Detection of Dopamine Based on Aptamer-Modified Graphene Microelectrode
Abstract
1. Introduction
2. Materials and Methods
2.1. Materials
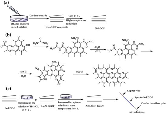
2.2. Preparation of Nitrogen Doping of Reduced Graphene Oxide Fibers
2.3. Preparation of Microelectrode
2.4. Electrochemical Test Conditions
3. Results and Discussion
3.1. Structural and Morphological Characterizations of Aptamer-Modified Au-N-RGOF
3.2. Electrochemical Characterization and Anti-Interference of N-RGOF
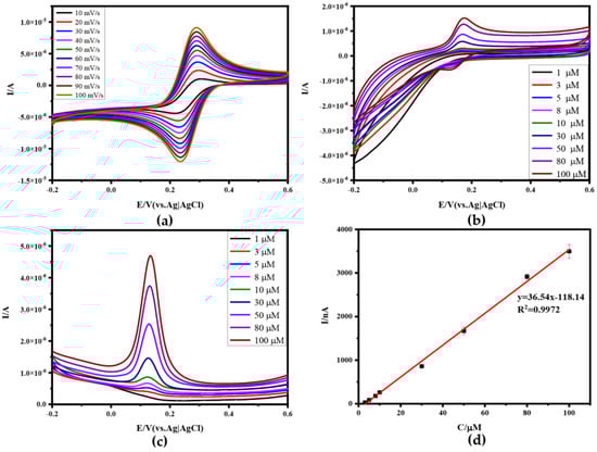
3.3. Electrochemical Characterization and Anti-Interference of Aptamer-Modified Au-N-RGOF
3.4. Selectivity, Reproducibility, and Stability of Apt-Au-N-RGOF
3.5. Electrochemical Response Mechanism of DA
4. Conclusions
Author Contributions
Funding
Institutional Review Board Statement
Informed Consent Statement
Data Availability Statement
Conflicts of Interest
References
- Kaur, H.; Siwal, S.S.; Saini, R.V.; Singh, N.; Thakur, V.K. Significance of an Electrochemical Sensor and Nanocomposites: Toward the Electrocatalytic Detection of Neurotransmitters and Their Importance within the Physiological System. ACS Nanosci. Au 2022, 3, 1–27. [Google Scholar] [CrossRef] [PubMed]
- Xue, Y.; Li, H.; Wang, X.; Xuan, X.; Li, M. Preparation of Self-Supporting Vertically/Horizontally Grown Graphene Microelectrodes for Neurotransmitter Determination. Anal. Chim. Acta 2023, 1269, 341414. [Google Scholar] [CrossRef] [PubMed]
- Elsakova, A.; Merzlikin, M.; Jafarov, A.; Zilinskaite, N.; Sulciute, A.; Baradoke, A. Examination of Non-Modified Carbon Fibre Bundle as an Electrode for Electrochemical Sensing. Coatings 2023, 13, 1372. [Google Scholar] [CrossRef]
- He, C.; Tao, M.; Zhang, C.; He, Y.; Xu, W.; Liu, Y.; Zhu, W. Microelectrode-Based Electrochemical Sensing Technology for in Vivo Detection of Dopamine: Recent Developments and Future Prospects. Crit. Rev. Anal. Chem. 2020, 52, 544–554. [Google Scholar] [CrossRef]
- Zhou, H.; Huang, T.; Chen, D.; Li, S.; Yu, H.; Li, Y.; Song, Q. Copper Nanoparticles Modified Nitrogen Doped Reduced Graphene Oxide 3-D Superstructure for Simultaneous Determination of Dihydroxybenzene Isomers. Sens. Actuat. B-Chem. 2017, 249, 405–413. [Google Scholar] [CrossRef]
- Ma, X.; Wu, Y.; She, J.; Zhao, A.; Yang, S.; Yang, X.; Xiao, F.; Sun, Y. On-Chip Electrochemical Sensing of Neurotransmitter in Nerve Cells by Functionalized Graphene Fiber Microelectrode. Sens. Actuat. B-Chem. 2022, 365, 131874. [Google Scholar] [CrossRef]
- Yang, Y.; Li, M.; Zhu, Z. A Novel Electrochemical Sensor Based on Carbon Nanotubes Array for Selective Detection of Dopamine or Uric Acid. Talanta 2019, 201, 295–300. [Google Scholar] [CrossRef]
- Wang, Y.; Yao, W.; Huang, H.; Huang, J.; Li, L.; Yu, X. Polypyrrole-Derived Carbon Nanotubes for Potential Application in Electrochemical Detection of Dopamine. Solid State Sci. 2022, 134, 107038. [Google Scholar] [CrossRef]
- Mazurkiewicz, W.; Małolepszy, A.; Witkowska Nery, E. Comparison of Carbon Nanomaterials for Simultaneous Detection of Neurotransmitters in the Presence of Interfering Species. ChemElectroChem 2022, 9, e202200330. [Google Scholar] [CrossRef]
- Cai, X.; Hu, A.; Feng, F. Synthesis of a Sulfonated Methylene Blue-Backboned Polymer for Biodetections. Dyes Pigm. 2022, 203, 110360. [Google Scholar] [CrossRef]
- Guţoiu, S.; Pogăcean, F.; Măgeruşan, L.; Miclăuş, M.O.; Grad, O.; Pană, I.-O.; Pruneanu, S. Enhancement of Dopamine Electrochemical Detection with Manganese Doped Crystalline Copper Oxide. Coatings 2023, 13, 1014. [Google Scholar] [CrossRef]
- Li, J.; Shen, H.; Yu, S.; Zhang, G.; Ren, C.; Hu, X.; Yang, Z. Synthesis of a Manganese Dioxide Nanorod-Anchored Graphene Oxide Composite for Highly Sensitive Electrochemical Sensing of Dopamine. Analyst 2020, 145, 3283–3288. [Google Scholar] [CrossRef] [PubMed]
- Nagarajan, N.; Panchatcharam, P. Biosensor Nanoarchitectonics of Cu-Fe-Nanoparticles/Zeolite-a/Graphene Nanocomposite for Enhanced Electrooxidation and Dopamine Detection. Heliyon 2023, 9, e19741. [Google Scholar] [CrossRef] [PubMed]
- Alam, M.K.; Rahman, M.M.; Rahman, M.M.; Kim, D.; Asiri, A.M.; Khan, F.A. In-Situ Synthesis of Gold Nanocrystals Anchored Graphene Oxide and Its Application in Biosensor and Chemical Sensor. J. Electroanal. Chem. 2019, 835, 329–337. [Google Scholar] [CrossRef]
- Kavya, K.V.; Muthu, D.; Pattappan, D.; Vargheese, S.; Gokila, N.; Sivaramkumar, M.S.; Rajendra Kumar, R.T.; Haldorai, Y. Palladium Nanoparticles Decorated Ni-MOF Nanocomposite as an Electrochemical Platform for the Selective Detection of Dopamine. Mater. Lett. 2022, 306, 130926. [Google Scholar] [CrossRef]
- Huang, Z.; Zhang, L.; Cao, P.; Wang, N.; Lin, M. Electrochemical Sensing of Dopamine Using a Ni-Based Metal-Organic Framework Modified Electrode. Ionics (Kiel) 2021, 27, 1339–1345. [Google Scholar] [CrossRef]
- Hira, S.A.; Nagappan, S.; Annas, D.; Kumar, Y.A.; Park, K.H. NO2-Functionalized Metal-Organic Framework Incorporating Bimetallic Alloy Nanoparticles as a Sensor for Efficient Electrochemical Detection of Dopamine. Electrochem. Commun. 2021, 125, 107012. [Google Scholar] [CrossRef]
- Bolaños-Méndez, D.; Alvarez-Paguay, J.; Fernández, L.; Saavedra-Alulema, P.F.; Veloz-Romero, M.S.; Espinoza-Montero, P.J. An Inexpensive Paracetamol Sensor Based on an Acid-Activated Carbon Fiber Microelectrode. Chemosphere 2024, 346, 140586. [Google Scholar] [CrossRef] [PubMed]
- Wang, K.; Frewin, C.L.; Esrafilzadeh, D.; Yu, C.; Wang, C.; Pancrazio, J.J.; Romero-Ortega, M.; Jalili, R.; Wallace, G. High-Performance Graphene-Fiber-Based Neural Recording Microelectrodes. Adv. Mater. 2019, 31, 1805867. [Google Scholar] [CrossRef]
- Hou, H.; Jin, Y.; Wei, H.; Ji, W.; Xue, Y.; Hu, J.; Zhang, M.; Jiang, Y.; Mao, L. A Generalizable and Noncovalent Strategy for Interfacing Aptamers with a Microelectrode for the Selective Sensing of Neurotransmitters in Vivo. Angew. Chem. Int. Ed. 2020, 59, 18996–19000. [Google Scholar] [CrossRef]
- Zeng, H.; Gao, N.; Yin, Y.; Zhang, M. Recent Progress in Improving the Performance of In Vivo Electrochemical Microsensor Based on Materials. Curr. Opin. Electrochem. 2022, 33, 100957. [Google Scholar] [CrossRef]
- Manring, N.; Strini, M.; Smeltz, J.L.; Pathirathna, P. Simultaneous Detection of Neurotransmitters and Cu2+ Using Double-Bore Carbon Fiber Microelectrodes Via Fast-Scan Cyclic Voltammetry. RSC Adv. 2023, 13, 33844–33851. [Google Scholar] [CrossRef] [PubMed]
- Zhao, Y.; Yang, Z.; Fan, W.; Wang, Y.; Li, G.; Cong, H.; Yuan, H. Carbon Nanotube/Carbon Fiber Electrodes Via Chemical Vapor Deposition for Simultaneous Determination of Ascorbic Acid, Dopamine and Uric Acid. Arabian J. Chem. 2020, 13, 3266–3275. [Google Scholar] [CrossRef]
- Li, Y.; Jarosova, R.; Weese-Myers, M.E.; Ross, A.E. Graphene-Fiber Microelectrodes for Ultrasensitive Neurochemical Detection. Anal. Chem. 2022, 94, 4803–4812. [Google Scholar] [CrossRef] [PubMed]
- Farajikhah, S.; Innis, P.C.; Paull, B.; Wallace, G.G.; Harris, A.R. Facile Development of a Fiber-Based Electrode for Highly Selective and Sensitive Detection of Dopamine. ACS Sens. 2019, 4, 2599–2604. [Google Scholar] [CrossRef] [PubMed]
- Xiong, J.; Zhang, B.; Balilonda, A.; Yang, S.; Li, K.; Zhang, Q.; Li, Y.; Wang, H.; Hou, C. Graphene-Based Implantable Neural Electrodes for Insect Flight Control. J. Mater. Chem. B 2022, 10, 4632–4639. [Google Scholar] [CrossRef] [PubMed]
- Xi, J.; Zhang, Y.; Wang, Q.; Xiao, J.; Chi, K.; Duan, X.; Chen, J.; Tang, C.; Sun, Y.; Xiao, F.; et al. Multi-Element Doping Design of High-Efficient Carbocatalyst for Electrochemical Sensing of Cancer Cells. Sens. Actuat. B-Chem. 2018, 273, 108–117. [Google Scholar] [CrossRef]
- Hsine, Z.; Mlika, R.; Jaffrezic-Renault, N.; Korri-Youssoufi, H. Review-Recent Progress in Graphene Based Modified Electrodes for Electrochemical Detection of Dopamine. Chemosensors 2022, 10, 249. [Google Scholar] [CrossRef]
- Ding, X.; Bai, J.; Xu, T.; Li, C.; Zhang, H.; Qu, L. A Novel Nitrogen-Doped Graphene Fiber Microelectrode with Ultrahigh Sensitivity for the Detection of Dopamine. Electrochem. Commun. 2016, 72, 122–125. [Google Scholar] [CrossRef]
- Lu, L.; Cao, X.; Shen, Z.; Li, L.; Huo, J.; Chen, W.; Liu, C.; Liu, H. Electrospun Nitrogen-Doped Carbon Nanofibers for Electrocatalysis. SM&T 2020, 26, e00221. [Google Scholar]
- Zhao, A.; She, J.; Xiao, C.; Xi, J.; Xu, Y.; Manoj, D.; Sun, Y.; Xiao, F. Green and Controllable Synthesis of Multi-Heteroatoms Co-Doped Graphene Fiber as Flexible and Biocompatible Microelectrode for in Situ Electrochemical Detection of Biological Samples. Sens. Actuat. B-Chem. 2021, 335, 129683. [Google Scholar] [CrossRef]
- Zhang, Y.; Liu, Y.; Sun, F.; Yang, N. 3D Heteroatom-Doped Graphene-Wrapped Flexible Carbon Fiber Microsensor for Real-Time Hydrogen Peroxide Detection in Live Cancer Cells. Appl. Surf. Sci. 2023, 611, 155655. [Google Scholar] [CrossRef]
- Sun, Y.; Lin, Y.; Han, R.; Wang, X.; Luo, C. A Chemiluminescence Biosensor for Lysozyme Detection Based on Aptamers and Hemin/G-Quadruplex Dnazyme Modified Sandwich-Rod Carbon Fiber Composite. Talanta 2019, 200, 57–66. [Google Scholar] [CrossRef]
- Luo, R.; Li, J.; Huang, G.; Li, G.; Guo, S.; Yuan, Y. Electrochemical Biosensor for the Detection of Low Density Lipoprotein Based on Gold Nanoparticles Mediated Bi-Enzymes Catalytic Silver Deposition Reaction. Microchem. J. 2024, 199, 109927. [Google Scholar] [CrossRef]
- Ferlazzo, A.; Espro, C.; Iannazzo, D.; Neri, G. Determination of Phenylalanine by a Novel Enzymatic PHD/SPE Biosensor. IEEE Trans. Instrum. Meas. 2023, 72, 1–8. [Google Scholar] [CrossRef]
- Patil, A.B.; Zheng, C.; Ma, L.; Wu, R.; Mengane, S.K.; Zhang, Y.; Liu, X.; Meng, Z.; Zhang, W.; Xu, Z.; et al. Flexible and Disposable Gold Nanoparticles-N-Doped Carbon-Modified Electrochemical Sensor for Simultaneous Detection of Dopamine and Uric Acid. Nanotechnology 2020, 32, 065502. [Google Scholar] [CrossRef]
- Park, S.J.; Lee, J.; Seo, S.E.; Kim, K.H.; Park, C.S.; Lee, S.H.; Ban, H.S.; Lee, B.D.; Song, H.S.; Kim, J.; et al. High-Performance Conducting Polymer Nanotube-Based Liquid-Ion Gated Field-Effect Transistor Aptasensor for Dopamine Exocytosis. Sci. Rep. 2020, 10, 3772. [Google Scholar] [CrossRef] [PubMed]
- López, L.; Hernández, N.; Reyes Morales, J.; Cruz, J.; Flores, K.; González-Amoretti, J.; Rivera, V.; Cunci, L. Measurement of Neuropeptide Y Using Aptamer-Modified Microelectrodes by Electrochemical Impedance Spectroscopy. Anal. Chem. 2020, 93, 973–980. [Google Scholar] [CrossRef]
- Al-Dhahebi, A.M.; Jose, R.; Mustapha, M.; Saheed, M.S.M. Ultrasensitive Aptasensor Using Electrospun Mxene/Polyvinylidene Fluoride Nanofiber Composite for Ochratoxin a Detection. Food Chem. 2022, 390, 133105. [Google Scholar] [CrossRef]
- Nguyen, N.V.; Jen, C. Selective Detection of Human Lung Adenocarcinoma Cells Based on the Aptamer-Conjugated Self-Assembled Monolayer of Gold Nanoparticles. Micromachines 2019, 10, 195. [Google Scholar] [CrossRef]
- Sen, D.; Lazenby, R.A. Selective Aptamer Modification of Au Surfaces in a Microelectrode Sensor Array for Simultaneous Detection of Multiple Analytes. Anal. Chem. 2023, 95, 6828–6835. [Google Scholar] [CrossRef] [PubMed]
- Xu, Y.; Bai, H.; Lu, G.; Li, C.; Shi, G. Flexible Graphene Films Via the Filtration of Water-Soluble Noncovalent Functionalized Graphene Sheets. J. Am. Chem. Soc. 2008, 130, 5856–5857. [Google Scholar] [CrossRef]
- He, Z.; Li, M.; Li, Y.; Wang, L.; Zhu, J.; Meng, W.; Li, C.; Zhou, H.; Dai, L. Electrospun Nitrogen-Doped Carbon Nanofiber as Negative Electrode for Vanadium Redox Flow Battery. Appl. Surf. Sci. 2019, 469, 423–430. [Google Scholar] [CrossRef]
- Seredych, M.; Hulicova-Jurcakova, D.; Lu, G.Q.; Bandosz, T.J. Surface Functional Groups of Carbons and the Effects of Their Chemical Character, Density and Accessibility to Ions on Electrochemical Performance. Carbon 2008, 46, 1475–1488. [Google Scholar] [CrossRef]
- Qin, Y.; Li, J.; Kong, Y.; Li, X.; Tao, Y.; Li, S.; Wang, Y. In Situ Growth of Au Nanocrystals on Graphene Oxide Sheets. Nanoscale 2014, 6, 1281–1285. [Google Scholar] [CrossRef]
- Britto Hurtado, R.; Cortez-Valadez, M.; Aragon-Guajardo, J.R.; Cruz-Rivera, J.J.; Martínez-Suárez, F.; Flores-Acosta, M. One-Step Synthesis of Reduced Graphene Oxide/Gold Nanoparticles under Ambient Conditions. Arab. J. Chem. 2020, 13, 1633–1640. [Google Scholar] [CrossRef]
- Zhang, L.; Tian, Y.; Song, C.; Qiu, H.; Xue, H. Study on Preparation and Performance of Flexible All-Solid-State Supercapacitor Based on Nitrogen-Doped RGO/CNT/MnO2 Composite Fibers. J. Alloys Compd. 2021, 859, 157816. [Google Scholar] [CrossRef]
- Qiu, X.; Xiao, Z.; Wang, L.; Fan, L. High Rate Integrated Quasi-Solid State Supercapacitors Based on Nitrogen-Enriched Active Carbon Fiber/Reduced Graphene Oxide Nanocomposite. Carbon 2018, 130, 196–205. [Google Scholar] [CrossRef]









| Element | Weight Percentage | Atomic Percentage |
|---|---|---|
| C | 51.48 | 80.94 |
| N | 3.82 | 5.16 |
| O | 5.53 | 6.53 |
| Cl | 7.83 | 4.17 |
| Au | 30.61 | 2.93 |
Disclaimer/Publisher’s Note: The statements, opinions and data contained in all publications are solely those of the individual author(s) and contributor(s) and not of MDPI and/or the editor(s). MDPI and/or the editor(s) disclaim responsibility for any injury to people or property resulting from any ideas, methods, instructions or products referred to in the content. |
© 2024 by the authors. Licensee MDPI, Basel, Switzerland. This article is an open access article distributed under the terms and conditions of the Creative Commons Attribution (CC BY) license (https://creativecommons.org/licenses/by/4.0/).
Share and Cite
Zhang, C.; Chen, T.; Ying, Y.; Wu, J. Detection of Dopamine Based on Aptamer-Modified Graphene Microelectrode. Sensors 2024, 24, 2934. https://doi.org/10.3390/s24092934
Zhang C, Chen T, Ying Y, Wu J. Detection of Dopamine Based on Aptamer-Modified Graphene Microelectrode. Sensors. 2024; 24(9):2934. https://doi.org/10.3390/s24092934
Chicago/Turabian StyleZhang, Cuicui, Tianyou Chen, Yiran Ying, and Jing Wu. 2024. "Detection of Dopamine Based on Aptamer-Modified Graphene Microelectrode" Sensors 24, no. 9: 2934. https://doi.org/10.3390/s24092934
APA StyleZhang, C., Chen, T., Ying, Y., & Wu, J. (2024). Detection of Dopamine Based on Aptamer-Modified Graphene Microelectrode. Sensors, 24(9), 2934. https://doi.org/10.3390/s24092934

