Accurate Nonstandard Path Integral Models for Arbitrary Dielectric Boundaries in 2-D NS-FDTD Domains
Abstract
1. Introduction
2. The PI Model at a Dielectric Boundary
2.1. Basics and Formulation
2.2. Treatment of the Magnetic-Field Components
2.3. Treatment of the Electric-Field Components
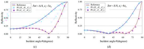
3. Numerical Results and Discussion
3.1. Reflectivity Analysis of a Flat Dielectric Plate
3.2. RCS Analysis of a Dielectric Cylinder
4. Conclusions
Author Contributions
Funding
Institutional Review Board Statement
Informed Consent Statement
Data Availability Statement
Conflicts of Interest
References
- Cole, J. A high accuracy FDTD algorithm to solve microwave propagation and scattering problems on a coarse grid. IEEE Trans. Microw. Theory Tech. 1995, 43, 2053–2058. [Google Scholar] [CrossRef]
- Cole, J. High-accuracy Yee algorithm based on nonstandard finite differences: New developments and verifications. IEEE Trans. Antennas Propag. 2002, 50, 1185–1191. [Google Scholar] [CrossRef]
- Ohtani, T.; Kanai, Y. Coefficients of finite difference operator for rectangular cell NS-FDTD method. IEEE Trans. Antennas Propag. 2011, 59, 206–213. [Google Scholar] [CrossRef]
- Kunz, K.S.; Luebbers, R.J. The Finite Difference Time Domain Method for Electromagnetics; CRC Press: New York, NY, USA, 1993. [Google Scholar]
- Taflove, A.; Hagness, S.C. Computational Electrodynamics: The Finite-Difference Time-Domain Method, 3rd ed.; Artech House: Norwood, MA, USA, 2005; Chapter 3, 10, 11. [Google Scholar]
- Mickens, R.E. Nonstandard Finite Difference Models of Differential Equations; World Scientific: Singapore, 1984. [Google Scholar]
- Liu, Y.; Shi, L.; Wang, J.; Chen, H.; Lei, Q.; Duan, Y.; Zhang, Q.; Fu, S.; Sun, Z. TO-FDTD method for arbitrary skewed periodic structures at oblique incidence. IEEE Trans. Microw. Theory Tech. 2020, 68, 564–572. [Google Scholar] [CrossRef]
- Valverde, A.M.; Cabello, M.R.; Sánchez, C.C.; Bretones, A.R.; Garcia, S.G. On the effect of grid orthogonalization in stability and accuracy of an FDTD subgridding method. IEEE Trans. Antennas Propag. 2022, 70, 10769–10776. [Google Scholar] [CrossRef]
- Ruiz Cabello, M.; Martín Valverde, A.J.; Plaza, B.; Frövel, M.; Poyatos, D.; Bretones, A.R.; Bravo, A.G.; García, S.G. A subcell finite-difference time-domain implementation for narrow slots on conductive panels. Appl. Sci. 2023, 13, 8949. [Google Scholar] [CrossRef]
- Xu, P.; Liu, J. Iteration-based temporal subgridding method for the finite-difference time-domain algorithm. Mathematics 2024, 12, 302. [Google Scholar] [CrossRef]
- Bahrami, A.; Deck-Léger, Z.L.; Li, Z.; Caloz, C. A generalized FDTD scheme for moving electromagnetic structures with arbitrary space–time configurations. IEEE Trans. Antennas Propag. 2024, 72, 1721–1734. [Google Scholar] [CrossRef]
- Shi, W.; Wang, J.; Wang, Y.; Huo, J.J.; Yin, W.Y. An area-averaged conformal technique for the electromagnetic simulations of Debye medium. IEEE Trans. Electromagn. Compat. 2022, 64, 1978–1985. [Google Scholar] [CrossRef]
- Ye, Z.; Shi, Y.; Gao, Z.; Wu, X. Time-domain hybrid method for the coupling analysis of power line network with curved and multidirectional segments. IEEE Trans. Electromagn. Compat. 2023, 65, 216–224. [Google Scholar] [CrossRef]
- Tong, X.; Sun, Y. A hybrid Chebyshev pseudo-spectral finite-difference time-domain method for numerical simulation of 2D acoustic wave propagation. Mathematics 2024, 12, 117. [Google Scholar] [CrossRef]
- Navarro, E.A.; Portí, J.A.; Salinas, A.; Navarro-Modesto, E.; Toledo-Redondo, S.; Fornieles, J. Design & optimization of large cylindrical radomes with subcell and non-orthogonal FDTD meshes combined with genetic algorithms. Electronics 2021, 10, 2263. [Google Scholar] [CrossRef]
- Takahashi, K.; Aoike, K.; Ono, M.; Yoneda, J. Robust estimation of the dielectric constant of cylindrical objects using wideband radar transmission measurements. IEEE Trans. Microw. Theory Tech. 2022, 70, 3666–3674. [Google Scholar] [CrossRef]
- Wang, Y.; Xie, Y.; Jiang, H.; Wu, P. Narrow-bandpass one-step leapfrog hybrid implicit-explicit algorithm with convolutional boundary condition for its applications in sensors. Sensors 2022, 22, 4445. [Google Scholar] [CrossRef] [PubMed]
- Kazemzadeh, M.R.; Broderick, N.G.R.; Xu, W. Novel time-domain electromagnetic simulation using triangular meshes by applying space curvature. IEEE Open J. Antennas Propag. 2020, 1, 387–395. [Google Scholar] [CrossRef]
- Mao, Y.; Zhan, Q.; Wang, D.; Zhang, R.; Liu, Q.H. Modeling thin 3-D material surfaces using a spectral-element spectral-integral method with the surface current boundary condition. IEEE Trans. Antennas Propag. 2022, 70, 2375–2380. [Google Scholar] [CrossRef]
- David, D.S.K.; Jeong, Y.; Wu, Y.C.; Ham, S. An analytical antenna modeling of electromagnetic wave propagation in inhomogeneous media using FDTD: A comprehensive study. Sensors 2023, 23, 3896. [Google Scholar] [CrossRef] [PubMed]
- Samak, M.M.E.A.; Bakar, A.A.A.; Kashif, M.; Zan, M.S.D. Comprehensive numerical analysis of finite difference time domain methods for improving optical waveguide sensor accuracy. Sensors 2016, 16, 506. [Google Scholar] [CrossRef]
- Fu, Y.; Yager, T.; Chikvaidze, G.; Iyer, S.; Wang, Q. Time-resolved FDTD and experimental FTIR study of gold micropatch arrays for wavelength-selective mid-infrared optical coupling. Sensors 2021, 21, 5203. [Google Scholar] [CrossRef] [PubMed]
- Wu, X.; Xiao, J. Improved full-vectorial meshfree mode solver for step-index optical waveguides with arbitrary dielectric interfaces. J. Lightw. Technol. 2022, 40, 4746–4757. [Google Scholar] [CrossRef]
- Yang, X.; Xia, D.; Li, J.; Chu, Q. Highly sensitive micro-opto-electromechanical systems accelerometer based on MIM waveguide wavelength modulation. IEEE Sens. J. 2023, 23, 181–188. [Google Scholar] [CrossRef]
- Jannesari, R.; Pühringer, G.; Stocker, G.; Grille, T.; Jakoby, B. Design of a high Q-factor label-free optical biosensor based on a photonic crystal coupled cavity waveguide. Sensors 2024, 24, 193. [Google Scholar] [CrossRef] [PubMed]
- Ohtani, T.; Kanai, Y.; Kantartzis, N.V. A rigorous path integral scheme for the two-dimensional nonstandard finite-difference time-domain method. In Proceedings of the 22nd IEEE Conference on the Computation of Electromagnetic Fields (COMPUMAG), Paris, France, 15–19 July 2019. pp. PA–M4–9(1–2). [Google Scholar]
- Ohtani, T.; Kanai, Y.; Kantartzis, N.V. A nonstandard path integral model for curved surface analysis. Energies 2022, 15, 4322. [Google Scholar] [CrossRef]
- Ohtani, T.; Kanai, Y.; Kantartzis, N.V. A path integral representation model to extend the analytical capability of the nonstandard finite-difference time-domain method. ACES J. 2024, in press. [Google Scholar]
- Taflove, A. Advances in Computational Electrodynamics: The Finite-Difference Time-Domain Method; Artech House: Norwood, MA, USA, 1998; Chapter 6. [Google Scholar]
- Bérenger, J.P. Perfectly Matched Layer (PML) for Computational Electromagnetics; Springer Nature: New York, NY, USA, 2007. [Google Scholar]
- Balanis, C.A. Advanced Engineering Electromagnetics, 2nd ed.; John Wiley & Sons: New York, NY, USA, 2012; Chapter 5. [Google Scholar]











Disclaimer/Publisher’s Note: The statements, opinions and data contained in all publications are solely those of the individual author(s) and contributor(s) and not of MDPI and/or the editor(s). MDPI and/or the editor(s) disclaim responsibility for any injury to people or property resulting from any ideas, methods, instructions or products referred to in the content. |
© 2024 by the authors. Licensee MDPI, Basel, Switzerland. This article is an open access article distributed under the terms and conditions of the Creative Commons Attribution (CC BY) license (https://creativecommons.org/licenses/by/4.0/).
Share and Cite
Ohtani, T.; Kanai, Y.; Kantartzis, N.V. Accurate Nonstandard Path Integral Models for Arbitrary Dielectric Boundaries in 2-D NS-FDTD Domains. Sensors 2024, 24, 2373. https://doi.org/10.3390/s24072373
Ohtani T, Kanai Y, Kantartzis NV. Accurate Nonstandard Path Integral Models for Arbitrary Dielectric Boundaries in 2-D NS-FDTD Domains. Sensors. 2024; 24(7):2373. https://doi.org/10.3390/s24072373
Chicago/Turabian StyleOhtani, Tadao, Yasushi Kanai, and Nikolaos V. Kantartzis. 2024. "Accurate Nonstandard Path Integral Models for Arbitrary Dielectric Boundaries in 2-D NS-FDTD Domains" Sensors 24, no. 7: 2373. https://doi.org/10.3390/s24072373
APA StyleOhtani, T., Kanai, Y., & Kantartzis, N. V. (2024). Accurate Nonstandard Path Integral Models for Arbitrary Dielectric Boundaries in 2-D NS-FDTD Domains. Sensors, 24(7), 2373. https://doi.org/10.3390/s24072373

