Measurements of Electrodermal Activity, Tissue Oxygen Saturation, and Visual Analog Scale for Different Cuff Pressures
Abstract
1. Introduction
2. Materials and Methods
2.1. Participants
2.2. Questionnaire
2.3. Equipment
2.3.1. Pneumatic Cuffs and Pressure-Applying Devices
2.3.2. EDA Sensors
- Mean SCL: Mean value of SCL during pressure stimulation;
- Max amplitude: Maximum value of SCR amplitude during pressure stimulation;
- SCR counts: Number of SCR peaks during pressure stimulation.
2.3.3. Near Infrared Spectroscopy (NIRS) Sensor
2.4. Experimental Protocol
2.4.1. Experiment 1: Measurement of EDA for Different Pressures
2.4.2. Experiment 2: Measurement of StO2 and EDA for Different Pressures
2.5. Statistical Analysis
3. Results
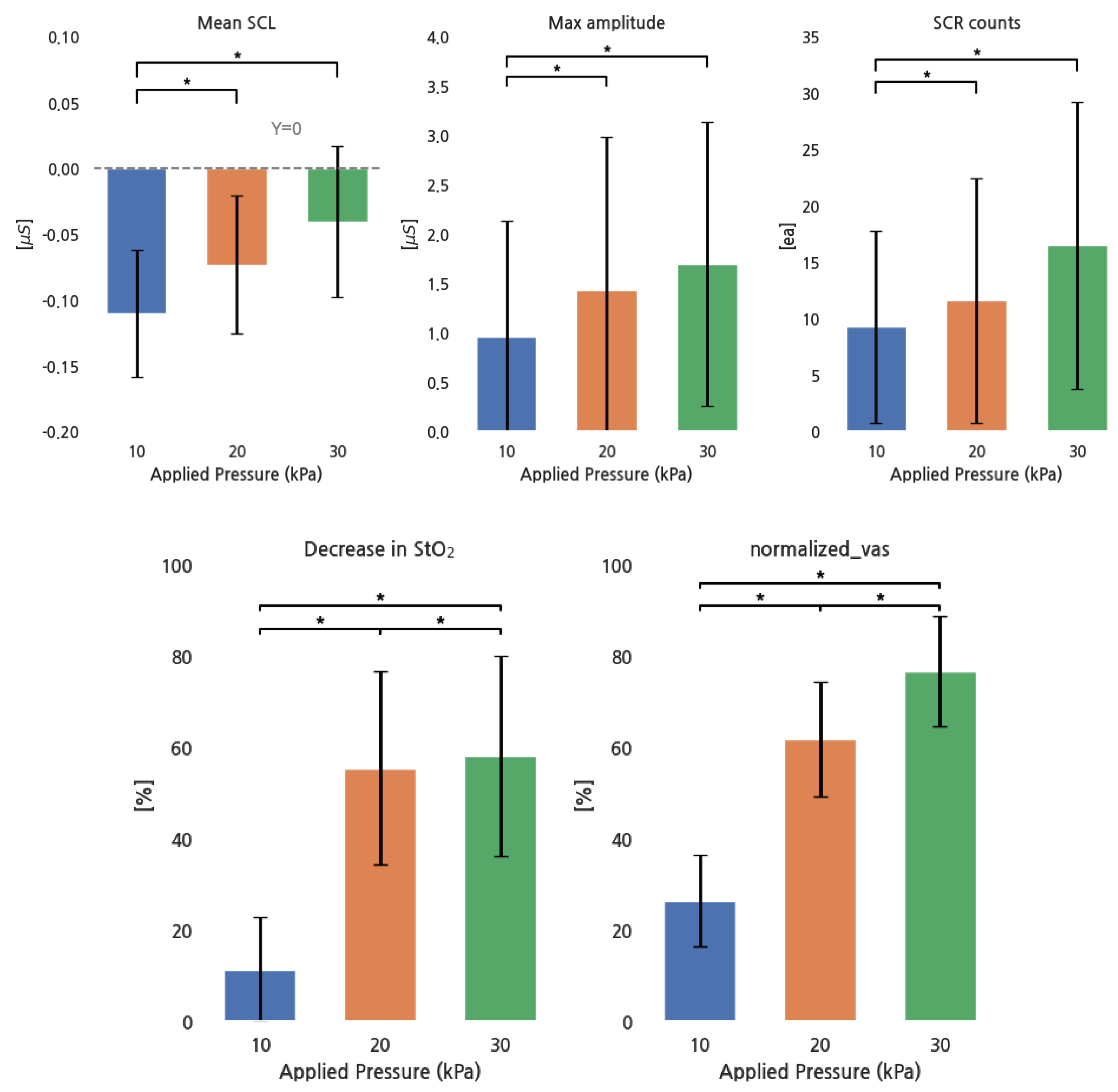
3.1. Experiment 1: Measurement of EDA for Each Pressure Condition
3.2. Experiment 2: Measurement of StO2 and EDA for Different Pressures
4. Discussion
5. Conclusions
Author Contributions
Funding
Institutional Review Board Statement
Informed Consent Statement
Data Availability Statement
Conflicts of Interest
References
- Qiu, S.; Pei, Z.; Wang, C.; Tang, Z. Systematic Review on Wearable Lower Extremity Robotic Exoskeletons for Assisted Locomotion. J. Bionic Eng. 2022, 20, 436–469. [Google Scholar] [CrossRef]
- Ralfs, L.; Hoffmann, N.; Weidner, R. Method and Test Course for the Evaluation of Industrial Exoskeletons. Appl. Sci. 2021, 11, 9614. [Google Scholar] [CrossRef]
- Zhang, X.; Chen, X.; Huo, B.; Liu, C.; Zhu, X.; Zu, Y.; Wang, X.; Chen, X.; Sun, Q. An Integrated Evaluation Approach of Wearable Lower Limb Exoskeletons for Human Performance Augmentation. Sci. Rep. 2023, 13, 4251. [Google Scholar] [CrossRef] [PubMed]
- Daly, W.C.; Voo, L.; Rosenbaum-Chou, T.; Arabian, A.P.; Boone, D.P. Socket Pressure and Discomfort in Upper-Limb Prostheses. JPO J. Prosthetics Orthot. 2014, 26, 99–106. [Google Scholar] [CrossRef]
- Meyer, J.T.; Gassert, R.; Lambercy, O. An analysis of usability evaluation practices and contexts of use in wearable robotics. J. Neuro-Eng. Rehab. 2021, 18, 170. [Google Scholar] [CrossRef] [PubMed]
- Léger, M.C.; Cardoso, M.R.; Dion, C.; Albert, W.J. Does Active Sitting Provide More Physiological Changes Than Traditional Sitting and Standing Workstations? Appl. Ergon. 2022, 102, 103741. [Google Scholar] [CrossRef] [PubMed]
- Seoane, F.; Mohino-Herranz, I.; Ferreira, J.; Alvarez, L.; Buendia, R.; Ayllon, D.; Llerena, C.; Gil-Pita, R. Wearable biomedical measurement systems for assessment of mental stress of combatants in real time. Sensors 2014, 14, 7120–7141. [Google Scholar] [CrossRef] [PubMed]
- Hsieh, C.P.; Chen, Y.T.; Beh, W.K.; Wu, A.Y.A. Feature Selection Framework for XGBoost Based on Electrodermal Activity in Stress Detection. In Proceedings of the 2019 IEEE International Workshop on Signal Processing Systems (SiPS), Nanjing, China, 20–23 October 2019; pp. 330–335. [Google Scholar]
- Aqajari, S.A.H.; Naeini, E.K.; Mehrabadi, M.A.; Labbaf, S.; Rahmani, A.M.; Dutt, N. GSR Analysis for Stress: Development and Validation of an Open Source Tool for Noisy Naturalistic GSR Data. arXiv 2020, arXiv:2005.01834. [Google Scholar]
- Aqajari, S.A.H.; Naeini, E.K.; Mehrabadi, M.A.; Labbaf, S.; Dutt, N.; Rahmani, A.M. pyEDA: An open-source python toolkit for pre-processing and feature extraction of electrodermal activity. Procedia Comput. Sci. 2021, 184, 99–106. [Google Scholar] [CrossRef]
- Benedek, M.; Kaernbach, C. A continuous measure of phasic electrodermal activity. J. Neurosci. Methods 2010, 190, 80–91. [Google Scholar] [CrossRef]
- Theodoros, A. Electrodermal Activity: Applications in Perioperative Care. Int. J. Med. Res. Health Sci. 2014, 3, 687–695. [Google Scholar] [CrossRef]
- Braithwaite, J.J.; Watson, D.G.; Jones, R.; Rowe, M. A Guide for Analysing Electrodermal Activity (EDA) & Skin Conductance Responses (SCRs) for Psychological Experiments; University of Birmingham: Birmingham, UK, 2013. [Google Scholar]
- Kong, Y.; Posada-Quintero, H.; Chon, K. Sensitive physiological indices of pain based on differential characteristics of electrodermal activity. IEEE Trans. Biomed. Eng. 2021, 68, 3122–3130. [Google Scholar] [CrossRef] [PubMed]
- Kim, J.H.; Jeon, G.R.; Son, J.M.; Baik, S.W.; Kim, Y.J.; Kim, S.S. Electrodermal Activity at the Left Palm and Finger in Accordance with the Pressure Stimuli Applied to the Left Scapula. J. Sens. Sci. Technol. 2016, 25, 235–242. [Google Scholar] [CrossRef][Green Version]
- Posada-Quintero, H.F.; Florian, J.P.; Orjuela-Cañón, A.D.; Aljama-Corrales, T.; Charleston-Villalobos, S.; Chon, K.H. Power Spectral Density Analysis of Electrodermal Activity for Sympathetic Function Assessment. Ann. Biomed. Eng. 2016, 44, 3124–3135. [Google Scholar] [CrossRef]
- Hosseini, E.; Fang, R.; Zhang, R.; Parenteau, A.; Hang, S.; Rafatirad, S.; Hostinar, C.; Orooji, M.; Homayoun, H. A Low-Cost EDA-based Stress Detection Using Machine Learning. In Proceedings of the 2022 IEEE International Conference on Bioinformatics and Biomedicine (BIBM), Las Vegas, NV, USA, 6–8 December 2022; pp. 2619–2623. [Google Scholar]
- Bader, D. The recovery characteristics of soft tissues following repeated loading. J. Rehabil. Res. Dev. 1990, 27, 141–150. [Google Scholar] [CrossRef] [PubMed]
- Makhsous, M.; Lin, F.; Hanawalt, D.; Kruger, S.L.; LaMantia, A. The Effect of Chair Designs on Sitting Pressure Distribution and Tissue Perfusion. Hum. Factors J. Hum. Factors Ergon. Soc. 2012, 54, 1066–1074. [Google Scholar] [CrossRef] [PubMed]
- Mak, A.F.; Zhang, M.; Tam, E.W. Biomechanics of pressure ulcer in body tissues interacting with external forces during locomotion. Annu. Rev. Biomed. Eng. 2010, 12, 29–53. [Google Scholar] [CrossRef] [PubMed]
- Linnenberg, C.; Reimeir, B.; Eberle, R.; Weidner, R. The Influence of Circular Physical Human–Machine Interfaces of Three Shoulder Exoskeletons on Tissue Oxygenation. Appl. Sci. 2023, 13, 10534. [Google Scholar] [CrossRef]
- Kermavnar, T.; O’Sullivan, K.J.; De Eyto, A.; O’Sullivan, L.W. Discomfort/Pain and Tissue Oxygenation at the Lower Limb During Circumferential Compression: Application to Soft Exoskeleton Design. Hum. Factors J. Hum. Factors Ergon. Soc. 2020, 62, 475–488. [Google Scholar] [CrossRef]
- Kermavnar, T.; O’Sullivan, K.J.; Casey, V.; de Eyto, A.; O’Sullivan, L.W. Circumferential Tissue Compression at the Lower Limb during Walking, and Its Effect on Discomfort, Pain and Tissue Oxygenation: Application to Soft Exoskeleton Design. Appl. Ergon. 2020, 86, 103093. [Google Scholar] [CrossRef]
- Nam, Y.; Yang, S.; Kim, J.; Koo, B.; Song, S.; Kim, Y. Quantification of Comfort for the Development of Binding Parts in a Standing Rehabilitation Robot. Sensors 2023, 23, 2206. [Google Scholar] [CrossRef]
- Shuler, M.S.; Reisman, W.M.; Whitesides, T.E.; Kinsey, T.L.; Hammerberg, E.M.; Davila, M.G.; Moore, T.J. Near-Infrared Spectroscopy in Lower Extremity Trauma. J. Bone Jt. Surg. 2009, 91, 1360–1368. [Google Scholar] [CrossRef]
- Wassenaar, E.B.; Van den Brand, J.G. Reliability of near-infrared spectroscopy in people with dark skin pigmentation. J. Clin. Monit. Comput. 2005, 19, 195–199. [Google Scholar] [CrossRef] [PubMed]
- Kane, R.L.; Bershadsky, B.; Lin, W.C.; Rockwood, T.; Wood, K. Efforts to Standardize the Reporting of Pain. J. Clin. Epidemiol. 2002, 55, 105–110. [Google Scholar] [CrossRef] [PubMed]
- Makowski, D.; Pham, T.; Lau, Z.J.; Brammer, J.C.; Lespinasse, F.; Pham, H.; Schölzel, C.; Chen, S.H.A. NeuroKit2: A Python toolbox for neurophysiological signal processing. Behav. Res. Methods 2021, 53, 1689–1696. [Google Scholar] [CrossRef] [PubMed]
- Bland, M. An Introduction to Medical Statistics; Oxford University Press: Oxford, UK, 2015. [Google Scholar]
- Field, A. Discovering Statistics Using IBM SPSS Statistics; Sage: Thousand Oaks, CA, USA, 2013. [Google Scholar]
- Vallat, R. Pingouin: Statistics in Python. J. Open Source Softw. 2018, 3, 1026. [Google Scholar] [CrossRef]
- Kermavnar, T.; Power, V.; De Eyto, A.; O’Sullivan, L.W. Computerized Cuff Pressure Algometry as Guidance for Circumferential Tissue Compression for Wearable Soft Robotic Applications: A Systematic Review. Soft Robot 2018, 5, 497–511. [Google Scholar] [CrossRef] [PubMed]
- Lyder, C.H. Pressure Ulcer Prevention and Management. JAMA-J. Am. Med. Assoc. 2003, 289, 223–226. [Google Scholar] [CrossRef] [PubMed]
- Dahal, K.; Bogue-Jimenez, B.; Doblas, A. Global Stress Detection Framework Combining a Reduced Set of HRV Features and Random Forest Model. Sensors 2023, 23, 5220. [Google Scholar] [CrossRef] [PubMed]
- Pramod, B.; Vani, M. Stress Detection with Machine Learning and Deep Learning using Multimodal Physiological Data. In Proceedings of the Second International Conference on Inventive Research in Computing Applications (ICIRCA), Coimbatore, India, 15–17 July 2020; pp. 51–57. [Google Scholar]
- Schmidt, P.; Reiss, A.; Duerichen, R.; Van Laerhoven, K. Introducing WESAD, a multimodal dataset for wearable stress and affect detection. In Proceedings of the ICMI 2018—International Conference on Multimodal Interaction, Boulder, CO, USA, 16–20 October 2018. [Google Scholar]
- Lai, K.; Yanushkevich, S.N.; Shmerko, V.P. Intelligent stress monitoring assistant for first responders. IEEE Access 2021, 9, 25314–25329. [Google Scholar] [CrossRef]
- Meeuse, J.J.; Löwik, M.S.; Löwik, S.A.; Aarden, E.; van Roon, A.M.; Gans, R.O.; van Wijhe, M.; Lefrandt, J.D.; Reyners, A.K. Heart rate variability parameters do not correlate with pain intensity in healthy volunteers. Pain Med. 2013, 14, 1192–1201. [Google Scholar] [CrossRef]
- Umeda, M.; Okifuji, A. Prediction of Pain Responses to Subsequent Cold Pressor Test via Baseline Heart Rate Variability in Healthy Adults. Eur. J. Pain 2022, 26, 1811–1820. [Google Scholar] [CrossRef]
- Greco, A.; Valenza, G.; Lanata, A.; Scilingo, E.P.; Citi, L. cvxEDA: A convex optimization approach to electrodermal activity processing. IEEE Trans. Biomed. Eng. 2016, 63, 797–804. [Google Scholar] [CrossRef]
- Giannotti, G.; Cohn, S.M.; Brown, M.; Varela, J.E.; McKenney, M.G.; Wiseberg, J.A. Utility of near-infrared spectroscopy in the diagnosis of lower extremity compartment syndrome. J. Trauma Acute Care Surg. 2000, 48, 396–401. [Google Scholar] [CrossRef]




| Pressure [kPa] | Mean SCL [μS] | Max Amplitude [μS] | SCR Counts |
|---|---|---|---|
| 10 | −0.12 ± 0.23 | 1.08 ± 0.79 | 5.3 ± 3.8 |
| 20 | −0.06 ± 0.35 | 1.40 ± 0.86 | 10.2 ± 7.9 |
| 30 | −0.01 ± 0.67 | 2.09 ± 1.27 | 12.1 ± 1.4 |
| Mean SCL | Max Amplitude | SCR Counts | |
|---|---|---|---|
| F-value | 16.684 | 8.455 | 10.790 |
| p-value | 0.000 | 0.002 | 0.001 |
| Group | Mean SCL | Max Amplitude | SCR Counts |
|---|---|---|---|
| 10 kPa vs. 20 kPa | 0.008 * | 0.086 | 0.011 * |
| 10 kPa vs. 30 kPa | 0.001 * | 0.008 * | 0.003 * |
| 20 kPa vs. 30 kPa | 0.002 * | 0.005 * | 0.051 |
| Pressure [kPa] | Mean SCL [μS] | Max Amplitude [μS] | SCR Counts | Decrease in StO2 [%] |
|---|---|---|---|---|
| 10 | −0.10 ± 0.04 | 1.47 ± 1.21 | 27.8 ± 22.5 | 11.46 ± 7.53 |
| 20 | −0.07 ± 0.04 | 1.90 ± 1.53 | 34.7 ± 20.4 | 55.56 ± 20.53 |
| 30 | −0.06 ± 0.05 | 2.27 ± 1.57 | 49.2 ± 35.2 | 58.19 ± 21.82 |
| Mean SCL | Max Amplitude | SCR Counts | Decrease in StO2 | |
|---|---|---|---|---|
| F-value | 6.574 | 8.264 | 8.281 | 55.292 |
| p-value | 0.007 | 0.003 | 0.003 | 0.000 |
| Group | Mean SCL | Max Amplitude | SCR Counts | Decrease in StO2 |
|---|---|---|---|---|
| 10 kPa vs. 20 kPa | 0.015 * | 0.022 * | 0.005 * | 0.000 * |
| 10 kPa vs. 30 kPa | 0.016 * | 0.010 * | 0.006 * | 0.000 * |
| 20 kPa vs. 30 kPa | 0.353 | 0.068 | 0.062 | 0.009 * |
Disclaimer/Publisher’s Note: The statements, opinions and data contained in all publications are solely those of the individual author(s) and contributor(s) and not of MDPI and/or the editor(s). MDPI and/or the editor(s) disclaim responsibility for any injury to people or property resulting from any ideas, methods, instructions or products referred to in the content. |
© 2024 by the authors. Licensee MDPI, Basel, Switzerland. This article is an open access article distributed under the terms and conditions of the Creative Commons Attribution (CC BY) license (https://creativecommons.org/licenses/by/4.0/).
Share and Cite
Kim, Y.; Han, I.; Jung, J.; Yang, S.; Lee, S.; Koo, B.; Ahn, S.; Nam, Y.; Song, S.-H. Measurements of Electrodermal Activity, Tissue Oxygen Saturation, and Visual Analog Scale for Different Cuff Pressures. Sensors 2024, 24, 917. https://doi.org/10.3390/s24030917
Kim Y, Han I, Jung J, Yang S, Lee S, Koo B, Ahn S, Nam Y, Song S-H. Measurements of Electrodermal Activity, Tissue Oxygen Saturation, and Visual Analog Scale for Different Cuff Pressures. Sensors. 2024; 24(3):917. https://doi.org/10.3390/s24030917
Chicago/Turabian StyleKim, Youngho, Incheol Han, Jeyong Jung, Sumin Yang, Seunghee Lee, Bummo Koo, Soonjae Ahn, Yejin Nam, and Sung-Hyuk Song. 2024. "Measurements of Electrodermal Activity, Tissue Oxygen Saturation, and Visual Analog Scale for Different Cuff Pressures" Sensors 24, no. 3: 917. https://doi.org/10.3390/s24030917
APA StyleKim, Y., Han, I., Jung, J., Yang, S., Lee, S., Koo, B., Ahn, S., Nam, Y., & Song, S.-H. (2024). Measurements of Electrodermal Activity, Tissue Oxygen Saturation, and Visual Analog Scale for Different Cuff Pressures. Sensors, 24(3), 917. https://doi.org/10.3390/s24030917

