SSFLNet: A Novel Fault Diagnosis Method for Double Shield TBM Tool System
Abstract
1. Introduction
2. Disk Cutter Failure Mechanism Analysis
3. Dynamics Simulation Analysis
3.1. Disk Cutter Arrangement
3.2. Main Thrust Hydraulic Cylinder Arrangement
3.3. Adams Dynamics Simulation
4. AMESIM Hydraulic Simulation Analysis
4.1. Principle of the Hydraulic System
4.2. Modeling of Hydraulic Cylinders
4.3. Modeling of Hydraulic Pumps
4.4. Modeling of Open−Loop Simulation of Hydraulic Propulsion System
4.5. Hydraulic Propulsion System Open−Loop Simulation Results
5. SAV−SVDD Failure Location Method (SSFLNet)
5.1. SAE Feature Extraction Module
5.2. SVDD Feature Classification Module
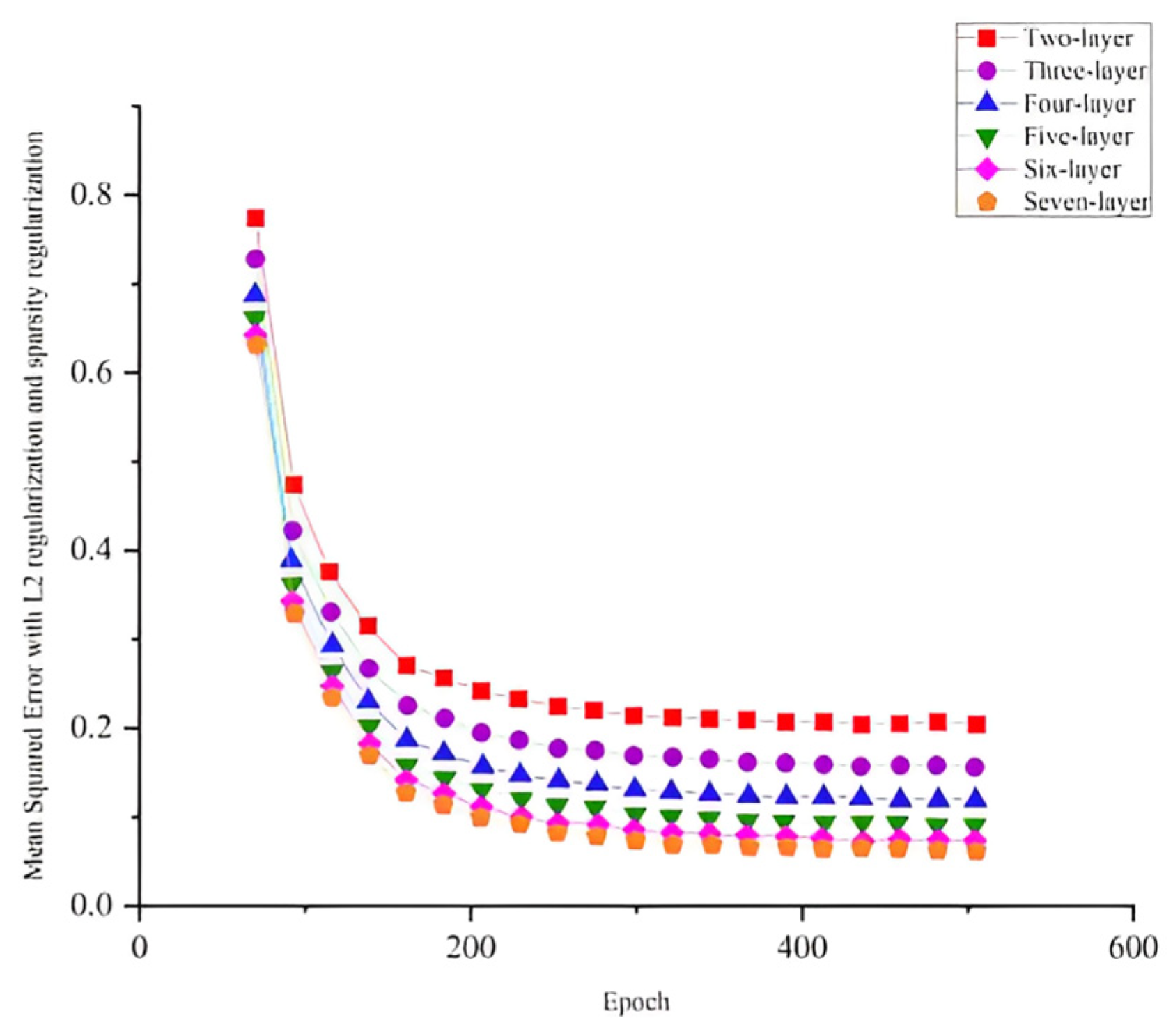
5.3. Training of Network Models
6. Experimental Results and Comparative Analysis
6.1. Data Description
6.2. Analysis of the Results
7. Conclusions
8. Patents
Author Contributions
Funding
Institutional Review Board Statement
Informed Consent Statement
Data Availability Statement
Acknowledgments
Conflicts of Interest
References
- Terheijden, O.T.; van Gelder, P.H.A.J.M.; Broere, W. Impact of occupational risk prevention measures during process disturbances in TBM tunnelling. Tunn. Undergr. Space Technol. 2022, 127, 104576. [Google Scholar] [CrossRef]
- Pu, X.; Jia, L.; Shang, K.; Chen, L.; Yang, T.; Chen, L.; Gao, L.; Qian, L. A New Strategy for Disc Cutter Wear Status Perception Using Vibration Detection and Machine Learning. Sensors 2022, 22, 6686. [Google Scholar] [CrossRef]
- Sun, Z.; Zhao, H.; Hong, K.; Chen, K.; Zhou, J.; Li, F.; Zhang, B.; Song, F.; Yang, Y.; He, R. A practical TBM cutter wear prediction model for disc cutter life and rock wear ability. Tunn. Undergr. Space Technol. 2019, 85, 92–99. [Google Scholar] [CrossRef]
- Mahdevari, S.; Shahriar, K.; Yagiz, S.; Shirazi, M.A. A support vector regression model for predicting tunnel boring machine penetration rates. Int. J. Rock Mech. Min. Sci. 2014, 72, 214–229. [Google Scholar] [CrossRef]
- Rimpault, X.; Chatelain, J.-F.; Klemberg-Sapieha, J.E.; Balazinski, M. Tool wear and surface quality assessment of CFRP trimming using fractal analyses of the cutting force signals. CIRP J. Manuf. Sci. Technol. 2017, 16, 72–80. [Google Scholar] [CrossRef]
- Ding, P.; Huang, X.; Zhao, C.; Liu, H.; Zhang, X. Online monitoring model of micro−milling force incorporating tool wear prediction process. Expert Syst. Appl. 2023, 223, 119886. [Google Scholar] [CrossRef]
- Liu, T.; Song, J.; Zhang, K.; Liu, Q.; Chen, F. Tooth−wise monitoring of the asymmetrical tool wear in micro−milling based on the chip thickness reconstruction and cutting force signal. Mech. Syst. Signal Process. 2024, 208, 111004. [Google Scholar] [CrossRef]
- Wu, X.; Zhang, C.; Li, Y.; Huang, W.; Zeng, K.; Shen, J.; Zhu, L. Researches on tool wear progress in mill−grinding based on the cutting force and acceleration signal. Measurement 2023, 218, 113234. [Google Scholar] [CrossRef]
- Choudhury, S.K.; Rath, S. In−process tool wear estimation in milling using cutting force model. J. Mater. Process. Technol. 2000, 99, 113–119. [Google Scholar] [CrossRef]
- Kamm, S.; Veekati, S.S.; Müller, T.; Jazdi, N.; Weyrich, M. A survey on machine learning based analysis of heterogeneous data in industrial automation. Comput. Ind. 2023, 149, 103930. [Google Scholar] [CrossRef]
- Li, S.; Yi, H.; Leng, Q.; Wu, Y.; Mao, Y. New perspectives on cancer clinical research in the era of big data and machine learning. Surg. Oncol. 2023, 52, 102009. [Google Scholar] [CrossRef] [PubMed]
- Mohsin, M.; Jamaani, F. A novel deep−learning technique for forecasting oil price volatility using historical prices of five precious metals in context of green financing—A comparison of deep learning, machine learning, and statistical models. Resour. Policy 2023, 86, 104216. [Google Scholar] [CrossRef]
- Nakatumba−Nabende, J.; Babirye, C.; Tusubira, J.F.; Mutegeki, H.; Nabiryo, A.L.; Murindanyi, S.; Katumba, A.; Nantongo, J.; Sserunkuma, E.; Nakitto, M.; et al. Using machine learning for image−based analysis of sweetpotato root sensory attributes. Smart Agric. Technol. 2023, 5, 100291. [Google Scholar] [CrossRef] [PubMed]
- Phan, T.C.; Pranata, A.; Farragher, J.; Bryant, A.; Nguyen, H.T.; Chai, R. Regression−Based Machine Learning for Predicting Lifting Movement Pattern Change in People with Low Back Pain. Sensors 2024, 24, 1337. [Google Scholar] [CrossRef] [PubMed]
- Wang, Y.; Zhao, J.; Jiang, K.; Zhou, Q.; Kang, Z.; Chen, C.; Zhang, H. Prediction of TBM operation parameters using machine learning models based on BPSO. Adv. Eng. Inform. 2023, 56, 101955. [Google Scholar] [CrossRef]
- Xiao, H.-H.; Yang, W.-K.; Hu, J.; Zhang, Y.-P.; Jing, L.-J.; Chen, Z.-Y. Significance and methodology: Preprocessing the big data for machine learning on TBM performance. Undergr. Space 2022, 7, 680–701. [Google Scholar] [CrossRef]
- Xu, Q.; Huang, X.; Zhang, B.; Zhang, Z.; Wang, J.; Wang, S. TBM performance prediction using LSTM−based hybrid neural network model: Case study of Baimang River tunnel project in Shenzhen, China. Undergr. Space 2023, 7, 130–152. [Google Scholar] [CrossRef]
- He, B.; Zhu, G.; Han, L.; Zhang, D. Adaptive−Neuro−Fuzzy−Based Information Fusion for the Attitude Prediction of TBMs. Sensors 2021, 21, 61. [Google Scholar] [CrossRef]
- Huang, M.Q.; Ninić, J.; Zhang, Q.B. BIM, machine learning and computer vision techniques in underground construction: Current status and future perspectives. Tunn. Undergr. Space Technol. 2021, 108, 103677. [Google Scholar] [CrossRef]
- Korkmaz, M.E.; Gupta, M.K.; Kuntoğlu, M.; Patange, A.D.; Ross, N.S.; Yılmaz, H.; Chauhan, S.; Vashishtha, G. Prediction and classification of tool wear and its state in sustainable machining of Bohler steel with different machine learning models. Measurement 2023, 223, 113825. [Google Scholar] [CrossRef]
- Papenberg, B.; Hogreve, S.; Tracht, K. Visualization of relevant areas of milling tools for the classification of tool wear by machine learning methods. Procedia CIRP 2023, 118, 525–530. [Google Scholar] [CrossRef]
- Domínguez−Monferrer, C.; Fernández−Pérez, J.; De Santos, R.; Miguélez, M.H.; Cantero, J.L. Machine learning approach in non−intrusive monitoring of tool wear evolution in massive CFRP automatic drilling processes in the aircraft industry. J. Manuf. Syst. 2022, 65, 622–639. [Google Scholar] [CrossRef]
- Ou, J.; Li, H.; Huang, G.; Yang, G. Intelligent analysis of tool wear state using stacked denoising autoencoder with online sequential−extreme learning machine. Measurement 2021, 167, 108153. [Google Scholar] [CrossRef]
- Li, Z.; Liu, R.; Wu, D. Data−driven smart manufacturing: Tool wear monitoring with audio signals and machine learning. J. Manuf. Process. 2019, 48, 66–76. [Google Scholar] [CrossRef]
























| Parameter Name | Parameter Value |
|---|---|
| Hydraulic cylinder bore | |
| Hydraulic cylinder piston rod diameter | |
| Hydraulic cylinder stroke | |
| Cross−sectional area of rodless piston end cavity | |
| Rodless piston end chamber volume | |
| Cavity cross−sectional area of rod piston end | |
| Rodded piston end chamber volume | |
| Leakage factor for hydraulic cylinders | |
| Damping factor of the system | |
| Modulus of elasticity of hydraulic fluid |
| Parameter Name | Parameter Value |
|---|---|
| Hydraulic pump displacement | L/min |
| Maximum speed of hydraulic pump | 1450 r/min |
| Hydraulic pump working pressure | 35 MP |
| Tooling System Failure Zone | Adjusting the Spring | Operating Pressure in MPa | Rotation Speed (r/min) | Number of Experiments (Loops) |
|---|---|---|---|---|
| None | No adjustment made | 0.64 | 1.9 | 610 |
| Upper partition | Upper side | 0.68 | 1.8 | 610 |
| Lower partition | Lower side | 0.65 | 1.9 | 680 |
| Left partition | Left side | 0.67 | 2 | 680 |
| Right partition | Right side | 0.65 | 2 | 620 |
| Tooling System Failure Zone | SVDD Model Accuracy | SAE−SVM Model Accuracy | SSFL Model Accuracy |
|---|---|---|---|
| None | 66.7% | 100% | 100% |
| Upper partition | 20% | 83.3% | 98.3% |
| Lower partition | 63.3% | 93.3% | 95% |
| Left partition | 8.3% | 76.7% | 88.3% |
| Right partition | 88.3% | 75% | 91.7% |
| training time | 203 s | 459 s | 323 s |
Disclaimer/Publisher’s Note: The statements, opinions and data contained in all publications are solely those of the individual author(s) and contributor(s) and not of MDPI and/or the editor(s). MDPI and/or the editor(s) disclaim responsibility for any injury to people or property resulting from any ideas, methods, instructions or products referred to in the content. |
© 2024 by the authors. Licensee MDPI, Basel, Switzerland. This article is an open access article distributed under the terms and conditions of the Creative Commons Attribution (CC BY) license (https://creativecommons.org/licenses/by/4.0/).
Share and Cite
Zhou, P.; Liu, C.; Xu, J.; Ma, D.; Wang, Z.; He, E. SSFLNet: A Novel Fault Diagnosis Method for Double Shield TBM Tool System. Sensors 2024, 24, 2631. https://doi.org/10.3390/s24082631
Zhou P, Liu C, Xu J, Ma D, Wang Z, He E. SSFLNet: A Novel Fault Diagnosis Method for Double Shield TBM Tool System. Sensors. 2024; 24(8):2631. https://doi.org/10.3390/s24082631
Chicago/Turabian StyleZhou, Peng, Chang Liu, Jiacan Xu, Dazhong Ma, Zinan Wang, and Enguang He. 2024. "SSFLNet: A Novel Fault Diagnosis Method for Double Shield TBM Tool System" Sensors 24, no. 8: 2631. https://doi.org/10.3390/s24082631
APA StyleZhou, P., Liu, C., Xu, J., Ma, D., Wang, Z., & He, E. (2024). SSFLNet: A Novel Fault Diagnosis Method for Double Shield TBM Tool System. Sensors, 24(8), 2631. https://doi.org/10.3390/s24082631

