Exploiting Traffic Light Coordination and Auctions for Intersection and Emergency Vehicle Management in a Smart City Mixed Scenario
Abstract
1. Introduction
2. Related Work
2.1. Traffic Lights and Intersection Management
2.2. Emergency Vehicle Management
3. Proposed Traffic Light Coordination System
3.1. City Infrastructure
3.2. Traffic Light Auctions
- Connected vehicles approaching a traffic light send their bid to the traffic light controller along with the complete route to their destination. The controller collects the information and sends it to the central server.
- For each such vehicle, the server saves the following information: (i) the next (up to) p traffic lights on the vehicle’s route; (ii) the current link the vehicle is in; and (iii) the bid placed at the current traffic light (as in Algorithm 1).
- Non-connected vehicles are not able to communicate any of this information to the traffic light controller; therefore, the traffic light controller communicates to the server the number of non-connected vehicles approaching its intersection. For each one, the server makes a random guess about its next lane and next traffic light. This guess is limited to only the next traffic light, as guessing the successive steps can lead to completely wrong conclusions about the vehicles’ routes. The choice is made by selecting the next link that has been selected by the majority of past vehicles.
- When requested by a traffic light, the server then sends the (scaled) bids of the vehicles that are estimated to be at its intersection within a given time lap (as in Algorithm 2). This is estimated using the obtained information about the positions of the vehicles. The time lap is computed as the time needed to reach the traffic light from the vehicle’s current position traveling at the relevant speed limit. For non-connected vehicles, as the route is not known, the bid is propagated only to the next traffic light.
| Algorithm 1 Central server callback when bids are sent by traffic lights | ||
| Input | ||
| : Vehicles Bids (with the lane and route) | ||
| : number of non connected vehicles in the lanes | ||
| : time of the call | ||
| Variables | ||
| : mapping of traffic lights and bid to propagate | ||
| : statistics used to sample the next traffic lights for non connected vehicles | ||
| : max propagation | ||
| 1: | for each in do | ▹ bids of connected vehicles |
| 2: | ||
| 3: | for each in do | |
| 4: | if has no traffic lights then | |
| 5: | continue | |
| 6: | end if | |
| 7: | if p == then | |
| 8: | break | |
| 9: | end if | |
| 10: | ||
| 11: | ||
| 12: | ||
| 13: | ||
| 14: | ||
| 15: | if p == 1 then | |
| 16: | ||
| 17: | end if | |
| 18: | ||
| 19: | end for | |
| 20: | end for | |
| 21: | for each in do | |
| 22: | ||
| 23: | ||
| 24: | ||
| 25: | ||
| 26: | ||
| 27: | end for | |
- The bids coming from vehicles in the lanes (including non connected vehicles default bids) are summed lane-by-lane. The starvation bid is added to lanes that have not had a green light for a long period of time.
- The controller contacts the central server to retrieve the propagation of the bids placed at previous intersections (if any), then sums them lane-by-lane.
- The bids are computed lane-by-lane following steps (1) and (2).
- The green light is set to the lane with the highest total bid.
| Algorithm 2 Central server callback on propagation bid request by traffic lights | |
| Input | |
| : the lanes that the requesting traffic light manages | |
| : time of the call | |
| Variables | |
| : mapping of traffic lights and bid to propagate | |
| : time threshold to consider a vehicle incoming | |
| 1: | for each in do |
| 2: | for each in do |
| 3: | if then |
| 4: | |
| 5: | end if |
| 6: | end for |
| 7: | end for |
| 8: | return |
| Algorithm 3 Traffic light controller auction algorithm | ||
| Input | ||
| : Vehicles Bids (with the lane and route) | ||
| : Vehicles Propagated Bids (with the lane) | ||
| : number of non connected vehicles in the lanes | ||
| Variables | ||
| : mapping of lanes and cumulative bids | ||
| : mapping of lanes and connected vehicles in the lane | ||
| : the actual time | ||
| : mapping of lanes and the last time in which they had the green light | ||
| : time that must be elapsed to add the starvation bonus | ||
| : starvation bonus | ||
| Output | ||
| The winning lane | ||
| 1: | for each in do | ▹ bids of connected vehicles |
| 2: | ||
| 3: | ||
| 4: | end for | |
| 5: | for each in do | ▹ default bids of non connected vehicles |
| 6: | ||
| 7: | ||
| 8: | end for | |
| 9: | for each in do | ▹ starvation |
| 10: | if then | |
| 11: | ||
| 12: | end if | |
| 13: | end for | |
| 14: | for each in do | ▹ propagated bids |
| 15: | ||
| 16: | end for | |
| 17: | send and (with calculated default bid for each lane) to the central server for propagation | |
| 18: | ||
| 19: | ||
| 20: | return | |
4. Experiments and Results
4.1. Experimental Setup
4.2. Experiments
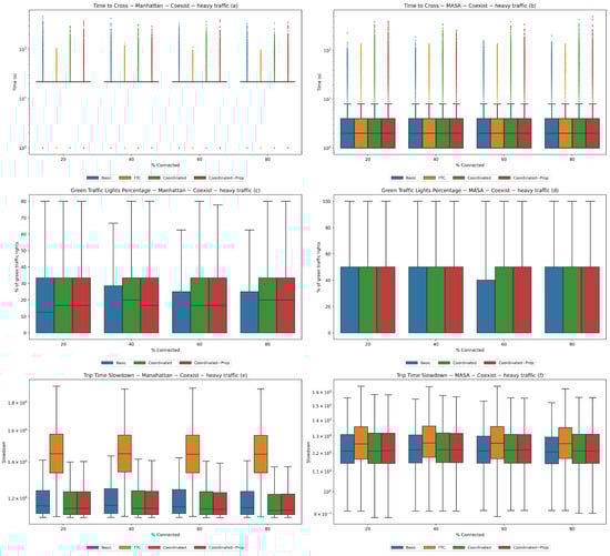
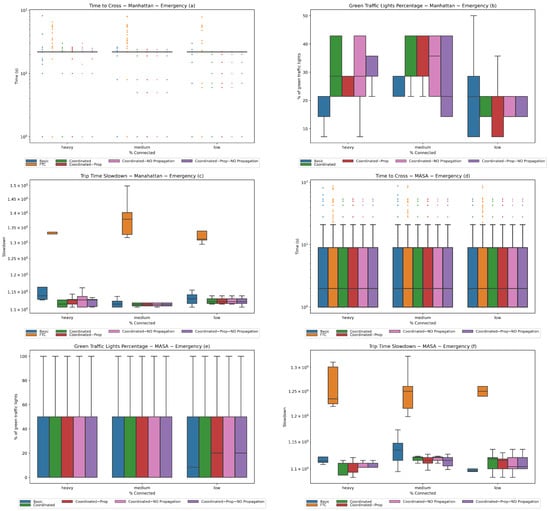
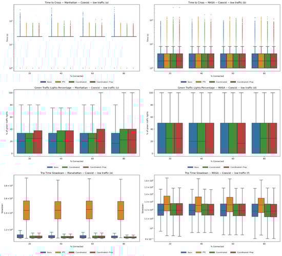
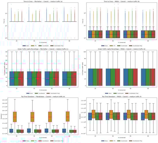
- The Fixed Time Controller (FTC) system simulates the classic round robin-like behavior of traffic light [18]).
- The Basic System is an auction-based system with no coordination among traffic lights. The traffic light controller determines the winning lane of the auction using only the bids of incoming vehicles (i.e., it performs only steps (1) and (4) of the coordinated system.)
- The Coordinated System—Prop is a nondeterministic version of the proposed coordinated system. Guessing as to the direction of non-connected vehicles is conducted by selecting each outgoing link of an intersection with a probability that is proportional to the number of vehicles that selected the link in the past. This means that the link with heavier traffic has a higher probability of being selected as the next one for non-connected vehicles.
- Time to Cross: The time a vehicle spends during its route waiting in line to move through an intersection regulated by a traffic light. This is influenced by traffic and by the number of red lights encountered during the route, with the smallest number being the best. We report this measure for both the Manhattan and MASA maps. We highlight the outliers in the reported plots, as they are the most interesting part.
- Green Traffic Lights Percentage: The percentage of green traffic lights (i.e., no waiting) with respect to the total number of traffic lights encountered along the route. In this case, the largest number is the best. We report this measure for both the Manhattan and MASA maps. For readability, our plots do not report results for the FTC system, as this percentage is always much smaller than the same value for the other systems and in a large majority of cases it is zero.
- Trip Time Slowdown: The total time traveled by a vehicle from departure to destination divided by the time needed to travel the same route without traffic and with all green lights. This is a measure of how much the introduction of traffic lights and the presence of traffic affects the time to destination. It is directly influenced by traffic and the number of encountered traffic lights, and indirectly by the length of the route (the longer the higher the route, the higher the probability of spending time in traffic). The value is always at least one, and the smallest number is the best. We report this measure for both the Manhattan and MASA maps.
4.3. Discussion
5. Conclusions and Future Work
Author Contributions
Funding
Institutional Review Board Statement
Informed Consent Statement
Data Availability Statement
Conflicts of Interest
References
- Bujari, A.; Furini, M.; Mandreoli, F.; Martoglia, R.; Montangero, M.; Ronzani, D. Standards, security and business models: Key challenges for the IoT scenario. Mob. Netw. Appl. 2018, 23, 147–154. [Google Scholar] [CrossRef]
- Cabri, G.; Montangero, M.; Muzzini, F.; Valente, P. Managing Human-driven and Autonomous Vehicles at Smart Intersections. In Proceedings of the 2020 IEEE International Conference on Human-Machine Systems (ICHMS), Rome, Italy, 7–9 September 2020; IEEE: Piscataway, NJ, USA, 2020; pp. 1–4. [Google Scholar]
- Melis, A.; Mirri, S.; Prandi, C.; Prandini, M.; Salomoni, P.; Callegati, F. Crowdsensing for smart mobility through a service-oriented architecture. In Proceedings of the 2016 IEEE International Smart Cities Conference (ISC2), Trento, Italy, 12–15 September 2016; IEEE: Piscataway, NJ, USA, 2016; pp. 1–2. [Google Scholar]
- Mariani, S.; Cabri, G.; Zambonelli, F. Coordination of autonomous vehicles: Taxonomy and survey. ACM Comput. Surv. (CSUR) 2021, 54, 1–33. [Google Scholar] [CrossRef]
- Bertogna, M.; Burgio, P.; Cabri, G.; Capodieci, N. Adaptive coordination in autonomous driving: Motivations and perspectives. In Proceedings of the 2017 IEEE 26th International Conference on Enabling Technologies: Infrastructure for Collaborative Enterprises (WETICE), Poznan, Poland, 21–23 June 2017; IEEE: Piscataway, NJ, USA, 2017; pp. 15–17. [Google Scholar]
- Dresner, K.; Stone, P. A multiagent approach to autonomous intersection management. J. Artif. Intell. Res. 2008, 31, 591–656. [Google Scholar] [CrossRef]
- Zhang, K.; Ni, J.; Yang, K.; Liang, X.; Ren, J.; Shen, X.S. Security and Privacy in Smart City Applications: Challenges and Solutions. IEEE Commun. Mag. 2017, 55, 122–129. [Google Scholar] [CrossRef]
- Muzzini, F.; Capodieci, N.; Montangero, M. Coordinated traffic lights and auction intersection management in a mixed scenario. In Proceedings of the 2023 ACM Conference on Information Technology for Social Good, GoodIT 2023, Lisbon, Portugal, 6–8 September 2023; ACM: New York, NY, USA, 2023; p. 1. [Google Scholar] [CrossRef]
- Muzzini, F.; Capodieci, N.; Montangero, M. Exploiting Traffic Lights to Manage Auction-Based Crossings. In Proceedings of the 6th EAI International Conference on Smart Objects and Technologies for Social Good, GoodTechs’20, New York, NY, USA, 14–16 September 2020; pp. 199–204. [Google Scholar] [CrossRef]
- Ferber, J.; Weiss, G. Multi-Agent Systems: An Introduction to Distributed Artificial Intelligence; Addison-Wesley Reading: Boston, MA, USA, 1999; Volume 1. [Google Scholar]
- Capodieci, N.; Cavicchioli, R.; Muzzini, F.; Montagna, L. Improving emergency response in the era of ADAS vehicles in the Smart City. ICT Express 2021, 7, 481–486. [Google Scholar] [CrossRef]
- Diaz Ogás, M.G.; Fabregat, R.; Aciar, S. Survey of smart parking systems. Appl. Sci. 2020, 10, 3872. [Google Scholar] [CrossRef]
- Muzzini, F.; Capodieci, N.; Montangero, M. Improving urban viability through smart parking. Int. J. Parallel Emergent Distrib. Syst. 2023, 38, 522–540. [Google Scholar] [CrossRef]
- Wu, W.; Zhang, J.; Luo, A.; Cao, J. Distributed mutual exclusion algorithms for intersection traffic control. IEEE Trans. Parallel Distrib. Syst. 2014, 26, 65–74. [Google Scholar] [CrossRef]
- Schepperle, H.; Böhm, K. Agent-based traffic control using auctions. In CIA 2007: Cooperative Information Agents XI, Proceedings of the International Workshop on Cooperative Information Agents, Delft, The Netherlands, 19–21 September 2007; Springer: Berlin/Heidelberg, Germany, 2007; pp. 119–133. [Google Scholar]
- Vasirani, M.; Ossowski, S. A market-inspired approach for intersection management in urban road traffic networks. J. Artif. Intell. Res. 2012, 43, 621–659. [Google Scholar] [CrossRef]
- Cabri, G.; Gherardini, L.; Montangero, M.; Muzzini, F. About auction strategies for intersection management when human-driven and autonomous vehicles coexist. Multimed. Tools Appl. 2021, 80, 15921–15936. [Google Scholar] [CrossRef]
- Prothmann, H.; Rochner, F.; Tomforde, S.; Branke, J.; Müller-Schloer, C.; Schmeck, H. Organic Control of Traffic Lights. In ATC 2008: Autonomic and Trusted Computing, Proceedings of the International Conference on Autonomic and Trusted Computing, Oslo, Norway, 23–25 June 2008; Rong, C., Jaatun, M.G., Sandnes, F.E., Yang, L.T., Ma, J., Eds.; Springer: Berlin/Heidelberg, Germany, 2008; pp. 219–233. [Google Scholar]
- Dresner, K.M.; Stone, P. Sharing the road: Autonomous vehicles meet human drivers. In Proceedings of the Twentieth International Joint Conference on Artificial Intelligence (IJCAI 07), Hyderabad, India, 6–12 January 2007; Volume 7, pp. 1263–1268. [Google Scholar]
- Raphael, J.; Maskell, S.; Sklar, E. From Goods to Traffic: First Steps Toward an Auction-Based Traffic Signal Controller. In Advances in Practical Applications of Agents, Multi-Agent Systems, and Sustainability: The PAAMS Collection, Proceedings of the International Conference on Practical Applications of Agents and Multi-Agent Systems, Salamanca, Spain, 3–5 June 2015; Springer International Publishing: Cham, Switzerland, 2015; pp. 187–198. [Google Scholar] [CrossRef]
- Raphael, J.; Sklar, E.I.; Maskell, S. An Intersection-Centric Auction-Based Traffic Signal Control Framework. In Understanding Complex Systems; Springer International Publishing: Cham, Switzerland, 2017; pp. 121–142. [Google Scholar] [CrossRef]
- Covell, M.; Baluja, S.; Sukthankar, R. Micro-Auction-Based Traffic-Light Control: Responsive, Local Decision Making. In Proceedings of the International Conference on Intelligent Transportation Systems, Gran Canaria, Spain, 15–18 September 2015. [Google Scholar]
- Mashayekhi, M.; List, G. A multiagent auction-based approach for modeling of signalized intersections. In Proceedings of the IJCAI Workshops on Synergies between Multiagent Systems, Machine Learning and Complex Systems, Buenos Aires, Argentina, 25–31 July 2015; pp. 13–24. [Google Scholar]
- Wei, H.; Zheng, G.; Gayah, V.; Li, Z. Recent advances in reinforcement learning for traffic signal control: A survey of models and evaluation. ACM SIGKDD Explor. Newsl. 2021, 22, 12–18. [Google Scholar] [CrossRef]
- Joo, H.; Ahmed, S.H.; Lim, Y. Traffic signal control for smart cities using reinforcement learning. Comput. Commun. 2020, 154, 324–330. [Google Scholar] [CrossRef]
- Mushtaq, A.; Haq, I.U.; Sarwar, M.A.; Khan, A.; Khalil, W.; Mughal, M.A. Multi-Agent Reinforcement Learning for Traffic Flow Management of Autonomous Vehicles. Sensors 2023, 23, 2373. [Google Scholar] [CrossRef] [PubMed]
- Vilarinho, C.; Tavares, J.P.; Rossetti, R.J. Intelligent traffic lights: Green time period negotiaton. Transp. Res. Procedia 2017, 22, 325–334. [Google Scholar] [CrossRef]
- Iliopoulou, C.; Kampitakis, E.; Kepaptsoglou, K.; Vlahogianni, E.I. Dynamic traffic-aware auction-based signal control under vehicle to infrastructure communication. Phys. A Stat. Mech. Appl. 2022, 608, 128258. [Google Scholar] [CrossRef]
- Isukapati, I.K.; List, G.F. Agent Based Framework for Modeling Operations at Isolated Signalized Intersections. In Proceedings of the 2015 IEEE 18th International Conference on Intelligent Transportation Systems, Gran Canaria, Spain, 15–18 September 2015; IEEE: Piscataway, NJ, USA, 2015. [Google Scholar] [CrossRef]
- Isukapati, I.K.; Smith, S.F. Accommodating high value-of-time drivers in market-driven traffic signal control. In Proceedings of the 2017 IEEE Intelligent Vehicles Symposium (IV), Los Angeles, CA, USA, 11–14 June 2017; IEEE: Piscataway, NJ, USA, 2017; pp. 1280–1286. [Google Scholar]
- Lin, D.; Jabari, S.E. Comparative analysis of economic instruments in intersection operation: A user-based perspective. In Proceedings of the 2020 IEEE 23rd International Conference on Intelligent Transportation Systems (ITSC), Rhodes, Greece, 20–23 September 2020; IEEE: Piscataway, NJ, USA, 2020; pp. 1–6. [Google Scholar]
- Sayin, M.O.; Lin, C.W.; Shiraishi, S.; Shen, J.; Basar, T. Information-Driven Autonomous Intersection Control via Incentive Compatible Mechanisms. IEEE Trans. Intell. Transp. Syst. 2019, 20, 912–924. [Google Scholar] [CrossRef]
- Rey, D.; Levin, M.W.; Dixit, V.V. Online incentive-compatible mechanisms for traffic intersection auctions. Eur. J. Oper. Res. 2021, 293, 229–247. [Google Scholar] [CrossRef]
- Santos, O.; Ribeiro, F.; Metrôlho, J.; Dionísio, R. Using Smart Traffic Lights to Reduce CO2 Emissions and Improve Traffic Flow at Intersections: Simulation of an Intersection in a Small Portuguese City. Appl. Syst. Innov. 2023, 7, 3. [Google Scholar] [CrossRef]
- Zhang, Y.; Zhao, J. A Novel Coordination Mechanism for Connected and Automated Vehicles in the Multi-Intersection Road Network. Energies 2022, 15, 5168. [Google Scholar] [CrossRef]
- Garau Guzman, J.; Baeza, V.M. Enhancing Urban Mobility through Traffic Management with UAVs and VLC Technologies. Drones 2023, 8, 7. [Google Scholar] [CrossRef]
- Naik, T.; Roopalakshmi, R.; Ravi, N.D.; Jain, P.; Sowmya, B.; Manichandra. RFID-based smart traffic control framework for emergency vehicles. In Proceedings of the 2018 Second International Conference on Inventive Communication and Computational Technologies (ICICCT), Coimbatore, India, 20–21 April 2018; IEEE: Piscataway, NJ, USA, 2018; pp. 398–401. [Google Scholar]
- Karmakar, G.; Chowdhury, A.; Kamruzzaman, J.; Gondal, I. A smart priority-based traffic control system for emergency vehicles. IEEE Sens. J. 2020, 21, 15849–15858. [Google Scholar] [CrossRef]
- Siddiqi, M.H.; Alruwaili, M.; Tarimer, İ.; Karadağ, B.C.; Alhwaiti, Y.; Khan, F. Development of a Smart Signalization for Emergency Vehicles. Sensors 2023, 23, 4703. [Google Scholar] [CrossRef] [PubMed]
- Djahel, S.; Smith, N.; Wang, S.; Murphy, J. Reducing emergency services response time in smart cities: An advanced adaptive and fuzzy approach. In Proceedings of the 2015 IEEE First International Smart Cities Conference (ISC2), Guadalajara, Mexico, 5–28 October 2015; IEEE: Piscataway, NJ, USA, 2015; pp. 1–8. [Google Scholar]
- Hajiebrahimi, S.; Iranmanesh, S. An adaptive control method of traffic signal-timing under emergency situations for smart cities. In Proceedings of the 2018 3rd IEEE International Conference on Intelligent Transportation Engineering (ICITE), Singapore, 3–5 September 2018; IEEE: Piscataway, NJ, USA, 2018; pp. 225–230. [Google Scholar]
- Gonzalez, C.L.; Zapotecatl, J.L.; Alberola, J.M.; Julian, V.; Gershenson, C. Distributed management of traffic intersections. In Ambient Intelligence–Software and Applications–, Proceedings of the 9th International Symposium on Ambient Intelligence, Toledo, Spain, 20–22 June 2018; Springer: Cham, Switzerland, 2019; pp. 56–64. [Google Scholar]
- González, C.L.; Delgado, S.L.; Alberola, J.M.; Niño, L.F.; Julián, V. Toward Autonomous and Distributed Intersection Management with Emergency Vehicles. Electronics 2022, 11, 1089. [Google Scholar] [CrossRef]
- Savithramma, R.; Sumathi, R.; Sudhira, H. SMART Emergency Vehicle Management at Signalized Intersection using Machine Learning. Indian J. Sci. Technol. 2022, 15, 1754–1763. [Google Scholar] [CrossRef]
- Carlino, D.; Boyles, S.D.; Stone, P. Auction-based autonomous intersection management. In Proceedings of the 16th International IEEE Conference on Intelligent Transportation Systems (ITSC 2013), The Hague, The Netherlands, 6–9 October 2013; IEEE: Piscataway, NJ, USA, 2013; pp. 529–534. [Google Scholar]
- Grether, D. Extension of a Multi-Agent Transport Simulation for Traffic Signal Control and Air Transport Systems. Ph.D. Thesis, Technischen Universität Berlin, Berlin, Germany, 2014. [Google Scholar]
- Maciejewski, M.; Nagel, K. Towards multi-agent simulation of the dynamic vehicle routing problem in matsim. In Proceedings of the International Conference on Parallel Processing and Applied Mathematics, Torun, Poland, 11–14 September 2011; pp. 551–560. [Google Scholar]







Disclaimer/Publisher’s Note: The statements, opinions and data contained in all publications are solely those of the individual author(s) and contributor(s) and not of MDPI and/or the editor(s). MDPI and/or the editor(s) disclaim responsibility for any injury to people or property resulting from any ideas, methods, instructions or products referred to in the content. |
© 2024 by the authors. Licensee MDPI, Basel, Switzerland. This article is an open access article distributed under the terms and conditions of the Creative Commons Attribution (CC BY) license (https://creativecommons.org/licenses/by/4.0/).
Share and Cite
Muzzini, F.; Montangero, M. Exploiting Traffic Light Coordination and Auctions for Intersection and Emergency Vehicle Management in a Smart City Mixed Scenario. Sensors 2024, 24, 2036. https://doi.org/10.3390/s24072036
Muzzini F, Montangero M. Exploiting Traffic Light Coordination and Auctions for Intersection and Emergency Vehicle Management in a Smart City Mixed Scenario. Sensors. 2024; 24(7):2036. https://doi.org/10.3390/s24072036
Chicago/Turabian StyleMuzzini, Filippo, and Manuela Montangero. 2024. "Exploiting Traffic Light Coordination and Auctions for Intersection and Emergency Vehicle Management in a Smart City Mixed Scenario" Sensors 24, no. 7: 2036. https://doi.org/10.3390/s24072036
APA StyleMuzzini, F., & Montangero, M. (2024). Exploiting Traffic Light Coordination and Auctions for Intersection and Emergency Vehicle Management in a Smart City Mixed Scenario. Sensors, 24(7), 2036. https://doi.org/10.3390/s24072036
