Assessing Physiological Stress Responses in Student Nurses Using Mixed Reality Training
Abstract
1. Introduction
2. Experiment Design
3. Methodology
3.1. Pre-Processing and Feature Extraction
3.2. Stress Detection Models
3.3. Features Analysis
4. Pilot Study Results
4.1. Scenario-Based Validation
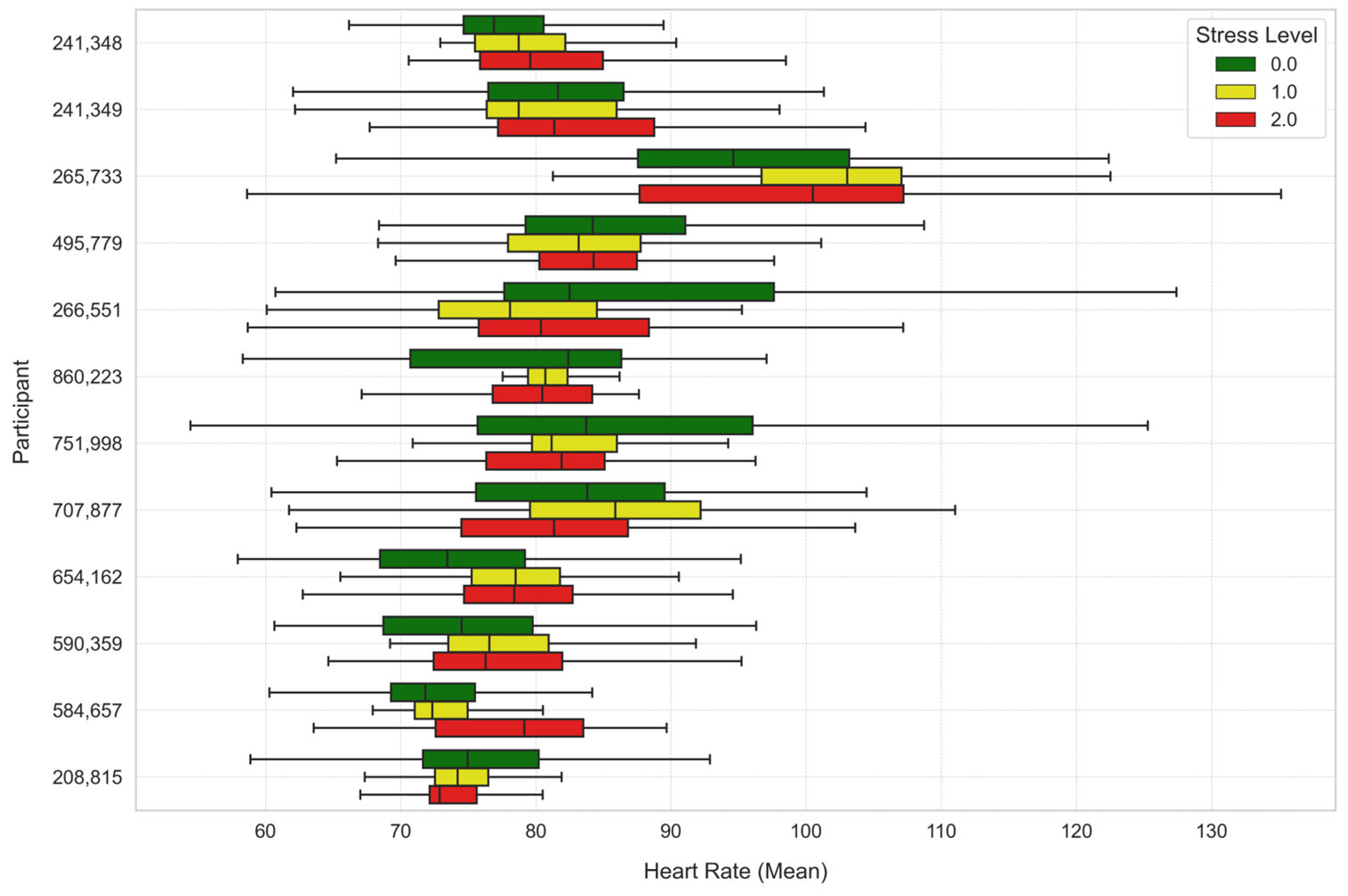
4.2. Variation in Physiological Markers Across Stress Levels
4.3. Participants Feedback
5. Conclusions
6. Discussion and Future Work
Author Contributions
Funding
Institutional Review Board Statement
Informed Consent Statement
Data Availability Statement
Conflicts of Interest
References
- Cai, H.; Tu, B.; Ma, J.; Chen, L.; Fu, L.; Jiang, Y.; Zhuang, Q. Psychological impacts and coping strategies of front-line medical staff during COVID-19 outbreak in Hunan, China. Med. Sci. Monit. 2020, 26, e924171-1–e924171-16. [Google Scholar] [CrossRef] [PubMed]
- Almazan, J.U.; Albougami, A.S.; Alamri, M.S. Exploring nurses’ work-related stress in an acute care hospital in KSA. J. Taibah. Univ. Med. Sci. 2019, 14, 376–382. [Google Scholar] [CrossRef] [PubMed]
- Kibria, M.G. Prevalence of Stress and Coping Mechanism Among Staff Nurses of Intensive Care Unit in a Selected Hospital. Int. J. Neurosurg. 2018, 2, 8. [Google Scholar] [CrossRef]
- de Cássia de Marchi Barcellos Dalri, R.; da Silva, L.A.; Mendes, A.M.O.C.; do Carmo Cruz Robazzi, M.L. Nurses’ workload and its relation with physiological stress reactions. Rev. Lat. Am. Enferm. 2014, 22, 959–965. [Google Scholar] [CrossRef]
- Kundrata, D.; Pukljak, Z.; Repustić, M.; Rotim, C.; Friganović, A.; Kurtović, B. Coping with stress of nurses employed in the internal medicine and surgical departments. Croat. Nurs. J. 2022, 6, 33–43. [Google Scholar] [CrossRef]
- Oducado, R.M.F.; Estoque, H. Online Learning in Nursing Education During the COVID-19 Pandemic: Stress, Satisfaction, and Academic Performance. J. Nurs. Pract. 2021, 4, 143–153. [Google Scholar] [CrossRef]
- Pulido-Martos, M.; Augusto-Landa, J.M.; Lopez-Zafra, E. Sources of stress in nursing students: A systematic review of quantitative studies. Int. Nurs. Rev. 2012, 59, 15–25. [Google Scholar] [CrossRef]
- Ghorbanzadeh, K.; Ilka, N.; Pishkhani, M.K.; Jafari, M.; Sadeghi, H. Explaining the Clinical Education Stressors in Nursing Students: A Qualitative Study. J. Qual. Res. Health Sci. 2023, 12, 152–158. [Google Scholar] [CrossRef]
- Jas Deol, M.N. Remote Simulation-Based Learning Using a Mixed Reality Device: Perspectives of Nursing Educators and Undergraduate Nursing Students. Nurs. Prax. New Zealand 2024, 40, 1–10. [Google Scholar]
- Ahmadi, N.; Sasangohar, F.; Nisar, T.; Danesh, V.; Larsen, E.; Sultana, I.; Bosetti, R. Quantifying Occupational Stress in Intensive Care Unit Nurses: An Applied Naturalistic Study of Correlations Among Stress, Heart Rate, Electrodermal Activity, and Skin Temperature. Hum. Factors J. Hum. Factors Ergon. Soc. 2022, 64, 159–172. [Google Scholar] [CrossRef]
- Li, X.; Zhu, W.; Sui, X.; Zhang, A.; Chi, L.; Lv, L. Assessing workplace stress among nurses using heart rate variability analysis with wearable ecg device–a pilot study. Front. Public Health 2022, 9, 810577. [Google Scholar] [CrossRef] [PubMed]
- Zhang, Q.; Sasangohar, F.; Saravanan, P.; Ahmadi, N.; Nisar, T.; Danesh, V.; Masud, F. Real-time stress monitoring for intensive care unit (icu) nurses. Proc. Hum. Factors Ergon. Soc. Annu. Meet. 2022, 66, 779–782. [Google Scholar] [CrossRef]
- Alkhawaldeh, J.M.A.; Soh, K.L.; Mukhtar, F.B.M.; Ooi, C.P. Effectiveness of stress management interventional programme on occupational stress for nurses: A systematic review. J. Nurs. Manag. 2020, 28, 209–220. [Google Scholar] [CrossRef]
- Gaggioli, A.; Pallavicini, F.; Morganti, L.; Serino, S.; Scaratti, C.; Briguglio, M.; Crifaci, G.; Vetrano, N.; Giulintano, A.; Bernava, G.; et al. Experiential Virtual Scenarios With Real-Time Monitoring (Interreality) for the Management of Psychological Stress: A Block Randomized Controlled Trial. J. Med. Internet Res. 2014, 16, e167. [Google Scholar] [CrossRef]
- Martaindale, M.H.; Sandel, W.L.; Duron, A.; McAllister, M.J. Can a Virtual Reality Training Scenario Elicit Similar Stress Response as a Realistic Scenario-Based Training Scenario? Police Q. 2024, 27, 109–129. [Google Scholar] [CrossRef]
- Saab, M.M.P.; McCarthy, M.; O’Mahony, B.M.; Cooke, E.M.; Hegarty, J.P.; Murphy, D.P.; Walshe, N.M.; Noonan, B.D. Virtual Reality Simulation in Nursing and Midwifery Education. CIN Comput. Inform. Nurs. 2023, 41, 815–824. [Google Scholar] [CrossRef]
- Mitsea, E.; Drigas, A.; Skianis, C. Digitally assisted mindfulness in training self-regulation skills for sustainable mental health: A systematic review. Behav. Sci. 2023, 13, 1008. [Google Scholar] [CrossRef]
- Gutiérrez-Fernández, A.; Fernández-Llamas, C.; Vázquez-Casares, A.M.; Mauriz, E.; Riego-del-Castillo, V.; John, N.W. Immersive haptic simulation for training nurses in emergency medical procedures. Vis. Comput. 2024, 40, 7527–7537. [Google Scholar] [CrossRef]
- Velana, M.; Rinkenauer, G. Individual-level interventions for decreasing job-related stress and enhancing coping strategies among nurses: A systematic review. Front. Psychol. 2021, 12, 708696. [Google Scholar] [CrossRef]
- Aguinaga-Ontoso, I.; Guillen-Aguinaga, L.; Guillen-Aguinaga, S. Evaluation of Mixed reality in undergraduate nursing education. A systematic review. Eur. J. Public Health 2021, 31 (Suppl. S3), ckab165–ckab312. [Google Scholar] [CrossRef]
- Kim, K.J.; Choi, M.J.; Kim, K.J. Effects of nursing simulation using mixed reality: A scoping review. Healthcare 2021, 9, 947. [Google Scholar] [CrossRef] [PubMed]
- Sepanloo, K.; Shevelev, D.; Islam, M.T.; Son, Y.-J.; Aras, S.; Hinton, J.E. Improving nursing education through an AI-enhanced mixed reality training platform: Development and pilot evaluation. In Educational Technology Research and Development; Springer: Berlin/Heidelberg, Germany, 2025. [Google Scholar] [CrossRef]
- El Haouij, N.; Poggi, J.-M.; Sevestre-Ghalila, S.; Ghozi, R.; Jaïdane, M. AffectiveROAD system and database to assess driver’s attention. In Proceedings of the 33rd Annual ACM Symposium on Applied Computing, New York, NY, USA, 9–13 April 2018; pp. 800–803. [Google Scholar] [CrossRef]
- Hosseini, S.; Gottumukkala, R.; Katragadda, S.; Bhupatiraju, R.T.; Ashkar, Z.; Borst, C.W.; Cochran, K. A multimodal sensor dataset for continuous stress detection of nurses in a hospital. Sci. Data 2022, 9, 255. [Google Scholar] [CrossRef] [PubMed]
- Jerem, P.; Romero, L.M. It’s cool to be stressed: Body surface temperatures track sympathetic nervous system activation during acute stress. J. Exp. Biol. 2023, 226, jeb246552. [Google Scholar] [CrossRef]









| Metric | Class 0 | Class 1 | Class 2 |
|---|---|---|---|
| Precision | 0.99 | 0.95 | 0.98 |
| Recall | 0.99 | 0.94 | 0.98 |
| F1 Score | 0.99 | 0.94 | 0.98 |
| Support | 1082 | 450 | 957 |
| Accuracy | 0.98 | 0.98 | 0.98 |
| Macro Avg Precision | 0.97 | 0.97 | 0.97 |
| Macro Avg Recall | 0.97 | 0.97 | 0.97 |
| Macro Avg F1 Score | 0.97 | 0.97 | 0.97 |
| Macro Avg Precision | 0.98 | 0.98 | 0.98 |
| Weighted Avg Recall | 0.98 | 0.98 | 0.98 |
| Weighted Avg F1 Score | 0.98 | 0.98 | 0.98 |
| Metric | Class 0 | Class 1 | Class 2 |
|---|---|---|---|
| Precision | 0.99 | 0.96 | 0.96 |
| Recall | 0.99 | 0.91 | 0.98 |
| F1 Score | 0.99 | 0.93 | 0.97 |
| Support | 1082 | 450 | 957 |
| Accuracy | 0.97 | 0.97 | 0.97 |
| Macro Avg Precision | 0.97 | 0.97 | 0.97 |
| Macro Avg Recall | 0.96 | 0.96 | 0.98 |
| Macro Avg F1 Score | 0.96 | 0.96 | 0.97 |
| Macro Avg Precision | 0.97 | 0.97 | 0.97 |
| Weighted Avg Recall | 0.97 | 0.97 | 0.97 |
| Weighted Avg F1 Score | 0.97 | 0.97 | 0.97 |
| Metric | Class 0 | Class 1 | Class 2 |
|---|---|---|---|
| Precision | 0.99 | 0.93 | 0.98 |
| Recall | 0.99 | 0.94 | 0.97 |
| F1 Score | 0.99 | 0.94 | 0.98 |
| Support | 1082 | 450 | 957 |
| Accuracy | 0.98 | 0.98 | 0.98 |
| Macro Avg Precision | 0.97 | 0.97 | 0.97 |
| Macro Avg Recall | 0.97 | 0.97 | 0.97 |
| Macro Avg F1 Score | 0.97 | 0.97 | 0.97 |
| Macro Avg Precision | 0.98 | 0.98 | 0.98 |
| Weighted Avg Recall | 0.98 | 0.98 | 0.98 |
| Weighted Avg F1 Score | 0.98 | 0.98 | 0.98 |
| Metric | Value |
|---|---|
| Fitting Details | 5 folds for each of 45 hyperparameter candidates, totaling 225 fits |
| Best Parameters | {‘C’: 0.001, ‘max iteration’: 100, ‘solver’: liblinear} |
| Best Accuracy | 0.6105 |
| Test Set Accuracy | 0.6102 |
| Test Set Precision | 0.6180 |
| Test Set Recall | 0.4957 |
| Test Set F1 Score | 0.4513 |
| Metric | Value |
|---|---|
| Fitting Details | 5 folds for each of 24 hyperparameter candidates, totaling 120 fits |
| Best Parameters | {‘C’: 100, ‘gamma’: ‘scale’, ’kernel’: radial basis function} |
| Best Accuracy | 0.7612 |
| Test Set Accuracy | 0.7794 |
| Test Set Precision | 0.7473 |
| Test Set Recall | 0.7231 |
| Test Set F1 Score | 0.7311 |
| Metric | Value |
|---|---|
| Fitting Details | 5 folds for each of 16 hyperparameter candidates, totaling 80 fits |
| Best Parameters | {‘metric’: Manhattan, ‘number of neighbors’: 3, ‘weights’: distance} |
| Best Accuracy | 0.9054 |
| Test Set Accuracy | 0.9274 |
| Test Set Precision | 0.9118 |
| Test Set Recall | 0.9113 |
| Test Set F1 Score | 0.9115 |
| Metric | Value |
|---|---|
| Fitting Details | 5 folds for each of 125 hyperparameter candidates, totaling 625 fits |
| Best Parameters | {‘base estimator max depth’: 5, ‘learning rate’: 0.1, ‘number of estimators’: 300} |
| Best Accuracy | 0.9035 |
| Test Set Accuracy | 0.9206 |
| Test Set Precision | 0.9197 |
| Test Set Recall | 0.8954 |
| Test Set F1 Score | 0.9049 |
| Demographics | Percentage of Participants |
|---|---|
| Nursing Education | |
| Less than one semester of nursing courses | 25% |
| One to two semesters of nursing courses | 42% |
| Bachelor’s degree | 8% |
| Master’s degree | 25% |
| Experience Level | |
| No experience | 33% |
| Less than 2 years | 8% |
| 2 to 5 years | 17% |
| 6 to 10 years | 25% |
| 21 to 25 years | 17% |
| Types of healthcare simulations participated in | |
| Standardized patient | 33% |
| Manikin | 50% |
| Virtual screen-based | 17% |
| Virtual with headset | 17% |
| Mixed reality with headset | 8% |
| Experience with Virtual Reality headset | 8% |
| Very little | 58% |
| None | 50% |
| Experience with Mixed Reality headset | |
| Very little | 67% |
| None | 58% |
| Participant Number | Goal During Simulation | Patient’s Priority Needs | Patient’s Risks | Essential Items | Actions Taken | Succesfull? |
|---|---|---|---|---|---|---|
| 208,815 | Keeping my patient alive | Watching for hypovolemia and sepsis | Sepsis, hypovolemic shock, hemorrhage | Oxygen, Blood pressure, IV pump/suction | Recognized low blood pressure, patient unresponsive, called rapid response, initiated protocols | Yes |
| 265,733 | Contribute to education and patient survival | Blood pressure, perfusion to major organs | Loss of oxygenation, internal bleeding | IV fluids, Oxygen, electrolytes | Adjusted IV rate, monitored vitals, called rapid response, bolus of Lactated Ringer’s, 4L O2 | No |
| 266,551 | Becoming oriented with virtual tools | Assessing the patient | Impaired gastric motility, altered bowel habits, pressure injury | Oxygen, call light, Blood pressure machine | Thorough assessment, evaluated chart before engaging | No |
| 495,779 | Improve patient assessment skills | Follow doctors’ orders, monitor vitals | Pulmonary embolism, low O2, hypertension | Ambu bag, supplemental O2, code cart | Assessed patient, applied oxygen | Yes |
| 584,657 | Learn AR benefits for nursing education | Pain and infection control | Sepsis, severe pain, malnutrition | Ambu bag, IV, monitors | Monitored vitals, IV fluids, assessment, used call light, reviewed orders | Yes |
| 590,359 | Checking vitals, administering IV, oxygen | Oxygen, IV | Blood infection, sepsis, hypotension | Oxygen, IVs, blood glucose | Used oxygen mask, administered IV | No |
| 654,162 | Implement interventions, monitor vitals | Oxygen, NG suction, IV bolus, vital sign observation | Hypotension, hypoxia, pain | Oxygen, suction, IV bolus | Adjusted IV rate, turned on O2/suction, administered bolus, notified MD, monitored vitals | No |
| 707,877 | Provide competent care in a safe environment | Addressing safety errors, pain management, responding to sepsis | Cardiac arrhythmias, organ failure, death | Ambu bag, oxygen source, code cart | Verified call light, placed patient on suction, changed IVF rate, called rapid response, followed protocol | No |
| 751,998 | Learn MR, use HoloLens, navigate space | Fluid resuscitation, oxygen, antibiotics | Septic shock, severe hypotension, hypoxemia | Pressure bag, surgical team, vasopressors | Locked bed, raised side rails, administered fluids, called rapid response, updated provider, assessed for deterioration | Yes |
| 860,223 | Maintain patient’s O2, ensure breathing, contact provider | Oxygen, chest pain, circulation | Heart attack, low O2, circulation loss | EKG, heart shock kit, CPR equipment | Increased oxygen, positioned patient upright, monitored BP | No |
| 241,348 | Practice nursing and critical thinking | Oxygenation, monitoring chest pain, breathing pattern, BP | Myocardial infarction, pulmonary embolism, stroke | Oxygen, IV site, AED | Administered oxygen, constant monitoring, called rapid response and provider | Yes |
| 241,349 | Follow hypotension protocol, manage NG tube suction | Stabilizing vitals | Infection, low O2, hypotension | Oxygen, suction, code cart | Lowered bed, monitored vitals, called rapid response and doctor, applied oxygen, allowed family access | No |
| Metric | Stress Level 0 | Stress Level 1 | Stress Level 2 |
|---|---|---|---|
| Heart Rate Mean | 82.23 | 86.30 | 84.79 |
| Skin Tempreture Mean | 31.81 | 31.49 | 31.23 |
| Electrodermal Activity Mean | 0.68 | 2.09 | 1.87 |
| Comparison | T-Statistics | p-Value | Significance |
|---|---|---|---|
| Stress Level 1 vs. Stress Level 0 (HR_Mean) | 13.7554 | p < 0.001 | Statistically significant |
| Stress Level 2 vs. Stress Level 0 (HR_Mean) | 11.0204 | p < 0.001 | Statistically significant |
| Stress Level 1 vs. Stress Level 0 (TEMP_Mean) | −6.8260 | p < 0.001 | Statistically significant |
| Stress Level 2 vs. Stress Level 0 (TEMP_Mean) | −14.7139 | p < 0.001 | Statistically significant |
| Stress Level 1 vs. Stress Level 0 (EDA_Mean) | 28.2458 | p < 0.001 | Statistically significant |
| Stress Level 2 vs. Stress Level 0 (EDA_Mean) | 36.7045 | p < 0.001 | Statistically significant |
Disclaimer/Publisher’s Note: The statements, opinions and data contained in all publications are solely those of the individual author(s) and contributor(s) and not of MDPI and/or the editor(s). MDPI and/or the editor(s) disclaim responsibility for any injury to people or property resulting from any ideas, methods, instructions or products referred to in the content. |
© 2025 by the authors. Licensee MDPI, Basel, Switzerland. This article is an open access article distributed under the terms and conditions of the Creative Commons Attribution (CC BY) license (https://creativecommons.org/licenses/by/4.0/).
Share and Cite
Sepanloo, K.; Shevelev, D.; Son, Y.-J.; Aras, S.; Hinton, J.E. Assessing Physiological Stress Responses in Student Nurses Using Mixed Reality Training. Sensors 2025, 25, 3222. https://doi.org/10.3390/s25103222
Sepanloo K, Shevelev D, Son Y-J, Aras S, Hinton JE. Assessing Physiological Stress Responses in Student Nurses Using Mixed Reality Training. Sensors. 2025; 25(10):3222. https://doi.org/10.3390/s25103222
Chicago/Turabian StyleSepanloo, Kamelia, Daniel Shevelev, Young-Jun Son, Shravan Aras, and Janine E. Hinton. 2025. "Assessing Physiological Stress Responses in Student Nurses Using Mixed Reality Training" Sensors 25, no. 10: 3222. https://doi.org/10.3390/s25103222
APA StyleSepanloo, K., Shevelev, D., Son, Y.-J., Aras, S., & Hinton, J. E. (2025). Assessing Physiological Stress Responses in Student Nurses Using Mixed Reality Training. Sensors, 25(10), 3222. https://doi.org/10.3390/s25103222

