Design and Implementation of a Binary Phase-Shift Keying Frequency Diverse Array: Considerations and Challenges
Abstract
1. Introduction
- Antonik [34] ( planar array using a sub-array structure with five distinct frequencies);
- Brady [35] (two-element FDA waveform testbed);
- Eker [36] ( linear frequency-modulated (LFM) FDA);
- Our previous work [40] ( linear FDA using Ettus Universal Software Radio Peripheral (USRP) X310 software defined radios (SDR)).
- We demonstrate the theoretical fast-time BPSK FDA signal model in practice, motivating further practical study of different FDA transmit–receive architectures.
- We demonstrate the use of hardware employing commonly clocked digital-to-analog converters (DACs) to transmit frequency diverse signals having fast time-varying coefficients, motivating further practical study of FDA architectures employing structured fast-time modulation.
2. Directional Modulation Background and Practical Challenges
3. Signal Model
4. BPSK FDA System Design
4.1. Linear Array Length Selection
4.2. Baseband FDA Far-Field Behavior
4.3. Link Budget
4.4. Channel Capacity
4.5. Transmitted Packet Structure
4.6. Imported Transmit FDA Waveforms Discrete Model
- : the desired length in time of a chip.
- : the number of samples per BPSK chip.
- : the total number of desired BPSK chips.
- : the total number of samples.
5. System Outline
5.1. Transmit Array and Receive Probe Description
5.2. Transmit Hardware Description
5.3. Receive Hardware Description
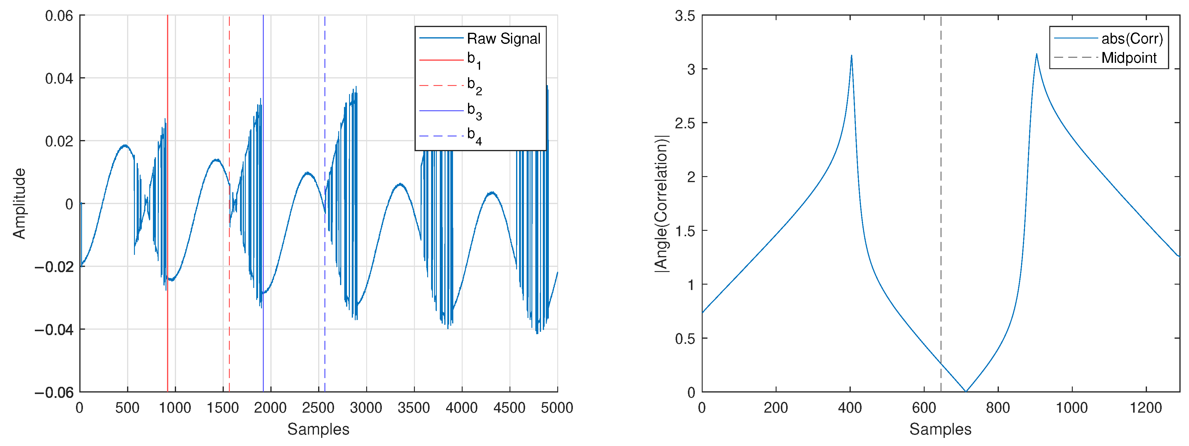
6. Receiver Synchronization: Carrier Frequency Offset (CFO) Removal, Phase Rotation and Bitstream Generation
- Identify the bit transitions based on a zero-crossings vector.
- Sum 10 samples of , incrementing by 10 samples for each sum.
- Choose 1 vs. 0 based on the sign ( for 1 and for 0) of the summation.
7. Experimental Results
8. Summary, Future Work, and Discussion
- Phase-synchronous analysis that assumes the receiver is always frequency- and phase locked with the transmitter.
- Neglecting spectrum spreading, with closely spaced spread spectrum signals that are assumed to be perfectly separable.
- No use of training symbols. Orthogonal training symbols can be created via a time-division multiplexing approach. Thus, movement of the symbols on a constellation does not necessarily imply non-recoverability.
- What are the necessary requirements of the multi-channel coherent receive hardware?
- What is the trade-off between the designed frequency offsets and tolerable spectrum spreading with respect to signal separability?
- How can we measure the ‘zone-of-security’ generated by DM FDAs? Moreover, how can BER control be attributed to the DM FDA itself and not artifacts of practical analog signal conditioning, signal generation, and/or down conversion?
Author Contributions
Funding
Institutional Review Board Statement
Informed Consent Statement
Data Availability Statement
Conflicts of Interest
References
- Antonik, P.; Wicks, M.; Griffiths, H.; Baker, C. Frequency Diverse Array Radars. In Proceedings of the 2006 IEEE Conference on Radar, Verona, NY, USA, 24–27 April 2006; pp. 215–217. [Google Scholar] [CrossRef]
- Antonik, P.; Wicks, M.C.; Griffiths, H.D.; Baker, C.J. Range dependent beamforming using element level waveform diversity. In Proceedings of the 2006 International Waveform Diversity & Design Conference, Orlando, FL, USA, 22–27 January 2006; pp. 1–6. [Google Scholar] [CrossRef]
- Antonik, P.; Wicks, M.; Griffiths, H.; Baker, C. Multi-mission multi-mode waveform diversity. In Proceedings of the 2006 IEEE Conference on Radar, Verona, NY, USA, 24–27 April 2006; pp. 580–582. [Google Scholar] [CrossRef]
- Secmen, M.; Demir, S.; Hizal, A.; Eker, T. Frequency diverse array antenna with periodic time modulated pattern in range and angle. In Proceedings of the 2007 IEEE Radar Conference, Waltham, MA, USA, 17–20 April 2007; pp. 427–430. [Google Scholar] [CrossRef]
- Huang, J.; Tong, K.F.; Baker, C. Frequency diverse array with beam scanning feature. In Proceedings of the 2008 IEEE Antennas and Propagation Society International Symposium, San Diego, CA, USA, 5–12 July 2008; pp. 1–4. [Google Scholar] [CrossRef]
- Correll, B.; Rigling, B. Quantized, power law frequency diverse arrays. In Proceedings of the 2023 IEEE Radar Conference (RadarConf23), San Antonio, TX, USA, 1–4 May 2023; pp. 1–6. [Google Scholar] [CrossRef]
- Correll, B.; Rigling, B. Auto-scanning quantized, power law frequency diverse arrays. In Proceedings of the 2024 IEEE Radar Conference (RadarConf24), Denver, CO, USA, 6–10 May 2024. [Google Scholar]
- Hu, J.; Yan, S.; Shu, F.; Wang, J.; Li, J.; Zhang, Y. Artificial-noise-aided secure transmission with directional modulation based on random frequency diverse arrays. IEEE Access 2017, 5, 1658–1667. [Google Scholar] [CrossRef]
- Xiong, J.; Nusenu, S.Y.; Wang, W.Q. Directional modulation using frequency diverse array for secure communications. Wirel. Pers. Commun. 2017, 95, 2679–2689. [Google Scholar] [CrossRef]
- Qiu, B.; Tao, M.; Wang, L.; Xie, J.; Wang, Y. Multi-beam directional modulation synthesis scheme based on frequency diverse array. IEEE Trans. Inf. Forensics Secur. 2019, 14, 2593–2606. [Google Scholar] [CrossRef]
- Wang, S.; Yan, S.; Zhang, J.; Yang, N.; Chen, R.; Shu, F. Secrecy zone achieved by directional modulation with random frequency diverse array. IEEE Trans. Veh. Technol. 2021, 70, 2001–2006. [Google Scholar] [CrossRef]
- Nusenu, S.Y.; Huaizong, S.; Pan, Y.; Basit, A. Directional modulation with precise legitimate location using time-modulation retrodirective frequency diversity array for secure IoT communications. IEEE Syst. J. 2021, 15, 1109–1119. [Google Scholar] [CrossRef]
- Daly, M.P.; Bernhard, J.T. Directional modulation technique for phased arrays. IEEE Trans. Antennas Propag. 2009, 57, 2633–2640. [Google Scholar] [CrossRef]
- Daly, M.P.; Daly, E.L.; Bernhard, J.T. Demonstration of directional modulation using a phased array. IEEE Trans. Antennas Propag. 2010, 58, 1545–1550. [Google Scholar] [CrossRef]
- Wang, W.Q. Ultrawideband frequency-diverse array antennas: Range-dependent and autoscanning beampattern applications. IEEE Antennas Propag. Mag. 2018, 60, 48–56. [Google Scholar] [CrossRef]
- Wang, W.Q. Range-angle dependent transmit beampattern synthesis for linear frequency diverse arrays. IEEE Trans. Antennas Propag. 2013, 61, 4073–4081. [Google Scholar] [CrossRef]
- Liu, Y.; Ruan, H.; Wang, L.; Nehorai, A. The random frequency diverse array: A new antenna structure for uncoupled direction-range indication in active sensing. IEEE J. Sel. Top. Signal Process. 2017, 11, 295–308. [Google Scholar] [CrossRef]
- Zeng, G.; Liao, Y.; Wang, J.; Liang, Y.C. Design of a Chaotic Index Modulation Aided Frequency Diverse Array Scheme for Directional Modulation. IEEE Trans. Veh. Technol. 2023, 72, 10965–10970. [Google Scholar] [CrossRef]
- Wang, W.Q. Subarray-based frequency diverse array radar for target range-angle estimation. IEEE Trans. Aerosp. Electron. Syst. 2014, 50, 3057–3067. [Google Scholar] [CrossRef]
- Wang, W.Q.; So, H.C. Transmit subaperturing for range and angle estimation in frequency diverse array radar. IEEE Trans. Signal Process. 2014, 62, 2000–2011. [Google Scholar] [CrossRef]
- Xu, Y.; Shi, X.; Xu, J.; Huang, L.; Li, W. Range–angle-decoupled beampattern synthesis with subarray-based frequency diverse array. Digit. Signal Process. 2017, 64, 49–59. [Google Scholar] [CrossRef]
- Khan, W.; Qureshi, I.M.; Saeed, S. Frequency diverse array radar with logarithmically increasing frequency offset. IEEE Antennas Wirel. Propag. Lett. 2015, 14, 499–502. [Google Scholar] [CrossRef]
- Gao, K.; Wang, W.Q.; Cai, J.; Xiong, J. Decoupled frequency diverse array range—Angle-dependent beampattern synthesis using non-linearly increasing frequency offsets. IET Microwaves Antennas Propag. 2016, 10, 880–884. [Google Scholar] [CrossRef]
- Mahmood, M.; Mir, H. Frequency diverse array beamforming using nonuniform logarithmic frequency increments. IEEE Antennas Wirel. Propag. Lett. 2018, 17, 1817–1821. [Google Scholar] [CrossRef]
- Liao, Y.; Wang, W.Q.; Zheng, Z. Frequency diverse array beampattern synthesis using symmetrical logarithmic frequency offsets for target indication. IEEE Trans. Antennas Propag. 2019, 67, 3505–3509. [Google Scholar] [CrossRef]
- Gao, J.; Zhang, X. Frequency Diverse Array Antennas with Random Logarithmically Increasing Frequency Offset. In Proceedings of the 2023 5th International Conference on Intelligent Control, Measurement and Signal Processing (ICMSP), Chengdu, China, 19–21 May 2023; pp. 143–146. [Google Scholar] [CrossRef]
- Shao, H.; Dai, J.; Xiong, J.; Chen, H.; Wang, W.Q. Dot-shaped range-angle beampattern synthesis for frequency diverse array. IEEE Antennas Wirel. Propag. Lett. 2016, 15, 1703–1706. [Google Scholar] [CrossRef]
- Xiong, J.; Wang, W.Q.; Shao, H.; Chen, H. Frequency diverse array transmit beampattern optimization with genetic algorithm. IEEE Antennas Wirel. Propag. Lett. 2016, 16, 469–472. [Google Scholar] [CrossRef]
- Wen, H.; Gu, P.F.; He, Z.; Lian, J.W.; Wang, J.; Song, D.; Ding, D.Z. Optimal Function-Based Frequency Offset Design Based on Polynomial Fitting for Frequency Diverse Array Beampattern Synthesis. IEEE Antennas Wirel. Propag. Lett. 2024, 23, 149–153. [Google Scholar] [CrossRef]
- Lan, L.; Rosamilia, M.; Aubry, A.; De Maio, A.; Liao, G. FDA-MIMO Transmitter and Receiver Optimization. IEEE Trans. Signal Process. 2024, 72, 1576–1589. [Google Scholar] [CrossRef]
- Yao, A.M.; Anselmi, N.; Rocca, P. A multi-carrier frequency diverse array design method for wireless power transmission. In Proceedings of the 12th European Conference on Antennas and Propagation (EuCAP 2018), London, UK, 9–13 April 2018; pp. 1–4. [Google Scholar] [CrossRef]
- Wang, W.Q. Retrodirective frequency diverse array focusing for wireless information and power transfer. IEEE J. Sel. Areas Commun. 2019, 37, 61–73. [Google Scholar] [CrossRef]
- Fazzini, E.; Shanawani, M.; Costanzo, A.; Masotti, D. A logarithmic frequency-diverse array system for precise wireless power transfer. In Proceedings of the 2020 50th European Microwave Conference (EuMC), Utrecht, The Netherlands, 12–14 January 2021; IEEE: Piscataway, NJ, USA, 2021; pp. 646–649. [Google Scholar]
- Antonik, P. An Investigation of a Frequency Diverse Array. Ph.D. Thesis, UCL (University College London), London, UK, 2009. [Google Scholar]
- Brady, S.H. Frequency Diverse Array Radar: Signal Characterization and Measurement Accuracy. Masters Thesis, Air Force Institute of Technology, Wright-Patterson, OH, USA, 2010. [Google Scholar]
- Eker, T. A Conceptual Evaluation of Frequency Diverse Arrays and Novel Utilization of LFMCW. Ph.D. Thesis, Middle East Technical University, Ankara, Türkiye, 2011. [Google Scholar]
- Çetintepe, C. Analysis of Frequency Diverse Arrays for Radar and Communication Applications. Ph.D. Thesis, Middle East Technical University, Ankara, Türkiye, 2015. [Google Scholar]
- McCormick, P.M.; Jones, A.; Kellerman, N.; Mathieu, B.; Mertz, A. Experimental demonstration of a low-complexity multiple-input single-output frequency diverse array framework. In Proceedings of the 2023 IEEE Radar Conference (RadarConf23), San Antonio, TX, USA, 1–5 May 2023; IEEE: Piscataway, NJ, USA, 2023; pp. 1–6. [Google Scholar]
- Kellerman, N. A MISO Frequency Diverse Array Implementation. Masters Thesis, University of Kansas, Lawrence, KS, USA, 2023. [Google Scholar]
- Munson, N.R.; Correll, B.; Narayanan, R.M.; Bufler, T.D. Experimental Test of a Frequency Diverse Array Radar Target Detection System Using SDRs: Preliminary Results. In Proceedings of the 2024 IEEE Radar Conference (RadarConf24), Denver, CO, USA, 6–10 May 2024; pp. 1–6. [Google Scholar] [CrossRef]
- Huang, J.; Tong, K.F.; Baker, C. Frequency diverse array: Simulation and design. In Proceedings of the 2009 Loughborough Antennas & Propagation Conference, Loughborough, UK, 16–17 November 2009; pp. 253–256. [Google Scholar] [CrossRef]
- Huang, J. Frequency Diversity Array: Theory and Design. Ph.D. Thesis, UCL (University College London), London, UK, 2010. [Google Scholar]
- Viswanathan, M. BPSK—Binary Phase Shift Keying. 2010. Available online: https://www.gaussianwaves.com/2010/04/bpsk-modulation-and-demodulation-2/ (accessed on 1 July 2023).
- Sklar, B. Digital Communications: Fundamentals and Applications; Pearson: London, UK, 2021. [Google Scholar]
- European Communications Committee. Adjacent Band Compatibility Between MFCN and PMSE Audio Applications in the 1785–1805 MHz Frequency Range; Technical Report 191; European Communications Committee: Copenhagen, Denmark, 2013. [Google Scholar]
- Ettus Research. TwinRX. 2023. Available online: https://kb.ettus.com/TwinRX (accessed on 6 June 2023).
- Shevchenko, A.; Samokvit, V.; Piskunov, S. The Far-Field Threshold Evaluation of the Frequency Diversity Arrays. In Proceedings of the 2020 IEEE Ukrainian Microwave Week (UkrMW), Kharkiv, Ukraine, 21–25 September 2020; pp. 31–34. [Google Scholar] [CrossRef]
- Keysight Technologies Inc. Synchronization of Multiple Keysight M8190A Modules. 2010. Available online: https://www.youtube.com/watch?v=sBlov38A1SE&ab_channel=KeysightTechnologies%2CInc (accessed on 3 June 2023).
- van de Beek, J.; Sandell, M.; Borjesson, P. ML estimation of time and frequency offset in OFDM systems. IEEE Trans. Signal Process. 1997, 45, 1800–1805. [Google Scholar] [CrossRef]
- Shamla, B.; Gayathri Devi, K. Design and implementation of Costas loop for BPSK demodulator. In Proceedings of the 2012 Annual IEEE India Conference (INDICON), Kochi, India, 7–9 December 2012; pp. 785–789. [Google Scholar] [CrossRef]
- Simon, M.; Lindsey, W. Optimum Performance of Suppressed Carrier Receivers with Costas Loop Tracking. IEEE Trans. Commun. 1977, 25, 215–227. [Google Scholar] [CrossRef]














![]() |
| Parameter | Expression | Samples |
|---|---|---|
| 7200 | ||
| 720,000 |
Disclaimer/Publisher’s Note: The statements, opinions and data contained in all publications are solely those of the individual author(s) and contributor(s) and not of MDPI and/or the editor(s). MDPI and/or the editor(s) disclaim responsibility for any injury to people or property resulting from any ideas, methods, instructions or products referred to in the content. |
© 2025 by the authors. Licensee MDPI, Basel, Switzerland. This article is an open access article distributed under the terms and conditions of the Creative Commons Attribution (CC BY) license (https://creativecommons.org/licenses/by/4.0/).
Share and Cite
Munson, N.R.; Correll, B., Jr.; Henry, J.K.A.; Narayanan, R.M.; Bufler, T.D. Design and Implementation of a Binary Phase-Shift Keying Frequency Diverse Array: Considerations and Challenges. Sensors 2025, 25, 193. https://doi.org/10.3390/s25010193
Munson NR, Correll B Jr., Henry JKA, Narayanan RM, Bufler TD. Design and Implementation of a Binary Phase-Shift Keying Frequency Diverse Array: Considerations and Challenges. Sensors. 2025; 25(1):193. https://doi.org/10.3390/s25010193
Chicago/Turabian StyleMunson, Nicholas R., Bill Correll, Jr., Justin K. A. Henry, Ram M. Narayanan, and Travis D. Bufler. 2025. "Design and Implementation of a Binary Phase-Shift Keying Frequency Diverse Array: Considerations and Challenges" Sensors 25, no. 1: 193. https://doi.org/10.3390/s25010193
APA StyleMunson, N. R., Correll, B., Jr., Henry, J. K. A., Narayanan, R. M., & Bufler, T. D. (2025). Design and Implementation of a Binary Phase-Shift Keying Frequency Diverse Array: Considerations and Challenges. Sensors, 25(1), 193. https://doi.org/10.3390/s25010193


