The Impact of Nozzle Opening Thickness on Flow Characteristics and Primary Electron Beam Scattering in an Environmental Scanning Electron Microscope
Abstract
1. Introduction
2. Environmental Scanning Electron Microscope (ESEM)
3. Theory of One-Dimensional Isentropic Flow
4. Methodology
- Accurate capturing of shock and contact discontinuities.
- Entropy-satisfying solution.
- Free of “carbuncle” phenomena—the carbuncle phenomenon is a shock instability that appears when numerical low-dissipative shock-capturing techniques are used.
- Uniform accuracy and convergence rate for all Mach numbers.
5. Results and Discussion
5.1. Calculating the Cross-Section of the Nozzle
- Experimental measurement using sensors;
- Mathematical–physics analyses;
- Physical theory.
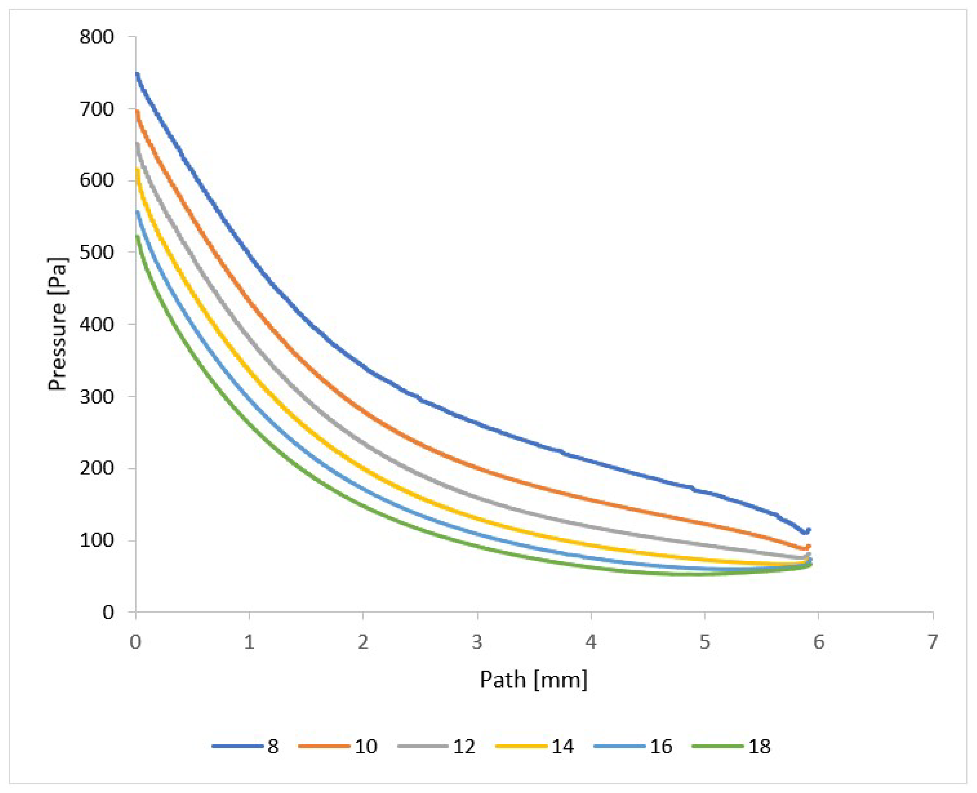
5.2. Evaluation of Nozzle Opening Variants
5.3. Evaluation of Electron Dispersion for Each Variant
- M < 0.05: there is minimum beam dispersion of up to 5%;
- M = 0.05–3: there is partial dispersion in the range of 5–95%;
- M > 3: there is complete dispersion above 95%.
6. Conclusions
Author Contributions
Funding
Institutional Review Board Statement
Informed Consent Statement
Data Availability Statement
Acknowledgments
Conflicts of Interest
Appendix A




References
- Drexler, P.; Čáp, M.; Fiala, P.; Steinbauer, M.; Kadlec, R.; Kaška, M.; Kočiš, L. A Sensor System for Detecting and Localizing Partial Discharges in Power Transformers with Improved Immunity to Interferences. Sensors 2019, 19, 923. [Google Scholar] [CrossRef]
- Fiala, P.; Sadek, V.; Dohnal, P.; Bachorec, T. Basic experiments with model of inductive flowmeter. In Proceedings of the Electromagnetics Research Symposium: PIERS 2008, Cambridge, MA, USA, 2–6 July 2008; pp. 1044–1048. [Google Scholar]
- Gennari, S.; Maglia, F.; Anselmi-Tamburini, U.; Spinolo, G. SHS of NbSi2: A Comparison Between Experiments and Simulations. Monatshefte Für Chem. Chem. Mon. 2005, 136, 1871–1875. [Google Scholar] [CrossRef]
- Danilatos, G.D. Velocity and ejector-jet assisted differential pumping: Novel design stages for environmental SEM. Micron 2012, 43, 600–611. [Google Scholar] [CrossRef]
- Danilatos, G.D.; Rattenberger, J.; Dracopoulos, V. Beam transfer characteristics of a commercial environmental SEM and a low vacuum SEM. J. Microsc. 2011, 242, 166–180. [Google Scholar] [CrossRef] [PubMed]
- Danilatos, G.D. Figure of merit for environmental SEM and its implications. J. Microsc. 2011, 244, 159–169. [Google Scholar] [CrossRef]
- Danilatos, G.D. Optimum beam transfer in the environmental scanning electron microscope. J. Microsc. 2009, 234, 26–37. [Google Scholar] [CrossRef] [PubMed]
- van Eck, H.J.N.; Koppers, W.R.; van Rooij, G.J.; Goedheer, W.J.; Engeln, R.; Schram, D.C.; Cardozo, N.J.L.; Kleyn, A.W. Modeling and experiments on differential pumping in linear plasma generators operating at high gas flows. J. Appl. Phys. 2009, 105, 63307. [Google Scholar] [CrossRef]
- Roy, S.; Raju, R.; Chuang, H.F.; Cruden, B.A.; Meyyappan, M. Modeling gas flow through microchannels and nanopores. J. Appl. Phys. 2003, 93, 4870–4879. [Google Scholar] [CrossRef]
- Daněk, M. Aerodynamika a Mechanika Letu; VVLŠ SNP: Košice, Slovak Republic, 1990; p. 83. [Google Scholar]
- Neděla, V.; Tihlaříková, E.; Maxa, J.; Imrichová, K.; Bučko, M.; Gemeiner, P. Simulation-based optimisation of thermodynamic conditions in the ESEM for dynamical in-situ study of spherical polyelectrolyte complex particles in their native state. Ultramicroscopy 2020, 211, 112954. [Google Scholar] [CrossRef] [PubMed]
- Đorđević, B.; Neděla, V.; Tihlaříková, E.; Trojan, V.; Havel, L. Effects of copper and arsenic stress on the development of Norway spruce somatic embryos and their visualization with the environmental scanning electron microscope. New Biotechnol. 2019, 48, 35–43. [Google Scholar] [CrossRef]
- Imrichová, K.; Veselý, L.; Gasser, T.M.; Loerting, T.; Neděla, V.; Heger, D. Vitrification and increase of basicity in between ice Ih crystals in rapidly frozen dilute NaCl aqueous solutions. J. Chem. Phys. 2019, 151, 014503. [Google Scholar] [CrossRef] [PubMed]
- Maxa, J.; Neděla, V. The impact of critical flow on the primary electron beam passage through differentially pumped chamber. Adv. Mil. Technol. 2011, 6, 39–46. [Google Scholar]
- Ritscher, A.; Schmetterer, C.; Ipser, H. Pressure dependence of the tin–phosphorus phase diagram. Monatshefte Für Chem. Chem. Mon. 2012, 143, 1593–1602. [Google Scholar] [CrossRef]
- Stelate, A.; Tihlaříková, E.; Schwarzerová, K.; Neděla, V.; Petrášek, J. Correlative Light-Environmental Scanning Electron Microscopy of Plasma Membrane Efflux Carriers of Plant Hormone Auxin. Biomolecules 2021, 11, 1407. [Google Scholar] [CrossRef]
- Li, T.; Song, Q.; He, G.; Xia, H.; Li, H.; Gui, J.; Dang, H. A Method for Detecting the Vacuum Degree of Vacuum Glass Based on Digital Holography. Sensors 2023, 23, 2468. [Google Scholar] [CrossRef]
- Schenkmayerová, A.; Bučko, M.; Gemeiner, P.; Treľová, D.; Lacík, I.; Chorvát, D.; Ačai, P.; Polakovič, M.; Lipták, L.; Rebroš, M.; et al. Physical and Bioengineering Properties of Polyvinyl Alcohol Lens-Shaped Particles Versus Spherical Polyelectrolyte Complex Microcapsules as Immobilisation Matrices for a Whole-Cell Baeyer–Villiger Monooxygenase. Appl. Biochem. Biotechnol. 2014, 174, 1834–1849. [Google Scholar] [CrossRef]
- Rathakrishnan, E. Performance of double expansion ramp nozzle. Phys. Fluids 2023, 35, 150295. [Google Scholar] [CrossRef]
- Dutta, P.P.; Benken, A.C.; Li, T.; Ordonez-Varela, J.R.; Gianchandani, Y.B. Passive Wireless Pressure Gradient Measurement System for Fluid Flow Analysis. Sensors 2023, 23, 2525. [Google Scholar] [CrossRef]
- Maxa, J.; Hlavatá, P.; Vyroubal, P. Analysis of impact of conic aperture in differentially pumped chamber. Adv. Millitary Technol. 2019, 14, 151–161. [Google Scholar] [CrossRef]
- Maxa, J.; Neděla, V.; Šabacká, P.; Binar, T. Impact of Supersonic Flow in Scintillator Detector Apertures on the Resulting Pumping Effect of the Vacuum Chambers. Sensors 2023, 23, 4861. [Google Scholar] [CrossRef]
- Xue, Z.; Zhou, L.; Liu, D. Accurate Numerical Modeling for 1D Open-Channel Flow with Varying Topography. Water 2023, 15, 2893. [Google Scholar] [CrossRef]
- Liu, Q.; Feng, X.-B. Numerical Modelling of Microchannel Gas Flows in the Transition Flow Regime Using the Cascaded Lattice Boltzmann Method. Entropy 2020, 22, 41. [Google Scholar] [CrossRef] [PubMed]
- Salga, J.; Hoření, B. Tabulky Proudění Plynu; UNOB: Brno, Czech Republic, 1997. [Google Scholar]
- Thévenin, D.; Janiga, G. Optimization and Computational Fluid Dynamics, 1st ed.; Springer: Berlin/Heidelberg, Germany, 2008. [Google Scholar]
- Yadav, M.; Yadav, R.S.; Wang, C.-H. Lattice Boltzmann simulations of flow inside a converging and diverging nozzle with the insertion of single and multiple circular cylinders. Phys. Fluids 2023, 35, 84110. [Google Scholar] [CrossRef]
- Hassanzadeh, A.; Bakhsh, M.S.; Dadvand, A. Numerical Study of The Effect of Wall Injection on The Cavitation Phenomenon In Diesel Injector. Eng. Appl. Comput. Fluid Mech. 2014, 8, 562–573. [Google Scholar] [CrossRef]
- Liu, S.; Bahrami, D.; Kalbasi, R.; Jahangiri, M.; Lu, Y.; Yang, X.; Band, S.S.; Chau, K.-W.; Mosavi, A. Efficacy of applying discontinuous boundary condition on the heat transfer and entropy generation through a slip microchannel equipped with nanofluid. Eng. Appl. Comput. Fluid Mech. 2022, 16, 952–964. [Google Scholar] [CrossRef]
- Moran, M.J.; Shapiro, H.N. Fundamentals of Engineering Thermodynamics, 3rd ed.; Wiley: Hoboken, NJ, USA, 1998. [Google Scholar]
- Škorpík, J. Transformační Technologie: Proudění Plynů a Par Tryskami, 2nd ed.; Czech Republic, 2023. [Google Scholar]
- Uruba, V. Trbulence, 2nd ed.; ČVUT v Praze, Fakulta strojní: Praha, Czech Republic, 2014. [Google Scholar]
- Baehr, H.D.; Kabelac, S. Thermodynamik, 14th ed.; Springer: Berlin/Heidelberg, Germany, 2009. [Google Scholar]
- Ansys Fluent Theory Guide. Available online: www.ansys.com (accessed on 21 October 2022).
- Barth, T.; Jespersen, D. The design and application of upwind schemes on unstructured meshes. In Proceedings of the 27th Aerospace Sciences Meeting, Reno, NV, USA, 9–12 January 1989. [Google Scholar]
- Li, X.; Wu, Y.; Shan, X.; Zhang, H.; Chen, Y. Estimation of Airflow Parameters for Tail-Sitter UAV through a 5-Hole Probe Based on an ANN. Sensors 2023, 23, 417. [Google Scholar] [CrossRef]
- Bayer, R.; Maxa, J.; Šabacká, P. Energy Harvesting Using Thermocouple and Compressed Air. Sensors 2021, 21, 6031. [Google Scholar] [CrossRef] [PubMed]
- Xiao, L.; Hao, X.; Lei, D.; Tiezhi, S. Flow structure and parameter evaluation of conical convergent–divergent nozzle supersonic jet flows. Phys. Fluids 2023, 35, 151556. [Google Scholar]
- Šabacká, P.; Maxa, J.; Bayer, R.; Vyroubal, P.; Binar, T. Slip Flow Analysis in an Experimental Chamber Simulating Differential Pumping in an Environmental Scanning Electron Microscope. Sensors 2022, 22, 9033. [Google Scholar] [CrossRef]
- Dejč, M.J. Technická Dynamika Plynů; SNTL: Singapore, 1967. [Google Scholar]
- Uruba, V. Metody Analýzy Signálů Při Studio Nestacionárních Jevů v Proudících Tekutinách; Habilitační Práce: Praha, Czech Republic, 2006. [Google Scholar]
- Hlavatá, P.; Maxa, J.; Vyroubal, P. Analysis of Pitot Tube Static Probe Angle in the Experimental Chamber Conditions. ECS Trans. 2018, 87, 369–375. [Google Scholar] [CrossRef]
- Bryer, D.W.; Pankhurst, R.C. Pressure-Probe Methods for Determining Wind Speed and Flow Direction, 1st ed.; Her Majesty’s Stationery Office: London, UK, 1971. [Google Scholar]
- Chue, S.H. Pressure probes for fluid measurement. Prog. Aerosp. Sci. 1975, 16, 147–223. [Google Scholar] [CrossRef]
- Pieniążek, J.; Cieciński, P.; Ficek, D.; Szumski, M. Dynamic Response of the Pitot Tube with Pressure Sensor. Sensors 2023, 23, 2843. [Google Scholar] [CrossRef] [PubMed]
- Yu, Y.; Xu, J.; Mo, J.; Wang, M. Principal Parameters in Flow Separation Patterns of Over-Expanded Single Expansion RAMP Nozzle. Eng. Appl. Comput. Fluid Mech. 2014, 8, 274–288. [Google Scholar] [CrossRef]
- Chen, Y.-J.; Chen, Z.-S. A prediction model of wall shear stress for ultra-high-pressure water-jet nozzle based on hybrid BP neural network. Eng. Appl. Comput. Fluid Mech. 2022, 16, 1902–1920. [Google Scholar] [CrossRef]
- Reimer, L. Scanning Elektron Microscopy: Physics of Image Formation and Microanalysis; Springer: Berlin/Heidelberg, Germany, 1985; ISBN 3540135308. [Google Scholar]
- Frank, L.; Král, J. Metody Analýzy Povrchů: Iontové, Sondové a Speciální Metody; Academia: Praha, Czech Republic, 2002; 489p, ISBN 80-200-0594-3. [Google Scholar]
- Martínez-González, A.; Moreno-Hernández, D.; Guerrero-Viramontes, J.A.; León-Rodríguez, M.; Zamarripa-Ramírez, J.C.I.; Carrillo-Delgado, C. Temperature Measurement of Fluid Flows by Using a Focusing Schlieren Method. Sensors 2019, 19, 12. [Google Scholar] [CrossRef]
- Abbas, Q.; Nordström, J. Weak Versus Strong No-Slip Boundary Conditions for the Navier-Stokes Equations. Eng. Appl. Comput. Fluid Mech. 2010, 4, 29–38. [Google Scholar] [CrossRef]
- Mohan, B.; Yang, W.; Chou, S. Cavitation in Injector Nozzle Holes—A Parametric Study. Eng. Appl. Comput. Fluid Mech. 2014, 8, 70–81. [Google Scholar] [CrossRef][Green Version]
- Yu, Y.; Shademan, M.; Barron, R.M.; Balachandar, R. CFD Study of Effects of Geometry Variations on Flow in a Nozzle. Eng. Appl. Comput. Fluid Mech. 2012, 6, 412–425. [Google Scholar] [CrossRef]






















| Theory of One-Dimensional Isentropic Flow | ANSYS Fluent | |
|---|---|---|
| Pv/P0 [–] | 0.04 | 0.04 |
| Mv [–] | 2.75 | 2.74 |
| T0 [K] | 297.15 | 297.15 |
| Vv [m·s−1] | 600 | 608 |
| ρ [kg·m−3] | 0.00234 | 0.00227 |
| Tv [K] | 118.27 | 118 |
| Pv/P0 [–] | 0.04 | 0.04 |
| Angle X of Nozzle Opening from Axis [°] | Radius of Output Cross-Section [mm] | |
|---|---|---|
| 8 | 1.8 | Expected additional expansion |
| 10 | 2 | Expected additional expansion |
| 12 | 2.2 | Computational cross-section |
| 14 | 2.5 | Expected additional compression |
| 16 | 2.7 | Expected additional compression |
| 18 | 2.9 | Expected additional compression |
| Angle X of Nozzle Opening from Axis [°] | Mv [–] | Vv [m·s−1] | ϱv [°] | Tv [K] |
|---|---|---|---|---|
| 8 | 2.35 | 570 | 0.0035 | 141 |
| 10 | 2.56 | 592 | 0.0028 | 128 |
| 12 | 2.74 | 608 | 0.0023 | 118 |
| 14 | 2.87 | 620 | 0.0019 | 112 |
| 16 | 3 | 629 | 0.0017 | 106 |
| 18 | 3.13 | 639 | 0.0015 | 100 |
Disclaimer/Publisher’s Note: The statements, opinions and data contained in all publications are solely those of the individual author(s) and contributor(s) and not of MDPI and/or the editor(s). MDPI and/or the editor(s) disclaim responsibility for any injury to people or property resulting from any ideas, methods, instructions or products referred to in the content. |
© 2024 by the authors. Licensee MDPI, Basel, Switzerland. This article is an open access article distributed under the terms and conditions of the Creative Commons Attribution (CC BY) license (https://creativecommons.org/licenses/by/4.0/).
Share and Cite
Maxa, J.; Šabacká, P.; Mazal, J.; Neděla, V.; Binar, T.; Bača, P.; Talár, J.; Bayer, R.; Čudek, P. The Impact of Nozzle Opening Thickness on Flow Characteristics and Primary Electron Beam Scattering in an Environmental Scanning Electron Microscope. Sensors 2024, 24, 2166. https://doi.org/10.3390/s24072166
Maxa J, Šabacká P, Mazal J, Neděla V, Binar T, Bača P, Talár J, Bayer R, Čudek P. The Impact of Nozzle Opening Thickness on Flow Characteristics and Primary Electron Beam Scattering in an Environmental Scanning Electron Microscope. Sensors. 2024; 24(7):2166. https://doi.org/10.3390/s24072166
Chicago/Turabian StyleMaxa, Jiří, Pavla Šabacká, Jan Mazal, Vilém Neděla, Tomáš Binar, Petr Bača, Jaroslav Talár, Robert Bayer, and Pavel Čudek. 2024. "The Impact of Nozzle Opening Thickness on Flow Characteristics and Primary Electron Beam Scattering in an Environmental Scanning Electron Microscope" Sensors 24, no. 7: 2166. https://doi.org/10.3390/s24072166
APA StyleMaxa, J., Šabacká, P., Mazal, J., Neděla, V., Binar, T., Bača, P., Talár, J., Bayer, R., & Čudek, P. (2024). The Impact of Nozzle Opening Thickness on Flow Characteristics and Primary Electron Beam Scattering in an Environmental Scanning Electron Microscope. Sensors, 24(7), 2166. https://doi.org/10.3390/s24072166

