Intelligent Path Planning with an Improved Sparrow Search Algorithm for Workshop UAV Inspection
Abstract
1. Introduction
1.1. UAV in Intelligent Manufacturing
1.2. UAV’s Path Planning
2. Actual Path Planning Problem and Model Building
2.1. Problem Description
- There was only one take-off/land location for UAV inspection in the aircraft manufacturing workshop. The UAV takes off and lands at the same location;
- There were five inspection areas in the aircraft manufacturing workshop: the parts area, laser area, assembly area, integration area and finished product area. Each inspection area had six inspection locations in sequence for a total of 30 inspection locations;
- One UAV was dispatched to carry out cyclic inspections of each inspection location; and the UAV only passed each inspection location once per inspection cycle.
- tm is the time spent on each inspection location;
- tmax and tmin are the longest and shortest time spent on one inspection cycle, respectively;
- dmn is the distance from location m to n;
- Lmax is the maximum distance allowed for UAV inspection;
- Hmax is the maximum flight height of the UAV in the aircraft manufacturing workshop;
- Vmax is the maximum speed of the UAV during inspection; because the UAV needs to hover during inspection, there is no need to set a minimum speed;
- V1 is the flight speed of the UAV between inspection locations, which is assumed to be a constant;
- V2 is the flight speed of the UAV when at the inspection location;
- h is the flight height of the UAV during inspection;
- D is the entire distance covered by UAV during inspection.
2.2. Mathematical Models
2.3. Map Modelling
3. Principle of Standard SSA
3.1. Algorithm Introduction
3.2. Algorithm Flow
4. Optimization Design of the CFSSA
4.1. Improvement of Population Initialisation Stage Based on Chaotic Cube Mapping
4.2. Improvement of Location Update Based on Firefly Algorithm Disturbance
4.3. Improvement of Location Update Based on Tent Chaos Mapping Perturbation
4.4. Algorithm Flow of the CFSSA
5. Reference Function Test of the CFSSA
6. Application of the CFSSA to Actual Path Planning Problem
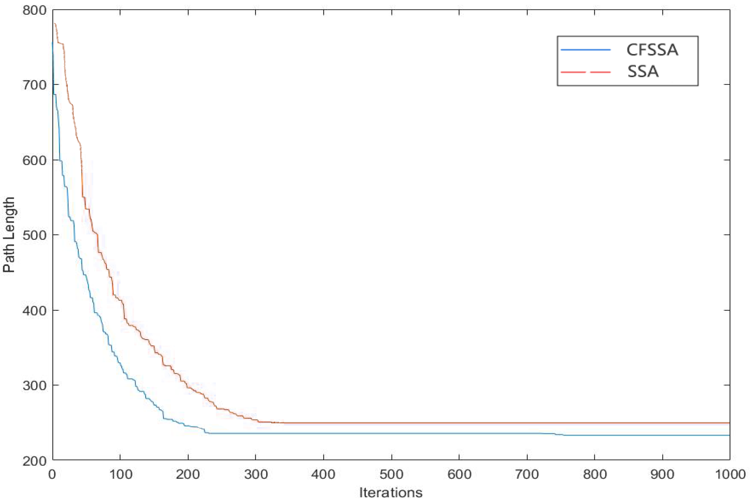
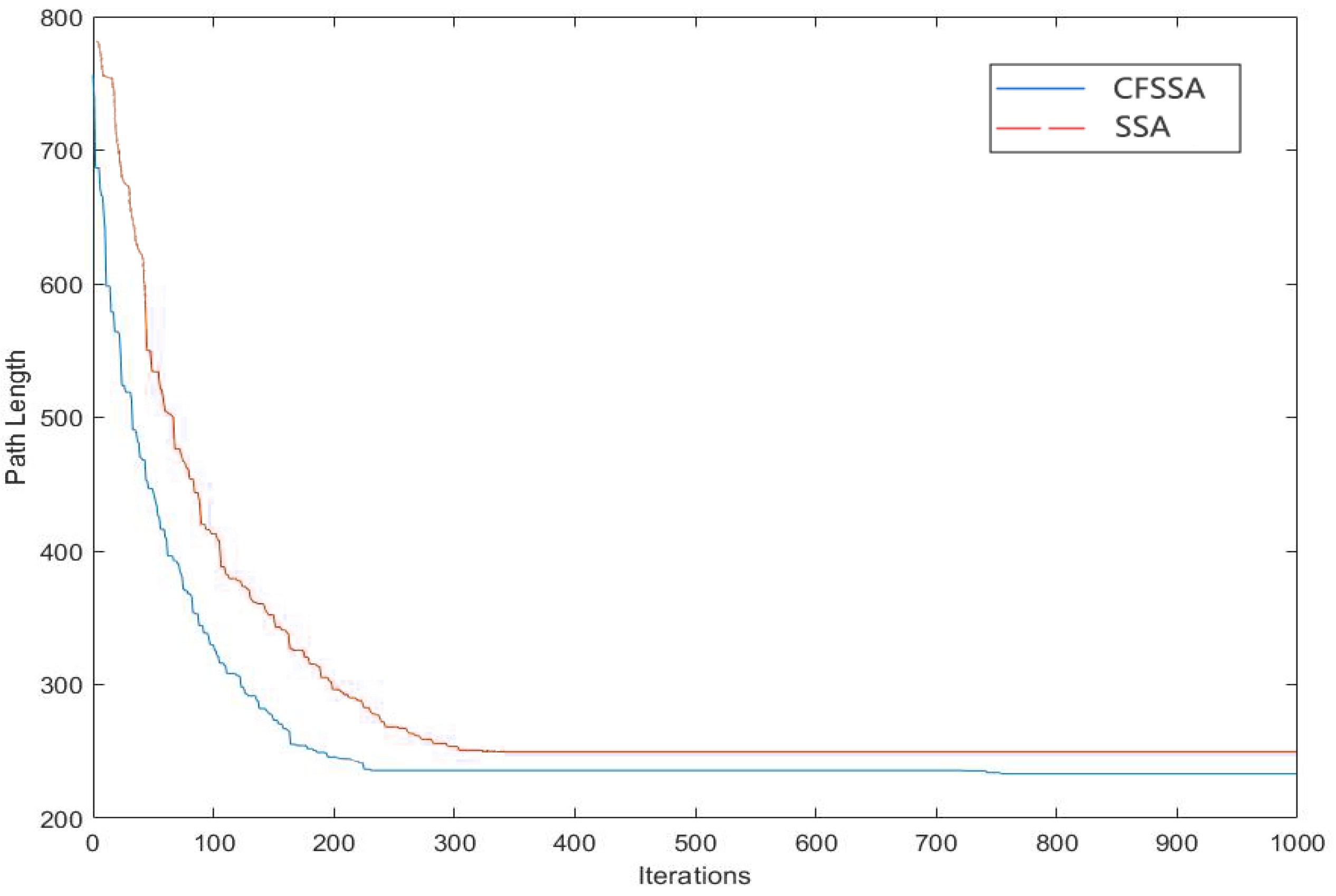
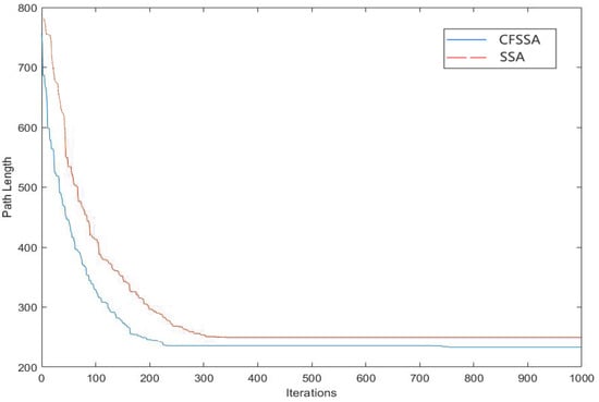
6.1. Performance Comparison with Traditional Algorithms
6.2. Performance Comparison with Other SSA Optimization Algorithms
7. Conclusions
Author Contributions
Funding
Institutional Review Board Statement
Informed Consent Statement
Data Availability Statement
Conflicts of Interest
References
- Weight, P.K.; Bourne, D.A. Manufacturing Intelligence; Addison-Wesley Publishing Company: Glenview, IL, USA, 1998. [Google Scholar]
- Research Group on Manufacturers Strategic. Study of Manufacturers Strategic: Special Topics on Intelligent Manufacturing, 5th ed.; Publishing House of Electronics Industry: Beijing, China, 2015. [Google Scholar]
- Perz, R.; Wronowski, K. UAV application for precision agriculture. Aircr. Eng. Aerosp. Technol. 2019, 91, 257–263. [Google Scholar] [CrossRef]
- Muid, A.; Kane, H.; Sarasawita, I.K.; Evita, M.; Aminah, N.S.; Budiman, M.; Djamal, M. Potential of UAV Application for Forest Fire Detection. J. Phys. Conf. Ser. 2022, 2243, 012041. [Google Scholar] [CrossRef]
- Addabbo, P.; Angrisano, A.; Bernardi, M.L.; Gagliarde, G.; Mennella, A.; Nisi, M.; Ullo, S.L. UAV system for photovoltaic plant inspection. IEEE Aerosp. Electron. Syst. Mag. 2018, 33, 58–67. [Google Scholar] [CrossRef]
- Shugo, K.; Joaquim, R.R.A.M. Fleet Design Optimization of Package Delivery Unmanned Aerial Vehicles Considering Operations. J. Aircr. 2023, 60, 1061–1077. [Google Scholar]
- Peter, E.H.; Nils, J.N.; Bertram, R. A Formal Basis for the Heuristic Determination of Minimum Cost Paths. IEEE Trans. Syst. Sci. Cybern. 1968, 4, 100–107. [Google Scholar]
- Fred, G. Future Paths for Integer Programming and Links to Artificial Intelligence. Comput. Oper. Res. 1986, 13, 533–549. [Google Scholar]
- Khatib, O. Real-time Obstacle Avoidance System for Manipulators and Mobile Robots. Int. J. Robot. Res. 1986, 5, 90–98. [Google Scholar] [CrossRef]
- Ferguson, D.; Stentz, A. Field D*: An Interpolation-based Path Planner and Replanner. Robot. Res. 2007, 28, 239–253. [Google Scholar]
- Dorigo, M.; Gambardella, L.M. Ant Colony System: A Cooperative Learning Approach to the Traveling Salesman Problem. IEEE Trans Evol. Comput. 1997, 1, 53–66. [Google Scholar] [CrossRef]
- Narvydas, G.; Simutis, R.; Raudonis, V. Autonomous mobile robot control using IF-THEN rules and genetic algorithm. Inf. Technol. Control 2008, 37, 193–197. [Google Scholar]
- Kennedy, J.; Eberhart, R. Particle Swarm Optimization. In Proceedings of the IEEE Annual International Conference on Neural Networks, San Diego, CA, USA, 24–27 July 1988. [Google Scholar]
- Xue, J.K.; Shen, B. A novel swarm intelligence optimization approach: Sparrow search algorithm. Syst. Sci. Control Eng. 2020, 8, 22–34. [Google Scholar] [CrossRef]
- Gen, L.; Hang, L.; Shuaiyang, Z.H.; Qiuhui, L.; Hongfan, Y.A. Optimal path planning and parameter analysis based on ant colony algorithm. China Sci. Pap. 2018, 13, 1909–1914. [Google Scholar]
- Greco, A.; Pluchino, A.; Cannizzaro, F. An improved ant colony optimization algorithm and its applications to limit analysis of frame structures. Eng. Optmization 2019, 51, 1867–1883. [Google Scholar] [CrossRef]
- Wang, L.; Xia, X.H.; Cao, J.H.; Liu, X.; Liu, J.W. Improved Ant Colony-Genetic Algorithm for Information Transmission Path Optimization in Remanufacturing Service System. Chin. J. Mech. Eng. 2018, 31, 1–12. [Google Scholar] [CrossRef]
- Liu, J.H.; Wang, Z.H. A hybrid sparrow search algorithm based on constructing similarity. IEEE Access 2021, 9, 117581–117595. [Google Scholar]
- Liu, Z.C.; Bai, Y.S.; Jia, X.S. Multi-strategy Improved Sparrow Search Algorithm. J. Phys. Conf. Ser. 2023, 2549, 012030. [Google Scholar] [CrossRef]
- Wu, R.; Huang, H.; Wei, J.; Ma, C.; Zhu, Y.; Chen, Y.; Fan, Q. An improved sparrow search algorithm based on quantum computations and multi-strategy enhancement. Expert Syst. Appl. 2023, 215, 119421. [Google Scholar] [CrossRef]
- Saroya, M.; Best, G.; Hollinger, G.A. Roadmap Learning for Probabilistic Occupancy Maps with Topology-Informed Growing Neural Gas. IEEE Robot. Autom. Lett. 2021, 6, 4805–4812. [Google Scholar] [CrossRef]
- Fister, I., Jr.; Fister, I.; Yang, X.S.; Brest, J. A comprehensive review of firefly algorithms. Swarm Evol. Comput. 2013, 13, 34–46. [Google Scholar] [CrossRef]
- Shan, L.; Qiang, H.; Li, J.; Wang, Z. Chaotic optimization algorithm based on Tent map. Control Decis. 2005, 20, 179–182. [Google Scholar]
- Yao, X.; Liu, Y. Evolutionary programming made faster. IEEE Trans. Evol. Comput. 1999, 3, 82–102. [Google Scholar]
- Digalakis, J.G.; Margaritis, K.G. On benchmarking functions for genetic algorithms. Int. J. Comput. Math. 2001, 77, 481–506. [Google Scholar] [CrossRef]
- Yang, X.S. Firefly algorithm, stochastic test functions and design optimization. Int. J. Bio-Inspired Comput. 2010, 2, 78–84. [Google Scholar] [CrossRef]
- Mirjalili, S.; Lewis, A. The whale optimization algorithm. Adv. Eng. Softw. 2016, 95, 51–67. [Google Scholar] [CrossRef]
- He, Y.; Wang, M.R. An improved chaos sparrow search algorithm for UAV path planning. Sci. Rep. 2024, 14, 366. [Google Scholar] [CrossRef]









| Reference Function | Range | Dimension | Minimum |
|---|---|---|---|
| [−100, 100] | 30 | 0 | |
| [−10, 10] | 30 | 0 | |
| [−100, 100] | 30 | 0 | |
| [−500, 500] | 30 | 418.982n | |
| [−50, 50] | 30 | 0 | |
| [−65, 65] | 2 | 1 |
| Reference Function | Algorithm | Best | Worst | Average | Standard Deviation |
|---|---|---|---|---|---|
| PSO | 0.493 | 3.887 | 2.021 | 0.779 | |
| WOA | 3.986 × 10−206 | 3.658 × 10−189 | 1.231 × 10−190 | 0 | |
| SSA | 0 | 0 | 0 | 0 | |
| CFSSA | 0 | 0 | 0 | 0 | |
| PSO | 4.636 × 10−2 | 30.279 | 6.624 | 8.386 | |
| WOA | 1.074 × 10−121 | 1.155 × 10−112 | 6.398 × 10−114 | 2.272 × 10−113 | |
| SSA | 0 | 2.075 × 10−274 | 7.410 × 10−276 | 0 | |
| CFSSA | 0 | 1.032 × 10−265 | 3.691 × 10−267 | 0 | |
| PSO | 2.047 | 7.668 | 3.459 | 1.248 | |
| WOA | 6.110 × 10−11 | 71.588 | 16.367 | 20.591 | |
| SSA | 0 | 7.305 × 10−217 | 2.519 × 10−218 | 0 | |
| CFSSA | 0 | 4.290 × 10−200 | 1.483 × 10−201 | 0 | |
| PSO | −8067.380 | −5422.630 | −6604.396 | 595.849 | |
| WOA | −12,569.465 | −8256.652 | −12,030.776 | 928.457 | |
| SSA | −12,213.757 | −6152.891 | −8920.496 | 2322.395 | |
| CFSSA | −12,571.034 | −11,402.927 | −11,981.637 | 501.026 | |
| PSO | 0.982 | 8.266 | 3.186 | 1.527 | |
| WOA | 1.127 × 10−5 | 1.020 × 10−4 | 4.701 × 10−5 | 2.159 × 10−5 | |
| SSA | 1.432 × 10−8 | 6.362 × 10−7 | 1.836 × 10−7 | 1.398 × 10−7 | |
| CFSSA | 9.415 × 10−9 | 5.787 × 10−7 | 1.603 × 10−7 | 1.291 × 10−7 | |
| PSO | 0.998 | 0.998 | 0.998 | 0 | |
| WOA | 0.998 | 2.982 | 1.064 | 0.356 | |
| SSA | 0.998 | 12.670 | 6.953 | 4.841 | |
| CFSSA | 0.998 | 0.998 | 0.998 | 0 |
| Test | ACO Path (m) | GA Path (m) | PSO Path (m) | SSA Path (m) | CFSSA Path (m) |
|---|---|---|---|---|---|
| 1 | 268.367 | 255.708 | 253.176 | 253.176 | 245.577 |
| 2 | 270.510 | 265.546 | 253.137 | 248.174 | 242.989 |
| 3 | 253.145 | 243.409 | 243.409 | 243.409 | 243.501 |
| 4 | 256.099 | 261.024 | 246.249 | 246.249 | 237.854 |
| 5 | 268.435 | 245.644 | 248.176 | 253.241 | 233.196 |
| 6 | 258.645 | 253.719 | 248.792 | 246.329 | 241.926 |
| 7 | 257.755 | 277.582 | 247.841 | 247.841 | 241.011 |
| 8 | 260.239 | 243.214 | 248.078 | 243.214 | 235.561 |
| 9 | 265.013 | 235.567 | 242.928 | 245.382 | 238.080 |
| 10 | 256.872 | 256.872 | 235.208 | 237.844 | 233.196 |
| 11 | 271.006 | 286.492 | 255.520 | 258.101 | 233.196 |
| 12 | 258.774 | 266.238 | 246.333 | 248.821 | 238.189 |
| 13 | 270.813 | 273.275 | 246.194 | 246.194 | 238.123 |
| 14 | 264.964 | 282.629 | 254.870 | 252.347 | 241.357 |
| 15 | 271.396 | 258.946 | 244.007 | 248.987 | 241.581 |
| 16 | 254.429 | 247.159 | 239.890 | 242.313 | 247.556 |
| 17 | 263.022 | 250.845 | 248.410 | 243.539 | 243.487 |
| 18 | 262.847 | 253.021 | 245.651 | 245.651 | 233.196 |
| 19 | 256.624 | 233.196 | 244.519 | 242.098 | 233.196 |
| 20 | 266.101 | 268.520 | 244.329 | 241.910 | 237.611 |
| 21 | 260.450 | 240.794 | 245.708 | 245.708 | 242.298 |
| 22 | 254.012 | 249.264 | 239.768 | 237.394 | 233.196 |
| 23 | 258.212 | 260.626 | 246.146 | 241.320 | 244.086 |
| 24 | 268.271 | 255.735 | 253.228 | 250.721 | 238.503 |
| 25 | 267.142 | 272.043 | 242.633 | 245.084 | 244.621 |
| 26 | 265.271 | 270.276 | 247.753 | 250.256 | 233.196 |
| 27 | 272.043 | 272.043 | 252.077 | 249.581 | 240.433 |
| 28 | 255.531 | 233.196 | 240.929 | 243.363 | 233.196 |
| 29 | 268.906 | 273.886 | 253.967 | 248.987 | 241.130 |
| 30 | 278.617 | 255.821 | 248.222 | 253.288 | 233.196 |
| Algorithm | Best | Worst | Average | Standard Deviation |
|---|---|---|---|---|
| ACO | 253.145 | 278.617 | 263.450 | 6.498 |
| GA | 233.196 | 286.492 | 258.076 | 14.146 |
| PSO | 235.208 | 255.520 | 246.905 | 4.793 |
| SSA | 237.394 | 258.101 | 246.684 | 4.669 |
| CFSSA | 233.196 | 247.556 | 238.808 | 4.443 |
| Algorithm | Shortest Time Cost(s) | Longest Time Cost(s) | Average Time Cost(s) |
|---|---|---|---|
| ACO | 21.037 | 24.890 | 22.986 |
| GA | 38.927 | 52.106 | 46.200 |
| PSO | 18.035 | 21.208 | 19.633 |
| SSA | 15.022 | 15.834 | 15.410 |
| CFSSA | 15.019 | 15.773 | 15.362 |
| Algorithm | Best | Worst | Average | Standard Deviation |
|---|---|---|---|---|
| CFSSA | 233.196 | 247.556 | 238.808 | 4.443 |
| CSSA | 233.196 | 241.683 | 237.736 | 4.105 |
| MSISSA | 233.196 | 249.094 | 240.134 | 6.580 |
| QMESSA | 233.196 | 243.170 | 238.285 | 3.928 |
| ICSSA | 233.196 | 244.329 | 237.358 | 4.256 |
| Algorithm | Shortest Time Cost(s) | Longest Time Cost(s) | Average Time Cost(s) |
|---|---|---|---|
| CFSSA | 15.019 | 15.773 | 15.362 |
| CSSA | 36.247 | 39.504 | 37.885 |
| MSISSA | 18.657 | 19.493 | 19.015 |
| QMESSA | 22.381 | 25.548 | 23.914 |
| ICSSA | 17.200 | 19.034 | 18.146 |
Disclaimer/Publisher’s Note: The statements, opinions and data contained in all publications are solely those of the individual author(s) and contributor(s) and not of MDPI and/or the editor(s). MDPI and/or the editor(s) disclaim responsibility for any injury to people or property resulting from any ideas, methods, instructions or products referred to in the content. |
© 2024 by the authors. Licensee MDPI, Basel, Switzerland. This article is an open access article distributed under the terms and conditions of the Creative Commons Attribution (CC BY) license (https://creativecommons.org/licenses/by/4.0/).
Share and Cite
Zhang, J.; Zhu, X.; Li, J. Intelligent Path Planning with an Improved Sparrow Search Algorithm for Workshop UAV Inspection. Sensors 2024, 24, 1104. https://doi.org/10.3390/s24041104
Zhang J, Zhu X, Li J. Intelligent Path Planning with an Improved Sparrow Search Algorithm for Workshop UAV Inspection. Sensors. 2024; 24(4):1104. https://doi.org/10.3390/s24041104
Chicago/Turabian StyleZhang, Jinwei, Xijing Zhu, and Jing Li. 2024. "Intelligent Path Planning with an Improved Sparrow Search Algorithm for Workshop UAV Inspection" Sensors 24, no. 4: 1104. https://doi.org/10.3390/s24041104
APA StyleZhang, J., Zhu, X., & Li, J. (2024). Intelligent Path Planning with an Improved Sparrow Search Algorithm for Workshop UAV Inspection. Sensors, 24(4), 1104. https://doi.org/10.3390/s24041104
