Myoelectric, Myo-Oxygenation, and Myotonometry Changes during Robot-Assisted Bilateral Arm Exercises with Varying Resistances
Abstract
1. Introduction
2. Materials and Methods
2.1. Participants
2.2. Experiment Protocol
- (1)
- Warm-up: A 2-min warm-up involving wrist movements was conducted. During the warm-up, the active power was set at 20, while inward and outward power were both set to 0.
- (2)
- Pretest: A pretest was conducted 2 min later, during which the participant performed ten wrist movements with the same resistance settings as used in the exercise mode. This pretest was followed by myotonometry measurements. The combined duration of the pretest and the subsequent resting period was 5 min.
- (3)
- Exercise: Subsequently, the participant engaged in wrist movements for a duration of 20 min in the low-resistance mode or for 10 min in the high-resistance mode. To regulate movement speed, a series of 1.2 s beep sounds were employed as guidance. Following the exercise, myotonometry measurements were taken once more.
- (4)
- Post-tests: Following a 5-min rest, each participant underwent a post-test employing the same procedure as the pretest, which included 10 repetitions of wrist movements followed by myotonometry. After an additional 5-min rest period, the second post-test was conducted.
2.3. Data Collection
2.4. Myotonometry
2.5. Borg Rating of Perceived Exertion
2.6. Electromyographic Analysis
2.7. Statistical Analysis
3. Results
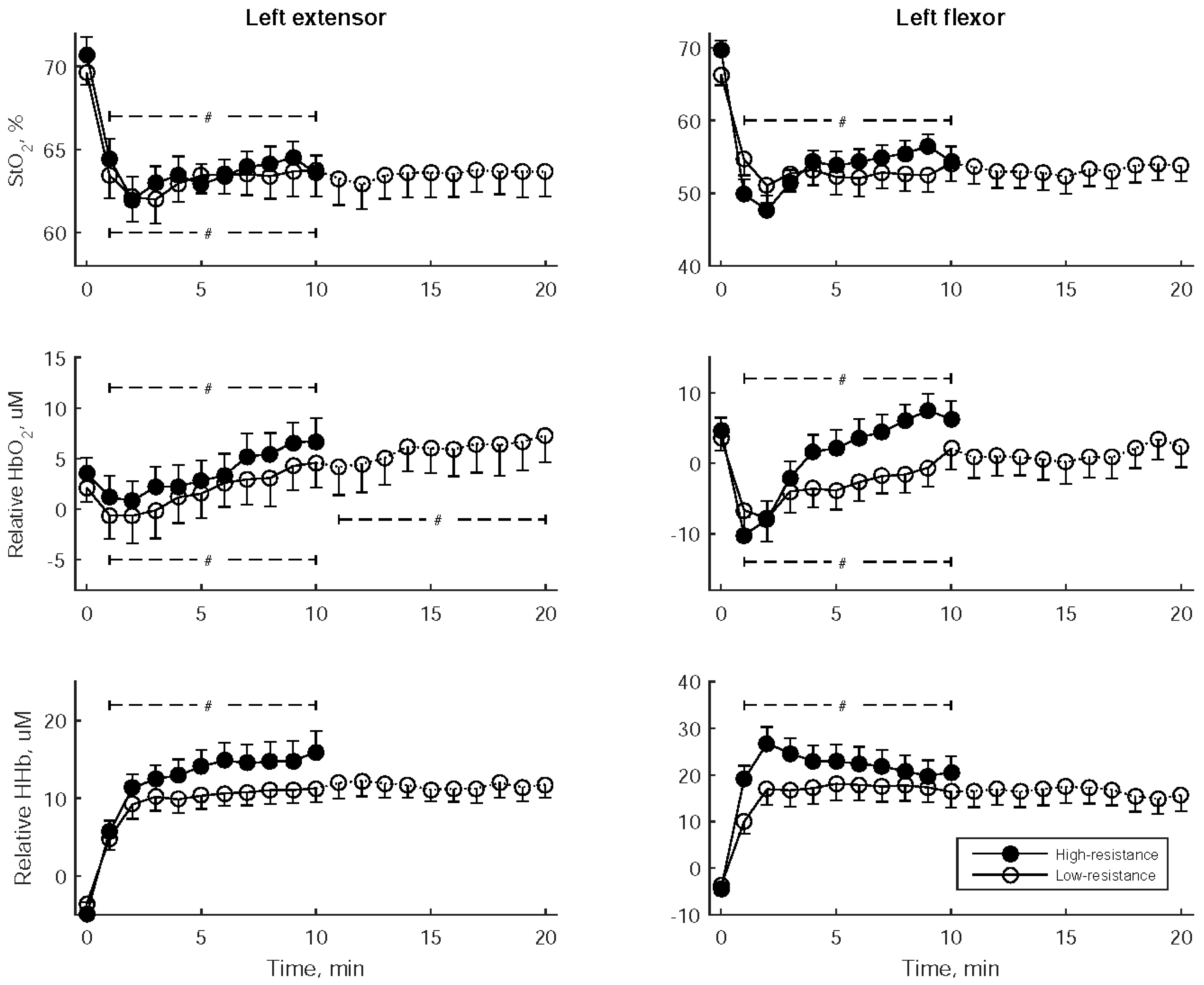
3.1. Impacts of Varying-Resistance Exercises on Myotonometry and Muscular Oxygenation
3.2. EMG Median Frequency, Heart Rate, and Borg RPE throughout the Exercise Period
4. Discussion
- During high-resistance exercises, both the Borg RPE and heart rate were higher compared to low-resistance exercises, indicating an elevated sense of exertion and increased sympathetic activation, respectively.
- High-resistance exercise resulted in a more pronounced decrease in EMGs’ MF, indicating greater muscle fatigue compared to low-resistance exercise.
- High-resistance exercise required heightened oxygen delivery to the working muscles, as indicated by elevated relative concentrations of oxyhemoglobin and deoxyhemoglobin compared to low-resistance exercise. This suggests an increased metabolic demand during such activities.
- Low-resistance exercise resulted in decreased muscle stiffness and enhanced elasticity both immediately after exercise and during post-tests, as compared to the pretest. This implies that engaging in light exercise could be advantageous for promoting muscle relaxation and flexibility.
5. Conclusions
Author Contributions
Funding
Institutional Review Board Statement
Informed Consent Statement
Data Availability Statement
Conflicts of Interest
References
- Hesse, S.; Schulte-Tigges, G.; Konrad, M.; Bardeleben, A.; Werner, C. Robot-assisted arm trainer for the passive and active practice of bilateral forearm and wrist movements in hemiparetic subjects. Arch. Phys. Med. Rehabil. 2003, 84, 915–920. [Google Scholar] [CrossRef] [PubMed]
- Colombo, R.; Pisano, F.; Micera, S.; Mazzone, A.; Delconte, C.; Carrozza, M.C.; Dario, P.; Minuco, G. Robotic techniques for upper limb evaluation and rehabilitation of stroke patients. IEEE Trans. Neural Syst. Rehabil. Eng. 2005, 13, 311–324. [Google Scholar] [CrossRef] [PubMed]
- Hsieh, Y.-W.; Wu, C.-Y.; Liao, W.-W.; Lin, K.; Wu, K.-Y.; Lee, C.-Y. Effects of treatment intensity in upper limb robot-assisted therapy for chronic stroke: A pilot randomized controlled trial. Neurorehabilit. Neural Repair 2011, 25, 503–511. [Google Scholar] [CrossRef] [PubMed]
- Borg, G.A.V. Psychophysical bases of perceived exertion. Med. Sci. Sports Exerc. 1982, 14, 377–381. [Google Scholar] [CrossRef] [PubMed]
- Scherr, J.; Wolfarth, B.; Christle, J.W.; Pressler, A.; Wagenpfeil, S.; Halle, M. Associations between Borg’s rating of perceived exertion and physiological measures of exercise intensity. Eur. J. Appl. Physiol. 2013, 113, 147–155. [Google Scholar] [CrossRef]
- Au, J.S.; Totosy De Zepetnek, J.O.; Macdonald, M.J. Modeling perceived exertion during graded arm cycling exercise in spinal cord injury. Med. Sci. Sports Exerc. 2017, 49, 1190–1196. [Google Scholar] [CrossRef]
- Cobb, S.; Forbes, A. Electromyographic studies of muscular fatigue in man. Am. J. Physiol. -Leg. Content 1923, 65, 234–251. [Google Scholar] [CrossRef]
- Boccia, G.; Pizzigalli, L.; Formicola, D.; Ivaldi, M.; Rainoldi, A. Higher neuromuscular manifestations of fatigue in dynamic than isometric pull-up tasks in rock climbers. J. Hum. Kinet. 2015, 47, 31–39. [Google Scholar] [CrossRef]
- Fattorini, L.; Tirabasso, A.; Lunghi, A.; Di Giovanni, R.; Sacco, F.; Marchetti, E. Muscular forearm activation in hand-grip tasks with superimposition of mechanical vibrations. J. Electromyogr. Kinesiol. 2016, 26, 143–148. [Google Scholar] [CrossRef]
- Kahl, L.; Hofmann, U.G. Comparison of algorithms to quantify muscle fatigue in upper limb muscles based on sEMG signals. Med. Eng. Phys. 2016, 38, 1260–1269. [Google Scholar] [CrossRef]
- Severijns, D.; Octavia, J.R.; Kerkhofs, L.; Coninx, K.; Lamers, I.; Feys, P. Investigation of fatigability during repetitive robot-mediated arm training in people with multiple sclerosis. PLoS ONE 2015, 10, e0133729. [Google Scholar] [CrossRef] [PubMed]
- Poyil, A.T.; Steuber, V.; Amirabdollahian, F. Influence of muscle fatigue on electromyogram–kinematic correlation during robot-assisted upper limb training. J. Rehabil. Assist. Technol. Eng. 2020, 7, 2055668320903014. [Google Scholar] [CrossRef] [PubMed]
- Chen, S.-W.; Liaw, J.-W.; Chan, H.-L.; Chang, Y.-J.; Ku, C.-H. A real-time fatigue monitoring and analysis system for lower extremity muscles with cycling movement. Sensors 2014, 14, 12410–12424. [Google Scholar] [CrossRef] [PubMed]
- Azuma, K.; Homma, S.; Kagaya, A. Oxygen supply-consumption balance in the thigh muscles during exhausting knee-extension exercise. J. Biomed. Opt. 2000, 5, 97–101. [Google Scholar] [CrossRef] [PubMed]
- Felici, F.; Quaresima, V.; Fattorini, L.; Sbriccoli, P.; Filligoi, G.C.; Ferrari, M. Biceps brachii myoelectric and oxygenation changes during static and sinusoidal isometric exercises. J. Electromyogr. Kinesiol. 2009, 19, e1–e11. [Google Scholar] [CrossRef]
- Hettinga, F.J.; Konings, M.J.; Cooper, C.E. Differences in Muscle Oxygenation, Perceived Fatigue and Recovery between Long-Track and Short-Track Speed Skating. Front. Physiol. 2016, 7, 619. [Google Scholar] [CrossRef]
- Tachi, M.; Kouzaki, M.; Kanehisa, H.; Fukunaga, T. The influence of circulatory difference on muscle oxygenation and fatigue during intermittent static dorsiflexion. Eur. J. Appl. Physiol. 2004, 91, 682–688. [Google Scholar] [CrossRef]
- Murthy, G.; Kahan, N.J.; Hargens, A.R.; Rempel, D.M. Forearm muscle oxygenation decreases with low levels of voluntary contraction. J. Orthop. Res. 1997, 15, 507–511. [Google Scholar] [CrossRef]
- Muthalib, M.; Jubeau, M.; Millet, G.Y.; Maffiuletti, N.A.; Nosaka, K. Comparison between electrically evoked and voluntary isometric contractions for biceps brachii muscle oxidative metabolism using near-infrared spectroscopy. Eur. J. Appl. Physiol. 2009, 107, 235–241. [Google Scholar] [CrossRef]
- Hiscock, D.J.; Dawson, B.; Donnelly, C.J.; Peeling, P. Muscle activation, blood lactate, and perceived exertion responses to changing resistance training programming variables. Eur. J. Sport Sci. 2016, 16, 536–544. [Google Scholar] [CrossRef]
- Willis, S.J.; Peyrard, A.; Rupp, T.; Borrani, F.; Millet, G.P. Vascular and oxygenation responses of local ischemia and systemic hypoxia during arm cycling repeated sprints. J. Sci. Med. Sport 2019, 22, 1151–1156. [Google Scholar] [CrossRef]
- Hsu, M.-J.; Chan, H.-L.; Huang, Y.-Z.; Lin, J.-H.; Hsu, H.-H.; Chang, Y.-J. Mechanism of fatigue induced by different cycling paradigms with equivalent dosage. Front. Physiol. 2020, 11, 545. [Google Scholar] [CrossRef]
- Andersen, C.H.; Zebis, M.K.; Saervoll, C.; Sundstrup, E.; Jakobsen, M.D.; Sjøgaard, G.; Andersen, L.L. Scapular muscle activity from selected strengthening exercises performed at low and high intensities. J. Strength Cond. Res. 2012, 26, 2408–2416. [Google Scholar] [CrossRef]
- Tsuruike, M.; Ellenbecker, T.S. Serratus anterior and lower trapezius muscle activities during multi-joint isotonic scapular exercises and isometric contractions. J. Athl. Train. 2015, 50, 199–210. [Google Scholar] [CrossRef]
- Jiang, C.; Ranganathan, V.K.; Zhang, J.; Siemionow, V.; Yue, G.H. Motor effort training with low exercise intensity improves muscle strength and descending command in aging. Medicine 2016, 95, e3291. [Google Scholar] [CrossRef] [PubMed]
- Hill, E.C.; Housh, T.J.; Smith, C.M.; Keller, J.L.; Schmidt, R.J.; Johnson, G.O. High- vs. low-intensity fatiguing eccentric exercise on muscle thickness, strength, and blood flow. J. Strength Cond. Res. 2021, 35, 33–40. [Google Scholar] [CrossRef] [PubMed]
- Kilen, A.; Gizzi, L.; Jensen, B.R.; Farina, D.; Nordsborg, N.B. Changes in human muscle oxygen saturation and mean fiber conduction velocity during intense dynamic exercise—Effect of muscular training status. Muscle Nerve 2012, 46, 746–754. [Google Scholar] [CrossRef] [PubMed]
- Shima, D.; Nishimura, Y.; Hashizaki, T.; Minoshima, Y.; Yoshikawa, T.; Umemoto, Y.; Kinoshita, T.; Kouda, K.; Tajima, F.; Kamijo, Y.-I. Surface electromyographic activity of the erector spinae and multifidus during arm- and leg-ergometer exercises in young healthy men. Front. Physiol. 2022, 13, 974632. [Google Scholar] [CrossRef]
- Chen, S.-W.; Liaw, J.-W.; Chang, Y.-J.; Chan, H.-L.; Chiu, L.-Y. A cycling movement based system for real-time muscle fatigue and cardiac stress monitoring and analysis. PLoS ONE 2015, 10, e0130798. [Google Scholar] [CrossRef]
- Stegeman, D.; Hermens, H. Standards for Suface Electromyography: The European Project Surface EMG for Non-Invasive Assessment of Muscles (SENIAM); Roessingh Research and Development: Enschede, The Netherlands, 2007. [Google Scholar]
- Simons, D.G.; Mense, S. Understanding and measurement of muscle tone as related to clinical muscle pain. Pain 1998, 75, 1–17. [Google Scholar] [CrossRef]
- Chuang, L.-L.; Lin, K.-C.; Wu, C.-Y.; Chang, C.-W.; Chen, H.-C.; Yin, H.-P.; Wang, L. Relative and absolute reliabilities of the myotonometric measurements of hemiparetic arms in patients with stroke. Arch. Phys. Med. Rehabil. 2013, 94, 459–466. [Google Scholar] [CrossRef]
- Chuang, L.-L.; Wu, C.-Y.; Lin, K.-C. Reliability, validity, and responsiveness of myotonometric measurement of muscle tone, elasticity, and stiffness in patients with stroke. Arch. Phys. Med. Rehabil. 2012, 93, 532–540. [Google Scholar] [CrossRef]
- Lin, M.-A.; Meng, L.-F.; Ouyang, Y.; Chan, H.-L.; Chang, Y.-J.; Chen, S.-W.; Liaw, J.-W. Resistance-induced brain activity changes during cycle ergometer exercises. BMC Sports Sci. Med. Rehabil. 2021, 13, 27. [Google Scholar] [CrossRef]
- Boyas, S.; Guevel, A. Neuromuscular fatigue in healthy muscle: Underlying factors and adaptation mechanisms. Ann. Phys. Rehabil. Med. 2011, 54, 88–108. [Google Scholar] [CrossRef]
- Cifrek, M.; Medved, V.; Tonkovic, S.; Ostojic, S. Surface EMG based muscle fatigue evaluation in biomechanics. Clin. Biomech. 2009, 24, 327–340. [Google Scholar] [CrossRef]
- Shields, R.K.; Chang, Y.-J.; Ross, M. Neuromuscular propagation after fatiguing contractions of the paralyzed soleus muscle in humans. Muscle Nerve 1998, 21, 776–787. [Google Scholar] [CrossRef]
- Chang, Y.-J.; Shields, R.K. Within-train neuromuscular propagation varies with torque in paralyzed human muscle. Muscle Nerve 2002, 26, 673–680. [Google Scholar] [CrossRef] [PubMed]
- González-Izal, M.; Malanda, A.; Gorostiaga, E.; Izquierdo, M. Electromyographic models to assess muscle fatigue. J. Electromyogr. Kinesiol. 2012, 22, 501–512. [Google Scholar] [CrossRef] [PubMed]
- Linnamo, V.; Bottas, R.; Komi, P.V. Force and EMG power spectrum during and after eccentric and concentric fatigue. J. Electromyogr. Kinesiol. 2000, 10, 293–300. [Google Scholar] [CrossRef]
- Watanabe, T.; Matsushita, M.; Nishikimi, N.; Sakurai, T.; Komori, K.; Nimura, Y. Near-infrared spectroscopy with treadmill exercise to assess lower limb ischemia in patients with atherosclerotic occlusive disease. Surg. Today 2004, 34, 849–854. [Google Scholar] [CrossRef] [PubMed]
- Shang, Y.; Gurley, K.; Symons, B.; Long, D.; Srikuea, R.; Crofford, L.J.; Peterson, C.A.; Yu, G. Noninvasive optical characterization of muscle blood flow, oxygenation, and metabolism in women with fibromyalgia. Arthritis Res. Ther. 2012, 14, R236. [Google Scholar] [CrossRef]
- Ufland, P.; Lapole, T.; Ahmaidi, S.; Buchheit, M. Muscle force recovery in relation to muscle oxygenation. Clin. Physiol. Funct. Imaging 2012, 32, 380–387. [Google Scholar] [CrossRef]
- Danduran, M.J.; Dixon, J.E.; Rao, R.P. Near infrared spectroscopy describes physiologic payback associated with excess postexercise oxygen consumption in healthy controls and children with complex congenital heart disease. Pediatr. Cardiol. 2012, 33, 95–102. [Google Scholar] [CrossRef] [PubMed]
- Blangsted, A.K.; Vedsted, P.; Sjøgaard, G.; Søgaard, K. Intramuscular pressure and tissue oxygenation during low-force static contraction do not underlie muscle fatigue. Acta Physiol. Scand. 2005, 183, 379–388. [Google Scholar] [CrossRef] [PubMed]
- Garcia-Bernal, M.-I.; Heredia-Rizo, A.M.; Gonzalez-Garcia, P.; Cortés-Vega, M.-D.; Casuso-Holgado, M.J. Validity and reliability of myotonometry for assessing muscle viscoelastic properties in patients with stroke: A systematic review and meta-analysis. Sci. Rep. 2021, 11, 5062. [Google Scholar] [CrossRef] [PubMed]
- Fröhlich-Zwahlen, A.K.; Casartelli, N.C.; Item-Glatthorn, J.F.; Maffiuletti, N.A. Validity of resting myotonometric assessment of lower extremity muscles in chronic stroke patients with limited hypertonia: A preliminary study. J. Electromyogr. Kinesiol. 2014, 24, 762–769. [Google Scholar] [CrossRef] [PubMed]
- García-Bernal, M.-I.; González-García, P.; Casuso-Holgado, M.J.; Cortés-Vega, M.D.; Heredia-Rizo, A.M. Measuring mechanical properties of spastic muscles after stroke. Does muscle position during assessment really matter? Arch. Phys. Med. Rehabil. 2022, 103, 2368–2374. [Google Scholar] [CrossRef] [PubMed]
- Marusiak, J.; Kisiel-Sajewicz, K.; Jaskólska, A.; Jaskólski, A. Higher muscle passive stiffness in Parkinson’s disease patients than in controls measured by myotonometry. Arch. Phys. Med. Rehabil. 2010, 91, 800–802. [Google Scholar] [CrossRef] [PubMed]
- Rätsep, T.; Asser, T. The effect of subthalamic stimulation on viscoelastic stiffness of skeletal muscles in patients with Parkinson’s disease. Clin. Biomech. 2017, 44, 94–98. [Google Scholar] [CrossRef] [PubMed]
- Marusiak, J.; Jaskólska, A.; Budrewicz, S.; Koszewicz, M.; Andrzejewska, R.; Kisiel-Sajewicz, K.; Jaskólski, A. Influence of dopaminergic treatment on resting elbow joint angle control mechanisms in patients with Parkinson’s disease—A preliminary report. Acta Bioeng. Biomech. 2018, 20, 75–82. [Google Scholar]
- Marusiak, J.; Żeligowska, E.; Mencel, J.; Kisiel-Sajewicz, K.; Majerczak, J.; Zoladz, J.A.; Jaskólski, A.; Jaskólska, A. Interval training-induced alleviation of rigidity and hypertonia in patients with Parkinson’s disease is accompanied by increased basal serum brain-derived neurotrophic factor. J. Rehabil. Med. 2014, 47, 372–375. [Google Scholar] [CrossRef]
- Kim, J.-J. An analysis on muscle tone and stiffness during sling exercise on static prone position. J. Phys. Ther. Sci. 2016, 28, 3440–3443. [Google Scholar] [CrossRef][Green Version]
- Gourine, A.V.; Ackland, G.L. Cardiac vagus and exercise. Physiology 2018, 34, 71–80. [Google Scholar] [CrossRef]
- Chang, Y.-J.; Liu, C.-C.; Lin, C.-H.; Tsaih, P.-L.; Hsu, M.-J. Using electromyography to detect the weightings of the local muscle factors to the increase of perceived exertion during stepping exercise. Sensors 2008, 8, 3643–3655. [Google Scholar] [CrossRef]
- Xu, W.; Chu, B.; Rogers, E. Iterative learning control for robotic-assisted upper limb stroke rehabilitation in the presence of muscle fatigue. Control Eng. Pract. 2014, 31, 63–72. [Google Scholar] [CrossRef]
- Bouteraa, Y.; Abdallah, I.B.; Boukthir, K. A new wrist-forearm rehabilitation protocol integrating human biomechanics and SVM-based machine learning for muscle fatigue estimation. Bioengineering 2023, 10, 219. [Google Scholar] [CrossRef]
- Hu, X.; Tong, K.Y.; Song, R.; Tsang, V.S.; Leung, P.O.; Li, L. Variation of muscle coactivation patterns in chronic stroke during robot-assisted elbow training. Arch. Phys. Med. Rehabil. 2007, 88, 1022–1029. [Google Scholar] [CrossRef]
- Hu, X.L.; Tong, K.Y.; Song, R.; Zheng, X.J.; Lui, K.H.; Leung, W.W.F.; Ng, S.; Au-Yeung, S.S.Y. Quantitative evaluation of motor functional recovery process in chronic stroke patients during robot-assisted wrist training. J. Electromyogr. Kinesiol. 2009, 19, 639–650. [Google Scholar] [CrossRef] [PubMed]
- Chan, H.-L.; Hung, J.-W.; Chang, K.-C.; Wu, C.-Y. Myoelectric analysis of upper-extremity muscles during robot-assisted bilateral wrist flexion-extension in subjects with poststroke hemiplegia. Clin. Biomech. 2021, 87, 105412. [Google Scholar] [CrossRef] [PubMed]
- Bouteraa, Y.; Abdallah, I.B.; Elmogy, A.M. Training of hand rehabilitation using low cost exoskeleton and vision-based game interface. J. Intell. Robot. Syst. 2019, 96, 31–47. [Google Scholar] [CrossRef]
- Novak, D.; Nagle, A.; Keller, U.; Riener, R. Increasing motivation in robot-aided arm rehabilitation with competitive and cooperative gameplay. J. NeuroEng. Rehabil. 2014, 11, 64. [Google Scholar] [CrossRef] [PubMed]





| Pretest | SAE | Post-Test1 | Post-Test2 | p Value | |
|---|---|---|---|---|---|
| High resistance | |||||
| Left extensor | |||||
| Frequency, Hz | 24.4 ± 2.6 | 23.7 ± 2.9 | 23.8 ± 1.7 | 23.6 ± 2.4 | 0.681 |
| Decrement | 1.41 ± 0.35 | 1.32 ± 0.29 | 1.40 ± 0.27 | 1.37 ± 0.33 | 0.619 |
| Stiffness N/m | 487.6 ± 45.5 | 475.5 ± 70.3 | 472.9 ± 34.2 | 477.6 ± 47.2 | 0.727 |
| Left flexor | |||||
| Frequency, Hz | 23.7 ± 3.1 | 23.1 ± 3.5 | 23.1 ± 2.6 | 23.5 ± 2.4 | 0.741 |
| Decrement | 1.96 ± 0.45 | 1.88 ± 0.33 | 1.95 ± 0.47 | 1.82 ± 0.41 | 0.188 |
| Stiffness N/m | 444.0 ± 33.1 | 446.0 ± 39.5 | 447.2 ± 39.2 | 451.7 ± 38.7 | 0.754 |
| Low resistance | |||||
| Left extensor | |||||
| Frequency, Hz | 23.8 ± 2.2 | 22.9 ± 3.3 | 22.5 ± 2.1 | 22.7 ± 2.7 | 0.214 |
| Decrement | 1.30 ± 0.21 | 1.26 ± 0.22 | 1.32 ± 0.31 | 1.30 ± 0.23 | 0.747 |
| Stiffness N/m | 483.1 ± 52.5 | 428.9 ± 68.3 † | 440.7 ± 64.4 † | 433.1 ± 58.2 † | 0.000 |
| Left flexor | |||||
| Frequency, Hz | 23.3 ± 3.2 | 21.9 ± 2.3 † | 21.4 ± 2.2 † | 22.3 ± 2.5 | 0.020 |
| Decrement | 1.85 ± 0.42 | 1.70 ± 0.44 | 1.62 ± 0.24 † | 1.64 ± 0.30 † | 0.020 |
| Stiffness N/m | 450.7 ± 53.1 | 422.5 ± 40.6 † | 420.6 ± 49.3 † | 434.5 ± 57.5 | 0.015 |
| Pretest | SAE | Post-Test1 | Post-Test2 | p Value | |
|---|---|---|---|---|---|
| High resistance | |||||
| Left extensor | |||||
| StO2, % | 68.4 ± 3.0 | 71.1 ± 4.4 † | 70.7 ± 3.7 † | 70.2 ± 4.1 † | 0.001 |
| HbO2, μM | 8.58 ± 7.61 | 22.17 ± 12.26 † | 21.20 ± 11.68 † | 18.68 ± 9.71 † | 0.000 |
| HHb, μM | 2.66 ± 2.66 | 3.44 ± 6.52 | 4.18 ± 8.15 | 3.04 ± 6.75 | 0.597 |
| Left flexor | |||||
| StO2, % | 67.5 ± 6.0 | 73.6 ± 6.5 † | 71.0 ± 7.3 † | 70.7 ± 5.8 †* | 0.000 |
| HbO2, Μm | 11.83 ± 8.81 | 29.78 ± 11.31 † | 22.71 ± 8.49 †* | 21.16 ± 7.57 †* | 0.000 |
| HHb, μM | 0.62 ± 5.00 | −2.35 ± 5.14 | −2.32 ± 6.18 | −1.93 ± 5.66 | 0.073 |
| Low resistance | |||||
| Left extensor | |||||
| StO2, % | 68.1 ± 2.4 | 70.0 ± 3.9 † | 70.8 ± 3.8 † | 71.0 ± 4.3 † | 0.000 |
| HbO2, μM | 4.19 ± 6.71 | 18.48 ± 6.88 † | 18.11 ± 6.97 † | 17.67 ± 7.62 † | 0.000 |
| HHb, μM | 1.45 ± 3.80 | 2.84 ± 5.73 | 1.86 ± 4.81 | 0.60 ± 4.83 | 0.318 |
| Left flexor | |||||
| StO2, % | 63.9 ± 6.4 | 65.6 ± 6.2 | 65.5 ± 7.3 | 66.9 ± 6.2 | 0.193 |
| HbO2, μM | 5.87 ± 6.65 | 21.95 ± 9.98 † | 19.93 ± 8.29 † | 18.66 ± 6.76 † | 0.000 |
| HHb, μM | 1.18 ± 4.53 | 1.70 ± 5.81 | −0.51 ± 5.48 | −2.56 ± 5.78 † | 0.026 |
| Early (2nd–4th min) | Middle (5th–7th min) | Late (8th–10th min) | |
|---|---|---|---|
| Borg RPE | |||
| High resistance | 15.6 ± 1.9 † | 17.6 ± 1.8 † | 18.1 ± 1.4 † |
| Low resistance | 12.9 ± 2.6 | 15.0 ± 2.3 | 16.4 ± 2.2 |
| Mean heart rate, BPM | |||
| High resistance | 96.8 ± 18.3 † | 98.6 ± 20.0 † | 100.1 ± 22.5 † |
| Low resistance | 90.8 ± 16.0 | 93.0 ± 17.3 | 95.1 ± 17.1 |
| FPM | |||
| Right extensor | |||
| High resistance | 0.75 ± 0.20 † | 0.83 ± 0.18 † | 0.86 ± 0.19 † |
| Low resistance | 0.55 ± 0.30 | 0.59 ± 0.34 | 0.63 ± 0.34 |
| Right flexor | |||
| High resistance | 0.74 ± 0.19 † | 0.80 ± 0.21 † | 0.81 ± 0.23 † |
| Low resistance | 0.60 ± 0.22 | 0.69 ± 0.24 | 0.72 ± 0.22 |
| Slope5 | Slope10 | |
|---|---|---|
| Right extensor | ||
| High resistance | −96.5 ± 82.9 † | −23.5 ± 32.1 |
| Low resistance | −20.3 ± 72.2 | −15.8 ± 22.8 |
| Right flexor | ||
| High resistance | −46.6 ± 45.9 | −13.1 ± 19.9 |
| Low resistance | −28.2 ± 40.4 | −13.1 ± 17.6 |
| Early (2nd–4th min) | Middle (5th–7th min) | Late (8th–10th min) | |
|---|---|---|---|
| StO2, % | |||
| Left extensor | |||
| High resistance | 62.8 ± 4.3 | 63.4 ± 3.9 | 64.1 ± 3.9 |
| Low resistance | 62.4 ± 5.1 | 63.5 ± 4.4 | 63.6 ± 5.7 |
| Left flexor | |||
| High resistance | 51.1 ± 6.8 | 54.3 ± 6.8 | 55.4 ± 6.9 |
| Low resistance | 52.3 ± 8.7 | 52.4 ± 9.1 | 53.1 ± 8.9 |
| HbO2, μM | |||
| Left extensor | |||
| High resistance | 1.8 ± 7.5 | 3.8 ± 8.2 | 6.3 ± 8.1 |
| Low resistance | 0.1 ± 10.3 | 2.4 ± 9.3 | 4.0 ± 9.8 |
| Left flexor | |||
| High resistance | −2.8 ± 9.1 | 3.4 ± 10.0 † | 6.6 ± 9.3 † |
| Low resistance | −5.2 ± 11.2 | −2.8 ± 10.0 | −0.1 ± 10.4 |
| HHb, μM | |||
| Left extensor | |||
| High resistance | 12.2 ± 7.1 | 14.5 ± 8.7 | 15.2 ± 10.0 |
| Low resistance | 9.7 ± 6.8 | 10.6 ± 6.4 | 11.1 ± 6.7 |
| Left flexor | |||
| High resistance | 24.8 ± 12.9 † | 22.4 ± 13.8 † | 20.4 ± 13.2 |
| Low resistance | 16.9 ± 13.0 | 17.8 ± 13.2 | 17.1 ± 12.6 |
Disclaimer/Publisher’s Note: The statements, opinions and data contained in all publications are solely those of the individual author(s) and contributor(s) and not of MDPI and/or the editor(s). MDPI and/or the editor(s) disclaim responsibility for any injury to people or property resulting from any ideas, methods, instructions or products referred to in the content. |
© 2024 by the authors. Licensee MDPI, Basel, Switzerland. This article is an open access article distributed under the terms and conditions of the Creative Commons Attribution (CC BY) license (https://creativecommons.org/licenses/by/4.0/).
Share and Cite
Chan, H.-L.; Meng, L.-F.; Kao, Y.-A.; Chang, Y.-J.; Chang, H.-W.; Chen, S.-W.; Wu, C.-Y. Myoelectric, Myo-Oxygenation, and Myotonometry Changes during Robot-Assisted Bilateral Arm Exercises with Varying Resistances. Sensors 2024, 24, 1061. https://doi.org/10.3390/s24041061
Chan H-L, Meng L-F, Kao Y-A, Chang Y-J, Chang H-W, Chen S-W, Wu C-Y. Myoelectric, Myo-Oxygenation, and Myotonometry Changes during Robot-Assisted Bilateral Arm Exercises with Varying Resistances. Sensors. 2024; 24(4):1061. https://doi.org/10.3390/s24041061
Chicago/Turabian StyleChan, Hsiao-Lung, Ling-Fu Meng, Yung-An Kao, Ya-Ju Chang, Hao-Wei Chang, Szi-Wen Chen, and Ching-Yi Wu. 2024. "Myoelectric, Myo-Oxygenation, and Myotonometry Changes during Robot-Assisted Bilateral Arm Exercises with Varying Resistances" Sensors 24, no. 4: 1061. https://doi.org/10.3390/s24041061
APA StyleChan, H.-L., Meng, L.-F., Kao, Y.-A., Chang, Y.-J., Chang, H.-W., Chen, S.-W., & Wu, C.-Y. (2024). Myoelectric, Myo-Oxygenation, and Myotonometry Changes during Robot-Assisted Bilateral Arm Exercises with Varying Resistances. Sensors, 24(4), 1061. https://doi.org/10.3390/s24041061

