Faecal Volatile Organic Compound Analysis in De Novo Paediatric Inflammatory Bowel Disease by Gas Chromatography–Ion Mobility Spectrometry: A Case–Control Study
Abstract
1. Introduction
2. Materials and Methods
2.1. Study Design
2.2. Sample Analysis
2.3. Statistical Analysis
2.4. Sample Size Calculation
3. Results
3.1. Patient Characteristics
3.2. Faecal Volatile Organic Compound Analysis
4. Discussion
5. Conclusions
Author Contributions
Funding
Institutional Review Board Statement
Informed Consent Statement
Data Availability Statement
Conflicts of Interest
References
- Alatab, S.; Sepanlou, S.G.; Ikuta, K.; Vahedi, H.; Bisignano, C.; Safiri, S.; Sadeghi, A.; Nixon, M.R.; Abdoli, A.; Abolhassani, H. The global, regional, and national burden of inflammatory bowel disease in 195 countries and territories, 1990–2017: A systematic analysis for the Global Burden of Disease Study 2017. Lancet Gastroenterol. Hepatol. 2020, 5, 17–30. [Google Scholar] [CrossRef]
- Roberts, S.E.; Thorne, K.; Thapar, N.; Broekaert, I.; Benninga, M.A.; Dolinsek, J.; Mas, E.; Miele, E.; Orel, R.; Pienar, C.; et al. A Systematic Review and Meta-analysis of Paediatric Inflammatory Bowel Disease Incidence and Prevalence Across Europe. J. Crohn’s Colitis 2020, 14, 1119–1148. [Google Scholar] [CrossRef] [PubMed]
- Lavelle, A.; Sokol, H. Gut microbiota-derived metabolites as key actors in inflammatory bowel disease. Nat. Rev. Gastroenterol. Hepatol. 2020, 17, 223–237. [Google Scholar] [CrossRef]
- Chang, J.T. Pathophysiology of Inflammatory Bowel Diseases. N. Engl. J. Med. 2020, 383, 2652–2664. [Google Scholar] [CrossRef]
- Bjerrum, J.T.; Wang, Y.L.; Seidelin, J.B.; Nielsen, O.H. IBD metabonomics predicts phenotype, disease course, and treatment response. eBioMedicine 2021, 71, 103551. [Google Scholar] [CrossRef] [PubMed]
- Lloyd-Price, J.; Arze, C.; Ananthakrishnan, A.N.; Schirmer, M.; Avila-Pacheco, J.; Poon, T.W.; Andrews, E.; Ajami, N.J.; Bonham, K.S.; Brislawn, C.J.; et al. Multi-omics of the gut microbial ecosystem in inflammatory bowel diseases. Nature 2019, 569, 655–662. [Google Scholar] [CrossRef]
- Boots, A.W.; Smolinska, A.; van Berkel, J.J.; Fijten, R.R.; Stobberingh, E.E.; Boumans, M.L.; Moonen, E.J.; Wouters, E.F.; Dallinga, J.W.; Van Schooten, F.J. Identification of microorganisms based on headspace analysis of volatile organic compounds by gas chromatography-mass spectrometry. J. Breath Res. 2014, 8, 027106. [Google Scholar] [CrossRef] [PubMed]
- Ahmed, I.; Greenwood, R.; Costello Bde, L.; Ratcliffe, N.M.; Probert, C.S. An investigation of fecal volatile organic metabolites in irritable bowel syndrome. PLoS ONE 2013, 8, e58204. [Google Scholar] [CrossRef]
- Ahmed, I.; Greenwood, R.; Costello, B.; Ratcliffe, N.; Probert, C.S. Investigation of faecal volatile organic metabolites as novel diagnostic biomarkers in inflammatory bowel disease. Aliment. Pharmacol. Ther. 2016, 43, 596–611. [Google Scholar] [CrossRef]
- van Gaal, N.; Lakenman, R.; Covington, J.; Savage, R.; de Groot, E.; Bomers, M.; Benninga, M.; Mulder, C.; de Boer, N.; de Meij, T. Faecal volatile organic compounds analysis using field asymmetric ion mobility spectrometry: Non-invasive diagnostics in paediatric inflammatory bowel disease. J. Breath Res. 2017, 12, 016006. [Google Scholar] [CrossRef]
- Bosch, S.; van Gaal, N.; Zuurbier, R.P.; Covington, J.A.; Wicaksono, A.N.; Biezeveld, M.H.; Benninga, M.A.; Mulder, C.J.; de Boer, N.K.H.; de Meij, T.G.J. Differentiation Between Pediatric Irritable Bowel Syndrome and Inflammatory Bowel Disease Based on Fecal Scent: Proof of Principle Study. Inflamm. Bowel Dis. 2018, 24, 2468–2475. [Google Scholar] [CrossRef]
- Lubes, G.; Goodarzi, M. Analysis of Volatile Compounds by Advanced Analytical Techniques and Multivariate Chemometrics. Chem. Rev. 2017, 117, 6399–6422. [Google Scholar] [CrossRef] [PubMed]
- Gardner, J.W.; Bartlett, P.N. A brief history of electronic noses. Sens. Actuators B Chem. 1994, 18, 210–211. [Google Scholar] [CrossRef]
- Liu, T.; Li, D.; Chen, J.; Chen, Y.; Yang, T.; Cao, J. Gas-Sensor Drift Counteraction with Adaptive Active Learning for an Electronic Nose. Sensors 2018, 18, 4028. [Google Scholar] [CrossRef] [PubMed]
- Covington, J.A.; van der Schee, M.P.; Edge, A.S.L.; Boyle, B.; Savage, R.S.; Arasaradnam, R.P. The application of FAIMS gas analysis in medical diagnostics. Analyst 2015, 140, 6775–6781. [Google Scholar] [CrossRef]
- Moura, P.C.; Vassilenko, V.; Ribeiro, P.A. Ion Mobility Spectrometry Towards Environmental Volatile Organic Compounds Identification and Quantification: A Comparative Overview over Infrared Spectroscopy. Emiss. Control Sci. Technol. 2023, 9, 25–46. [Google Scholar] [CrossRef]
- Tiele, A.; Wicaksono, A.; Kansara, J.; Arasaradnam, R.P.; Covington, J.A. Breath Analysis Using eNose and Ion Mobility Technology to Diagnose Inflammatory Bowel Disease—A Pilot Study. Biosensors 2019, 9, 55. [Google Scholar] [CrossRef]
- Arasaradnam, R.P.; Westenbrink, E.; McFarlane, M.J.; Harbord, R.; Chambers, S.; O’Connell, N.; Bailey, C.; Nwokolo, C.U.; Bardhan, K.D.; Savage, R.; et al. Differentiating coeliac disease from irritable bowel syndrome by urinary volatile organic compound analysis—A pilot study. PLoS ONE 2014, 9, e107312. [Google Scholar] [CrossRef] [PubMed]
- van Rheenen, P.F.; Aloi, M.; Assa, A.; Bronsky, J.; Escher, J.C.; Fagerberg, U.L.; Gasparetto, M.; Gerasimidis, K.; Griffiths, A.; Henderson, P.; et al. The Medical Management of Paediatric Crohn’s Disease: An ECCO-ESPGHAN Guideline Update. J. Crohn’s Colitis 2020, 15, 171–194. [Google Scholar] [CrossRef]
- Turner, D.; Ruemmele, F.M.; Orlanski-Meyer, E.; Griffiths, A.M.; de Carpi, J.M.; Bronsky, J.; Veres, G.; Aloi, M.; Strisciuglio, C.; Braegger, C.P.; et al. Management of Paediatric Ulcerative Colitis, Part 1: Ambulatory Care—An Evidence-based Guideline From European Crohn’s and Colitis Organization and European Society of Paediatric Gastroenterology, Hepatology and Nutrition. J. Pediatr. Gastroenterol. Nutr. 2018, 67, 257–291. [Google Scholar] [CrossRef]
- Cozijnsen, M.A.; van Pieterson, M.; Samsom, J.N.; Escher, J.C.; de Ridder, L. Top-down Infliximab Study in Kids with Crohn’s disease (TISKids): An international multicentre randomised controlled trial. BMJ Open Gastroenterol. 2016, 3, e000123. [Google Scholar] [CrossRef] [PubMed]
- Levine, A.; Koletzko, S.; Turner, D.; Escher, J.C.; Cucchiara, S.; de Ridder, L.; Kolho, K.L.; Veres, G.; Russell, R.K.; Paerregaard, A.; et al. ESPGHAN revised porto criteria for the diagnosis of inflammatory bowel disease in children and adolescents. J. Pediatr. Gastroenterol. Nutr. 2014, 58, 795–806. [Google Scholar] [CrossRef] [PubMed]
- el Manouni el Hassani, S.; Bosch, S.; Lemmen, J.P.; Brizzio Brentar, M.; Ayada, I.; Wicaksono, A.N.; Covington, J.A.; Benninga, M.A.; de Boer, N.K.; de Meij, T.G. Simultaneous assessment of urinary and fecal volatile organic compound analysis in de novo pediatric IBD. Sensors 2019, 19, 4496. [Google Scholar] [CrossRef] [PubMed]
- Bosch, S.; Bot, R.; Wicaksono, A.; Savelkoul, E.; van der Hulst, R.; Kuijvenhoven, J.; Stokkers, P.; Daulton, E.; Covington, J.A.; de Meij, T.G. Early detection and follow-up of colorectal neoplasia based on faecal volatile organic compounds. Color. Dis. 2020, 22, 1119–1129. [Google Scholar] [CrossRef] [PubMed]
- Daulton, E.; Wicaksono, A.N.; Tiele, A.; Kocher, H.M.; Debernardi, S.; Crnogorac-Jurcevic, T.; Covington, J.A. Volatile organic compounds (VOCs) for the non-invasive detection of pancreatic cancer from urine. Talanta 2021, 221, 121604. [Google Scholar] [CrossRef] [PubMed]
- Abramovich, F.; Grinshtein, V. High-Dimensional Classification by Sparse Logistic Regression. IEEE Trans. Inf. Theory 2019, 65, 3068–3079. [Google Scholar] [CrossRef]
- Chen, T.; Guestrin, C. XGBoost: A Scalable Tree Boosting System. In Proceedings of the 22nd ACM SIGKDD International Conference on Knowledge Discovery and Data Mining, San Francisco, CA, USA, 13–16 August 2016; pp. 785–794. [Google Scholar]
- Bos, L.D.; Sterk, P.J.; Schultz, M.J. Volatile metabolites of pathogens: A systematic review. PLoS Pathog. 2013, 9, e1003311. [Google Scholar] [CrossRef] [PubMed]
- Patel, N.; Alkhouri, N.; Eng, K.; Cikach, F.; Mahajan, L.; Yan, C.; Grove, D.; Rome, E.S.; Lopez, R.; Dweik, R.A. Metabolomic analysis of breath volatile organic compounds reveals unique breathprints in children with inflammatory bowel disease: A pilot study. Aliment. Pharmacol. Ther. 2014, 40, 498–507. [Google Scholar] [CrossRef] [PubMed]
- Zhang, V.R.-Y.; Ramachandran, G.K.; Loo, E.X.L.; Soh, A.Y.S.; Yong, W.P.; Siah, K.T.H. Volatile organic compounds as potential biomarkers of irritable bowel syndrome: A systematic review. Neurogastroenterol. Motil. 2023, 35, e14536. [Google Scholar] [CrossRef]
- Rossi, M.; Aggio, R.; Staudacher, H.M.; Lomer, M.C.; Lindsay, J.O.; Irving, P.; Probert, C.; Whelan, K. Volatile Organic Compounds in Feces Associate With Response to Dietary Intervention in Patients With Irritable Bowel Syndrome. Clin. Gastroenterol. Hepatol. 2018, 16, 385–391.e381. [Google Scholar] [CrossRef]
- Bosch, S.; Wintjens, D.S.J.; Wicaksono, A.; Pierik, M.; Covington, J.A.; de Meij, T.G.J.; de Boer, N.K.H. Prediction of Inflammatory Bowel Disease Course Based on Fecal Scent. Sensors 2022, 22, 2316. [Google Scholar] [CrossRef]
- Van Limbergen, J.; Russell, R.K.; Drummond, H.E.; Aldhous, M.C.; Round, N.K.; Nimmo, E.R.; Smith, L.; Gillett, P.M.; McGrogan, P.; Weaver, L.T.; et al. Definition of phenotypic characteristics of childhood-onset inflammatory bowel disease. Gastroenterology 2008, 135, 1114–1122. [Google Scholar] [CrossRef] [PubMed]
- Jakobsen, C.; Bartek, J., Jr.; Wewer, V.; Vind, I.; Munkholm, P.; Groen, R.; Paerregaard, A. Differences in phenotype and disease course in adult and paediatric inflammatory bowel disease—A population-based study. Aliment. Pharmacol. Ther. 2011, 34, 1217–1224. [Google Scholar] [CrossRef] [PubMed]
- De Angelis, M.; Vannini, L.; Di Cagno, R.; Cavallo, N.; Minervini, F.; Francavilla, R.; Ercolini, D.; Gobbetti, M. Salivary and fecal microbiota and metabolome of celiac children under gluten-free diet. Int. J. Food Microbiol. 2016, 239, 125–132. [Google Scholar] [CrossRef] [PubMed]
- Sagar, N.M.; Cree, I.A.; Covington, J.A.; Arasaradnam, R.P. The interplay of the gut microbiome, bile acids, and volatile organic compounds. Gastroenterol. Res. Pr. 2015, 2015, 398585. [Google Scholar] [CrossRef]
- Voreades, N.; Kozil, A.; Weir, T.L. Diet and the development of the human intestinal microbiome. Front. Microbiol. 2014, 5, 494. [Google Scholar] [CrossRef]


| IBD (n = 109) | CD (n = 74) | UC (n = 29) | IBD-U (n = 6) | CGI (n = 75) | |
|---|---|---|---|---|---|
| Age, years, median (IQR) | 15.0 (12.5–16.0) | 15.0 (13.0–16.0) | 14.0 (12.0–15.5) | 13.5 (11.7–15.3) | 14.0 (11.0–16.0) |
| Males, n (%) | 54.0 (49.5) | 37.0 (50.0) | 14.0 (48.3) | 3.0 (50.0) | 34.0 (45.3) |
| BMI, kg/m2, median (IQR) | 18.9 (16.0–21.6) | 18.9 (15.7–21.3) | 18.5 (16.8–21.8) | 18.7 (16.8–22.2) | 19.1 (17.0–21.1) |
| PCDAI baseline, median (IQR) | NA | 30 (21.9–42.5) | NA | NA | NA |
| PUCAI baseline, median (IQR) | NA | NA | 45 (30–65) | 30 (23.75–36.25) | NA |
| FCP, μg/mg, median (IQR) | 1987.5 (1027.0–3267.5) | 1892.5 (886.2–3000.0) | 2170.5 (1270.0–4734.0) | 2560.5 (1112.7–3551.0) | 25.5 (11.0–317.8) |
| CRP, mg/L, median (IQR) | 8.2 (1.0–32.9) | 12.0 (5.5–48.9) | 1.0 (0.7–8.0) | 0.9 (0.6–2.8) | 1.0 (0.3–3.7) |
| Final Diagnosis | Patients, n (%) |
|---|---|
| IBS | 34 (45.3) |
| FAP | 18 (24.0) |
| Polyp | 6 (8.0) |
| Post-infectious | 5 (6.7) |
| No alternative diagnosis (transient symptoms) | 3 (4.0) |
| Non-specific colitis (non-IBD) | 2 (2.7) |
| Abdominal migraine | 1 (1.3) |
| Chronic appendicitis | 1 (1.3) |
| Coeliac disease | 1 (1.3) |
| Gynaecological disease | 1 (1.3) |
| Helicobacter pylori gastritis | 1 (1.3) |
| Protein-losing enteropathy | 1 (1.3) |
| Ulcer seam (after prior intestinal resection) | 1 (1.3) |
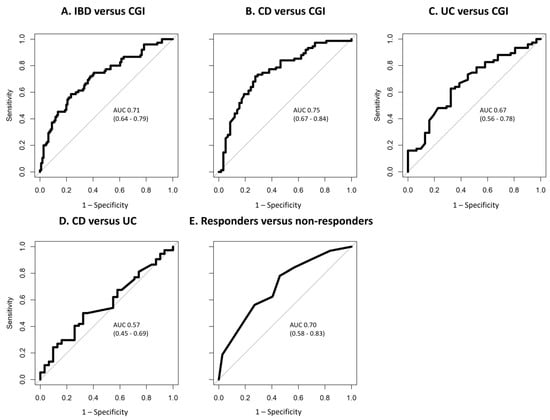
| Comparison | Algorithm | AUC (95% CI) | Sensitivity | Specificity | PPV | NPV | p-Values |
|---|---|---|---|---|---|---|---|
| IBD versus controls | Sparse logistic regression | 0.71 (0.64–0.79) | 0.59 | 0.77 | 0.63 | 0.73 | <0.001 |
| XGboost | 0.68 (0.60–0.75) | 0.49 | 0.79 | 0.62 | 0.70 | <0.001 | |
| CD versus controls | Sparse logistic regression | 0.74 (0.65–0.83) | 0.93 | 0.52 | 0.71 | 0.86 | <0.001 |
| XGboost | 0.75 (0.67–0.84) | 0.72 | 0.72 | 0.77 | 0.67 | <0.001 | |
| UC versus controls | Sparse logistic regression | 0.66 (0.54–0.77) | 0.65 | 0.74 | 0.86 | 0.47 | <0.01 |
| XGboost | 0.67 (0.56–0.78) | 0.63 | 0.68 | 0.82 | 0.43 | 0.01 | |
| CD versus UC | Sparse logistic regression | 0.57 (0.45–0.69) | 0.42 | 0.73 | 0.39 | 0.75 | 0.87 |
| XGboost | 0.54 (0.42–0.66) | 0.18 | 0.94 | 0.87 | 0.32 | 0.28 | |
| Responder versus non-responder | Sparse logistic regression | 0.61 (0.47–0.75) | 0.37 | 0.95 | 0.86 | 0.64 | 0.06 |
| XGboost | 0.70 (0.58–0.83) | 0.78 | 0.54 | 0.56 | 0.74 | 0.1 |
Disclaimer/Publisher’s Note: The statements, opinions and data contained in all publications are solely those of the individual author(s) and contributor(s) and not of MDPI and/or the editor(s). MDPI and/or the editor(s) disclaim responsibility for any injury to people or property resulting from any ideas, methods, instructions or products referred to in the content. |
© 2024 by the authors. Licensee MDPI, Basel, Switzerland. This article is an open access article distributed under the terms and conditions of the Creative Commons Attribution (CC BY) license (https://creativecommons.org/licenses/by/4.0/).
Share and Cite
Vermeer, E.; Jagt, J.Z.; Stewart, T.K.; Covington, J.A.; Struys, E.A.; de Jonge, R.; de Boer, N.K.H.; de Meij, T.G.J. Faecal Volatile Organic Compound Analysis in De Novo Paediatric Inflammatory Bowel Disease by Gas Chromatography–Ion Mobility Spectrometry: A Case–Control Study. Sensors 2024, 24, 2727. https://doi.org/10.3390/s24092727
Vermeer E, Jagt JZ, Stewart TK, Covington JA, Struys EA, de Jonge R, de Boer NKH, de Meij TGJ. Faecal Volatile Organic Compound Analysis in De Novo Paediatric Inflammatory Bowel Disease by Gas Chromatography–Ion Mobility Spectrometry: A Case–Control Study. Sensors. 2024; 24(9):2727. https://doi.org/10.3390/s24092727
Chicago/Turabian StyleVermeer, Eva, Jasmijn Z. Jagt, Trenton K. Stewart, James A. Covington, Eduard A. Struys, Robert de Jonge, Nanne K. H. de Boer, and Tim G. J. de Meij. 2024. "Faecal Volatile Organic Compound Analysis in De Novo Paediatric Inflammatory Bowel Disease by Gas Chromatography–Ion Mobility Spectrometry: A Case–Control Study" Sensors 24, no. 9: 2727. https://doi.org/10.3390/s24092727
APA StyleVermeer, E., Jagt, J. Z., Stewart, T. K., Covington, J. A., Struys, E. A., de Jonge, R., de Boer, N. K. H., & de Meij, T. G. J. (2024). Faecal Volatile Organic Compound Analysis in De Novo Paediatric Inflammatory Bowel Disease by Gas Chromatography–Ion Mobility Spectrometry: A Case–Control Study. Sensors, 24(9), 2727. https://doi.org/10.3390/s24092727

