An Efficient Procedure to Compensate for the Errors Due to the Probe Mispositioning in a Cylindrical Near-Field Facility
Abstract
1. Introduction
2. OSI Representation over a Cylinder from a NR Number of NF Samples
3. Procedure to Correct 3-D Probe Mispositioning Errors
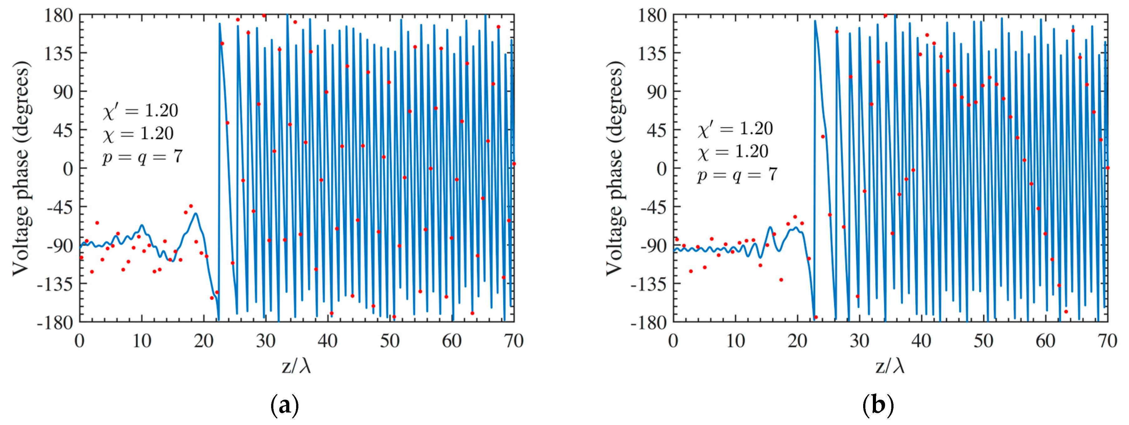
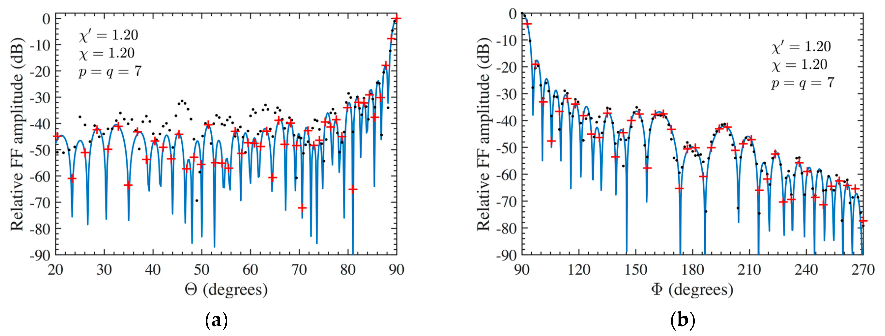
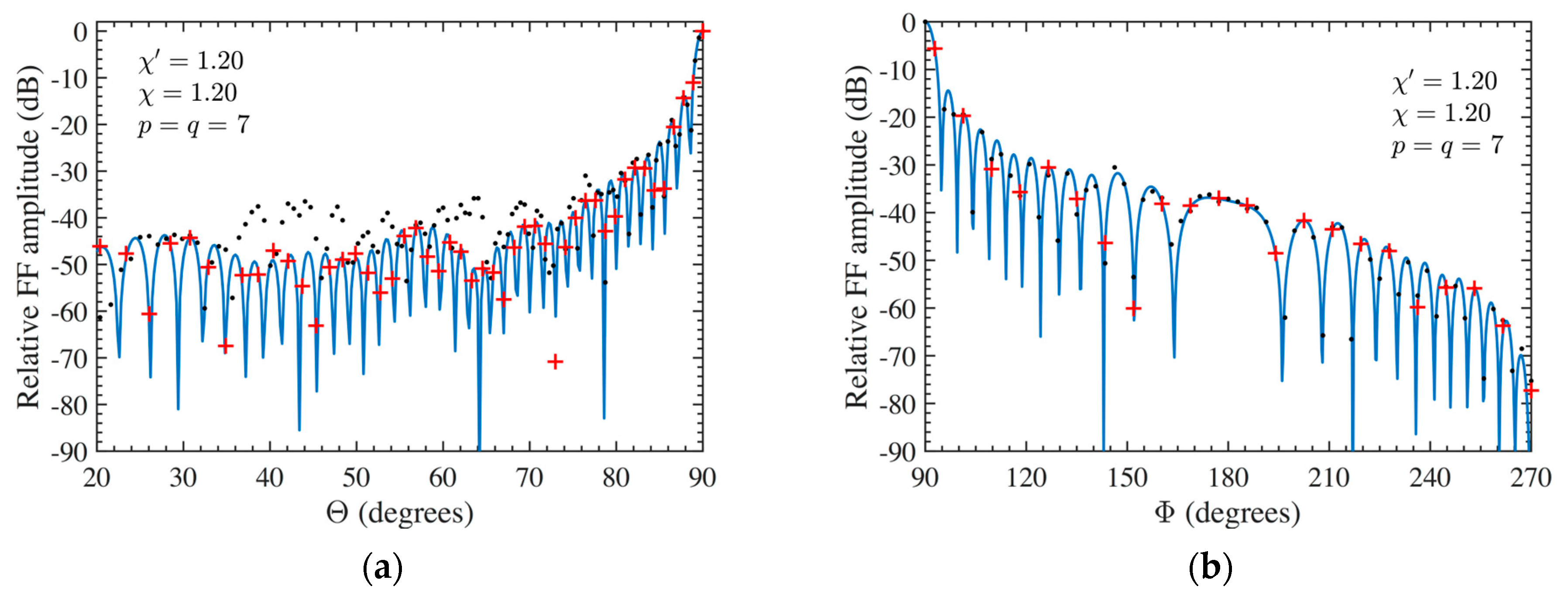
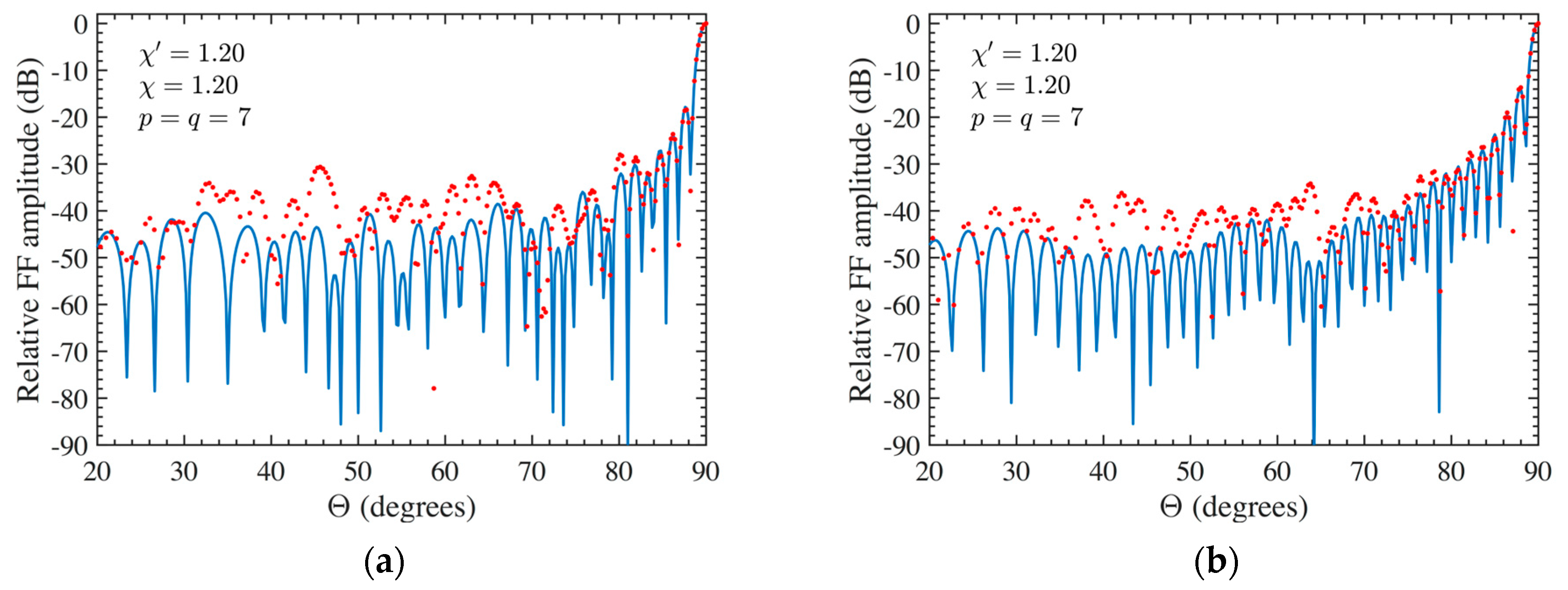
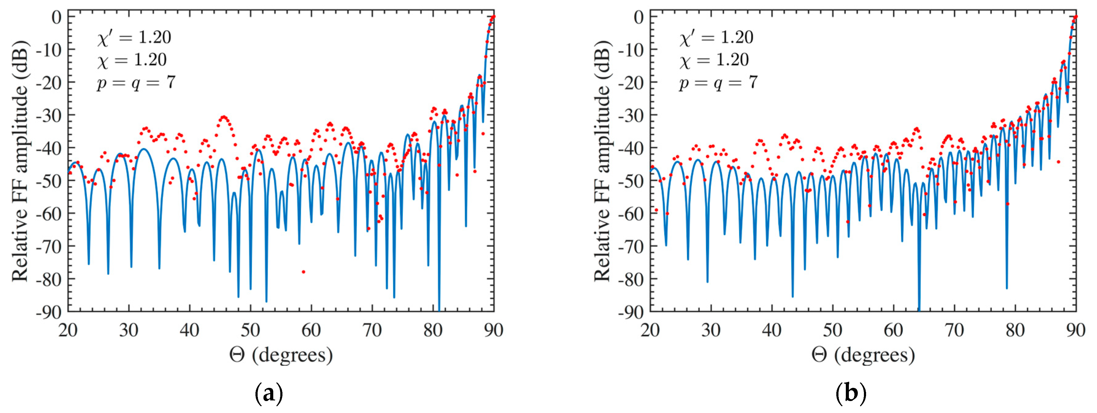
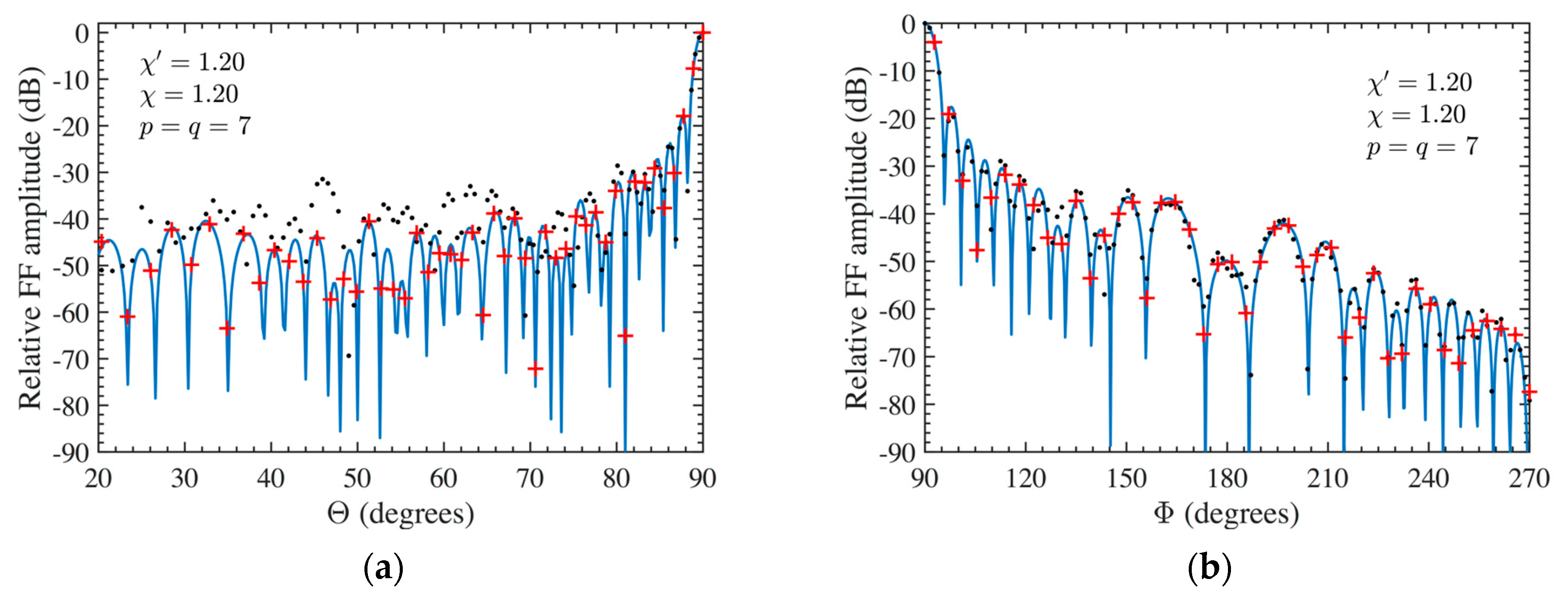
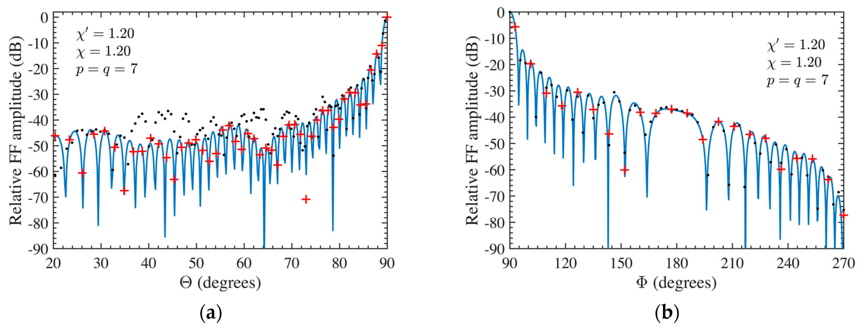
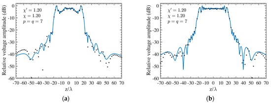
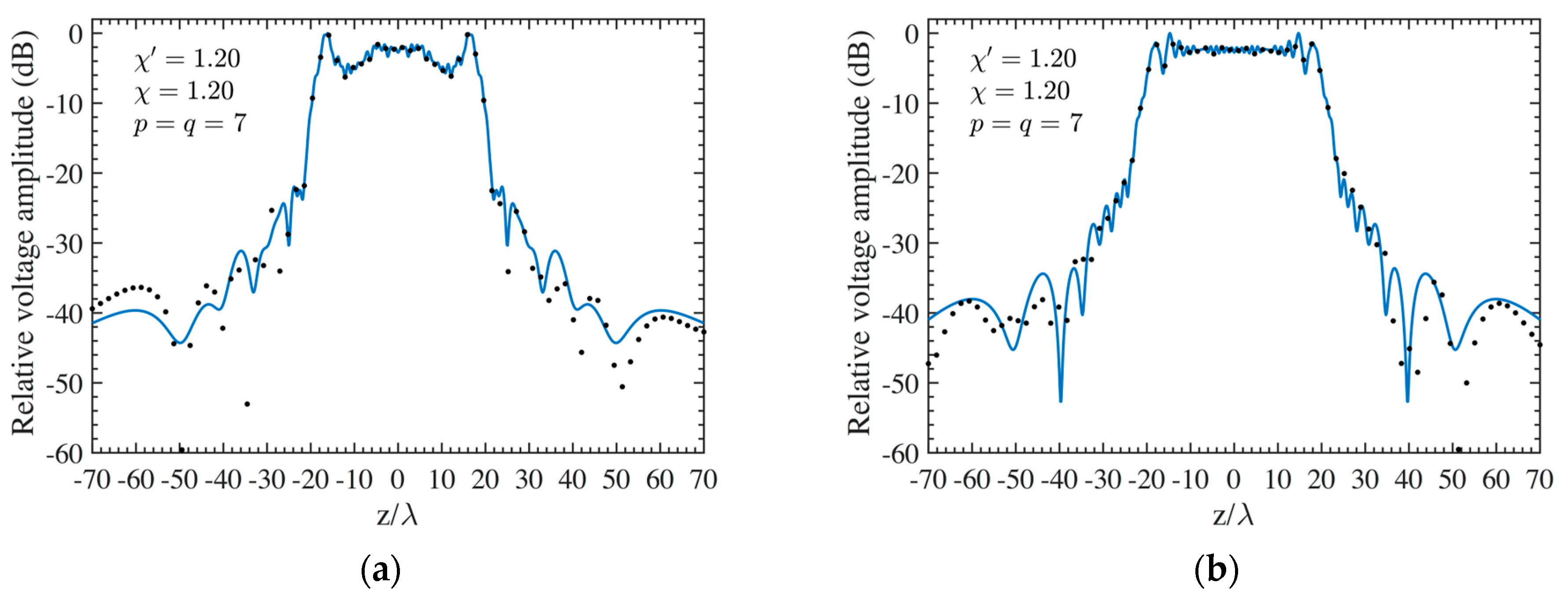
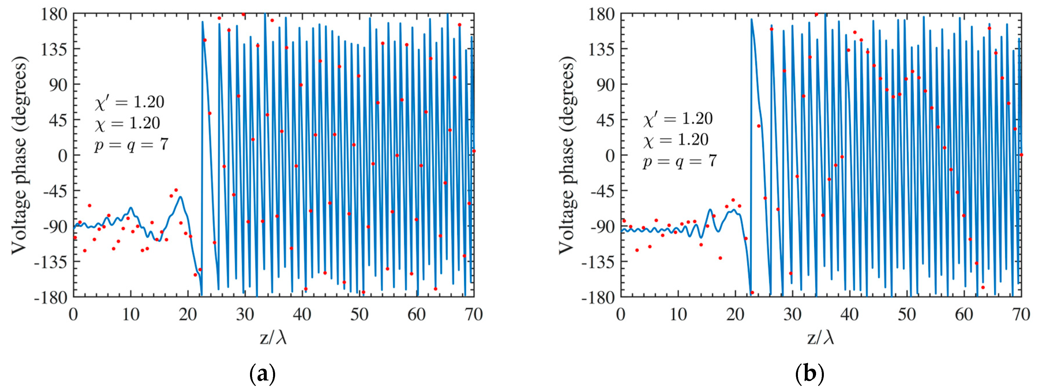
4. Numerical Tests Results
5. Conclusions and Future Developments
Author Contributions
Funding
Institutional Review Board Statement
Informed Consent Statement
Data Availability Statement
Conflicts of Interest
References
- Yaghjian, A.D. An overview of near-field antenna measurements. IEEE Trans. Antennas Propag. 1986, 34, 30–45. [Google Scholar] [CrossRef]
- Johnson, R.C.; Ecker, H.A.; Hollis, J.S. Determination of far-field antenna patterns from near-field measurements. Proc. IEEE 1973, 61, 1668–1694. [Google Scholar] [CrossRef]
- Appel-Hansen, J.; Dyson, J.D.; Gillespie, E.S.; Hickman, T.G. Antenna measurements. In The Handbook of Antenna Design; Rudge, A.W., Milne, K., Olver, A.D., Knight, P., Eds.; Peter Peregrinus: London, UK, 1986; pp. 584–694. [Google Scholar]
- Gillespie, E.S. Special Issue on near-field scanning techniques. IEEE Trans. Antennas Propag. 1988, 36, 727–901. [Google Scholar]
- Slater, D. Near-Field Antenna Measurements; Artech House: Boston, MA, USA, 1991. [Google Scholar]
- Gregson, S.F.; McCormick, J.; Parini, C.G. Principles of Planar Near-Field Antenna Measurements; IET: London, UK, 2007. [Google Scholar]
- Francis, M.H.; Wittmann, R.C. Near-field scanning measurements: Theory and practice. In Modern Antenna Handbook; Balanis, C.A., Ed.; John Wiley & Sons Inc.: Hoboken, NJ, USA, 2008; pp. 929–976. [Google Scholar]
- IEEE Standard 1720-2012; IEEE Recommended Practice for Near-Field Antenna Measurements. Francis, M.H., Ed.; IEEE: New York, NY, USA, 2012.
- Sierra Castañer, M.; Foged, L.J. Post-Processing Techniques in Antenna Measurement; SciTech Publishing IET: London, UK, 2019. [Google Scholar]
- Parini, C.; Gregson, S.; McCormick, J.; Van Resburg, D.J.; Eibert, T. Theory and Practice of Modern Antenna Range Measurements; SciTech Publishing IET: London, UK, 2020. [Google Scholar]
- Ferrara, F.; Gennarelli, C.; Guerriero, R.; D’Agostino, F. Non-Redundant Near-Field to Far-Field Transformation Techniques; SciTech Publishing IET: London, UK, 2022. [Google Scholar]
- Leach, W.M., Jr.; Paris, D.T. Probe compensated near-field on a cylinder. IEEE Trans. Antennas Propag. 1973, 21, 435–445. [Google Scholar] [CrossRef]
- Yaghjian, A.D. Near-Field Antenna Measurement on a Cylindrical Surface: A Source Scattering Matrix Formulation; NBS Tech. Note 696; U.S. Government Printing Office: Washington, DC, USA, 1977. [Google Scholar]
- Joy, E.B.; Leach, W.M., Jr.; Rodrigue, G.P.; Paris, D.T. Applications of probe-compensated near-field measurements. IEEE Trans. Antennas Propag. 1978, 26, 379–389. [Google Scholar] [CrossRef]
- Borgiotti, G.V. Integral equation formulation for probe corrected far-field reconstruction from measurements on a cylinder. IEEE Trans. Antennas Propag. 1978, 26, 572–578. [Google Scholar] [CrossRef]
- Appel-Hansen, J. On cylindrical near-field scanning techniques. IEEE Trans. Antennas Propag. 1980, 28, 231–234. [Google Scholar] [CrossRef]
- Bucci, O.M.; Gennarelli, C.; Riccio, G.; Savarese, C. NF–FF transformation with cylindrical scanning: An effective technique for elongated antennas. IEE Proc. Microw. Antennas Propag. 1998, 145, 369–374. [Google Scholar] [CrossRef]
- D’Agostino, F.; Ferrara, F.; Gennarelli, C.; Riccio, G.; Savarese, C. NF–FF transformation with cylindrical scanning from a minimum number of data. Microw. Opt. Tech. Lett. 2002, 35, 264–270. [Google Scholar] [CrossRef]
- Hansen, T.B. Complex point sources in probe-corrected cylindrical near-field scanning. Wave Motion. 2006, 43, 700–712. [Google Scholar] [CrossRef]
- Hansen, T.B. Probe-corrected near-field measurements on a truncated cylinder. J. Acoust. Soc. Am. 2006, 119, 792–807. [Google Scholar] [CrossRef]
- Hansen, T.B. Complex-point dipole formulation of probe-corrected cylindrical and spherical near-field scanning of electromagnetic fields. IEEE Trans. Antennas Propag. 2009, 57, 728–741. [Google Scholar] [CrossRef]
- Qureshi, M.A.; Schmidt, C.H.; Eibert, T.F. Adaptive sampling in spherical and cylindrical near-field antenna measurements. IEEE Antennas Propag. Magaz. 2013, 55, 243–249. [Google Scholar] [CrossRef]
- Sallucci, M.; Migliore, M.D.; Rocca, P.; Polo, A.; Massa, A. Reliable antenna measurements in a near-field cylindrical setup with a sparsity promoting approach. IEEE Trans. Antennas Propag. 2020, 68, 4143–4148. [Google Scholar] [CrossRef]
- Kang, N.-W.; Lee, D.-J.; Kang, J.-S.; Kim, J.-H. Base-station antenna characterization by using cylindrical near-field scanning. In Proceedings of the 2012 Conference on Precision Electromagnetic Measurements, Washington, DC, USA, 1–6 July 2012; pp. 636–637. [Google Scholar]
- Phaebua, K.; Lertwiriyaprapa, T.; Torrungrueng, D. Cylindrical near-field to far-field radiation pattern measurement system for a large mobile phone base station antenna. In Proceedings of the 2021 International Electrical Engineering Congress (IEECON2021), Pattaya, Thailand, 10–12 March 2021; pp. 535–538. [Google Scholar]
- Paraskevopoulos, A.; Tsolis, A.; Vardaxoglou, J.C.; Alexandridis, A.A. Cylindrical near-field assessment of wearable antennas for body-centric communications. IET Microw. Antennas Propag. 2017, 11, 761–769. [Google Scholar] [CrossRef]
- Bucci, O.M.; Gennarelli, C.; Savarese, C. Representation of electromagnetic fields over arbitrary surfaces by a finite and nonredundant number of samples. IEEE Trans. Antennas Propag. 1998, 46, 351–359. [Google Scholar] [CrossRef]
- Garcia-Fernandez, M.; Alvarez-Lopez, Y.; Heras, F.L. Unmanned aerial system for antenna measurement and diagnosis: Evaluation and testing. IET Microw. Antennas Propag. 2019, 13, 2224–2231. [Google Scholar] [CrossRef]
- Mauermayer, R.A.M.; Kornprobst, J. A cost-effective tethered-UAV-based coherent near-field antenna measurement system. IEEE Open J. Antennas Propag. 2022, 3, 984–1002. [Google Scholar] [CrossRef]
- Fernández, M.G.; Álvarez López, Y.; Andrés, F.L. Advances in antenna measurement and characterization using unmanned aerial vehicles. In Proceedings of the 2019 European Conference on Antennas and Propagation (EUCAP), Krakow, Poland, 31 March–5 April 2019; pp. 1–5. [Google Scholar]
- Wittmann, R.C.; Alpert, B.K.; Francis, M.H. Near-field antenna measurements using nonideal measurement locations. IEEE Trans. Antennas Propag. 1998, 46, 716–722. [Google Scholar] [CrossRef]
- Wittmann, R.C.; Alpert, B.K.; Francis, M.H. Near-field, spherical scanning antenna measurements with nonideal probe locations. IEEE Trans. Antennas Propag. 2004, 52, 2184–2186. [Google Scholar] [CrossRef]
- Farouq, M.; Serhir, M.; Picard, D. Matrix method for far-field calculation using irregular near-field samples for cylindrical and spherical scanning surfaces. Prog. Electromagn. Res. 2015, 63, 35–48. [Google Scholar] [CrossRef][Green Version]
- Bevilacqua, F.; D’Agostino, F.; Ferrara, F.; Gennarelli, C.; Guerriero, R.; Migliozzi, M.; Riccio, G. Pattern reconstruction from near-field data affected by 3D probe positioning errors collected via planar-wide mesh scanning. Electronics 2023, 12, 542. [Google Scholar] [CrossRef]
- Bevilacqua, F.; D’Agostino, F.; Ferrara, F.; Gennarelli, C.; Guerriero, R.; Migliozzi, M. A Near to far-field transformation from plane-polar near-field measurements affected by 3-D probe positioning errors. In Proceedings of the 2023 European Conference on Antennas and Propagation (EUCAP), Florence, Italy, 26–31 March 2023; pp. 1–5. [Google Scholar]
- Joy, E.B.; Wilson, R.E. A simplified technique for probe position error compensation in planar surface near-field measurements. In Proceedings of the 1982 Antenna Measurement Techniques Association (AMTA), Las Cruces, NM, USA, 5–7 October. 1982; pp. 14.1–14.10. [Google Scholar]
- D’Agostino, F.; Ferrara, F.; Gennarelli, C.; Guerriero, R.; Migliozzi, M. On the compensation of probe positioning errors when using a nonredundant cylindrical NF–FF transformation. Prog. Electromagn. Res. B 2010, 20, 321–335. [Google Scholar] [CrossRef]
- D’Agostino, F.; Ferrara, F.; Gennarelli, C.; Guerriero, R.; Migliozzi, M. Two effective approaches to correct the positioning errors in a spherical near-field-far-field transformation. Electromagnetics 2016, 36, 78–93. [Google Scholar] [CrossRef]
- D’Agostino, F.; Ferrara, F.; Gennarelli, C.; Guerriero, R.; Migliozzi, M. Two approaches to get efficient NF/FF transformations from inaccurately positioned planar wide-mesh scanning samples. AEU-Int. Jour. Electr. Comm. 2020, 119, 153169. [Google Scholar] [CrossRef]
- Bucci, O.M.; D’Elia, G.; Migliore, M.D. Advanced field interpolation from plane-polar samples: Experimental verification. IEEE Trans. Antennas Propag. 1998, 46, 204–210. [Google Scholar] [CrossRef]












Disclaimer/Publisher’s Note: The statements, opinions and data contained in all publications are solely those of the individual author(s) and contributor(s) and not of MDPI and/or the editor(s). MDPI and/or the editor(s) disclaim responsibility for any injury to people or property resulting from any ideas, methods, instructions or products referred to in the content. |
© 2024 by the authors. Licensee MDPI, Basel, Switzerland. This article is an open access article distributed under the terms and conditions of the Creative Commons Attribution (CC BY) license (https://creativecommons.org/licenses/by/4.0/).
Share and Cite
Bevilacqua, F.; D’Agostino, F.; Ferrara, F.; Gennarelli, C.; Guerriero, R.; Migliozzi, M.; Riccio, G. An Efficient Procedure to Compensate for the Errors Due to the Probe Mispositioning in a Cylindrical Near-Field Facility. Sensors 2024, 24, 1787. https://doi.org/10.3390/s24061787
Bevilacqua F, D’Agostino F, Ferrara F, Gennarelli C, Guerriero R, Migliozzi M, Riccio G. An Efficient Procedure to Compensate for the Errors Due to the Probe Mispositioning in a Cylindrical Near-Field Facility. Sensors. 2024; 24(6):1787. https://doi.org/10.3390/s24061787
Chicago/Turabian StyleBevilacqua, Florindo, Francesco D’Agostino, Flaminio Ferrara, Claudio Gennarelli, Rocco Guerriero, Massimo Migliozzi, and Giovanni Riccio. 2024. "An Efficient Procedure to Compensate for the Errors Due to the Probe Mispositioning in a Cylindrical Near-Field Facility" Sensors 24, no. 6: 1787. https://doi.org/10.3390/s24061787
APA StyleBevilacqua, F., D’Agostino, F., Ferrara, F., Gennarelli, C., Guerriero, R., Migliozzi, M., & Riccio, G. (2024). An Efficient Procedure to Compensate for the Errors Due to the Probe Mispositioning in a Cylindrical Near-Field Facility. Sensors, 24(6), 1787. https://doi.org/10.3390/s24061787

