Calibration of a Low-Cost Methane Sensor Using Machine Learning
Abstract
1. Introduction
2. Materials and Methods
2.1. Methodology Overview
2.2. Methane Sensor Characteristics
2.3. Model Form
2.4. Initial Model Testing and Shortlisting
2.5. Collection of Calibration Data
2.6. Model Testing on New Calibration Data
2.7. Methane Decay Experiments
- A steady initial methane concentration below 50 ppm before the calibration gas was injected.
- A peak concentration of around 200 ppm methane.
- A steady decline in methane concentration following the peak.
3. Results
3.1. Initial Model Testing and Shortlisting
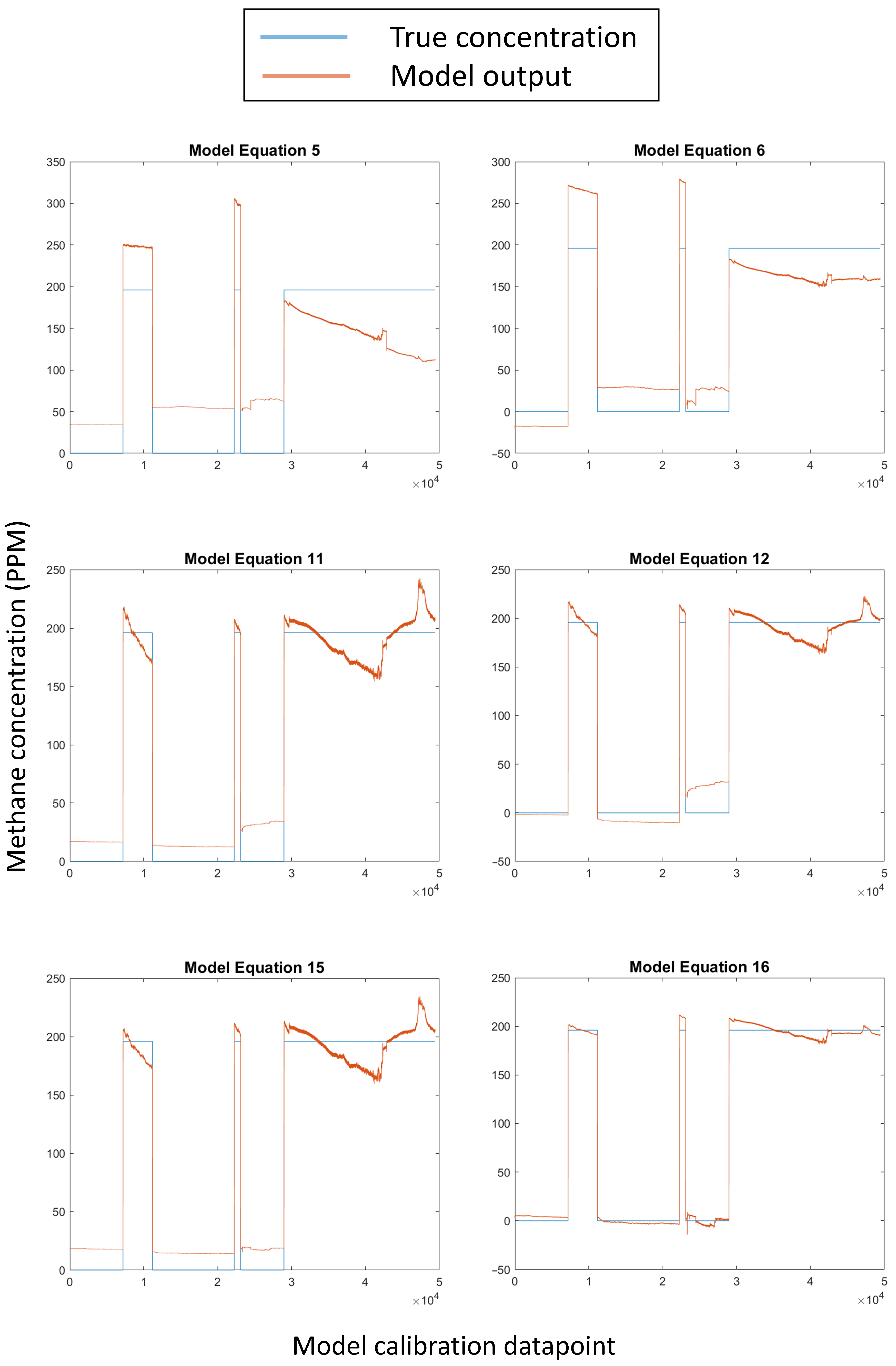
3.2. Methane Sensor Calibration
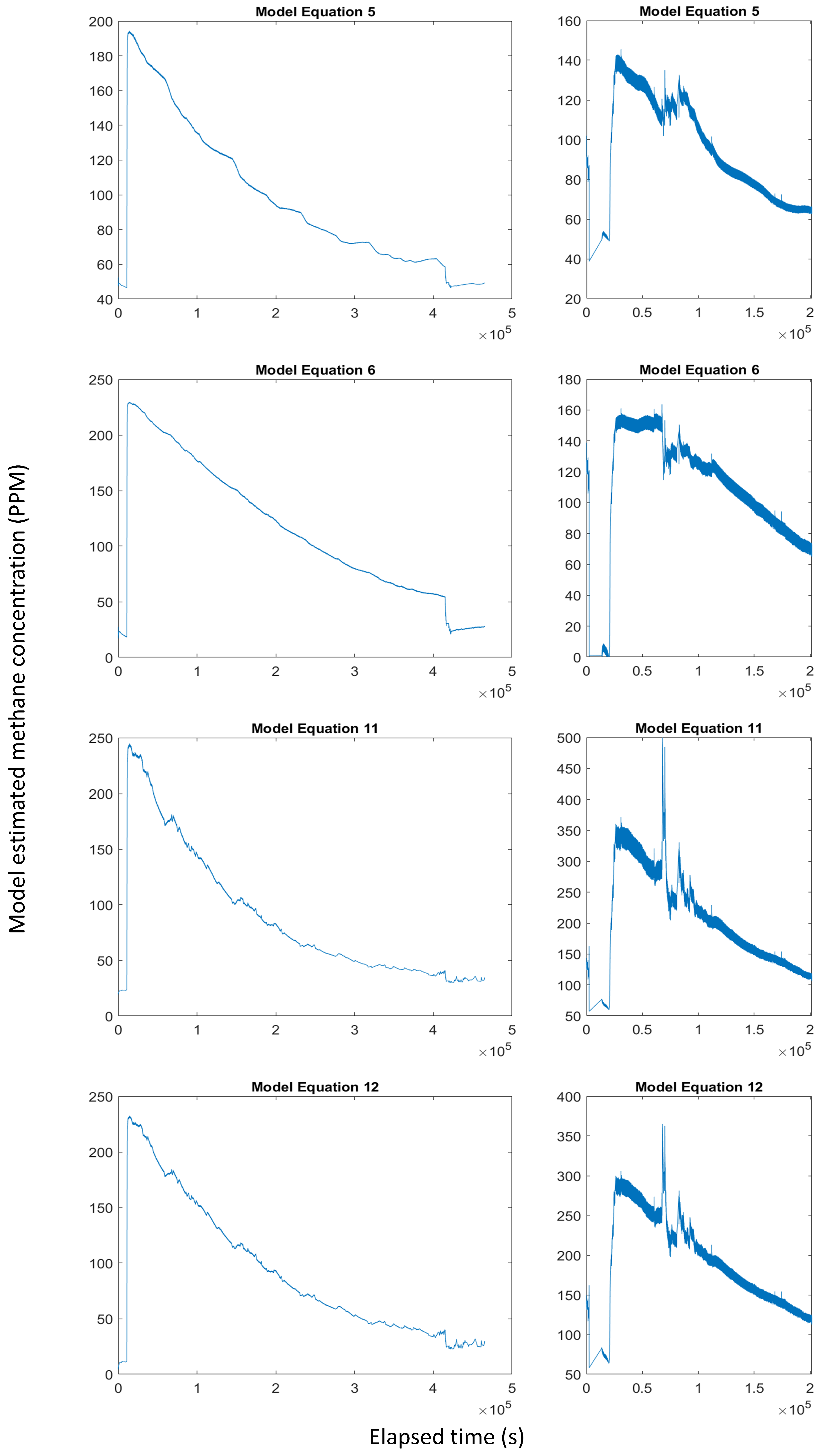
3.3. Methane Decay Experiments
4. Discussion
4.1. Comparison to Related Studies
4.2. Limitations and Future Work
5. Conclusions
Author Contributions
Funding
Institutional Review Board Statement
Informed Consent Statement
Data Availability Statement
Acknowledgments
Conflicts of Interest
Abbreviations
| CH4 | Methane |
| PPM | Parts Per Million |
| RH | Relative Humidity |
| RMSE | Root Mean Squared Error |
| SD | Secure Digital |
Appendix A


Appendix B



References
- Aldhafeeri, T.; Tran, M.-K.; Vrolyk, R.; Pope, M.; Fowler, M. A Review of Methane Gas Detection Sensors: Recent Developments and Future Perspectives. Inventions 2020, 5, 28. [Google Scholar] [CrossRef]
- European Space Agency. Copernicus Sentinel-5P (Processed by ESA), 2021, TROPOMI Level 2 Methane Total Column Products; Version 02; European Space Agency: Paris, France, 2010. [Google Scholar] [CrossRef]
- Aberer, K.; Sathe, S.; Chakraborty, D.; Martinoli, A.; Barrenetxea, G.; Faltings, B.; Thiele, L. Opensense: Open community driven sensing of environment. In Proceedings of the ACM SIGSPATIAL International Workshop on GeoStreaming, San Jose, CA, USA, 2 November 2010; Volume 9, pp. 39–42. [Google Scholar]
- Mead, M.; Popoola, O.; Stewart, G.; Landshoff, P.; Calleja, M.; Hayes, M.; Baldovi, J.; McLeod, M.; Hodgson, T.; Dicks, J.; et al. The use of electrochemical sensors for monitoring urban air quality in low-cost, high-density networks. Atmos. Environ. 2013, 70, 186–203. [Google Scholar] [CrossRef]
- Sun, C.-Y.; Kato, S.; Gou, Z. Application of Low-Cost Sensors for Urban Heat Island Assessment: A Case Study in Taiwan. Sustainability 2019, 11, 2759. [Google Scholar] [CrossRef]
- Castell, N.; Dauge, F.R.; Schneider, P.; Vogt, M.; Lerner, U.; Fishbain, B.; Broday, D.; Bartonova, A. Can commercial low-cost sensor platforms contribute to air quality monitoring and exposure estimates? Environ. Int. 2017, 99, 293–302. [Google Scholar] [CrossRef]
- Shindler, L. Development of a low-cost sensing platform for air quality monitoring: Application in the city of Rome. Environ. Technol. 2019, 42, 618–631. [Google Scholar] [CrossRef]
- Bulot, F.M.; Johnston, S.J.; Basford, P.J.; Easton, N.H.; Foster, G.L.; Morris, A.K.; Cox, S.J.; Loxham, M. Long-term field comparison of multiple low-cost particulate matter sensors in an outdoor urban environment. Sci. Rep. 2019, 9, 7497. [Google Scholar] [CrossRef]
- Baranov, A.; Spirjakin, D.; Akbari, S.; Somov, A. Optimization of power consumption for gas sensor nodes: A survey. Sensors Actuators A Phys. 2015, 233, 27–289. [Google Scholar] [CrossRef]
- Dey, A. Semiconductor metal oxide gas sensors: A review. Mater. Sci. Eng. B Adv. 2018, 229, 206–217. [Google Scholar] [CrossRef]
- Yaqoob, U.; Younis, M.I. Chemical Gas Sensors: Recent Developments, Challenges, and the Potential of Machine Learning—A Review. Sensors 2021, 21, 2877. [Google Scholar] [CrossRef] [PubMed]
- Ji, H.C.; Zeng, W.; Li, Y.Q. Gas sensing mechanisms of metal oxide semiconductors: A focus review. Nanoscale 2019, 11, 22664–22684. [Google Scholar] [CrossRef]
- Fu, L.; You, S.; Li, G.; Li, X.; Fan, Z. Application of Semiconductor Metal Oxide in Chemiresistive Methane Gas Sensor: Recent Developments and Future Perspectives. Molecules 2023, 28, 6710. [Google Scholar] [CrossRef]
- van den Bossche, M.; Rose, N.T.; De Wekker, S.F.J. Potential of a low-cost gas sensor for atmospheric methane monitoring. Sensors Actuators B Chem. 2017, 238, 501–509. [Google Scholar] [CrossRef]
- Collier-Oxandale, A.; Casey, J.G.; Piedrahita, R.; Ortega, J.; Halliday, H.; Johnston, J.; Hannigan, M.P. Assessing a low-cost methane sensor quantification system for use in complex rural and urban environments. Atmos. Meas. Tech. 2018, 11, 3569–3594. [Google Scholar] [CrossRef] [PubMed]
- Bastviken, D.; Nygren, J.; Schenk, J.; Parellada Massana, R.; Nguyen, T.D. Facilitating the use of low-cost methane (CH4) sensors in flux chambers: Calibration, data processing, and describing an open source make-it-yourself logger. Biogeosciences 2019, 17, 3659–3667. [Google Scholar] [CrossRef]
- Yang, S.; Lei, G.; Xu, H.; Lan, Z.; Wang, Z.; Gu, H. A Review of the High-Performance Gas Sensors Using Machine Learning. In Machine Learning for Advanced Functional Materials; Joshi, N., Kushvaha, V., Madhushri, P., Eds.; Springer: Singapore, 2023; pp. 163–198. [Google Scholar] [CrossRef]
- Tonezzer, M.; Kim, J.H.; Lee, J.H.; Iannotta, S.; Kim, S.S. Predictive gas sensor based on thermal fingerprints from Pt-SnO2 nanowires. Sens. Actuators B Chem. 2019, 281, 670–678. [Google Scholar] [CrossRef]
- Schroeder, V.; Evans, E.D.; Wu, Y.-C.M.; Voll, C.-C.A.; McDonald, B.R.; Savagatrup, S.; Swager, T.M. Chemiresistive Sensor Array and Machine Learning Classification of Food. ACS Sens. 2019, 4, 2101–2108. [Google Scholar] [CrossRef] [PubMed]
- Wang, B.; Cancilla, J.C.; Torrecilla, J.S.; Haick, H. Artificial Sensing Intelligence with Silicon Nanowires for Ultraselective Detection in the Gas Phase. Nano Lett. 2014, 14, 933–938. [Google Scholar] [CrossRef] [PubMed]
- Hayasaka, T.; Lin, A.; Copa, V.C.; Lopez, L.P.; Loberternos, R.A.; Ballesteros, L.I.M.; Kubota, Y.; Liu, Y.; Salvador, A.A.; Lin, L. An electronic nose using a single graphene FET and machine learning for water, methanol, and ethanol. Microsyst. Nanoeng. 2020, 6, 50. [Google Scholar] [CrossRef]
- Shehada, N.; Bronstrup, G.; Funka, K.; Christiansen, S.; Leja, M.; Haick, H. Ultrasensitive Silicon Nanowire for Real-World Gas Sensing: Noninvasive Diagnosis of Cancer from Breath Volatolome. Nano Lett. 2015, 15, 1288–1295. [Google Scholar] [CrossRef]
- Acharyya, S.; Jana, B.; Nag, S.; Saha, G.; Guha, P.K. Single resistive sensor for selective detection of multiple VOCs employing SnO2 hollowspheres and machine learning algorithm: A proof of concept. Sens. Actuators B Chem. 2020, 321, 128484. [Google Scholar] [CrossRef]
- Gryech, I.; Ben-Aboud, Y.; Guermah, B.; Sbihi, N.; Ghogho, M.; Kobbane, A. MoreAir: A Low-Cost Urban Air Pollution Monitoring System. Sensors 2020, 20, 998. [Google Scholar] [CrossRef] [PubMed]
- Product Information NGM2611-E13—Pre-Calibrated Module for Methane. Available online: https://www.figarosensor.com/product/docs/ngm2611-e13_product%20information%28fusa%29_rev03.pdf (accessed on 21 September 2023).
- Technical Information for TGS2611. Available online: https://www.figarosensor.com/product/docs/Long2611CE%20Layout%20(1117).pdf (accessed on 21 September 2023).
- MATLAB Version: 9.13.0 (R2022b). Available online: https://www.mathworks.com (accessed on 21 September 2023).
- Velleman ADS1115 16-Bit 4-Channel AD Converter with I²C Module Datasheet. Available online: https://cdn.velleman.eu/downloads/25/vma453a4v01.pdf (accessed on 21 September 2023).
- ICP-10125 Datasheet. Available online: https://cdn.shopify.com/s/files/1/0174/1800/files/DS-000329-ICP-10125-v1.1.pdf?v=1634655171 (accessed on 21 September 2023).
- 200 ppm Methane Balanced in Air Product Page. Available online: https://products.shawcity.co.uk/products/methane-in-air?variant=41103143534745 (accessed on 21 September 2023).












| No. | Predicted CH4 Equation |
|---|---|
| 1 | |
| 2 | |
| 3 | |
| 4 | |
| 5 | |
| 6 | |
| 7 | |
| 8 | |
| 9 | |
| 10 | |
| 11 | |
| 12 | |
| 13 | |
| 14 | |
| 15 | |
| 16 | |
| 17 | |
| 18 | |
| 19 | |
| 20 |
| No. | Predicted CH4 Equation |
|---|---|
| 21 | |
| 22 |
| Model No. | RMSE (PPM) | R2 | Complexity |
|---|---|---|---|
| 1 | 1.35 × 103 | 0.724 | 3 |
| 2 | 1.27 × 103 | 0.758 | 4 |
| 3 | 1.08 × 103 | 0.823 | 6 |
| 4 | 912 | 0.876 | 7 |
| 5 | 735 | 0.918 | 6 |
| 6 | 725 | 0.922 | 7 |
| 7 | 1.21 × 103 | 0.783 | 5 |
| 8 | 1.16 × 103 | 0.801 | 6 |
| 9 | 935 | 0.870 | 8 |
| 10 | 849 | 0.894 | 9 |
| 11 | 238 | 0.992 | 8 |
| 12 | 231 | 0.992 | 9 |
| 13 | 238 | 0.992 | 12 |
| 14 | 263 | 0.990 | 13 |
| 15 | 196 | 0.994 | 12 |
| 16 | 224 | 0.993 | 13 |
| 17 | 196 | 0.994 | 11 |
| 18 | 197 | 0.994 | 12 |
| 19 | 198 | 0.994 | 15 |
| 20 | 224 | 0.993 | 16 |
| Eq. | Predicted CH4 Equation | RMSE (ppm) | R2 | Complexity |
|---|---|---|---|---|
| 5 | 55 | 0.684 | 6 | |
| 6 | 35.6 | 0.868 | 7 | |
| 11 | 19.2 | 0.962 | 8 | |
| 12 | 14.2 | 0.979 | 9 | |
| 15 | 16 | 0.973 | 12 | |
| 16 | 5.09 | 0.997 | 13 | |
| 17 | 14.7 | 0.977 | 11 | |
| 18 | 5.1 | 0.997 | 12 | |
| 19 | 14.8 | 0.977 | 15 | |
| 20 | 5.09 | 0.997 | 16 | |
| 21 | 4.5 | 0.998 | 23 | |
| 22 | 4.79 | 0.998 | 20 |
| Estimate | Standard Error | t-Statistic | p-Value | |
|---|---|---|---|---|
| −1370 | 116.08 | −11.80 | 4.2 × 10−32 | |
| 4081.4 | 7.335 | 556.43 | 0 | |
| 0.1109 | 0.0088 | 12.59 | 2.8 × 10−36 | |
| 0.2152 | 0.0170 | 12.64 | 1.4 × 10−36 | |
| 0.0808 | 0.0065 | 12.50 | 8.3 × 10−36 | |
| −0.0587 | 0.0047 | −12.55 | 4.6 × 10−36 |
Disclaimer/Publisher’s Note: The statements, opinions and data contained in all publications are solely those of the individual author(s) and contributor(s) and not of MDPI and/or the editor(s). MDPI and/or the editor(s) disclaim responsibility for any injury to people or property resulting from any ideas, methods, instructions or products referred to in the content. |
© 2024 by the authors. Licensee MDPI, Basel, Switzerland. This article is an open access article distributed under the terms and conditions of the Creative Commons Attribution (CC BY) license (https://creativecommons.org/licenses/by/4.0/).
Share and Cite
Mitchell, H.L.; Cox, S.J.; Lewis, H.G. Calibration of a Low-Cost Methane Sensor Using Machine Learning. Sensors 2024, 24, 1066. https://doi.org/10.3390/s24041066
Mitchell HL, Cox SJ, Lewis HG. Calibration of a Low-Cost Methane Sensor Using Machine Learning. Sensors. 2024; 24(4):1066. https://doi.org/10.3390/s24041066
Chicago/Turabian StyleMitchell, Hazel Louise, Simon J. Cox, and Hugh G. Lewis. 2024. "Calibration of a Low-Cost Methane Sensor Using Machine Learning" Sensors 24, no. 4: 1066. https://doi.org/10.3390/s24041066
APA StyleMitchell, H. L., Cox, S. J., & Lewis, H. G. (2024). Calibration of a Low-Cost Methane Sensor Using Machine Learning. Sensors, 24(4), 1066. https://doi.org/10.3390/s24041066

