 11.586 (10.965, 13.243) | 16.364 (14.117, 18.824) |
| Phi_26_A | 0.004 | 0.369 | 10.543 (8.684, 13.206) | 16.159 (14.079, 18.307) |
| Phi_36_A | 0.005 | 0.362 | 10.085 (6.447, 12.873) | 16.379 (13.741, 18.413) |
| 1 Hz bins | (1 of 2128) | (<1%) | ||
| P8_10.0_A_PS_mT | 0.008 | 0.335 | 44.490 (43.424, 50.817) | 38.729 (34.363, 42.168) |
| Asymmetry | (1 of 602) | (<1%) | ||
| R_L_O80 [4,58] | 0.008 | 0.335 | 3.305 (1.322, 5.363) | −0.844 (−2.524, 0.829) |
| Median (IQR) | 0.006 (0.004, 0.008) | 0.355 (0.341, 0.371) | Max ES 0.392 | |
| CEPS-BLINKER | (17 of 1020) | (1.67%) | ||
| Median (IQR) | 0.004 (0.003, 0.007) | 0.365 (0.346, 0.375) | Max ES 0.420 |
Disclaimer/Publisher’s Note: The statements, opinions and data contained in all publications are solely those of the individual author(s) and contributor(s) and not of MDPI and/or the editor(s). MDPI and/or the editor(s) disclaim responsibility for any injury to people or property resulting from any ideas, methods, instructions or products referred to in the content. |
© 2025 by the authors. Licensee MDPI, Basel, Switzerland. This article is an open access article distributed under the terms and conditions of the Creative Commons Attribution (CC BY) license (https://creativecommons.org/licenses/by/4.0/).
Share and Cite
Mayor, D.; Steffert, T.; Steinfath, P.; Watson, T.; Spencer, N.; Banks, D. Effects of Transcutaneous Electroacupuncture Stimulation (TEAS) on Eyeblink, EEG, and Heart Rate Variability (HRV): A Non-Parametric Statistical Study Investigating the Potential of TEAS to Modulate Physiological Markers. Sensors 2025, 25, 4468. https://doi.org/10.3390/s25144468
Mayor D, Steffert T, Steinfath P, Watson T, Spencer N, Banks D. Effects of Transcutaneous Electroacupuncture Stimulation (TEAS) on Eyeblink, EEG, and Heart Rate Variability (HRV): A Non-Parametric Statistical Study Investigating the Potential of TEAS to Modulate Physiological Markers. Sensors. 2025; 25(14):4468. https://doi.org/10.3390/s25144468
Chicago/Turabian StyleMayor, David, Tony Steffert, Paul Steinfath, Tim Watson, Neil Spencer, and Duncan Banks. 2025. "Effects of Transcutaneous Electroacupuncture Stimulation (TEAS) on Eyeblink, EEG, and Heart Rate Variability (HRV): A Non-Parametric Statistical Study Investigating the Potential of TEAS to Modulate Physiological Markers" Sensors 25, no. 14: 4468. https://doi.org/10.3390/s25144468
APA StyleMayor, D., Steffert, T., Steinfath, P., Watson, T., Spencer, N., & Banks, D. (2025). Effects of Transcutaneous Electroacupuncture Stimulation (TEAS) on Eyeblink, EEG, and Heart Rate Variability (HRV): A Non-Parametric Statistical Study Investigating the Potential of TEAS to Modulate Physiological Markers. Sensors, 25(14), 4468. https://doi.org/10.3390/s25144468

